Low-Illumination Road Image Enhancement by Fusing Retinex Theory and Histogram Equalization
Abstract
1. Introduction
2. Related Works
2.1. Retinex Theory
2.2. Histogram Equalization
2.3. Data-Driven Methods
3. Method
3.1. MSR Image Enhancement
3.2. HE Image Enhancement
3.3. Image Fusion
| Algorithm 1 HE-MSR-COM |
| Input: Low-light input image I; Output: Enhanced image ; Initialization: is the mean gradient obtained from the sampling data of the dataset; samples from selected normal lighting images; Mean memory parameter ; Calculate MSR weight parameter , HE weight parameter ; Dataset sampling to obtain prior filter parameters , . 1: while (Input) do 2: Update by 3: if (I is normal illumination image) then 4: Update by ; 5: else 6: Estimate initial illumination L via (5), (6); 7: Estimate reflectance R() via (4) 8: Obtain HE-enhanced image via (7), (8), (9); 9: Calculate weight parameters via (12); 10: Calculate weight parameters via (13); 11: Fuse enhanced image via (10) to obtain ; 12: end if 13: end while |
4. Experiments
4.1. Datasets
4.2. Evaluation Metrics
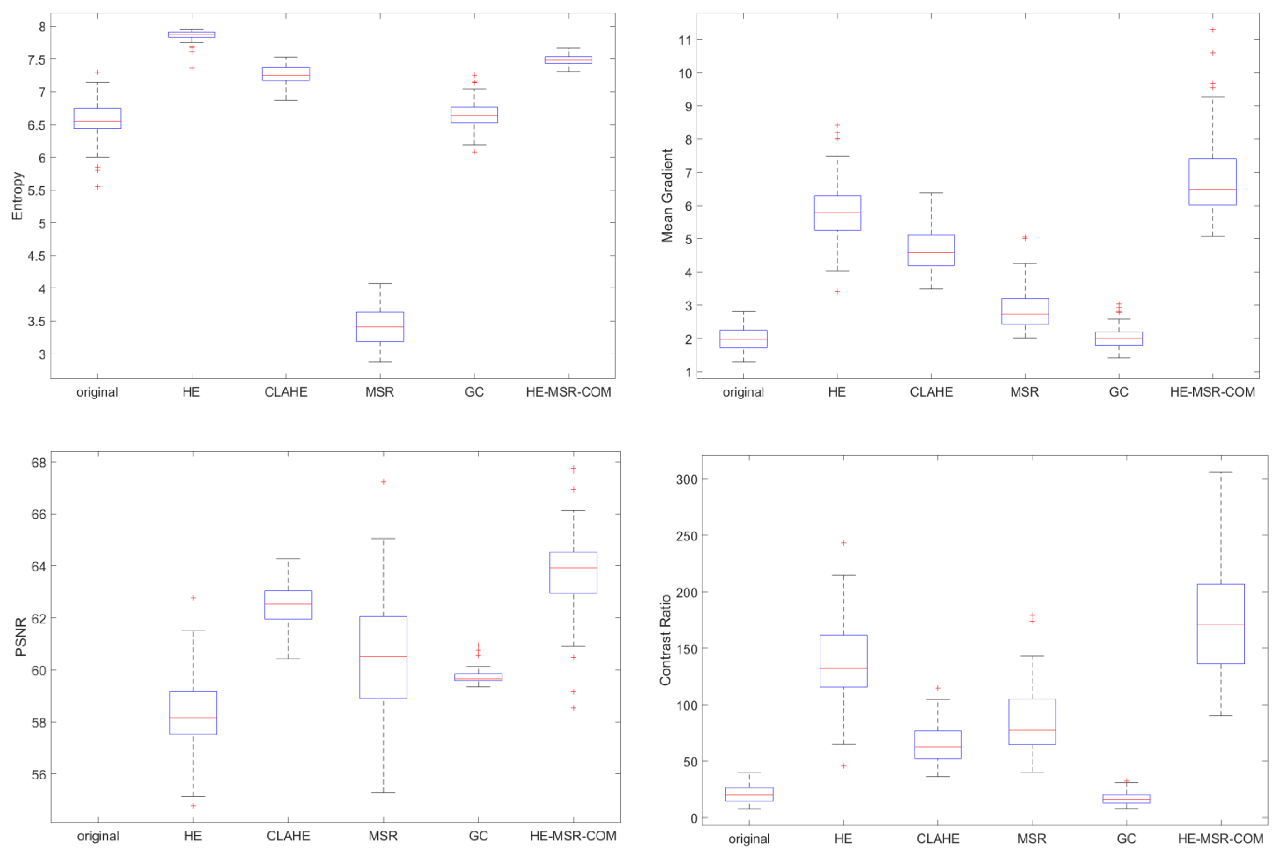
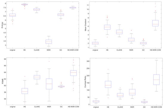
4.3. Experimental Results and Analysis
4.4. Discussion
5. Conclusions
Author Contributions
Funding
Institutional Review Board Statement
Informed Consent Statement
Data Availability Statement
Conflicts of Interest
References
- Wang, W.; Wu, X.; Yuan, X.; Gao, Z. An experiment-based review of low-light image enhancement methods. IEEE Access 2020, 8, 87884–87917. [Google Scholar] [CrossRef]
- Sobbahi, R.A.; Tekli, J. Comparing deep learning models for low-light natural scene image enhancement and their impact on object detection and classification: Overview, empirical evaluation, and challenges. Signal Process. Image Commun. 2022, 109, 116848. [Google Scholar] [CrossRef]
- Land, E.H. The retinex theory of color vision. Sci. Am. 1977, 237, 108–129. [Google Scholar] [CrossRef] [PubMed]
- Land, E.H.; McCann, J.J. Lightness and retinex theory. JOSA 1971, 61, 1–11. [Google Scholar] [CrossRef] [PubMed]
- Wei, C.; Wang, W.; Yang, W.; Liu, J. Deep retinex decomposition for low-light enhancement. arXiv 2018, preprint. arXiv:1808.04560. [Google Scholar]
- Gonzalez, R.C.; Woods, R.E. Digital Image Processing, 2nd ed.; Prentice Hall: Upper Saddle River, NJ, USA, 2002; p. 793. [Google Scholar]
- Dhal, K.G.; Das, A.; Ray, S.; Gálvez, J.; Das, S. Histogram equalization variants as optimization problems: A review. Arch. Comput. Methods Eng. 2021, 28, 1471–1496. [Google Scholar] [CrossRef]
- Sande, K.V.D.; Gevers, T.; Snoek, C. Evaluating color descriptors for object and scene recognition. IEEE Trans. Pattern Anal. Mach. Intell. 2009, 32, 1582–1596. [Google Scholar] [CrossRef]
- Jobson, D.J.; Rahman, Z.; Woodell, G.A. Properties and performance of a center/surround retinex. IEEE Trans. Image Process. 1997, 6, 451–462. [Google Scholar] [CrossRef]
- Jobson, D.J.; Rahman, Z.; Woodell, G.A. A multiscale retinex for bridging the gap between color images and the human observation of scenes. IEEE Trans. Image Process. 1997, 6, 965–976. [Google Scholar] [CrossRef]
- Wang, P.; Wang, Z.; Lv, D.; Zhang, C.; Wang, Y. Low illumination color image enhancement based on Gabor filtering and Retinex theory. Multimed. Tools Appl. 2021, 80, 17705–17719. [Google Scholar] [CrossRef]
- Yang, X.; Jian, L.; Wu, W.; Liu, K.; Yan, B.; Zhou, Z.; Peng, J. Implementing real-time RCF-Retinex image enhancement method using CUDA. J. Real-Time Image Process. 2019, 16, 115–125. [Google Scholar] [CrossRef]
- Tao, F.; Yang, X.; Wu, W.; Liu, K.; Zhou, Z.; Liu, Y. Retinex-based image enhancement framework by using region covariance filter. Soft Comput. 2018, 22, 1399–1420. [Google Scholar] [CrossRef]
- Kim, Y.T. Contrast enhancement using brightness preserving bi-histogram equalization. IEEE Trans. Consum. Electron. 1997, 43, 1–8. [Google Scholar]
- Chen, S.D.; Ramli, A.R. Minimum mean brightness error bi-histogram equalization in contrast enhancement. IEEE Trans. Consum. Electron. 2003, 49, 1310–1319. [Google Scholar] [CrossRef]
- Ooi, C.H.; Kong, N.S.P.; Ibrahim, H. Bi-histogram equalization with a plateau limit for digital image enhancement. IEEE Trans. Consum. Electron. 2009, 55, 2072–2080. [Google Scholar] [CrossRef]
- Ooi, C.H.; Isa, N.A.M. Quadrants dynamic histogram equalization for contrast enhancement. IEEE Trans. Consum. Electron. 2010, 56, 2552–2559. [Google Scholar] [CrossRef]
- Salah-ELDin, A.; Nagaty, K.; ELArif, T. An enhanced histogram matching approach using the retinal filter’s compression function for illumination normalization in face recognition. In Proceedings of the International Conference Image Analysis and Recognition, Póvoa de Varzim, Portugal, 25–27 June 2008; pp. 873–883. [Google Scholar]
- Tan, T.L.; Sim, K.S.; Tso, C.P. Image enhancement using background brightness preserving histogram equalisation. Electron. Lett. 2012, 48, 155–157. [Google Scholar] [CrossRef]
- Shome, S.K.; Vadali, S.R.K. Enhancement of diabetic retinopathy imagery using contrast limited adaptive histogram equalization. Int. J. Comput. Sci. Inf. Technol. 2011, 2, 2694–2699. [Google Scholar]
- Lin, S.C.F.; Wonga, C.Y.; Rahman, M.A.; Jiang, G.; Liu, S.; Kwoka, N.; Shi, H.; Yu, Y.H.; Wu, T. Image enhancement using the averaging histogram equalization (AVHEQ) approach for contrast improvement and brightness preservation. Comput. Electr. Eng. 2015, 46, 356–370. [Google Scholar] [CrossRef]
- Chen, Y.; Kang, J.U.; Zhang, G.; Zhang, G.; Cao, J.; Xie, Q.; Kwan, C. Real-time infrared image detail enhancement based on fast guided image filter and plateau equalization. Appl. Opt. 2020, 59, 6407–6416. [Google Scholar] [CrossRef]
- Kwan, C.; Gribben, D. Target Detection and Classification Improvements using Contrast Enhanced 16-bit Infrared Videos. Signal Image Process. Int. J. (SIPIJ) 2021, 12. [Google Scholar] [CrossRef]
- Liao, K.C.; Wu, H.Y.; Wen, H.T. Using Drones for Thermal Imaging Photography and Building 3D Images to Analyze the Defects of Solar Modules. Inventions 2022, 7, 67. [Google Scholar] [CrossRef]
- Lore, K.G.; Akintayo, A.; Sarkar, S. LLNet: A deep autoencoder approach to natural low-light image enhancement. Pattern Recognit. 2017, 61, 650–662. [Google Scholar] [CrossRef]
- Jiang, Y.; Gong, X.; Liu, D.; Cheng, Y.; Fang, C.; Shen, X.; Yang, J.; Zhou, P.; Wang, Z. Enlightengan: Deep light enhancement without paired supervision. IEEE Trans. Image Process. 2021, 30, 2340–2349. [Google Scholar] [CrossRef] [PubMed]
- Qu, H.; Yuan, T.; Sheng, Z.; Zhang, Y. A pedestrian detection method based on yolov3 model and image enhanced by retinex. In Proceedings of the International Congress on Image and Signal Processing, BioMedical Engineering and Informatics (CISP-BMEI), Beijing, China, 13–15 October 2018; pp. 1–5. [Google Scholar]
- Richter, S.R.; Vineet, V.; Roth, S.; Koltun, V. Playing for data: Ground truth from computer games. In Proceedings of the European Conference on Computer Vision (ECCV), Amsterdam, The Netherlands, 11–14 October 2016; pp. 102–118. [Google Scholar]
- Cordts, M.; Omran, M.; Ramos, S.; Rehfeld, T.; Enzweiler, M.; Benenson, R.; Franke, U.; Roth, S.; Schiele, B. The cityscapes dataset for semantic urban scene understanding. In Proceedings of the Conference on Computer Vision and Pattern Recognition (CVPR), Las Vegas, NV, USA, 26–30 June 2016; pp. 3213–3223. [Google Scholar]










| Spectrum | Mean Gradient |
|---|---|
| [0, 4) | 0.022 |
| [2, 8) | 0.062 |
| [4, 16) | 0.145 |
| [8, 32) | 0.292 |
| [16, 64) | 0.550 |
| [32, 128) | 0.982 |
| [64, 256) | 1.574 |
| [128, 512) | 2.151 |
| [256, 1024) | 2.322 |
| [1024, 2048) | 0.078 |
| Entropy | Mean Gradient | PSNR | Contrast Ratio | CE | |
|---|---|---|---|---|---|
| 7.30 | 3.59 | 63.71 | 65.25 | 77.53% | |
| 7.35 | 4.44 | 63.48 | 100.06 | 87.89% | |
| 7.38 | 5.24 | 63.17 | 139.12 | 98.69% | |
| 7.45 | 3.60 | 61.82 | 64.95 | 77.27% | |
| 7.50 | 4.43 | 61.68 | 98.92 | 87.42% | |
| 7.52 | 5.21 | 61.50 | 136.43 | 97.86% | |
| 7.70 | 3.59 | 58.83 | 63.17 | 76.51% | |
| 7.72 | 4.36 | 58.78 | 94.31 | 85.82% | |
| 7.73 | 5.07 | 58.73 | 127.94 | 95.24% |
| Method | Original | HE | CLAHE | MSR | GC | HE-MSR-COM |
|---|---|---|---|---|---|---|
| Entropy | 6.52 | 7.80 | 7.24 | 3.47 | 6.81 | 7.48 |
| Mean Gradient | 2.25 | 5.85 | 5.34 | 4.12 | 2.40 | 9.88 |
| PSNR | Inf 1 | 57.60 | 61.83 | 61.70 | 60.14 | 61.45 |
| Contrast Ratio | 47.14 | 200.15 | 140.64 | 242.51 | 38.78 | 424.19 |
| CE | 54.40% | 74.89% | 70.02% | 60.79% | 54.51% | 98.84% |
| Method | Original | HE | CLAHE | MSR | GC | HE-MSR-COM |
|---|---|---|---|---|---|---|
| Entropy | 6.55 | 7.85 | 7.25 | 3.42 | 6.66 | 7.48 |
| Mean Gradient | 1.98 | 5.81 | 4.71 | 2.93 | 2.05 | 6.88 |
| PSNR | Inf 1 | 58.34 | 62.50 | 60.52 | 59.76 | 63.74 |
| Contrast Ratio | 20.68 | 135.90 | 66.42 | 85.75 | 16.88 | 176.62 |
| CE | 55.98% | 88.23% | 74.14% | 57.42% | 54.47% | 98.83% |
Disclaimer/Publisher’s Note: The statements, opinions and data contained in all publications are solely those of the individual author(s) and contributor(s) and not of MDPI and/or the editor(s). MDPI and/or the editor(s) disclaim responsibility for any injury to people or property resulting from any ideas, methods, instructions or products referred to in the content. |
© 2023 by the authors. Licensee MDPI, Basel, Switzerland. This article is an open access article distributed under the terms and conditions of the Creative Commons Attribution (CC BY) license (https://creativecommons.org/licenses/by/4.0/).
Share and Cite
Han, Y.; Chen, X.; Zhong, Y.; Huang, Y.; Li, Z.; Han, P.; Li, Q.; Yuan, Z. Low-Illumination Road Image Enhancement by Fusing Retinex Theory and Histogram Equalization. Electronics 2023, 12, 990. https://doi.org/10.3390/electronics12040990
Han Y, Chen X, Zhong Y, Huang Y, Li Z, Han P, Li Q, Yuan Z. Low-Illumination Road Image Enhancement by Fusing Retinex Theory and Histogram Equalization. Electronics. 2023; 12(4):990. https://doi.org/10.3390/electronics12040990
Chicago/Turabian StyleHan, Yi, Xiangyong Chen, Yi Zhong, Yanqing Huang, Zhuo Li, Ping Han, Qing Li, and Zhenhui Yuan. 2023. "Low-Illumination Road Image Enhancement by Fusing Retinex Theory and Histogram Equalization" Electronics 12, no. 4: 990. https://doi.org/10.3390/electronics12040990
APA StyleHan, Y., Chen, X., Zhong, Y., Huang, Y., Li, Z., Han, P., Li, Q., & Yuan, Z. (2023). Low-Illumination Road Image Enhancement by Fusing Retinex Theory and Histogram Equalization. Electronics, 12(4), 990. https://doi.org/10.3390/electronics12040990

