Fabrication and Characterization of Si/PEDOT: PSS-Based Heterojunction Solar Cells
Abstract
1. Introduction
2. Experimental Details
2.1. Materials
2.2. Sample Preparation
2.3. Instrumentation
3. Results and Discussion
3.1. Optical Properties
3.2. Surface Morphology Analysis
3.3. Structural Properties
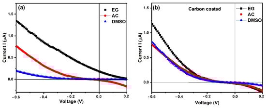
3.4. I–V Analysis
4. Conclusions
Author Contributions
Funding
Data Availability Statement
Acknowledgments
Conflicts of Interest
References
- Andreani, L.C.; Bozzola, A.; Kowalczewski, P.; Liscidini, M.; Redorici, L. Silicon solar cells: Toward the efficiency limits. Adv. Phys. X 2019, 4, 1548305. [Google Scholar] [CrossRef]
- Almomani, M.S.; Ahmed, N.M.; Rashid, M.; Ibnaouf, K.H.; Aldaghri, O.A.; Madkhali, N.; Cabrera, H. Performance improvement of graded bandgap solar cell via optimization of energy levels alignment in Si quantum dot, TiO2 nanoparticles, and porous Si. Photonics 2022, 9, 843. [Google Scholar] [CrossRef]
- Battaglia, C.; Cuevas, A.; de Wolf, S. High-efficiency crystalline silicon solar cells: Status and perspectives. Energy Environ. Sci. 2016, 9, 1552–1576. [Google Scholar] [CrossRef]
- Rajesh, G.; Muthukumarasamy, N.; Velauthapillai, D.; Mohanta, K.; Ragavendran, V.; Batabyal, S.K. Photoinduced electrical bistability of sputter deposited CdZnTe thin films. Mater. Res. Express 2018, 5, 026412. [Google Scholar] [CrossRef]
- Selvapriya, R.; Abhijith, T.; Ragavendran, V.; Sasirekha, V.; Reddy, V.S.; Pearce, J.M.; Mayandi, J. Impact of coupled plasmonic effect with multishaped silver nanoparticles on efficiency of dye sensitized solar cells. J. Alloy. Compd. 2022, 894, 162339. [Google Scholar] [CrossRef]
- Selvapriya, R.; Abhijith, T.; Ragavendran, V.; Sasirekha, V.; Reddy, V.S.; Mayandi, J. Screen printed multifunctional TiO2 photoanode with plasmonic Ag nanoparticles for performance enhancement of dye sensitized solar cell. Mater. Lett. 2020, 276, 128194. [Google Scholar] [CrossRef]
- Sasikala, R.; Kandasamy, M.; Suresh, S.; Ragavendran, V.; Sasirekha, V.; Pearce, J.M.; Murugesan, S.; Mayandi, J. Enhanced dye-sensitized solar cell performance using strontium titanate perovskite integrated photoanodes modified with plasmonic silver nanoparticles. J. Alloy. Compd. 2021, 889, 161693. [Google Scholar] [CrossRef]
- He, L.; Jiang, C.; Wang, H.; Lai, D.; Rusli. High efficiency planar Si/organic heterojunction hybrid solar cells. Appl. Phys. Lett. 2012, 100, 073503. [Google Scholar] [CrossRef]
- Zhao, Y.; Xie, D.; Xu, J.; Feng, T.; Zhang, X.; Tianling, R.; Zhu, M.; Zhu, H. PEDOT: PSS/planar-Si hybrid solar cells with 12.70% effciency. In Proceedings of the PIERS, Guangzhou, China, 25–28 April 2014. [Google Scholar]
- Wang, H.; Wang, J.; Prakoso, A.B.; Hong, L.; Tan, Y.H.; Tan, C.S.; Rusli, R. High-efficiency planar thin-film Si/PEDOT: PSS hybrid solar cell. IEEE J. Photovolt. 2016, 6, 217–222. [Google Scholar] [CrossRef]
- Nagamatsu, K.A.; Avasthi, S.; Jhaveri, J.; Sturm, J.C. Fellow, a 12% efficient silicon/PEDOT: PSS heterojunction solar cell fabricated at <100 °C. IEEE J. Photovolt. 2014, 4, 260–264. [Google Scholar]
- Avasthi, S.; Lee, S.; Loo, Y.; Sturm, J.C. Role of majority and minority carrier barriers silicon/organic hybrid heterojunction solar cells. Adv. Mater. 2011, 23, 5762–5766. [Google Scholar] [CrossRef] [PubMed]
- He, L.; Jiang, C.; Wang, H.; Lai, D.; Rusli. Si nanowires organic semiconductor hybrid heterojunction solar cells toward 10% efficiency. ACS Appl. Mater. Interfaces 2012, 4, 1704–1708. [Google Scholar] [CrossRef] [PubMed]
- Sailor, M.J.; Ginsburg, E.J.; Gorman, C.B.; Kumar, A.; Grubbs, R.H.; Lewis, N.S. Thin films of n-Si/Poly-(CH3)3Si-Cyclooctatetraene: Conducting-polymer solar cells and layered structures. Science 1990, 249, 1146–1149. [Google Scholar] [CrossRef] [PubMed]
- Wang, W.; Schiff, E.A. Polyaniline on crystalline silicon heterojunction solar cells. Appl. Phys. Lett. 2007, 91, 133504. [Google Scholar] [CrossRef]
- El-Nahass, M.M.; Zeyada, H.M.; Abd-El-Rahman, K.F.; Darwish, A.A.A. Fabrication and characterization of 4-tricyanovinyl-N,N-diethylaniline/p-silicon hybrid organic–inorganic solar cells. Sol. Energy Mater. Sol. Cells 2007, 91, 1120–1126. [Google Scholar] [CrossRef]
- McGillivray, D.; Thomas, J.P.; Abd-Ellah, M.; Heinig, N.F.; Leung, K.T. Performance enhancement by secondary doping in PEDOT: PSS/Planar-Si hybrid solar cells. ACS Appl. Mater. Interfaces 2016, 8, 34303–34308. [Google Scholar] [CrossRef]
- Thomas, J.P.; Leung, K.T. Defect-minimized PEDOT:PSS/Planar-Si solar cell with very high efficiency. Adv. Funct. Mater. 2014, 24, 4978–4985. [Google Scholar] [CrossRef]
- Friedel, B.; Keivanidis, P.E.; Brenner, T.J.K.; Abrusci, A.; McNeill, C.R.; Friend, R.H.; Greenham, N.C. Effects of layer thickness and annealing of PEDOT:PSS layers in organic photodetectors. Macromolecules 2009, 42, 6741–6747. [Google Scholar] [CrossRef]
- Shiu, S.-C.; Chao, J.-J.; Hung, S.-C.; Yeh, C.-L.; Lin, C.-F. Morphology dependence of silicon nanowire/Poly (3,4 ethylene dioxythiophene):Poly (styrene sulfonate) heterojunction solar cells. Chem. Mater. 2010, 22, 3108–3113. [Google Scholar] [CrossRef]
- Pietsch, M.; Jäckle, S.; Christiansen, S. Interface investigation of planar hybrid nSi/PEDOT: PSS solar cells with open circuit voltages up to 645 mV and efficiencies of 12.6 %. Appl. Phys. A 2014, 115, 1109–1113. [Google Scholar] [CrossRef]
- He, L.; Jiang, C.; Wang, H.; Lai, D.; Tan, Y.H.; Tan, C.S.; Rusli. Effects of nanowire texturing on the performance of Si/organic hybrid solar cells fabricated with a 2.2 μm thin-film Si absorber. Appl. Phys. Lett. 2012, 100, 103104. [Google Scholar] [CrossRef]
- Wang, H.; Wang, J.; Hong, L.; Tan, Y.H.; Tan, C.S. Thin film silicon nanowire/PEDOT: PSS hybrid solar cells with surface treatment. Nanoscale Res. Lett. 2016, 11, 311. [Google Scholar] [CrossRef]
- Zhang, C.; Zhang, Y.; Guo, H.; Zhang, Z.; Zhang, C. Hole-transporting layer treatment of planar hybrid n-Si/PEDOT:PSS solar cells with power conversion efficiency up to 14.5%. Nanostructured Sol. Cells 2017, 2017, 3192197. [Google Scholar] [CrossRef]
- Zaumseil, P. High-resolution characterization of the forbidden Si 200 and Si 222 reflections. J. Appl. Cryst. 2015, 48, 528–532. [Google Scholar] [CrossRef] [PubMed]
- Singh, P.; Nakra, R.; Sivaiah, B.; Sardana, S.K.; Prathap, P.; Rauthan, C.M.S.; Srivastava, S.K. Effect of ethylene glycol doping on performance of PEDOT:PSS/µT-n-Si heterojunction solar cell. AIP Conf. Proc. 2018, 1961, 020003. [Google Scholar] [CrossRef]
- LiHe, n.; Jiang, C.; Wang, H.; Lei, H.; Lai, D.; Rusli. 11.3% efficient planar Si-PEDOT: PSS hybrid solar cell with a thin interfacial oxide. In Proceedings of the 2012 38th IEEE Photovoltaic Specialists Conference, Austin, TX, USA, 3–8 June 2012. [Google Scholar] [CrossRef]
- Schmidt, J.; Titova, V.; Zielke, D. Organic-silicon heterojunction solar cells: Open-circuit voltage potential and stability. Appl. Phys. Lett. 2013, 103, 183901. [Google Scholar] [CrossRef]
- Zhang, Y.; Zu, F.; Lee, S.-T.; Liao, L.; Zhao, N.; Sun, B. Heterojunction with organic thin layers on silicon for record efficiency hybrid solar cells. Adv. Funct. Mater. 2014, 4, 1300923. [Google Scholar] [CrossRef]
- Zhu, Y.; Song, T.; Zhang, F.; Lee, S.T.; Suna, B. Efficient organic-inorganic hybrid Schottky solar cell: The role of built-in potential. Appl. Phys. Lett. 2013, 102, 113504. [Google Scholar] [CrossRef]
- Jiang, X.; Zhang, P.; Zhang, J.; Wang, J.; Li, G.; Fang, X.; Yang, L.; Chen, X. High performance of PEDOT:PSS/n-Si solar cells based on textured surface with AgNWs electrodes. Nanoscale Res. Lett. 2018, 13, 53. [Google Scholar] [CrossRef]
- Zhang, C.; Zhang, Y.; Guo, H.; Jiang, Q.; Dong, P.; Zhang, C. Efficient planar hybrid n-Si/PEDOT:PSS solar cells with power conversion efficiency up to 13.31% achieved by controlling the SiOx interlayer. Energies 2018, 11, 1397. [Google Scholar] [CrossRef]
- Yoon, S.-S.; Khang, D.-Y. High efficiency (>17%) Si-Organic hybrid solar cells by simultaneous structural, electrical, and interfacial engineering via low-temperature processes. Adv. Energy Mater. 2017, 8, 170265. [Google Scholar] [CrossRef]
- van Trinh, P.; Anh, N.N.; Cham, N.T.; Tu, l.; van Hao, N.; Thang, B.H.; van Chuc, N.; Thanh, C.T.; Minh, P.N.; Fukata, N. Enhanced power conversion efficiency of an n-Si/PEDOT:PSS hybrid solar cell using nanostructured silicon and gold nanoparticles. RSC Adv. 2022, 12, 10514–10521. [Google Scholar] [CrossRef] [PubMed]






| Samples | Optical Mode | Bare Silicon | EG | Acetonitrile | DMSO |
|---|---|---|---|---|---|
| Si/PEDOT: PSS | Reflectance | 67 | 43 | 58 | 62 |
| Absorbance | 0.24 | 0.87 | 0.84 | 0.81 | |
| Carbon coated—Si/PEDOT: PSS | Reflectance | 67 | 8.7 | 7.5 | 10.2 |
| Absorbance | 0.24 | 1.06 | 1.11 | 0.99 |
| Wafer | d-Spacing (Å) | 2θ (degree) |
|---|---|---|
| Si-PEDOT: PSS (EG) | 1.35828 | 69.09817 |
| Si-PEDOT: PSS (Ac) | 1.35828 | 69.08817 |
| Si-PEDOT: PSS (DMSO) | 1.36027 | 68.98316 |
| S. No. | Findings | PCE | Reference |
|---|---|---|---|
| 1 | Proper surface termination and light trapping in Si/organic hybrid cells can potentially deliver very high PCE. | 10.6% | [8] |
| 2 | Effects of H-Si and SiOx-Si surface termination lead to PCE change from 0.04% to 11.3%. | 11.3% | [27] |
| 3 | Hole-conducting polymer PEDOT: PSS provides a high level of surface passivation on c-Si wafers leading to the efficiencies up to 12.3%. | 12.3% | [28] |
| 4 | Superior photovoltaic properties of solar cells could be realized the engineering electrode/semiconductor interface. | 12.2% | [29] |
| 5 | By adding 4% PFI into PEDOT: PSS, the device achieved an FF of 0.70, which improved by 20% compared to the non-treated one. | 9.90% | [30] |
| 6 | Planar Silicon with a hydrogen-terminated Si (H-Si) surface exhibits high power conversion efficiency (PCE) of 8.27~12.70%. | 12.70% | [9] |
| 7 | Cells with longer Si NWs lead to poor performance because of lower shunt resistance and higher recombination rate. | 12.70% | [22] |
| 8 | The minimal-defect interface between PEDOT: PSS and the planar Si substrate Planar-Si HSCs delivered 13.3% PCE. | 13.3% | [18] |
| 9 | Study on an effective method to improve the conductivity of PEDOT: PSS films with n-Si using EG and Triton. | 14.5% | [24] |
| 10 | The mixed PEDOT: PSS solution of DMSO and FS31 achieves higher conductivity and a smaller contact angle. | 11.07% | [31] |
| 11 | Exposure-oxidation treatment of an H-terminated Si substrate enhances the performance of planar hybrid Si/PEDOT: PSS solar cells. | 13.31% | [32] |
| 12 | 10% concentration of EG in PEDOT: PSS polymer device efficiency is the maximum. | 4.69% | [26] |
| 13 | The cell performance of the siloxane layer at both interfaces shows the best result of >17% efficiency. | 17.34% | [33] |
| 14 | Significant improvement in the performance due to the presence of nanostructures leads to the enhancement in light trapping and photo-carrier collection. | 8.15% | [34] |
| 15 | An attempt to find the best solvent for making PEDOT: PSS hybrid solar cell with silicon. Ethylene glycol shows better result. | Isc = 0.2 μA Voc = 0.2 V | Current work |
Publisher’s Note: MDPI stays neutral with regard to jurisdictional claims in published maps and institutional affiliations. |
© 2022 by the authors. Licensee MDPI, Basel, Switzerland. This article is an open access article distributed under the terms and conditions of the Creative Commons Attribution (CC BY) license (https://creativecommons.org/licenses/by/4.0/).
Share and Cite
Venkatesan, R.; Sheik Kadar Maideen, S.M.T.; Chandhiran, S.; Kushvaha, S.S.; Sagadevan, S.; Venkatachalapathy, V.; Mayandi, J. Fabrication and Characterization of Si/PEDOT: PSS-Based Heterojunction Solar Cells. Electronics 2022, 11, 4145. https://doi.org/10.3390/electronics11244145
Venkatesan R, Sheik Kadar Maideen SMT, Chandhiran S, Kushvaha SS, Sagadevan S, Venkatachalapathy V, Mayandi J. Fabrication and Characterization of Si/PEDOT: PSS-Based Heterojunction Solar Cells. Electronics. 2022; 11(24):4145. https://doi.org/10.3390/electronics11244145
Chicago/Turabian StyleVenkatesan, Ragavendran, Sheik Moideen Thaha Sheik Kadar Maideen, Saravanan Chandhiran, Sunil Singh Kushvaha, Suresh Sagadevan, Vishnukanthan Venkatachalapathy, and Jeyanthinath Mayandi. 2022. "Fabrication and Characterization of Si/PEDOT: PSS-Based Heterojunction Solar Cells" Electronics 11, no. 24: 4145. https://doi.org/10.3390/electronics11244145
APA StyleVenkatesan, R., Sheik Kadar Maideen, S. M. T., Chandhiran, S., Kushvaha, S. S., Sagadevan, S., Venkatachalapathy, V., & Mayandi, J. (2022). Fabrication and Characterization of Si/PEDOT: PSS-Based Heterojunction Solar Cells. Electronics, 11(24), 4145. https://doi.org/10.3390/electronics11244145

