A Low-Voltage, Low-Power Reconfigurable Current-Mode Softmax Circuit for Analog Neural Networks
Abstract
1. Introduction
2. Analytical Model of the Proposed Softmax Analog Implementation
3. Analog Softmax Circuit Design and Performance
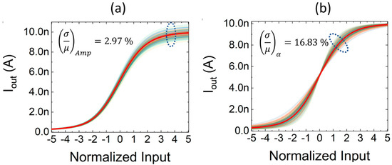
3.1. Softmax Nominal Operation and Impact of the Full-Scale Output Current and Number of Inputs
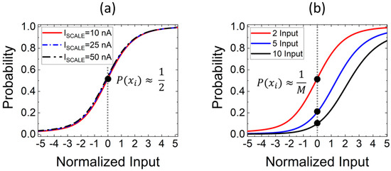
3.2. Impact of Voltage and Temperature on the Softmax Slope
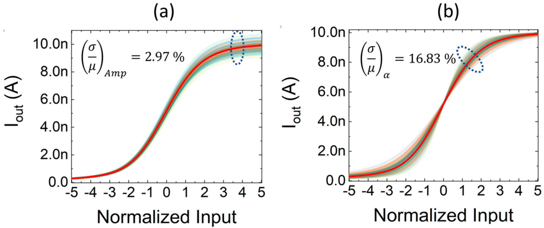
3.3. Mismatch and Process Variations
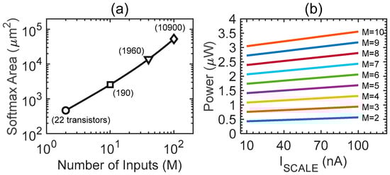
3.4. Area and Power Consumption
3.5. Impact of the Technology Node Scaling
4. Conclusions
Author Contributions
Funding
Conflicts of Interest
References
- Sarpeshkar, R. Analog Versus Digital: Extrapolating from Electronics to Neurobiology. Neural Comput. 1998, 10, 1601–1638. [Google Scholar] [CrossRef] [PubMed]
- Haensch, W.; Gokmen, T.; Puri, R. The Next Generation of Deep Learning Hardware: Analog Computing. Proc. IEEE 2018, 107, 108–122. [Google Scholar] [CrossRef]
- Paliy, M.; Strangio, S.; Ruiu, P.; Rizzo, T.; Iannaccone, G. Analog Vector-Matrix Multiplier Based on Programmable Current Mirrors for Neural Network Integrated Circuits. IEEE Access 2020, 8, 203525–203537. [Google Scholar] [CrossRef]
- Danial, L.; Pikhay, E.; Herbelin, E.; Wainstein, N.; Gupta, V.; Wald, N.; Roizin, Y.; Daniel, R.; Kvatinsky, S. Two-terminal floating-gate transistors with a low-power memristive operation mode for analogue neuromorphic computing. Nat. Electron. 2019, 2, 596–605. [Google Scholar] [CrossRef]
- Veire, L.V.; De Boom, C.; De Bie, T. Sigmoidal NMFD: Convolutional NMF with Saturating Activations for Drum Mixture Decomposition. Electronics 2021, 10, 284. [Google Scholar] [CrossRef]
- Xing, S.; Wu, C. Implementation of A Neuron Using Sigmoid Activation Function with CMOS. In Proceedings of the 2020 IEEE 5th International Conference on Integrated Circuits and Microsystems (ICICM), Nanjing, China, 23–25 October 2020; pp. 201–204. [Google Scholar]
- Shamsi, J.; Amirsoleimani, A.; Mirzakuchaki, S.; Ahmade, A.; Alirezaee, S.; Ahmadi, M. Hyperbolic tangent passive resistive-type neuron. In Proceedings of the 2015 IEEE International Symposium on Circuits and Systems (ISCAS), Lisbon, Portugal, 24–27 May 2015; pp. 581–584. [Google Scholar]
- Fan, D.; Shim, Y.; Raghunathan, A.; Roy, K. STT-SNN: A Spin-Transfer-Torque Based Soft-Limiting Non-Linear Neuron for Low-Power Artificial Neural Networks. IEEE Trans. Nanotechnol. 2015, 14, 1013–1023. [Google Scholar] [CrossRef]
- Valle, M. Analog VLSI Implementation of Artificial Neural Networks with Supervised On-Chip Learning. Analog. Integr. Circuits Signal Process. 2002, 33, 263–287. [Google Scholar] [CrossRef]
- Ghomi, A.; Dolatshahi, M. Design of a new CMOS Low-Power Analogue Neuron. IETE J. Res. 2017, 64, 67–75. [Google Scholar] [CrossRef]
- Joubert, A.; Belhadj, B.; Temam, O.; Héliot, R. Hardware spiking neurons design: Analog or digital? In Proceedings of the the 2012 International Joint Conference on Neural Networks (IJCNN), Brisbane, QLD, Australia, 10–15 June 2012; pp. 1–5. [Google Scholar]
- Khodabandehloo, G.; MirHassani, M.; Ahmadi, M. Analog Implementation of a Novel Resistive-Type Sigmoidal Neuron. IEEE Trans. Very Large Scale Integr. Syst. 2011, 20, 750–754. [Google Scholar] [CrossRef]
- Koosh, V.F.; Goodman, R. VLSI neural network with digital weights and analog multipliers. In Proceedings of the ISCAS 2001. The 2001 IEEE International Symposium on Circuits and Systems (Cat. No.01CH37196), Sydney, NSW, Australia, 6–9 May 2001; Volume 2, pp. 233–236. [Google Scholar]
- Koosh, V.; Goodman, R. Analog VLSI neural network with digital perturbative learning. IEEE Trans. Circuits Syst. II Analog Digit. Signal Process. 2002, 49, 359–368. [Google Scholar] [CrossRef]
- Elfadel, I.M.; Wyatt, J.L. The “Softmax” nonlinearity: Derivation using statistical mechanics and useful properties as a multiterminal analog circuit element. In Proceedings of the 6th International Conference on Neural Information Processing Systems (NIPS’93), Denver, CO, USA, 1 January 1993; Morgan Kaufmann Publishers Inc.: San Francisco, CA, USA, 1993; pp. 882–887. [Google Scholar]
- Zunino, R.; Gastaldo, P. Analog implementation of the SoftMax function. In Proceedings of the 2002 IEEE International Symposium on Circuits and Systems. Proceedings (Cat. No.02CH37353), Phoenix-Scottsdale, AZ, USA, 26–29 May 2002; pp. II.117–II.120. [Google Scholar]
- Mohammed, A.A.; Umaashankar, V. Effectiveness of Hierarchical Softmax in Large Scale Classification Tasks. In Proceedings of the 2018 International Conference on Advances in Computing, Communications and Informatics (ICACCI), Bangalore, India, 19–22 September 2018; pp. 1090–1094. [Google Scholar]
- Kouretas, I.; Paliouras, V. Hardware Implementation of a Softmax-Like Function for Deep Learning. Technologies 2020, 8, 46. [Google Scholar] [CrossRef]
- Li, Z.; Li, H.; Jiang, X.; Chen, B.; Zhang, Y.; Du, G. Efficient FPGA Implementation of Softmax Function for DNN Applications. In Proceedings of the 2018 12th IEEE International Conference on Anti-Counterfeiting, Security, and Identification (ASID), Xiamen, China, 9–11 November 2018; pp. 212–216. [Google Scholar]
- Dong, X.; Zhu, X.; Ma, D. Hardware Implementation of Softmax Function Based on Piecewise LUT. In Proceedings of the 2019 IEEE International Workshop on Future Computing (IWOFC), Hangzhou, China, 14–15 December 2019; pp. 1–3. [Google Scholar]
- Kagalkar, A.; Raghuram, S. CORDIC Based Implementation of the Softmax Activation Function. In Proceedings of the 2020 24th International Symposium on VLSI Design and Test (VDAT), Bhubaneswar, India, 23–25 July 2020; pp. 1–4. [Google Scholar]
- Alabassy, B.; Safar, M.; El-Kharashi, M.W. A High-Accuracy Implementation for Softmax Layer in Deep Neural Networks. In Proceedings of the 2020 15th Design & Technology of Integrated Systems in Nanoscale Era (DTIS), Marrakech, Morocco, 1–3 April 2020; pp. 1–6. [Google Scholar]
- Serrano-Gotarredona, T.; Linares-Barranco, B.; Andreou, A.G. A general translinear principle for subthreshold MOS transistors. IEEE Trans. Circuits Syst. I Regul. Pap. 1999, 46, 607–616. [Google Scholar] [CrossRef]
- Al-Absi, M.A.; Hussein, A.; Abuelma’Atti, M.T. A Novel Current-Mode Ultra Low Power Analog CMOS Four Quadrant Multiplier. In Proceedings of the 2012 International Conference on Computer and Communication Engineering (ICCCE), Kuala Lumpur, Malaysia, 3–5 July 2012; pp. 13–17. [Google Scholar] [CrossRef]










Publisher’s Note: MDPI stays neutral with regard to jurisdictional claims in published maps and institutional affiliations. |
© 2021 by the authors. Licensee MDPI, Basel, Switzerland. This article is an open access article distributed under the terms and conditions of the Creative Commons Attribution (CC BY) license (https://creativecommons.org/licenses/by/4.0/).
Share and Cite
Vatalaro, M.; Moposita, T.; Strangio, S.; Trojman, L.; Vladimirescu, A.; Lanuzza, M.; Crupi, F. A Low-Voltage, Low-Power Reconfigurable Current-Mode Softmax Circuit for Analog Neural Networks. Electronics 2021, 10, 1004. https://doi.org/10.3390/electronics10091004
Vatalaro M, Moposita T, Strangio S, Trojman L, Vladimirescu A, Lanuzza M, Crupi F. A Low-Voltage, Low-Power Reconfigurable Current-Mode Softmax Circuit for Analog Neural Networks. Electronics. 2021; 10(9):1004. https://doi.org/10.3390/electronics10091004
Chicago/Turabian StyleVatalaro, Massimo, Tatiana Moposita, Sebastiano Strangio, Lionel Trojman, Andrei Vladimirescu, Marco Lanuzza, and Felice Crupi. 2021. "A Low-Voltage, Low-Power Reconfigurable Current-Mode Softmax Circuit for Analog Neural Networks" Electronics 10, no. 9: 1004. https://doi.org/10.3390/electronics10091004
APA StyleVatalaro, M., Moposita, T., Strangio, S., Trojman, L., Vladimirescu, A., Lanuzza, M., & Crupi, F. (2021). A Low-Voltage, Low-Power Reconfigurable Current-Mode Softmax Circuit for Analog Neural Networks. Electronics, 10(9), 1004. https://doi.org/10.3390/electronics10091004

