An Estimated -Based Iterative Block Decision Feedback Equalization in SC-FDE System
Abstract
1. Introduction
2. Related Work
3. System Model
4. Improved IBDFE Algorithm
4.1. IBDFE Algorithm
4.2. Improved IBDFE Algorithm
4.2.1. MMSE-IBDFE Algorithm
4.2.2. Estimated -Based Iterative Block Decision Feedback Equalization
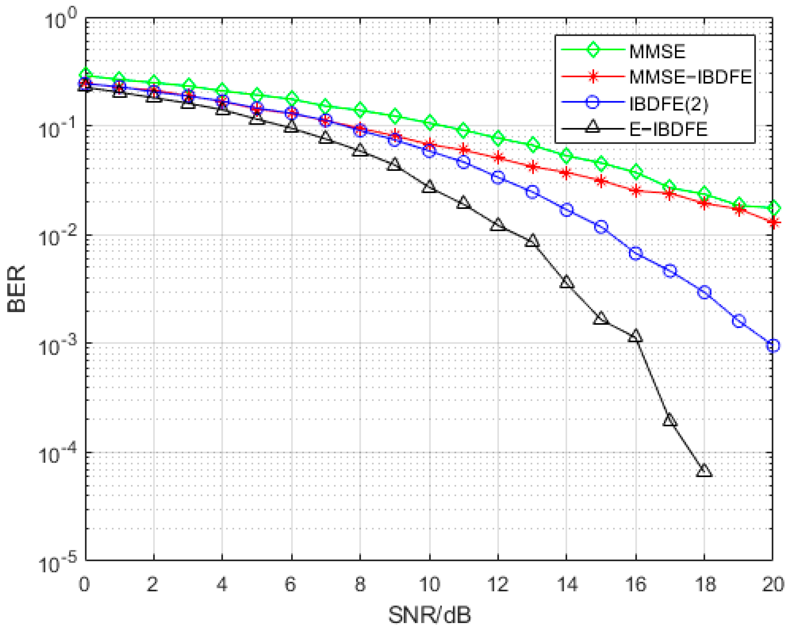
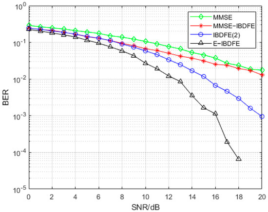
5. Simulations and Results
6. Conclusions
Author Contributions
Funding
Data Availability Statement
Acknowledgments
Conflicts of Interest
References
- Hasegawa, F.; Okazaki, A.; Kubo, H.; Castelain, D.; Mottier, D. A novel PAPR reduction scheme for SC-OFDM with frequency domain multiplexed pilots. IEEE Commun. Lett. 2012, 16, 1345–1348. [Google Scholar] [CrossRef]
- Falconer, D.; Ariyavisitakul, S.L.; Benyamin-Seeyar, A.; Eidson, B. Frequency Domain Equalization for Single-Carrier Broad-band Wireless Systems. IEEE Trans. Comm. Mag. 2002, 40, 58–66. [Google Scholar] [CrossRef]
- Chen, X.H.; Zhao, Y.; Xie, Z.D. High-Speed Modem Technology in Troposcatter Communication; Xidian University Press: Xi’an, China, 2022. [Google Scholar]
- Liu, Y.J.; Chen, X.H.; Zhao, Y. Joint synchronization estimation based on genetic algorithm for OFDM/OQAM systems. J. Syst. Eng. Electron. 2020, 31, 657–665. [Google Scholar]
- Hu, J.S.; Song, Z.X.; Guo, S.X.; Zhang, Q.; Shui, D.D. Sparse channel recovery with inter-carrier interference self-cancellation in OFDM. J. Syst. Eng. Electron. 2018, 29, 676–683. [Google Scholar]
- Sari, H.; Karam, G.; Jeanclaude, I. Frequency-domain equalization of mobile radio and terrestrial broadcast channels. Glob. Telecommun. Conf. 1994, 1, 5079696. [Google Scholar]
- Benvenuto, N.; Dinis, R.; Falconer, D. Single carrier modulation with nonlinear frequency domain equalization: An idea whose time has come again. Proc. IEEE 2010, 98, 69–96. [Google Scholar] [CrossRef]
- Xie, Z.D.; Chen, X.H.; Liu, X.P.; Xue, L.S.; Zhao, Y. Decision feedback equalizer with frequency domain bidirectional noise prediction for MIMO-SCFDE System. IEICE Trans. Commun. 2017, E100-B, 433–439. [Google Scholar] [CrossRef]
- Guo, L.B. Research on Channel Estimation and Equalization Technology Based on SC-FDE Scatter Communication System. Master’ Thesis, Xidian University, Xi’an, China, 2020. [Google Scholar]
- Lu, J.C. Research on Key Techniques of Multi-Antenna System for Single Carrier Frequency Domain Equlization. Master’s Thesis, University of Electronic Science and Technology of China, Chengdu, China, 2015. [Google Scholar]
- Chang, B.S.; Del Monego, H.I.; Munaretto, A.; Fonseca, M.S.P.; Souza, R.D. A simplified widely linear iterative equalizer for sc-fde systems. In Proceedings of the 2017 Wireless Days, Porto, Portugal, 29–31 March 2017; pp. 159–162. [Google Scholar]
- Zeng, Y.H.; Sang, T. Pilot cyclic prefixed single carrier communication channel estimation and equalization. IEEE Signal Process. Lett. 2005, 12, 56–59. [Google Scholar] [CrossRef]
- Qi, Y.L.; Chen, X.H.; Yuan, D.Z. Joint channel estimation and equalization with frame structure based on UW for SC-FDE. Syst. Eng. Electron. 2022. [Google Scholar]
- Salman, M.B.; Guvensen, G.M. An Efficient QAM Detection via Nonlinear Post-distortion for SC-FDE Transmission under PA Impairments with Memory. CoRR 2020. [Google Scholar] [CrossRef]
- Xie, Z.D.; Chen, X.H.; Li, C.L. A novel joint channel estimation and equalization algorithm for MIMO-SCFDE systems over doubly selective channels. Digit. Signal Process. 2018, 75, 202–209. [Google Scholar] [CrossRef]
- Bai, G.; Cheng, Y.F.; Tang, W.B. Deep Learning-Based Single-Carrier Frequency-Domain Equalization. J. Signal Process. 2021, 37, 10. [Google Scholar]
- Cao, T.N.; Jamali, V.; Zlatanov, N.; Yeoh, P.L.; Evans, J.; Schober, R. Fractionally Spaced Equalization and Decision Feedback Sequence Detection for Diffusive MC. IEEE Inst. Electr. Electron. Eng. 2021, 25, 117–121. [Google Scholar] [CrossRef]
- Gu, C.Y.; Yang, R.; Sheng, W.Q.; Li, D.S. A Simplification of IBDFE Algorithm in Single Carrier Frequency Domain Equalization System. Acta Electron. Sin. 2014, 42, 1699–1704. [Google Scholar]
- Yang, Z.; Liu, Z.M. A novel decision feedback equalizer for SC-FDE system. Semicond. Technol. 2007, 32, 800–803. [Google Scholar]
- Liang, H.Y. Research and Implement on Channel Estimation Method and Frequency-Domain Equalization Method in MIMO SC-FDE Systems with Low SNR. Master’s Thesis, Beijing University of Posts and Telecommunications, Beijing, China, 2018. [Google Scholar]
- Huang, S.; Wang, J.; Song, J. A Receiver Diversity Scheme for Single-Carrier System with Unique Word. IEEE Trans. Broadcast. 2012, 58, 305–309. [Google Scholar] [CrossRef]
- Peng, J.Q.; Zhao, H.L.; Zhang, R.Y. An Improved Iterative Block Decision Feedback Equalization for SC-FDE System. Radio Commun. Technol. 2016, 42, 45–85. [Google Scholar]
- Benvenuto, N.; Tomasin, S. Iterative design and detection of a DFE in the frequency domain. IEEE Trans. Commun. 2005, 53, 1867–1875. [Google Scholar] [CrossRef]
- Qi, Y.L.; Chen, X.H.; Xie, Z.D. An improved MMSE-RISIC equalization algorithm for SC-FDE. J. Air Force Eng. Univ. 2018, 19, 83–87. [Google Scholar]
- Zheng, Y.R.; Xiao, C. Channel estimation for frequency-domain equalization of single-carrier broadband wireless communications. IEEE Trans. Veh. Technol. 2009, 58, 815–823. [Google Scholar] [CrossRef]
- Liu, M.; Liu, W.; Zhou, Z.G. Frequency Domain Iterative Decision Feedback Equalization Based on Linearization Factor Update. J. Signal Process. 2019, 35, 1739–1746. [Google Scholar]








| Algorithm Category | Algorithmic Complexity | Coefficient Calculation Amount |
|---|---|---|
| MMSE | ||
| IBDFE | ||
| MMSE-IBDFE | ||
| E-IBDFE |
| Path | Normalized Power | |
|---|---|---|
| 1 | 0 | 0.249 |
| 2 | 0.03 | 0.432 |
| 3 | 0.15 | 0.731 |
| 4 | 0.31 | 0.615 |
| 5 | 0.37 | 0.818 |
| 6 | 0.71 | 0.534 |
| 7 | 0.109 | 0.478 |
| 8 | 0.173 | 0.173 |
| System Parameters | Value |
|---|---|
| Modulation | QPSK |
| FFT length | 256 |
| UW type | Chu array |
| UW length | 32 |
| Maximum Doppler shift | 20 Hz |
| Symbol period | 0.2 |
| Channel coding | None |
| Constellation mapping | Gray Code |
Publisher’s Note: MDPI stays neutral with regard to jurisdictional claims in published maps and institutional affiliations. |
© 2022 by the authors. Licensee MDPI, Basel, Switzerland. This article is an open access article distributed under the terms and conditions of the Creative Commons Attribution (CC BY) license (https://creativecommons.org/licenses/by/4.0/).
Share and Cite
Liu, Y.; Chen, X.; Yuan, D.; Hu, D.
An Estimated
Liu Y, Chen X, Yuan D, Hu D.
An Estimated
Liu, Yidong, Xihong Chen, Dizhe Yuan, and Denghua Hu.
2022. "An Estimated
Liu, Y., Chen, X., Yuan, D., & Hu, D.
(2022). An Estimated

