Dual-Band/Dual-Mode Rat-Race/Branch-Line Coupler Using Split Ring Resonators
Abstract
:1. Introduction
2. Circuit Model and Implementation of Artificial Transmission by Means of OSSR
2.1. Rat-Race Coupler
2.2. Branch Line Coupler
2.3. Artificial TLs Design
2.4. Accurate Circuit Model and Electromagnetic Simulation of the Proposed Coupler
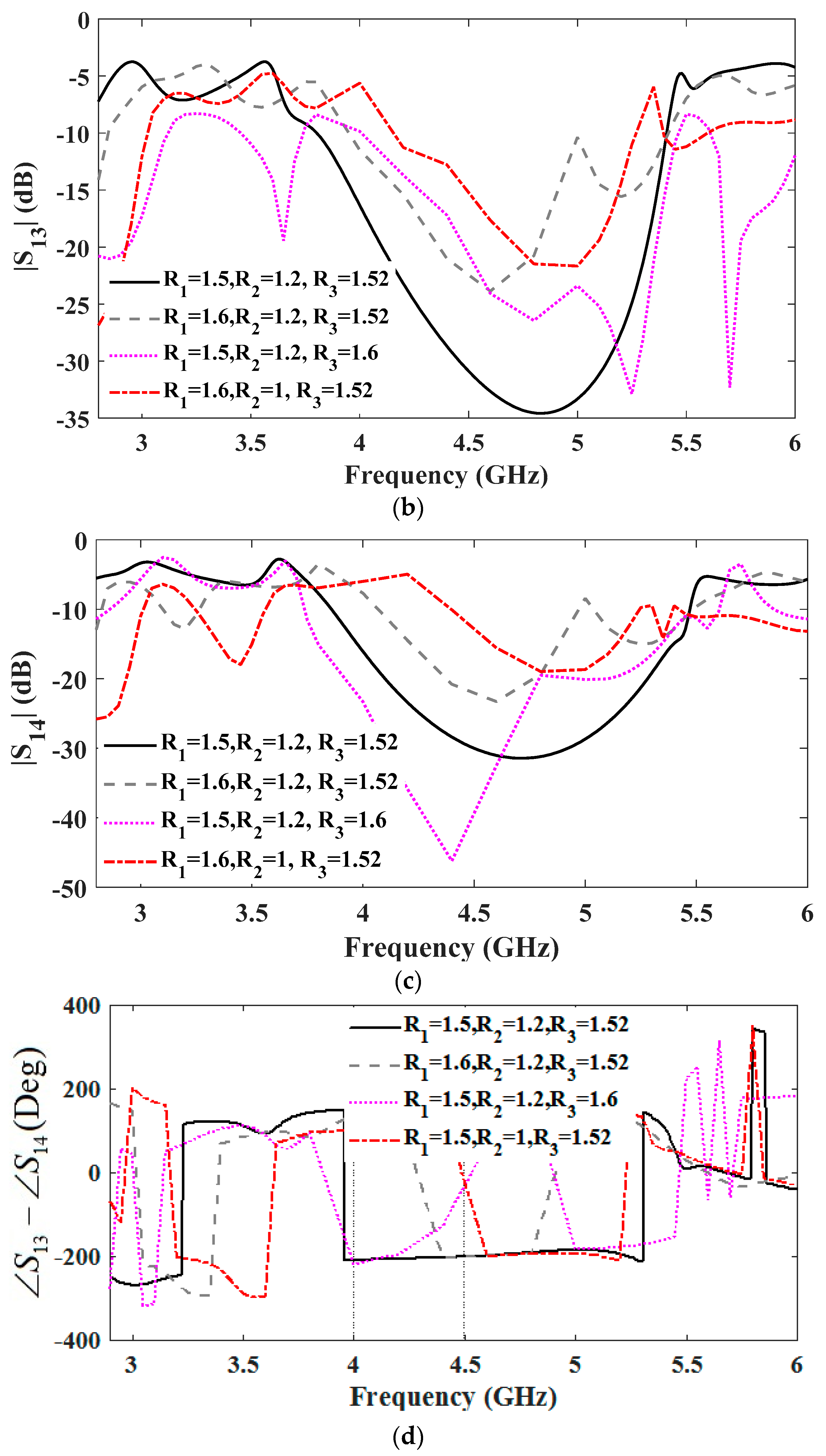
2.5. Parametric Study of the Proposed Coupler
3. Dual-Mode/Dual-band Coupler Simulated and Measured Results
4. Conclusions
Author Contributions
Funding
Conflicts of Interest
References
- Lin, I.H.; DeVincentis, M.; Caloz, C.; Itoh, T. Arbitrary dual-band components using composite right/left-handed transmission lines. IEEE Trans. Microw. Theory Tech. 2004, 52, 1142–1149. [Google Scholar] [CrossRef]
- Chi, P.L.; Itoh, T. Miniaturized dual-band directional couplers using composite right/left-handed transmission structures and their applications in beam pattern diversity systems. IEEE Trans. Microw. Theory Tech. 2009, 57, 1207–1215. [Google Scholar]
- Chang, L.; Ma, T.G. Dual-mode branch-line/rat-race coupler using composite right-/left-handed lines. IEEE Microw. Wirel. Compon. Lett. 2017, 27, 449–451. [Google Scholar] [CrossRef]
- Ghaffarian, M.S.; Moradi, G.; Mousavi, P. Dual band/ dual mode branch-line/rat-race coupler using artificial transmission line. In Proceedings of the 2019 27th Iranian Conference on Electrical Engineering (ICEE), Yazd, Iran, 30 April–2 May 2019; pp. 1622–1626. [Google Scholar]
- Bonache, J.; Siso, G.; Gil, M.; Iniesta, Á.; Garcia-Rincon, J.; Martin, F. Application of composite right/left handed (artificial) transmission lines based on complementary split ring resonators (CSRRs) to the design of dual-band microwave components. IEEE Trans. Microw. Theory Tech. 2008, 18, 524–526. [Google Scholar]
- Duran-Sindreu, M.; Siso, G.; Bonache, J.; Martin, F. Planar multi-band microwave components based on the generalized composite right/left handed transmission line concept. IEEE Trans. Microw. Theory Tech. 2010, 58, 3882–3891. [Google Scholar] [CrossRef]
- Zheng, S.Y.; Wu, Y.; Liu, Y.; Li, Y.; Long, Y. Dual-band hybrid coupler with arbitrary power division ratios over the two bands. IEEE Trans. Compon. Packag. Manuf. Technol. 2014, 4, 1347–1358. [Google Scholar] [CrossRef]
- Lin, Y.; Lin, C. Miniature dual-band quadrature coupler with arbitrary power division ratios over the two bands. IEEE Trans. Circuits Syst. I Regul. Pap. 2020, 67, 634–646. [Google Scholar] [CrossRef]
- Cheng, K.-K.M.; Wong, F.-L. A novel approach to the design and implementation of dual-band compact planar 90° branch-line coupler. IEEE Trans. Microw. Theory Tech. 2004, 52, 2458–2463. [Google Scholar] [CrossRef]
- Feng, W.; Duan, X.; Shi, Y.; Zhou, X.Y.; Che, W. Dual-band branch-line couplers with short/open-ended stubs. IEEE Trans. Circuits Syst. II Express Briefs 2020, 67, 2497–2501. [Google Scholar] [CrossRef]
- Park, M.-J.; Lee, B. dual-band, cross coupled branch line coupler. IEEE Microw. Wirel. Compon. Lett. 2005, 15, 655–657. [Google Scholar] [CrossRef]
- Kim, H.; Lee, B.; Park, M.-J. Dual-band branch-line coupler with port extensions. IEEE Trans. Microw. Theory Tech. 2010, 58, 651–655. [Google Scholar]
- Chi, P.; Chen, T. Dual-band ring coupler based on the composite right/left-handed folded substrate-integrated waveguide. IEEE Microw. Wirel. Compon. Lett. 2014, 24, 330–332. [Google Scholar] [CrossRef]
- Gai, C.; Jiao, Y.; Zhao, Y. Compact dual-band branch-line coupler with dual transmission lines. IEEE Microw. Wirel. Compon. Lett. 2016, 26, 325–327. [Google Scholar] [CrossRef]
- Zaidi, A.M.; Kanaujia, B.K.; Beg, M.T.; Kishor, J.; Rambabu, K. A novel dual-band branch line coupler for dual-band butler matrix. IEEE Trans. Circuits Syst. II Express Briefs 2019, 66, 1987–1991. [Google Scholar] [CrossRef]
- Wang, X.; Yin, W.; Wu, K. A Dual-band coupled-line coupler with an arbitrary coupling coefficient. IEEE Trans. Microw. Theory Tech. 2012, 60, 945–951. [Google Scholar] [CrossRef]
- Yu, C.; Pang, Y. Dual-band unequal-power quadrature branch-line coupler with coupled lines. IEEE Microw. Wirel. Compon. Lett. 2013, 23, 10–12. [Google Scholar] [CrossRef]
- Feng, W.; Zhao, Y.; Che, W.; Chen, H.; Yang, W. Dual-/Tri-band branch line couplers with high power division isolation using coupled lines. IEEE Trans. Circuits Syst. II Express Briefs 2018, 65, 461–465. [Google Scholar] [CrossRef]
- Gao, L.; Zheng, S.Y.; Hong, W.; Li, Y. Tight coupling dual-band coupler with large frequency ratio and arbitrary power division ratios over two bands. IEEE Access 2019, 7, 184489–184499. [Google Scholar] [CrossRef]
- Chang, C.; Chin, K.; Chiang, Y. Dual-band coupled-line couplers with wide separation between bands. IEEE Trans. Microw. Theory Tech. 2017, 65, 2918–2929. [Google Scholar] [CrossRef]
- Cai, L.; Cheng, K.M. A novel design of dual-band Rat-Race coupler with reconfigurable power-dividing ratio. IEEE Microw. Wirel. Compon. Lett. 2018, 28, 16–18. [Google Scholar] [CrossRef]
- Pan, Y.F.; Zheng, S.Y.; Hong, W.; Chan, W.S. Highly reconfigurable dual-Band coupler with independently tunable frequency and coupling coefficient at the lower band. IEEE Trans. Ind. Electron. 2021, 68, 2408–2416. [Google Scholar] [CrossRef]
- Chen, C.; Chang, S.; Tseng, B. Compact microstrip dual-band quadrature coupler based on coupled-resonator technique. IEEE Microw. Wirel. Compon. Lett. 2016, 26, 487–489. [Google Scholar] [CrossRef]
- Tseng, C.-H.; Chen, C.-J.; Chu, T.-H. A low-cost 60 GHz switched beam patch antenna array with Butler matrix network. IEEE Antennas Wirel. Propag. Lett. 2008, 7, 432–435. [Google Scholar] [CrossRef]
- Yu, Z.W.; Wang, G.M.; Zhang, C.X. Broadband planar monopulse antenna array of C band. IEEE Antennas Wirel. Propag. Lett. 2009, 8, 1325–1328. [Google Scholar]
- Djerafi, T.; Fonseca, N.J.G.; Wu, K. Planar-band 4 4nolen matrix in SIW technology. IEEE Trans. Microw. Theory Tech. 2010, 58, 259–266. [Google Scholar] [CrossRef]
- Ghaffarian, M.S.; Honari, M.; khajepour, S.; Moradi, G.; Shamaie, M. Wide band low cost minopulse comparator circuit. IET Microw. Antennas Propag. 2017, 10, 1339–1344. [Google Scholar]
- Quirarte, J.L.R.; Starski, J.P. Novel Schiffman phase shifters. IEEE Trans. Microw. Theory Tech. 1993, 41, 9–14. [Google Scholar] [CrossRef]
- Guo, Y.X.; Zhang, Z.Y.; Ong, L.C. Improved wide -band schiffman phase shifter. IEEE Trans. Microw. Tech. 2006, 54, 1196–1200. [Google Scholar]
- Zheng, S.Y.; Chan, W.S.; Man, K.F. Broadband phase shifter using loaded transmission line. IEEE Microw. Wirel. Compon. Lett. 2010, 20, 498–500. [Google Scholar] [CrossRef]
- Khajepour, S.; Asadi, S.; Ghaffarian, M.S.; Moradi, G. Novel wideband reflective phase shifters with wide range of phase applications. AEU–Int. J. Electron. Commun. 2017, 71, 30–36. [Google Scholar] [CrossRef]
- Wong, Y.S.; Zheng, S.Y.; Chan, W.S. Quasi-Arbitrary Phase-Difference Hybrid Coupler. IEEE Trans. Microw. Theory Tech. 2012, 60, 1530–1539. [Google Scholar] [CrossRef]
- Honari, M.M.; Mirzavand, R.; Mousavi, P.; Abdipour, A. Class of miniaturised/arbitrary power division ratio couplers with improved design flexibility. IET Microw. Antennas Propag. 2015, 9, 1066–1073. [Google Scholar] [CrossRef]
- Pozar, D.M. Microwave Engineering, 3rd ed.; Wiley: New York, NY, USA, 2005; pp. 311–312. [Google Scholar]
- Martel, J.; Marqués, R.; Falcone, F.; Baena, J.D.; Medina, F.; Martín, F.; Sorolla, M. A new LC series element for compact bandpass filter design. IEEE Microw. Wirel. Compon. Lett. 2004, 14, 210–212. [Google Scholar] [CrossRef]
- Vitas, A.; Vita, V.; Chatzarakis, G.E.; Ekonomou, L. Review of different ring resonator coupling methods. In Proceedings of the 9th WSEAS International Conferenc on Telecommunications and Informatics (TELE-INFO ’10), Catania, Sicily, Italy, 29–31 May 2010; pp. 227–231. [Google Scholar]
- Baena, J.D.; Bonache, J.; Martín, F.; Marqués, R.; Falcone, F.; Lopetegi, T.; Laso, M.A.G.; García, J.; Gil, I.; Sorolla, M. Equivalent circuit models for split ring resonators and complementary split rings resonators coupled to planar transmission lines. IEEE Trans. Microw. Theory Tech. 2005, 53, 1451–1461. [Google Scholar] [CrossRef]
- Marques, R.; Mesa, F.; Martel, J.; Medina, F. Comparative analysis of edge- and broadside- coupled split ring resonators for metamaterial design-theory and experiments. IEEE Trans. Antennas Propag. 2003, 51, 2572–2581. [Google Scholar] [CrossRef] [Green Version]











| Prop. Coupler (Mode) | Branch Line (Sim.) | Branch Line (Meas.) | Rat-Race (Sim.) | Rat-Race (Meas.) |
|---|---|---|---|---|
| Center freq. (GHz) | 3.05/3.65 | 3.3/3.85 | 5.45 | 5.27 |
| BW (%) (|S11| < −10 dB) | 3.5/4 | 0.5/6 | 3.5 | 4 |
| BW (%) (|S12| < −15 dB) | 6.6/2.5 | 2.5/6 | 2 | 4 |
| |S13| (dB) | −3.3/−3 | −4.8/−3 | −5.3 | −5 |
| |S14| (dB) | −4/−3.9 | −5/−3.6 | −5.5 | −5 |
| BW (%) (|S13|−|S14|<1.5 dB) | 8/2 | 2.5/5.5 | 4 | 6 |
| Phase imbalance | 1.5°/2° | 1.5°/1° | 2° | 2.5° |
| BW (%) | 7/3 | 3/2.5 | 7 | 3 |
| Ref | Frequency (GHz) | Dual Band | Number of Modes (BL and RC) | Coupling (dB) | Phase Imbalance (Deg) | |
|---|---|---|---|---|---|---|
| This work | 0.052 | 3.3/3.85/5.27 | YES | 2 | <5 | <2.5 |
| [3] | 0.054 | 1.5/2.5 | YES | 2 | <5 | <5.5 |
| [5] | 0.04 | 0.9/1.8 | YES | 1 | <5 | <2.5 |
| [6] | 0.091 | 3.1/5 | YES | 1 | <4.3 | <4 |
| [8] | - | 0.9/2 | YES | 1 | <3.5 | <5 |
| [10] | 0.162 | 0.9/1.8 | YES | 1 | <4.1 | <1 |
| [12] | - | 1/2 | YES | 1 | <3.7 | <1 |
| [13] | - | 4.3/7.6 | YES | 1 | <3.9 | - |
| [14] | 0.017 | 0.87/1.79 | YES | 1 | <3.9 | <2 |
| [17] | - | 2.45/6.1 | YES | 1 | <4.8 | <1 |
| [19] | 0.072 | 1/5.2 | YES | 1 | <4.3 | <1.5 |
| [20] | 0.042 | 0.7/2.55 | YES | 1 | <3.5 | <2 |
Publisher’s Note: MDPI stays neutral with regard to jurisdictional claims in published maps and institutional affiliations. |
© 2021 by the authors. Licensee MDPI, Basel, Switzerland. This article is an open access article distributed under the terms and conditions of the Creative Commons Attribution (CC BY) license (https://creativecommons.org/licenses/by/4.0/).
Share and Cite
Ghaffarian, M.S.; Moradi, G.; Khajehpour, S.; Honari, M.M.; Mirzavand, R. Dual-Band/Dual-Mode Rat-Race/Branch-Line Coupler Using Split Ring Resonators. Electronics 2021, 10, 1812. https://doi.org/10.3390/electronics10151812
Ghaffarian MS, Moradi G, Khajehpour S, Honari MM, Mirzavand R. Dual-Band/Dual-Mode Rat-Race/Branch-Line Coupler Using Split Ring Resonators. Electronics. 2021; 10(15):1812. https://doi.org/10.3390/electronics10151812
Chicago/Turabian StyleGhaffarian, Mohammad Saeid, Gholamreza Moradi, Somayyeh Khajehpour, Mohammad Mahdi Honari, and Rashid Mirzavand. 2021. "Dual-Band/Dual-Mode Rat-Race/Branch-Line Coupler Using Split Ring Resonators" Electronics 10, no. 15: 1812. https://doi.org/10.3390/electronics10151812
APA StyleGhaffarian, M. S., Moradi, G., Khajehpour, S., Honari, M. M., & Mirzavand, R. (2021). Dual-Band/Dual-Mode Rat-Race/Branch-Line Coupler Using Split Ring Resonators. Electronics, 10(15), 1812. https://doi.org/10.3390/electronics10151812

