Investigation of IEEE 802.16e LDPC Code Application in PM-DQPSK System
Abstract
1. Introduction
2. IEEE 802.16e Standard LDPC Code Construction
2.1. Construction of IEEE 802.16e Standard H-Matrix
2.2. LDPC Encoding Algorithm
- (a)
- Initialize and compute v (0);
- (b)
- Recursively compute v (i + 1) from v (i), where 0 ≤ i ≤ mb − 2.
2.3. LDPC Decoding Algorithm
3. PM-DQPSK System and Simulation Results
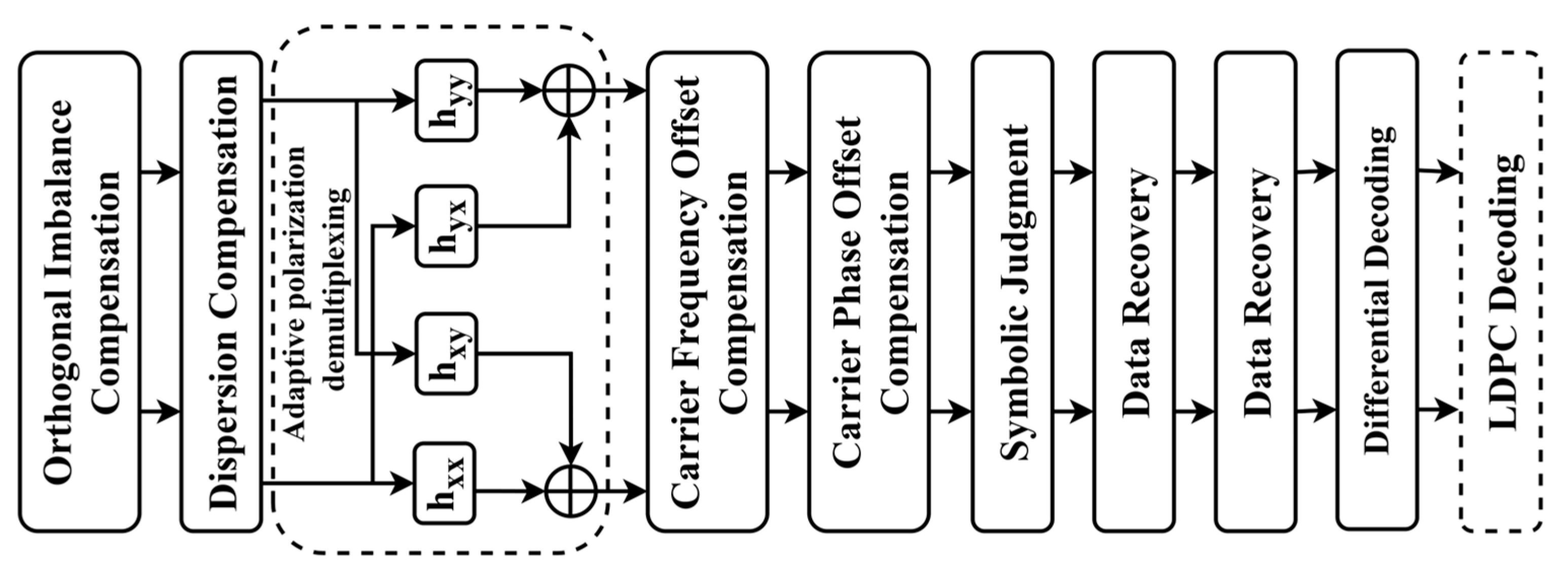
3.1. PM-DQPSK Coherent Optical Transmission System
3.2. Digital Signal Processing Algorithms
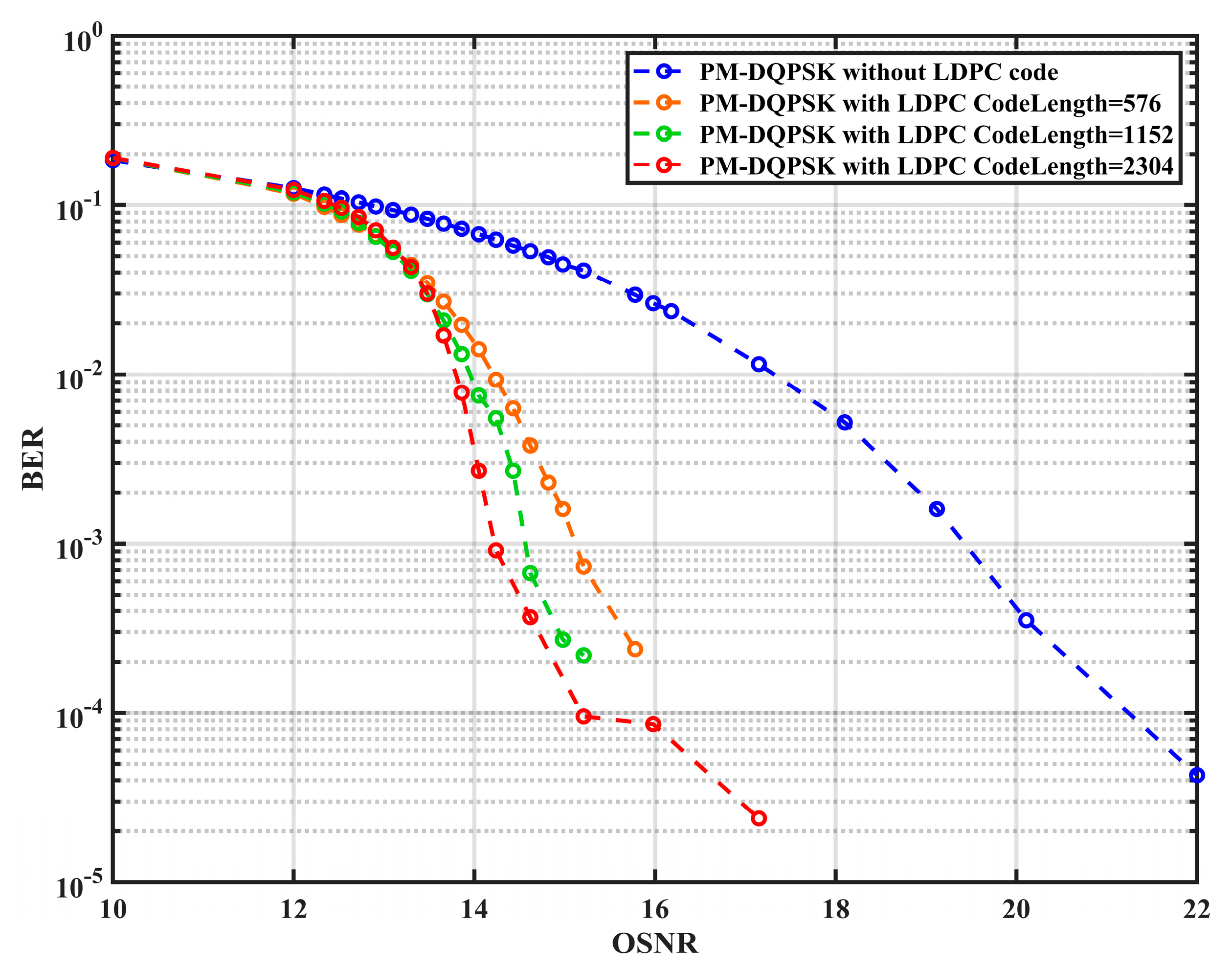
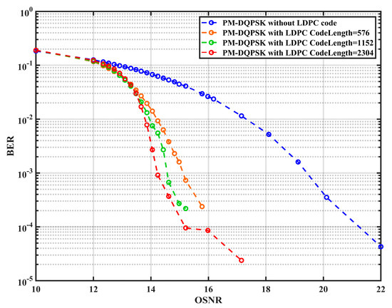
3.3. Simulation Results
4. Summary
Author Contributions
Funding
Data Availability Statement
Conflicts of Interest
References
- Ibrahimov, B.G.; Hasanov, M.H.; Tagiyev, A.D. Research of the Quality of Functioning of Fiber-Optical Transmission Systems on the Basis of Modern Technologies. In Proceedings of the 2022 Systems of Signals Generating and Processing in the Field of on Board Communications, Moscow, Russian, 15–17 March 2022; pp. 1–5. [Google Scholar]
- Vyukusenge, A.; Rabenandrasana, J. Polarization Mode Dispersion Effects on Signal Quality and Compensation Methods. In Proceedings of the 2020 Systems of Signals Generating and Processing in the Field of on Board Communications, Moscow, Russia, 19–20 March 2020; pp. 1–6. [Google Scholar]
- Hasanov, M.H. Research Indicators Nonlinear Effects in Fiber Optic Communication Lines in Use WDM and DWDM Technologies. In Proceedings of the 2021 Systems of Signals Generating and Processing in the Field of on Board Communications, Moscow, Russia, 16–18 March 2021; pp. 1–5. [Google Scholar]
- Siddiqui, A.; Memon, K.A.; Hussain Mohammadani, K.; Memon, S.; Hussain, M.; Abbas, M. High Order Dual Polarization Modulation Formats for Coherent Optical Systems. In Proceedings of the IEEE 11th International Conference on Electronics Information and Emergency Communication (ICEIEC), Beijing, China, 18–20 June 2021; pp. 79–82. [Google Scholar]
- Gallager, R. Low-density parity-check codes. IRE Trans. Inf. Theory 1962, 8, 21–28. [Google Scholar] [CrossRef]
- Tanner, R.M. A recursive approach to low complexity codes. IEEE Trans. Inf. Theory 1981, 27, 533–547. [Google Scholar] [CrossRef]
- Davey, M.C.; Mackay, D. Low-density parity check codes over GF(q). IEEE Commun. Lett. 1998, 2, 165–167. [Google Scholar] [CrossRef]
- Richardson, T.; Urbanke, R. The renaissance of Gallager’s low-density parity-check codes. IEEE Commun. Mag. 2003, 41, 126–131. [Google Scholar] [CrossRef]
- Setyowati, E.; Suranegara, G.M.; Fauzi, A. Performance analysis of 16-QAM and 64-QAM with low density parity check code on wireless communication systems. AIP Conf. Proc. 2023, 2734, 060006. [Google Scholar]
- Cuc, A.M.; Morgoş, F.L.; Grava, C. Performances Analysis of Turbo Codes, LDPC Codes and Polar Codes using AWGN channel with and without Inter Symbol Interference. In Proceedings of the 2022 International Symposium on Electronics and Telecommunications (ISETC), Timisoara, Romania, 10–11 November 2022; pp. 1–4. [Google Scholar]
- Dehghan, A.; Banihashemi, A.H. On the Tanner Graph Cycle Distribution of Random LDPC, Random Protograph-Based LDPC, and Random Quasi-Cyclic LDPC Code Ensembles. IEEE Trans. Inf. Theory 2018, 64, 4438–4451. [Google Scholar] [CrossRef]
- Zhu, K.; Wu, Z. Comprehensive Study on CC-LDPC, BC-LDPC and Polar Code. In Proceedings of the 2020 IEEE Wireless Communications and Networking Conference Workshops (WCNCW), Seoul, Republic of Korea, 6–9 April 2020; pp. 1–6. [Google Scholar]
- Schmalen, L.; ten Brink, S.; Leven, A. Advances in detection and error correction for coherent optical communications: Regular, irregular, and spatially coupled LDPC code designs. In Enabling Technologies for High Spectral-Efficiency Coherent Optical Communication Networks; Wiley: Hoboken, NJ, USA, 2016; pp. 65–122. [Google Scholar]
- Mei, Z.; Cai, K.; Song, G. Performance Analysis of Finite-Length LDPC Codes Over Asymmetric Memoryless Channels. IEEE Trans. Veh. Technol. 2019, 68, 11338–11342. [Google Scholar] [CrossRef]
- Degardin, V.; Lienard, M.; Zeddam, A.; Gauthier, F.; Degauquel, P. Classification and characterization of impulsive noise on indoor powerline used for data communications. IEEE Trans. Consum. Electron. 2002, 48, 913–918. [Google Scholar] [CrossRef]
- Wang, Z.; Liu, B. Research on encoding and decoding algorithms of non-binary LDPC code and FPGA implementation. J. Comput. Methods Sci. Eng. 2020, 20, 167–175. [Google Scholar] [CrossRef]
- Vatta, F.; Soranzo, A.; Babich, F. More Accurate Analysis of Sum-Product Decoding of LDPC Codes Using a Gaussian Approximation. IEEE Commun. Lett. 2019, 23, 230–233. [Google Scholar] [CrossRef]
- Chang, T.C.Y.; Wang, P.H.; Weng, J.J. Belief-Propagation Decoding of LDPC Codes with Variable Node–Centric Dynamic Schedules. IEEE Trans. Commun. 2021, 69, 5014–5027. [Google Scholar] [CrossRef]
- Winzer, P.J.; Neilson, D.T.; Chraplyvy, A.R. Fiber-optic transmission and networking: The previous 20 and the next 20 years. Opt. Express 2018, 26, 24190–24239. [Google Scholar] [CrossRef] [PubMed]
- Yang, H.; Niu, Z.; Xiao, S. Fast and Accurate Optical Fiber Channel Modeling Using Generative Adversarial Network. J. Light. Technol. 2021, 39, 1322–1333. [Google Scholar] [CrossRef]
- Wang, Z.; Shang, J.; Li, S.; Mu, K.; Yu, S. All-Polarization Maintaining Single-Longitudinal-Mode Fiber Laser with Ultra-High OSNR, Sub-kHz Linewidth and Extremely High Stability. Opt. Laser Technol. 2021, 141, 107135. [Google Scholar] [CrossRef]
- Amiri, I.S.; Mohammed Aref Mahmoud Houssien, F.; Rashed, A.N.Z.; Mohammed, A.E.N.A. Optical Networks Performance Optimization Based on Hybrid Configurations of Optical Fiber Amplifiers and Optical Receivers. J. Opt. Commun. 2019. [Google Scholar] [CrossRef]
- Zhao, J.; Liu, Y.; Xu, T. Advanced DSP for coherent optical fiber communication. Appl. Sci. 2019, 9, 4192. [Google Scholar] [CrossRef]
- Mahendra, R.; Mohammed, S.K.; Mallik, R.K. Compensation of Transmitter IQ Imbalance in Multi-User Hybrid Beamforming Systems. IEEE Access 2021, 9, 98231–98248. [Google Scholar] [CrossRef]
- Yang, J.; Liu, H.; Wang, J. Research on dispersion equalization technology in coherent optical communication. Second. Int. Conf. Electron. Inf. Technol. 2023, 12719, 532–537. [Google Scholar]
- Du, Q.; Zhang, X.; Guo, Y. Density-matrix-formalism based scheme for polarization mode dispersion monitoring and compensation in optical fiber communication systems. Optoelectron. Lett. 2023, 19, 739–743. [Google Scholar] [CrossRef]
- Tan, Q.; Yang, A.; Guo, P.; Zhao, Z. Blind frequency offset estimation based on phase rotation for coherent transceiver. IEEE Photonics J. 2020, 12, 7902212. [Google Scholar] [CrossRef]
- Jin, C.; Shevchenko, N.A.; Li, Z.; Popov, S.; Chen, Y. Nonlinear coherent optical systems in the presence of equalization enhanced phase noise. J. Light. Technol. 2021, 39, 4646–4653. [Google Scholar] [CrossRef]





| Parameters | Value |
|---|---|
| Length of fiber | 100 km |
| Transmission rate | 40 Gbps |
| Output average power | 1.0 × 10−3 W |
| Laser linewidth | 100 kHz |
| PMD coefficient | 0.2 ps/km1/2 |
| CD coefficient | 16 ps/nm/km |
| Attenuation coefficient | 0.2 dB/km |
| Effective core area | 80.0 × 10−12 m2 |
| Semiconductor Optical Amplifier gain | 20 dB |
| Parameters | Value |
|---|---|
| Coding lengths | 576/1152/2304 |
| Coding rate | 1/2 |
| Number of encodings | 800/400/200 |
| Maximum number of iterations | 5/10/15/20 |
Disclaimer/Publisher’s Note: The statements, opinions and data contained in all publications are solely those of the individual author(s) and contributor(s) and not of MDPI and/or the editor(s). MDPI and/or the editor(s) disclaim responsibility for any injury to people or property resulting from any ideas, methods, instructions or products referred to in the content. |
© 2024 by the authors. Licensee MDPI, Basel, Switzerland. This article is an open access article distributed under the terms and conditions of the Creative Commons Attribution (CC BY) license (https://creativecommons.org/licenses/by/4.0/).
Share and Cite
Xue, J.; Li, Y.; Zhang, Y.; Wu, X.; Zhang, Y. Investigation of IEEE 802.16e LDPC Code Application in PM-DQPSK System. Electronics 2024, 13, 1887. https://doi.org/10.3390/electronics13101887
Xue J, Li Y, Zhang Y, Wu X, Zhang Y. Investigation of IEEE 802.16e LDPC Code Application in PM-DQPSK System. Electronics. 2024; 13(10):1887. https://doi.org/10.3390/electronics13101887
Chicago/Turabian StyleXue, Jiaxin, Yupeng Li, Yichao Zhang, Xiao Wu, and Yanyue Zhang. 2024. "Investigation of IEEE 802.16e LDPC Code Application in PM-DQPSK System" Electronics 13, no. 10: 1887. https://doi.org/10.3390/electronics13101887
APA StyleXue, J., Li, Y., Zhang, Y., Wu, X., & Zhang, Y. (2024). Investigation of IEEE 802.16e LDPC Code Application in PM-DQPSK System. Electronics, 13(10), 1887. https://doi.org/10.3390/electronics13101887
