Next Article in Journal
Synthesis of Non-Mirror-Symmetrical Far-Field Patterns Using Two Parallel Current Sheets
Previous Article in Journal
Junction Selection Based on Optimal-Weighted Multiple Attributes for VANETs
 
 
Font Type:
Arial Georgia Verdana
Font Size:
Aa Aa Aa
Line Spacing:
Column Width:
Background:
Article

A Wireless Power Transfer System Using a Double DD Quadrature Coil Structure

Faculty of Electrical Engineering and Computer Science, University of Maribor, 2000 Maribor, Slovenia
*
Author to whom correspondence should be addressed.
Electronics 2023, 12(4), 890; https://doi.org/10.3390/electronics12040890
Submission received: 20 December 2022 / Revised: 30 January 2023 / Accepted: 8 February 2023 / Published: 9 February 2023

Abstract

:
This paper presents the evolution of an inductive wireless power transfer using a multicoil system. The double DD coil structure on the transmitter and the receiver side using two perpendicular bipolar DD coils is upgraded with an additional nonpolar quadrature coil. The proposed structure can be called the double DDQ coil structure. All three coils are not coupled, due to the nature of the directional double DD coil. If the transmitter and the receiver are not misaligned to one another, the system behaves as three separate, uncoupled IPT systems. The main advantage of the proposed coil topology is additionally increased power density and increased misalignment tolerance. Additionally, when the transmitter and the receiver coil are perfectly aligned, the proposed pad structure can transmit three different voltages and can be excited with different frequencies. In the case of this paper, the three coils on the transmitter side were excited by the same frequency. The proposed coil was evaluated experimentally and compared to the system using double DD coil structure.

1. Introduction

In recent years, the research in the field of the Inductive Wireless Power Transfer (IPT) has gained significance. The main advantage of IPT is that the energy is transferred without the physical contacts, via an electromagnetic field [1,2]. Therefore, IPT systems are easier to use, as they can be used in difficult environments [3] and are resistant to weather and radiation influences.
The main applications for IPT are charging of mobile phones and small battery powered devices [4,5], charging of medical implants [6,7], and electric vehicle (EV) charging [8,9,10]. Wireless power transfer can also be used for underwater charging [3]. The systems are scalable and can transfer power from a couple of watts to a couple of kilowatts. Multiple wireless power transfer standards also exist for battery charging purposes.
The main disadvantage of the IPT system is lower system efficiency, which is highly dependent on the magnetic coupling between the transmitter and the receiver side. Because of the large air gap between the transmitter and the receiver coil, the coupling coefficient is generally small when compared to a transformer with a ferrite core. The efficiency can be improved by exciting the transmitter coil with a high frequency voltage.
However, when the coupling decreases, the efficiency of the system also decreases. The coupling between the transmitter and the receiver decreases exponentially when increasing the distance between them. Usually, the distance between the transmitter and the receiver coil is constant and does not change during the wireless power transfer. On the other hand, misalignment between the transmitter and the receiver also decreases the coupling coefficient. The influence of the coil misalignment on the coefficient is called misalignment tolerance.
Researchers have proposed different coil and compensation topologies to reduce the effect of misalignment on the system’s efficiency. One such coil type is bipolar coils [11,12]. Unlike the classic non-polar coils, which are used in most applications, bipolar coils generate a directional magnetic field. This results in higher and unsymmetrical misalignment tolerance. The direction with better misalignment tolerance is always perpendicular to the generated magnetic field. Bipolar pads are usually non-planar, solenoid coils with a ferrite core, and take more space than classic planar coils. However, bipolar coils can also be planar. The most popular planar bipolar coil is called a DD coil [13]. The DD transmitter coils are usually paired with DDQ receiver coils [13,14,15] to increase the misalignment tolerance of the IPT system. The DDQ coil structure was also used on both the transmitting and the receiving side [16].
A system using an upgraded multicoil bipolar pad is presented in this paper. The basis of the proposed structure is two bipolar DD coils. The structure is called a double DD coil [17]. Compared to the IPT system using single DD coils, the IPT system using double DD coils can increase the power density by almost half. To increase the power density and misalignment tolerance further, an additional planar non-polar coil was added to the transmitting and the receiving side, forming a double DDQ transfer pad. It is important that each of the coils in the proposed structure can be excited by a separate high frequency voltage. This reduces the complexity of the system. Each of the coils can be designed and excited independently form other coils in the structure, which allows the system to be more flexible.
The paper is organized as follows. The theory behind the proposed layered coil structure is presented after the introduction. The theoretical explanation is also backed up by a simulation using EM simulation software. The third section describes the proposed system, which can be used to drive the proposed layered coil structure. The differences between the system parameters during analysis are also presented in this section. The fourth section presents the measurement results on the small-scale wireless power transfer system. The discussion of the results is presented in Section 5. Last, the sixth section serves as a conclusion to this paper.

2. Proposed Upgraded Coil Structure

The increased power density of the IPT system can be achieved by multiple methods. The simplest is to increase the current trough the transmitter coil, without changing the coil’s shape and structure. On the other hand, the system can transfer more power if it uses multiple transmitter coils. Each coil can transfer its own portion of the power, thus reducing the load on the single coil.
One such structure using multiple coils is the double DD coil structure [17]. The structure consists of two DD coils. The DD coils are bipolar planar coils, which were first presented in [13]. The main advantage of the DD coil is its directional magnetic field, which leads to better misalignment tolerance in the direction perpendicular to the magnetic field. Due to the directional magnetic field, the coupling coefficient is highly dependent on the orientation of the receiver coil in relation to the transmitter coil. This phenomenon was used to derive the double DD coil structure. By rotating the coils by 90°, the coupling coefficient between the DD coils was reduced to zero. This means that the coils can be excited separately with two different currents.
The authors in [13] also proposed different receiver coil structure to increase the tolerance of the DD coil. An additional quadrature Q coil was added on the receiver side. Due to the directional magnetic field, the coupling coefficient between the receiver DD and the Q coil is zero. Therefore, the DD and Q coils can be considered as two separate coils. The Q coil was used only on the receiver side to increase the misalignment tolerance of the DD transmitter and the receiver coil. The power was transferred only when the DD transmitter and Q receiver coils were misaligned. When the coils were completely aligned, there was no coupling coefficient between the DD and Q coils. Therefore, the Q coil presents a waste of space and potential.
An additional quadrature Q coil can be added to the double DD coil structure. By only including the Q coil on the receiver side, the misalignment tolerance of the IPT system can be increased. By adding the Q coil on the transmitter and the receiver side, the power transferred using the IPT system can be increased. The transmitter Q coil can transmit power to the receiver Q coil.
The exploded coil topologies are presented in Figure 1. Figure 1a presents an exploded view of the double DD coil or 2DD coil structure, which consists of a ferrite plate and two DD coils. The bottom DD coil is called a DD1 coil and the top a DD2 coil. Figure 1b presents an exploded view of the double DDQ or 2DDQ coil structure. It consists of the DD1, DD2, and quadrature Q coils. All three coils in the 2DDQ coil structure are not coupled magnetically, which means that they can be excited by three different excitation currents.
The DD coils are more complex planar coils. The self-inductance of the DD1 coil without the ferromagnetic material can be calculated using:
L T 1 = L t 1 + L t 2 + 2 M t 12 L R 1 = L r 1 + L r 2 + 2 M r 12
where LT1 and LR1 are the self-inductances of the transmitter and receiver DD1 coil, Lt1, Lt2, Lr1, and Lr2 are the self-inductances of each D shaped planar coil that forms the DD1 transmitter and receiver coil, and Mt12 and Mr12 are mutual inductances between the DD1 transmitter and the receiver coil.
Similar to (1), equations for DD2 coils can be expressed with:
L T 2 = L t 3 + L t 4 + 2 M t 34 L R 2 = L r 3 + L r 4 + 2 M r 34
where LT2 and LR2 are the self-inductances of the transmitter and receiver DD2 coil, Lt3, Lt4, Lr3, and Lr4 are the self-inductances of each D shaped planar coil that forms the DD2 transmitter and receiver coil, and Mt34 and Mr34 are mutual inductances between the DD2 transmitter and the receiver coil.
The quadrature coil does not consist of different coil shapes. Therefore, the value of the self-inductance is rather trivial. The EM simulation software is usually used, due to the complex nature of self and mutual inductance calculation. The most popular EM software packages are COMSOL and ANSYS Maxwell. Both programs can be used to calculate the self-inductance of the coils, calculation of the coupling coefficient between the transmitter and the receiver part, and magnetic flux density visualization.

2.1. Simulation of the Prosed Coil Structure

The simulation software Ansys Maxwell was used to confirm the theory behind the uncoupled double DDQ coil. The simulation mode was set to Eddy Currents to simulate alternating currents. The frequency of the simulation was set to 87 kHz.
The 3D model used in the simulation is presented in Figure 2. The coils were modeled to be as close to the experimental coils as possible. The coils were placed on top of the ferrite material, which guides and blocks the magnetic field and increases the self-inductance of the coils. The modeled DD1 and DD2 coils had the same size, shape, and number of turns. The DD2 coil was placed on top of the DD1 coil and rotated by 90°, thus forming a double DD coil structure. The additional quadrature Q coil was placed on top of the bipolar DD coils. The main purpose of the simulation was to confirm that the coupling coefficient between each of the three coils was nearly zero. The 2DDQ coil structure consisted of three layers. The bottom layer was DD1, second DD2, and the third, the Q coil. Each of the coils had two terminals and were excited by a current with a peak value of 1 A and frequency of 87 kHz. The phase angle between three currents was set to zero.
The parametric simulation results are presented in Table 1. Both the DD1 and DD2 coils had the same dimensions. Because the DD2 coil was placed on top of the DD1 coil, it was more distant from the ferrite material. This resulted in smaller self-inductance. The same applied for the Q coil. Due to the asymmetries in the modeling and the simulation error, there was a small coupling coefficient between the DD1, DD2, and Q coils. The coefficient was so small that it did not have an effect on the behavior of the system. Each of the coils can still be treated as a completely independent coil.
ANSYS Maxwell can also be used for graphical representation of the magnetic flux density B. The results are presented in Figure 3. In Figure 3a, the magnetic flux density is represented using the vectors, and in Figure 3b, using a color scale. The coils were not coupled; however, their magnetic field did interact. The interactions can be constructive and destructive. Constructive interaction increases the magnetic flux density and destructive decreases the magnetic flux density. The simulation results are presented only for the case when all their excitation currents were in phase.
The results differed from the typical simulation results of the double DD coil structure presented in [14]. The magnetic field distribution was highly asymmetrical, which can result in asymmetrical tolerance to the misalignment.

2.2. Small-Scale Prototype Measurements

A small-scale prototype of the coil was built to test the concept and verify the simulation of the double DDQ coil. The size of the coil structure was determined by the size of the ferrite material. The small-scale prototype coil is presented in Figure 4. The footprint of the coil was 100 mm × 100 mm. Each of the DD coils had 18 turns (9 per D coil) and Q coil had 13 turns. The Q coil was wound to have approximately the same inductance as the DD coils. Both the transmitter and the receiver coil had the same physical dimensions.
The fabricated small-scale prototype 2DDQ structure was measured using an RLC meter. The results are presented in Table 2. The measurements were performed on the transmitter and the receiver 2DDQ coil, which should, in theory, be the same. The measured self-inductances were greater than the simulated ones. This was due to the difference between the fabricated and modeled coils, and because of different ferrite material.
The coupling coefficient between the coils in each pad was calculated from the mutual inductance and the self-inductances of the coils. The mutual inductance was measured using an RLC meter by measuring the inductance of the coils connected in series. The coupling coefficient can be measured by measuring the positive and negative influences of mutual inductance [18]. The equation for calculating the mutual inductance is:
M = L X 1 L X 2 4
where LX1 is the inductance of the coils connected in series under positive mutual inductance, and LX2 is the inductance of the coils connected in series under the negative mutual inductance. The coupling coefficient can be calculated using:
k = M L 1 L 2
where L1 is the self-inductance of the first coil, and L2 is the self-inductance of the second coil.
In theory, there was no coupling between the DD1, DD2, and Q coils. However, due to the fact that all three coils were fabricated by hand, there was some asymmetry in the final product. This resulted in coupling coefficients greater than the coefficients obtained from the simulations. On the other hand, the measured values were small, and therefore did not impact the performance of the proposed structure.

3. IPT System with the New Coil Structure

The new transmitter coil structure requires different transmitter configuration. The IPT system is divided into transmitter and receiver sides. The transmitter side includes a high frequency inverter driving the compensated transmitter coil structure. The receiver side consists of the compensated receiver coil structure connected to the synchronous rectifiers which drive the resistive load. The easiest way to drive the proposed three coil structure is by using a three-phase inverter, which is presented in Figure 5 and Figure 6. Because the coupling coefficients between the DD1, DD2, and Q coils on the transmitter and the receiver sides were zero, the system can be represented with three pairs of compensated coils. The coupling coefficient between the DD1 coils is marked with k1, between the DD2 coils with k2, and between the Q coils with k3. The coupling coefficients k1 and k2 between the DD1 and DD2 coils are almost the same, due to the same coil size and topology. The coupling coefficient between the Q coils k3 was different compared to the coefficients k1 and k2. This resulted in different resonator behavior, which led to different output power transfer and efficiency.
The transmitting part of IPT presented in Figure 5 and Figure 6 are the same. The main difference is in the configuration of the receiving part. In both cases, each of the receiver coils is connected to its own active rectifier. In Figure 5, each of the active rectifiers provide power to their own resistive load. On the other hand, in the case presented in Figure 6, the three rectifiers were connected in series to power only one load. The output voltage across the load was the sum of all three rectifier voltages:
U o = U o 1 + U o 2 + U o 3
where Uo is the DC output voltage, Uo1 is the DC output voltage of the first rectifier, Uo2 is the DC output voltage of the second rectifier, and Uo3 is the DC output voltage of the third rectifier.
The structure with only one load can be considered as the structure with three loads with the same resistance:
R L 1 = R L 2 = R L 3 = R L 3
where RL1, RL2, and RL3 are equivalent loads of each inverter, and RL is the resistance of the single load.
The main advantage of the single load configuration is the increased output voltage, and therefore increased DC-DC gain of the IPT system.
On the other hand, a configuration with three separate loads can be used to provide power to three different isolated loads, which do not influence each other. The loads can have different resistance values and can have different voltages and operating frequencies. For instance, this configuration can be used to charge a multi-cell battery.
Series–series (SS) compensation topology was used in the case of the IPT presented in Figure 5 and Figure 6. The main advantage of the SS compensation topology is that the resonant frequency is not dependent on the output load and on the coupling coefficient between the transmitter and receiver coil, compared to the other three basic compensation topologies [19,20]. It is also symmetrical. The resonant frequencies of the IPT system can be calculated using:
f r 1 = 1 2 π L T 1 C T 1 = 1 2 π L R 1 C R 1 f r 2 = 1 2 π L T 2 C T 2 = 1 2 π L R 2 C R 2 f r 3 = 1 2 π L T 3 C T 3 = 1 2 π L R 3 C R 3
f r = f r 1 = f r 2 = f r 3
where fr1 is the resonant frequency of the DD1 part, fr2 of the DD2 part, and fr3 of the Q part. CT1 and CR1 are the values of the compensation capacitors of the DD1 part, CT2 and CR2 are the values for the DD2 part, and CT3 and CR3 are the values for the Q part. The values of the compensation capacitors are usually chosen so that the resonant frequency of each part is the same.
The IPT circuit can be analyzed further using a circuit model and equations. The input voltage is a square waveform, generated by the output of the inverter. The SS compensated resonant circuit acts as a bandpass filter with the resonant frequency fr. The currents iT1, iT2, and iT3 are generated by the first harmonic component of each voltage:
u T 1 = u T 2 = u T 3 = 2 π U D C sin ( 2 π f r t )
where uT1, uT2, and uT3 are the first harmonic components of voltage at the input of each transmitter coil, and UDC is the voltage at the input of the inverter.

4. Experimental Results

To test the proposed coil structure, the system using the double DD coil was compared to the system using the double DDQ coil. The experiment was performed at different distances between the transmitter and receiver coils. In both cases, the transmitter circuit was powered by a transmitter with the same properties, which are given in Table 3 below. The input voltage to the three-phase high frequency inverter was provided from the DC laboratory power supply. The voltage was set to 25 V, and the current limit was set to 4 A.
The current was limited due to one of the drawbacks of the SS compensation. When the load of the SS compensated circuit decreases, for instance, in the case of a low coupling coefficient, the transmitter side of the circuit acts like a short circuit. Therefore, the current increases through the transmitter.
The experimental test setup is presented in Figure 7. The highlighted elements are the main parts of the experimental test system. The transmitter and the receiver coil were mounted on the 3D positioning mechanism, which enables controlled movement and misalignment between the transmitter and the receiver coil in 3D space. This helped with the measurement of the misalignment tolerance. The experimental system is divided into two parts; the transmitter or TX side and the receiver or RX side. The TX side includes the high-frequency inverter, compensation circuits, and the transmitter 2DD coil. The RX side includes an RX 2DDQ coil, compensation circuits, and rectifiers, connected to three separate loads.
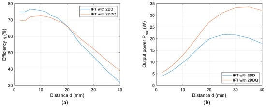
Figure 8 presents the comparison of the wireless power transfer using the double DD coils and the wireless power transfer using the double DDQ coil. The results of the IPT system using the double DD coil are marked with the blue line, and the results of the double DDQ coil are marked with the red line. Figure 8a presents the comparison of the system efficiency, and (b) presents the comparison of the output power of the IPT system. From Figure 8a, it is evident that, at smaller distances, the IPT system with the double DD coil was more efficient. As the distance increased above 20 mm, the Q part of the 2DDQ coil structure became more efficient, resulting in an overall larger efficiency. However, the overall efficiency of the system was below 65%, which can be increased by using larger coils and better system optimization.
Figure 8b presents that the 2DDQ coil can transfer more power at any distance. How much power is dependent on the distance between the coils. At smaller distance, the power increase is almost insignificant. The power Q coil transfer increases with the distance. At 20 mm, the Q coil transferred around 8 W more than the double DD coil structure, which was less than 1/3 of the IPT system power. On the other hand, the power increased significantly when the distance increased further. The peak power transfer was around 30 mm, when the efficiency was less than 50%. At that distance the Q coil adds an additional 12 W. On the other hand, the main drawback was that the efficiency of the system was little more than 50%.
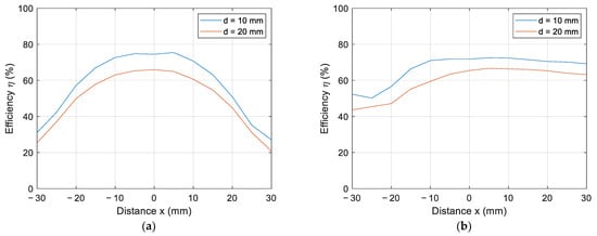
Figure 9 and Figure 10 present the misalignment tolerance of the IPT systems using the double DD coil and double DDQ coil. Here, the results are much more promising. Figure 9a and Figure 10a present the results for the system using the double DD coil along the x and y-axis. Figure 9b and Figure 10b present the results for the system using the double DD Q coil y along the x and y-axis. The results were measured at two different d distances; the distance 10 mm was marked with the blue line and the distance 20 mm was marked with the orange line.
The system using the double DD coil showed symmetrical misalignment tolerance along the x and y-axis. On the other hand, the misalignment tolerance of the IPT system using the double DDQ coil was highly unsymmetrical. In the positive x direction, the 2DDQ coil was more tolerant than in the negative x direction. The same was true for the misalignment along the y direction. The IPT using the 2DDQ coil had better misalignment tolerance in the negative y direction, and lower in the positive y direction. In both directions, the tolerance was significantly better than the tolerance of the system using double DD coils. Therefore, the additional Q coil greatly improved the misalignment tolerance of the system using the double DD coil structure.
Usually, the nonsymmetrical tolerance to misalignment is not desirable. All basic planar coil structure usually has symmetrical tolerance to misalignment in the positive and negative direction along a single axis. For instance, single DD coils are not symmetrically tolerant when compared to misalignment along the x and the y-axis. Double DD coils are less but symmetrically tolerant to misalignment along the x and y-axis.
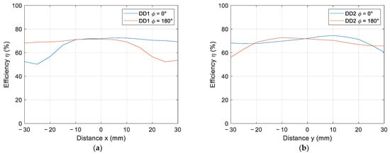
The main contributor to non-symmetrical misalignment tolerance is the magnetic flux density distribution, presented in the second chapter. By changing the phase angle between different excitation voltages and currents, this distribution should change. Therefore, by changing the phase shift angle, symmetrical misalignment tolerance should be achieved. This was confirmed with measurements, presented in Figure 11a,b. Figure 11a presents the misalignment tolerance in the x-axis direction. The blue line represents the case when the phase angle of DD1 was 0°. The red line presents the efficiency of the system when the phase angle of DD1 was 180°. In the negative direction, the phase angle should be 180° and in the positive, it should be 0°.
Figure 11b presents the misalignment tolerance in the y direction. The blue line represents the system efficiency when the phase angle of DD2 is 0° and the red one when the phase angle is 180°. When the misalignment is in the negative y direction, the phase angle of DD2 excitation should be 0° and in the case of positive misalignment, the phase angle should be 180°.
This switch between the two different excitation phase angles is performed by the Digital Signal Processor (DSP) of the inverter. The DSP should check the efficiency of the IPT system at both excitation phase shift angles. After short initialization, the more efficient mode should be chosen.

5. Discussion

The upgraded double DDQ structure can be studied as a three-coil system. How much power the additional Q coil can provide is highly dependent on the optimization of the system. In the case of a non-optimized system, the increased power was not that significant. In our case, the power increase was substantial when the distance between the coils was more than 20 mm. On the other hand, the efficiency of the system fell below 50%. To achieve more power the system should be optimized further. Additionally, the control system of IPT could, at higher z distances, turn off the double DD coil structure, and only power the receiver side using the Q coil, which has a larger range.
The measurements confirmed the asymmetrical misalignment tolerance that was theorized in Section 2. Due to the asymmetrical magnetic field, the misalignment of the 2DDQ coil was also asymmetrical. Despite the uneven misalignment tolerance, when using the Q coil structure, the misalignment tolerance of the IPT system increased significantly. The system is, therefore, more suited for cases when the possibility of misalignment between the transmitter and the receiver coils is highly likely to happen. By changing the phase angle of DD1 or DD2 excitation voltage/current, symmetrical tolerance can be achieved. The control circuit must detect the direction of the misalignment and correctly change the phase shift of one or two transmitter coils. This can greatly increase the efficiency of the system, when compared to the less tolerant DD and double DD coil structure.
Compared to the other IPT systems, using bipolar DD coil structures, the proposed 2DDQ systems show some promising results. The baseline of our comparison was double DD coils, which enable IPT with higher power density compared to the systems using only single DD coils. Double DD coils also exhibit symmetrical misalignment tolerance in the x in the y direction. However, the misalignment tolerance between double DD coils is lower compared to the misalignment between DD-DD coils or DD-DDQ coils. The additional Q coils, included in the 2DDQ coil structure, on the transmitter and the receiver side, increase the power density, by providing another wireless power transfer channel. Additionally, due to the cross-coupling between double DD coils on the transmitter side and the Q coil on the receiver side and between the Q coil on the transmitter side and double DD coil on the transmitter side, the misalignment tolerance is increased. By correctly shifting the phase angle between the excitation voltages, the misalignment tolerance between 2DDQ coils can be symmetrical.

6. Conclusions

The evolution of the double DD coil structure is presented in this paper. The structure is composed of two bipolar DD coils and one nonpolar quadrature Q coil. The two DD coils were rotated 90° to each other and are therefore not magnetically coupled. In addition, the Q coil is also not magnetically coupled to DD coils. The proposed coil structure was named a double DDQ coil or 2DDQ coil structure and was used on the transmitter and on the receiver sides. The main feature of this coil structure was that all three coils were not coupled, which was verified by ANSYS Maxwell Simulation and laboratory measurements. Each of the coils could be excited independently using a half bridge or full bridge inverter. In the case of this paper, each coil was excited using a half bridge.
Usually, a Q coil is only used in the form of a DDQ coil on the receiver side, to increase the misalignment tolerance of the DD transmitter and receiver coils. In case of the 2DDQ structure, the Q coil was used to transmit additional power, thus increasing the power density of the IPT system. The IPT system using 2DDQ coils can be used to drive single or triple loads. In the case of a triple load, each load can have different resistance and different voltage. When driving a single load, the output voltage is increased.
The proposed double DDQ coil structure does enable higher power density than the double DD coil structure. However, how much power is transferred is highly dependent on the optimization of the system. By including the Q coil, the misalignment tolerance in both x and y directions is increased drastically. By default, the tolerance is not symmetrical. This can be resolved with correct phase shift of the excitation voltage for the DD1 and the DD2 coil. A system using the 2DDQ coil structure is, thus, more tolerant to the misalignment when compared to the systems using DD and double DD coils.
Further investigation of the IPT system using a 2DDQ coil structure should focus on the optimization of the system. The main goal of the optimization is the higher efficiency of the IPT system and higher power transfer density. For the output voltage and current control purposes, the small-signal model should also be derived. The model should also include the coupling between the transmitter and the receiver coils due to the horizontal misalignment.

Author Contributions

Conceptualization, N.P. and N.P.; methodology, J.D.; software, J.D.; validation, N.P.; investigation, J.D.; data curation, N.P.; writing. All authors have read and agreed to the published version of the manuscript.

Funding

Research was funded by the Slovenian Research Agency (ARRS).

Acknowledgments

The authors acknowledge the financial support from the Slovenian Research Agency (Research Core Funding No. P2-0028).

Conflicts of Interest

The authors declare no conflict of interest.

References

  1. Jawad, A.M.; Nordin, R.; Gharghan, S.K.; Jawad, H.M.; Ismail, M. Opportunities and Challenges for Near-Field Wireless Power Transfer: A Review. Energies 2017, 10, 1022. [Google Scholar] [CrossRef]
  2. Lu, X.; Wang, P.; Niyato, D.; Kim, D.I.; Han, Z. Wireless charging technologies: Fundamentals, standards, and network applications. IEEE Commun. Surv. Tutor. 2015, 18, 1413–1452. [Google Scholar] [CrossRef]
  3. Mohsan, S.A.H.; Khan, M.A.; Mazinani, A.; Alsharif, M.H.; Cho, H.-S. Enabling Underwater Wireless Power Transfer towards Sixth Generation (6G) Wireless Networks: Opportunities, Recent Advances, and Technical Challenges. J. Mar. Sci. Eng. 2022, 10, 1282. [Google Scholar] [CrossRef]
  4. Van Wageningen, D.; Staring, T. The Qi wireless power standard. In Proceedings of the 14th International Power Electronics and Motion Control Conference EPE-PEMC 2010, Ohrid, Republic of Macedonia, 6–8 September 2010; pp. S15–S25. [Google Scholar]
  5. Hui, S.Y. Planar wireless charging technology for portable electronic products and Qi. Proc. IEEE 2013, 101, 1290–1301. [Google Scholar] [CrossRef]
  6. Haerinia, M.; Shadid, R. Wireless power transfer approaches for medical implants: A Review. Signals 2020, 1, 209–229. [Google Scholar] [CrossRef]
  7. Kim, D.; Jeong, D.; Kim, J.; Kim, H.; Kim, J.; Park, S.M.; Ahn, S. Design and implementation of a wireless charging-based cardiac monitoring system focused on temperature reduction and robust power transfer efficiency. Energies 2020, 13, 1008. [Google Scholar] [CrossRef]
  8. Patil, D.; McDonough, M.K.; Miller, J.M.; Fahimi, B.; Balsara, P.T. Wireless power transfer for vehicular applications: Overview and challenges. IEEE Trans. Transp. Electrif. 2017, 4, 3–37. [Google Scholar] [CrossRef]
  9. Machura, P.; Li, Q. A critical review on wireless charging for electric vehicles. Renew. Sustain. Energy Rev. 2019, 104, 209–234. [Google Scholar] [CrossRef]
  10. Kadem, K. Performance Analysis of a 30 kW Dynamic Wireless Power Transfer System for Electric Vehicle. In Proceedings of the 2022 Wireless Power Week (WPW), Bordeaux, France, 5–8 July 2022; IEEE: Piscataway, NJ, USA, 2022; pp. 844–848. [Google Scholar]
  11. Budhia, M.; Covic, G.; Boys, J. (2010, November). A new IPT magnetic coupler for electric vehicle charging systems. In Proceedings of the IECON 2010-36th Annual Conference on IEEE Industrial Electronics Society, Glendale, AZ, USA, 7–10 November 2010; pp. 2487–2492. [Google Scholar]
  12. Li, Y.; Hu, J.; Lin, T.; Li, X.; Chen, F.; He, Z.; Mai, R. A new coil structure and its optimization design with constant output voltage and constant output current for electric vehicle dynamic wireless charging. IEEE Trans. Ind. Inform. 2019, 15, 5244–5256. [Google Scholar] [CrossRef]
  13. Budhia, M.; Boys, J.T.; Covic, G.A.; Huang, C. Development of a Single-Sided Flux Magnetic Coupler for Electric Vehicle IPT Charging Systems. IEEE Trans. Ind. Electron. 2013, 60, 318–328. [Google Scholar] [CrossRef]
  14. Nagendra, G.R.; Boys, J.T.; Covic, G.A.; Riar, B.S.; Sondhi, A. (2013, November). Design of a double coupled IPT EV highway. In Proceedings of the IECON 2013-39th Annual Conference of the IEEE Industrial Electronics Society, Vienna, Austria, 10–13 November 2013; pp. 4606–4611. [Google Scholar]
  15. Zaheer, A.; Hao, H.; Covic, G.A.; Kacprzak, D. Investigation of multiple decoupled coil primary pad topologies in lumped IPT systems for interoperable electric vehicle charging. IEEE Trans. Power Electron. 2014, 30, 1937–1955. [Google Scholar] [CrossRef]
  16. Zhao, L.; Ruddell, S.; Thrimawithana, D.J.; Madawala, U.K.; Hu, P.A. A hybrid wireless charging system with DDQ pads for dynamic charging of EVs. In Proceedings of the 2017 IEEE PELS Workshop on Emerging Technologies: Wireless Power Transfer (WoW), Chongqing, China, 20–22 May 2017; pp. 1–6. [Google Scholar]
  17. Prosen, N.; Domajnko, J.; Milanovič, M. Wireless Power Transfer Using Double DD Coils. Electronics 2021, 10, 2528. [Google Scholar] [CrossRef]
  18. Alexander, K.C.; Sadiku, N.O.M. Magnetically Coupled Circuits. In Fundamentals of Electric Circuits, 3rd ed.; Isenberg, S., Ed.; McGraw-Hill Higher Education: New York, NY, USA, 2007; pp. 528–531. [Google Scholar]
  19. Ahire, D.B.; Gond, V.J.; Chopade, J.J. Compensation topologies for wireless power transmission system in medical implant applications: A review. Biosens. Bioelectron. X 2022, 11, 100180. [Google Scholar] [CrossRef]
  20. Zhang, W.; Mi, C.C. Compensation topologies of high-power wireless power transfer systems. IEEE Trans. Veh. Technol. 2015, 65, 4768–4778. [Google Scholar] [CrossRef]
Figure 1. Different coil topologies: (a) Exploded double DD coil structure (2DD); (b) Exploded double DDQ coil structure (2DDQ).
Figure 1. Different coil topologies: (a) Exploded double DD coil structure (2DD); (b) Exploded double DDQ coil structure (2DDQ).
Electronics 12 00890 g001
Figure 2. IPT system structure using double DDQ coils driving three different loads.
Figure 2. IPT system structure using double DDQ coils driving three different loads.
Electronics 12 00890 g002
Figure 3. EM simulation of magnetic flux density B for the proposed double DDQ coil: (a) Vector B, (b) Complex B.
Figure 3. EM simulation of magnetic flux density B for the proposed double DDQ coil: (a) Vector B, (b) Complex B.
Electronics 12 00890 g003
Figure 4. Fabricated DDQ transmitter/receiver coil.
Figure 4. Fabricated DDQ transmitter/receiver coil.
Electronics 12 00890 g004
Figure 5. IPT system structure using double DDQ coils driving three different loads.
Figure 5. IPT system structure using double DDQ coils driving three different loads.
Electronics 12 00890 g005
Figure 6. IPT system structure using double DDQ coils driving a single load.
Figure 6. IPT system structure using double DDQ coils driving a single load.
Electronics 12 00890 g006
Figure 7. Experimental test setup.
Figure 7. Experimental test setup.
Electronics 12 00890 g007
Figure 8. Comparison between an IPT system using 2DD and 2DDQ topology: (a) Efficiency comparison; (b) Output power comparison.
Figure 8. Comparison between an IPT system using 2DD and 2DDQ topology: (a) Efficiency comparison; (b) Output power comparison.
Electronics 12 00890 g008
Figure 9. Misalignment tolerance of the IPT system along the x-axis: (a) IPT using the 2DD coil structure; (b) IPT using the 2DDQ coil structure.
Figure 9. Misalignment tolerance of the IPT system along the x-axis: (a) IPT using the 2DD coil structure; (b) IPT using the 2DDQ coil structure.
Electronics 12 00890 g009
Figure 10. Misalignment tolerance of the IPT system along the y-axis: (a) IPT using the 2DD coil structure; (b) IPT using the 2DDQ coil structure.
Figure 10. Misalignment tolerance of the IPT system along the y-axis: (a) IPT using the 2DD coil structure; (b) IPT using the 2DDQ coil structure.
Electronics 12 00890 g010
Figure 11. Misalignment tolerance of the IPT system using 2DDQ coils at z = 10 mm: (a) in the x-axis direction; (b) in the y-axis direction.
Figure 11. Misalignment tolerance of the IPT system using 2DDQ coils at z = 10 mm: (a) in the x-axis direction; (b) in the y-axis direction.
Electronics 12 00890 g011
Table 1. ANSYS Maxell simulation results.
Table 1. ANSYS Maxell simulation results.
ParameterValue
DD1 coil self-inductance L138.69 µH
DD2 coil self-inductance L234.89 µH
Q coil self-inductance L329.75 µH
Coupling coefficient k12 (DD1, DD2)0.000010
Coupling coefficient k13 (DD1, Q)−0.000873
Coupling coefficient k23 (DD2, Q)0.001052
Table 2. Measurements of the 2DDQ transmitter and receiver coil.
Table 2. Measurements of the 2DDQ transmitter and receiver coil.
ParameterTransmitterReceiver
DD1 coil self-inductance L144.99 µH44.51 µH
DD2 coil self-inductance L241.06 µH41.47 µH
Q coil self-inductance L342.55 µH43.9 µH
Coupling coefficient k12 (DD1, DD2)0.013960.0277
Coupling coefficient k13 (DD1, Q)0.0085140.01239
Coupling coefficient k23 (DD2, Q)0.021650.02156
Table 3. Small scale prototype parameters.
Table 3. Small scale prototype parameters.
ParameterValue
Input voltage UDC25 V
Input current IDC (max.)4 A
Switching frequency fs87 kHz
DD1 load RL110.7 Ω
DD2 load RL210.7 Ω
Q load RL38.1 Ω
Distance between pads d2 mm–40 mm
Disclaimer/Publisher’s Note: The statements, opinions and data contained in all publications are solely those of the individual author(s) and contributor(s) and not of MDPI and/or the editor(s). MDPI and/or the editor(s) disclaim responsibility for any injury to people or property resulting from any ideas, methods, instructions or products referred to in the content.

Share and Cite

MDPI and ACS Style

Domajnko, J.; Prosen, N. A Wireless Power Transfer System Using a Double DD Quadrature Coil Structure. Electronics 2023, 12, 890. https://doi.org/10.3390/electronics12040890

AMA Style

Domajnko J, Prosen N. A Wireless Power Transfer System Using a Double DD Quadrature Coil Structure. Electronics. 2023; 12(4):890. https://doi.org/10.3390/electronics12040890

Chicago/Turabian Style

Domajnko, Jure, and Nataša Prosen. 2023. "A Wireless Power Transfer System Using a Double DD Quadrature Coil Structure" Electronics 12, no. 4: 890. https://doi.org/10.3390/electronics12040890

APA Style

Domajnko, J., & Prosen, N. (2023). A Wireless Power Transfer System Using a Double DD Quadrature Coil Structure. Electronics, 12(4), 890. https://doi.org/10.3390/electronics12040890

Note that from the first issue of 2016, this journal uses article numbers instead of page numbers. See further details here.

Article Metrics

Back to TopTop