A Six-Switch Mode Decoupled Wireless Power Transfer System with Dynamic Parameter Self-Adaption
Abstract
1. Introduction
2. Circuit Structure and Mode Analysis
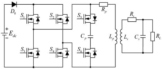
2.1. Circuit Structure and Mode Analysis
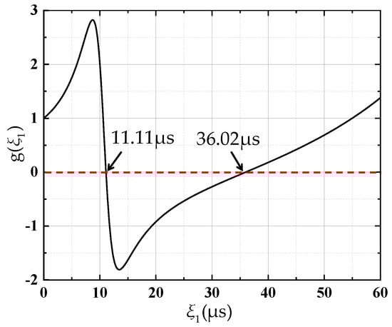
2.2. Calculation of System Soft Switching Operating Point
- β1: S1 = 0 and S4 = 0;
- β2: up = −Edc and ip < 0;
- β3: S2 = 0 and S3 = 0;
- β4: up = Edc and ip > 0.
3. System Characteristics and Experimental Results
3.1. Experimental Devices
3.2. Soft Switching Margin Characteristic
3.3. Dynamic Parameter Adaptation Characteristic
3.4. Decoupling Characteristic of Power Injection and Free Resonance
4. Conclusions
Author Contributions
Funding
Conflicts of Interest
References
- Zhong, W.; Lee, C.K.; Hui, S.Y.R. General Analysis on the Use of Tesla’s Resonators in Domino Forms for Wireless Power Transfer. IEEE Trans. Ind. Electron. 2013, 60, 261–270. [Google Scholar] [CrossRef]
- He, L.; Guo, D. A Clamped and Harmonic Injected Class-E Converter with ZVS and Reduced Voltage Stress over Wide Range of Distance in WPT System. IEEE Trans. Power Electron. 2021, 36, 6339–6350. [Google Scholar] [CrossRef]
- Zhang, Z.; Zhang, B. Omnidirectional and Efficient Wireless Power Transfer System for Logistic Robots. IEEE Access 2020, 8, 13683–13693. [Google Scholar] [CrossRef]
- Zhu, Q.; Wang, L.; Guo, Y.; Liao, C.; Li, F. Applying LCC Compensation Network to Dynamic Wireless EV Charging System. IEEE Trans. Ind. Electron. 2016, 63, 6557–6567. [Google Scholar] [CrossRef]
- Zhu, Q.; Zhang, Y.; Liao, C.; Guo, Y.; Wang, L.; Li, F. Experimental Study on Asymmetric Wireless Power Transfer System for Electric Vehicle Considering Ferrous Chassis. IEEE Trans. Transp. Electrif. 2017, 3, 427–433. [Google Scholar] [CrossRef]
- Feezor, M.; Sorrell, F.Y.; Blankinship, P.R. An interface system for autonomous undersea vehicles. IEEE J. Ocean. Eng. 2001, 26, 522–525. [Google Scholar] [CrossRef]
- Lu, Y.; Ma, D.B. Wireless Power Transfer System Architectures for Portable or Implantable Applications. Energies 2016, 9, 1087. [Google Scholar] [CrossRef]
- Yao, Y.; Wang, Y.; Liu, X.; Lin, F.; Xu, D. A Novel Parameter Tuning Method for a Double-Sided LCL Compensated WPT System with Better Comprehensive Performance. IEEE Trans. Power Electron. 2018, 33, 8525–8536. [Google Scholar] [CrossRef]
- Huang, R.; Zhang, B.; Qiu, D.; Zhang, Y. Frequency Splitting Phenomena of Magnetic Resonant Coupling Wireless Power Transfer. IEEE Trans. Magn. 2014, 50, 1–4. [Google Scholar] [CrossRef]
- Huang, R.; Zhang, B. Frequency, Impedance Characteristics and HF Converters of Two-Coil and Four-Coil Wireless Power Transfer. IEEE J. Emerg. Sel. Top. Power Electron. 2015, 3, 177–183. [Google Scholar] [CrossRef]
- Liao, Z.-J.; Ma, S.; Feng, Q.-K.; Xia, C.; Yu, D. Frequency Splitting Elimination and Utilization in Magnetic Coupling Wireless Power Transfer Systems. IEEE Trans. Circuits Syst. I Regul. Pap. 2021, 68, 929–939. [Google Scholar] [CrossRef]
- Lim, Y.; Tang, H.; Lim, S.; Park, J. An Adaptive Impedance-Matching Network Based on a Novel Capacitor Matrix for Wireless Power Transfer. IEEE Trans. Power Electron. 2014, 29, 4403–4413. [Google Scholar] [CrossRef]
- Ann, S.; Lee, B.K. Analysis of Impedance Tuning Control and Synchronous Switching Technique for a Semi-bridgeless Active Rectifier in Inductive Power Transfer Systems for Electric Vehicles. IEEE Trans. Power Electron. 2021, 36, 8786–8798. [Google Scholar] [CrossRef]
- Wu, M.; Yang, X.; Chen, W.; Wang, L.; Jiang, Y.; Zhao, C.; Yan, Z. A Dual-Sided Control Strategy Based on Mode Switching for Efficiency Optimization in Wireless Power Transfer System. IEEE Trans. Power Electron. 2021, 36, 8835–8848. [Google Scholar] [CrossRef]
- Namadmalan, A. Self-Oscillating Tuning Loops for Series Resonant Inductive Power Transfer Systems. IEEE Trans. Power Electron. 2016, 31, 7320–7327. [Google Scholar] [CrossRef]
- Lin, Z.; Wang, J.; Fang, Z.; Hu, M.; Cai, C.; Zhang, J. Accurate Maximum Power Tracking of Wireless Power Transfer System Based on Simulated Annealing Algorithm. IEEE Access 2018, 6, 60881–60890. [Google Scholar] [CrossRef]
- Luo, D.; Hong, J.; Chen, W. Discrete-Time Modelling to Determine the Possible Operation Points of Incomplete-Resonance Wireless Power Transfer System. J. Phys. Conf. Ser. 2022, 2179, 012011. [Google Scholar] [CrossRef]
- Chen, L.; Hong, J.; Guan, M.; Lin, Z.; Chen, W. A Converter Based on Independently Inductive Energy Injection and Free Res-onance for Wireless Energy Transfer. Energies 2019, 12, 3467. [Google Scholar] [CrossRef]
- Chen, L.; Hong, J.; Lin, Z.; Luo, D.; Guan, M.; Chen, W. A Converter with Automatic Stage Transition Control for Inductive Power Transfer. Energies 2020, 13, 5268. [Google Scholar] [CrossRef]
- Wang, Y.; Dong, L.; Liao, X.; Ju, X.; Su, S.W.; Ma, H. A Pulse Energy Injection Inverter for the Switch-Mode Inductive Power Transfer System. IEEE Trans. Circuits Syst. I Regul. Pap. 2018, 65, 2330–2340. [Google Scholar] [CrossRef]
- Chen, L.; Hong, J.; Guan, M.; Wu, W.; Chen, W. A Power Converter Decoupled from the Resonant Network for Wireless Inductive Coupling Power Transfer. Energies 2019, 12, 1192. [Google Scholar] [CrossRef]
- Yue, R.; Wang, C.; Li, H.; Liu, Y. Constant-Voltage and Constant-Current Output Using P-CLCL Compensation Circuit for Single-Switch Inductive Power Transfer. IEEE Trans. Power Electron. 2021, 36, 5181–5190. [Google Scholar] [CrossRef]
- Wang, C.; Yue, R.; Li, H.; Li, D. Research on Constant-Current and Constant-Voltage Wireless Charging System Based on Sin-gle-Switch Circuit. Trans. China Electrotech. Soc. 2021, 36, 4638–4647+4657. [Google Scholar]
- Tang, C.S.; Sun, Y.; Su, Y.G.; Nguang, S.K.; Hu, A.P. Determining Multiple Steady-State ZCS Operating Points of a Switch-Mode Contactless Power Transfer System. IEEE Trans. Power Electron. 2009, 24, 416–425. [Google Scholar] [CrossRef]




















| Ref. | Dynamic Performance Improving Strategy | Inductors/Capacitors/Switches on the Converter | Have Any Voltage/Current Sensors? | Control Strategy | Achieve Decoupling? | Sensibility to the Parameters |
|---|---|---|---|---|---|---|
| [14] | Impedance matching with a capacitor matrix | 1/(M × N)/(M × N + 1) | Yes | Close loop | No | Low |
| [15] | Frequency tuning loops | 1/1/4 | Yes | Close loop | No | High |
| [16] | Maximum power point tracking | 1/1/4 | Yes | Close loop | No | High |
| [20] | Switch-mode adjusting | 2/3/2 | No | Open loop | Partially | High |
| Proposed | Power injecting structure | 1/1/6 | No | Open loop | Yes | Low |
| Parameter | Value | Parameter | Value |
|---|---|---|---|
| Lp | 660 μH | Edc | 100 V |
| Ls | 585 μH | k | 0.5 |
| Rp, Rs | 0.2 Ω | RL | 10 Ω |
| Cp, Cs | 0.4 μF | T | 110 μs |
| Operation Point | xn | xn1 | ||||||
|---|---|---|---|---|---|---|---|---|
| up (V) | ip (A) | is (A) | uo (A) | up (V) | ip (A) | is (A) | uo (A) | |
| 11.11 μs | 100.0 | 9.812 | 5.986 | 56.594 | 100.0 | 11.305 | 5.657 | 57.483 |
| 36.02 μs | 100.0 | −3.273 | −1.260 | −17.146 | 100.0 | 3.850 | 2.287 | 20.212 |
Disclaimer/Publisher’s Note: The statements, opinions and data contained in all publications are solely those of the individual author(s) and contributor(s) and not of MDPI and/or the editor(s). MDPI and/or the editor(s) disclaim responsibility for any injury to people or property resulting from any ideas, methods, instructions or products referred to in the content. |
© 2023 by the authors. Licensee MDPI, Basel, Switzerland. This article is an open access article distributed under the terms and conditions of the Creative Commons Attribution (CC BY) license (https://creativecommons.org/licenses/by/4.0/).
Share and Cite
Wu, W.; Luo, D.; Hong, J.; Tang, Z.; Chen, W. A Six-Switch Mode Decoupled Wireless Power Transfer System with Dynamic Parameter Self-Adaption. Electronics 2023, 12, 2314. https://doi.org/10.3390/electronics12102314
Wu W, Luo D, Hong J, Tang Z, Chen W. A Six-Switch Mode Decoupled Wireless Power Transfer System with Dynamic Parameter Self-Adaption. Electronics. 2023; 12(10):2314. https://doi.org/10.3390/electronics12102314
Chicago/Turabian StyleWu, Wei, Daqing Luo, Jianfeng Hong, Zhe Tang, and Wenxiang Chen. 2023. "A Six-Switch Mode Decoupled Wireless Power Transfer System with Dynamic Parameter Self-Adaption" Electronics 12, no. 10: 2314. https://doi.org/10.3390/electronics12102314
APA StyleWu, W., Luo, D., Hong, J., Tang, Z., & Chen, W. (2023). A Six-Switch Mode Decoupled Wireless Power Transfer System with Dynamic Parameter Self-Adaption. Electronics, 12(10), 2314. https://doi.org/10.3390/electronics12102314

