Bioactive Compounds for Topical and Minimally Invasive Cellulite Treatment and Skin Rejuvenation
Abstract
1. Introduction
1.1. Overview of Cellulite
1.2. Impact of Cellulite on Quality of Life
1.3. Cellulite and Skin Ageing
1.4. Objectives of the Paper
- Summarise the pathophysiology of cellulite and its relationship with skin ageing, highlighting structural, hormonal, and metabolic factors;
- Identify and classify active ingredients with demonstrated topical efficacy in improving cellulite appearance and enhancing skin firmness, elasticity, and texture;
- Discuss the mechanisms of action of key compounds, including lipolytic, microcirculation-enhancing, antioxidant, and anti-inflammatory effects;
- Review clinical and experimental evidence supporting the use of these ingredients in cosmetic formulations (topical and injectable);
- Highlight the trends and future perspectives for integrated approaches combining anti-cellulite and anti-ageing strategies.
2. Materials and Methods
3. Aetiology and Physiology of Cellulite
3.1. Anatomy of Cellulite
Classifications of Cellulite
- Grade 0: No visible cellulite, even with the pinch test;
- Grade 1: No visible cellulite at rest; dimpling appears only with pinch or muscle contraction;
- Grade 2: Dimpling is visible when standing but not when lying down;
- Grade 3: Dimpling visible when standing and lying down, with pronounced nodules and raised areas [6].
- Number of depressions;
- Depth of depressions;
- Skin surface alterations (“orange peel”, cottage cheese, mattress appearance);
- Nodularity level;
- Flaccidity.
- Contains 11 items evaluating cosmetic and psychological impacts;
- Reliable and valid metric correlating with clinical observation and patient perception.
3.2. Pathophysiology of Cellulite
- Structural theory of Nürnberger and Müller: differences in subcutaneous architecture between sexes, with women having collagen fibres arranged in rectangular lobules that, under the influence of oestrogen, allow adipose protrusions visible as dimpling.
- Vascular theory of Merlen and Curri: altered blood flow and lymphatic drainage in affected tissues lead to fibrosis.
- Inflammatory theory of Gruber, Huber, and Draelos: chronic inflammation driven by oestrogen, with increased glycosaminoglycan deposition by fibroblasts, which contributes to tissue changes [26].
3.2.1. Adiponectin and Leptin
3.2.2. Chronic Inflammation and Vascular Insufficiency
3.2.3. Endothelial Dysfunction
3.2.4. Genetic Predisposition
3.2.5. Hormones
3.2.6. Hypoxia-Inducible Factor 1
3.2.7. Obesity
4. Skin Ageing Mechanisms in Cellulite
4.1. Connective Tissue Disorganisation and Fibrosis
4.2. Cellular Senescence and Inflammation
4.3. Oxidative Stress and Extracellular Matrix Degradation
4.4. Extracellular Matrix Remodelling
4.5. Hormonal, Genetic and Lifestyle Factors
5. Treatment of Cellulite
5.1. Active Ingredients for Topical Cellulite Treatment
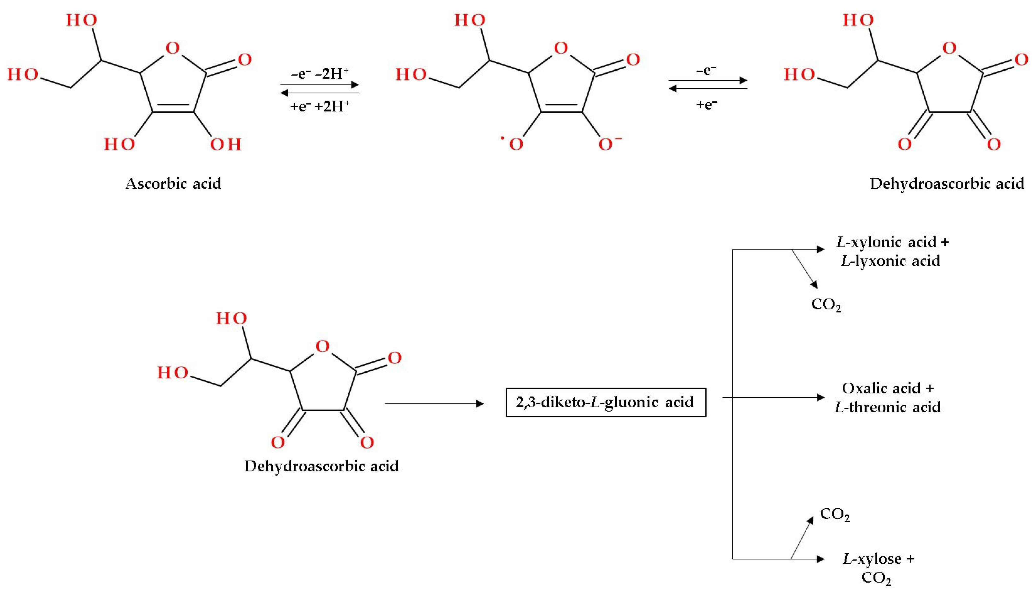
5.1.1. Ascorbic Acid
5.1.2. Camphor
5.1.3. Capsaicin
5.1.4. L-Carnitine
5.1.5. Forskolin
5.1.6. Menthol
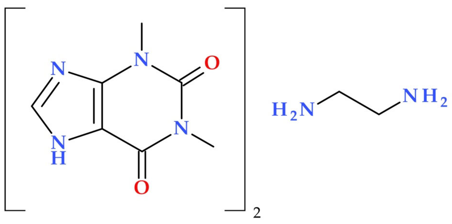
5.1.7. Methylxantines
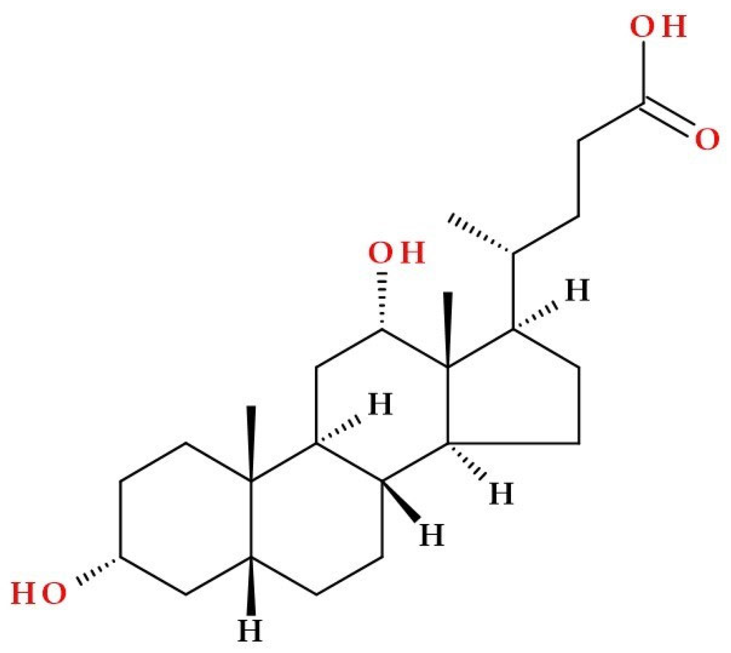
5.1.8. Retinol
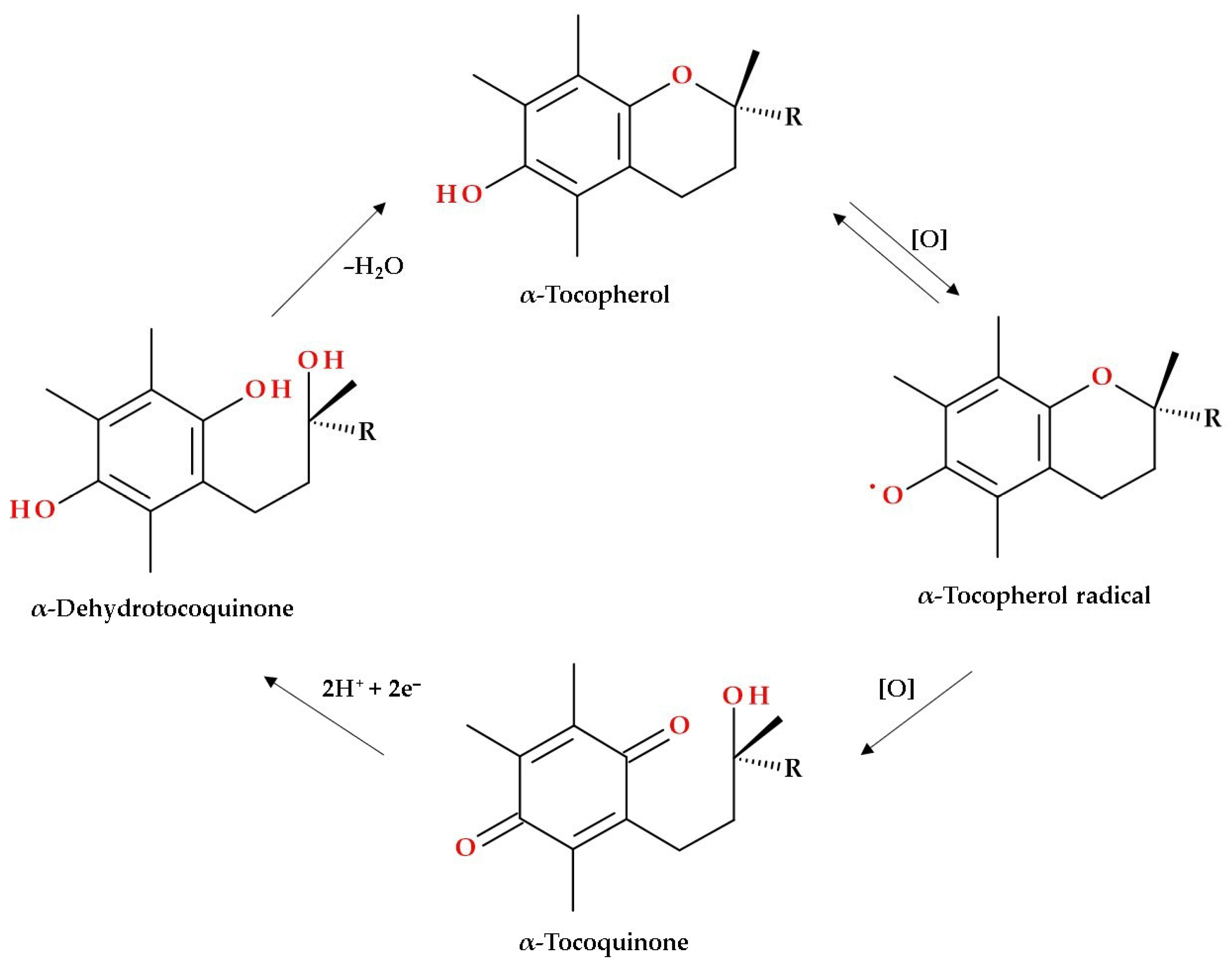
5.1.9. α-Tocopherol
5.2. Plant-Derived Active Ingredients for the Treatment of Cellulite
5.2.1. Aesculus hippocastanum L. (Horse Chestnut)
5.2.2. Annona squamosa L. (Custard Apple)
5.2.3. Boesenbergia rotunda (L.) Mansf. (Fingerroot)
5.2.4. Camellia sinensis (L.) Kuntze (Green Tea)
5.2.5. Centella asiatica (L.) Urb. (Gotu Kola)
5.2.6. Coffee Silverskin
5.2.7. Gelidium corneum (Hudson) J.V.Lamouroux (Red Algae)
5.2.8. Hedera helix L. (Ivy)
5.2.9. Rosmarinus officinalis L. (Rosemary)
5.2.10. Zanthoxylum clava-herculis L. (Toothache Tree)
5.2.11. Other Investigated Plants
5.3. Minimally Invasive Injectable Treatments
5.3.1. Deoxycholic Acid
5.3.2. Poly-L-Lactic Acid
6. Clinical Perspective: Cellulite and Skin Rejuvenation
- Efficacy. Clinical results are typically modest, with the most consistent evidence supporting formulations containing caffeine and retinol. Preparations incorporating multiple active agents appear to confer synergistic effects, yielding superior improvements relative to single-ingredient products and improving both cellulite severity and skin texture. Injectable agents offer targeted benefits for cellulite management by addressing specific tissue components. Deoxycholic acid reduces localised fat, while PLLA may improve skin quality and dimpling. Combining these injectables with topical lipolytic and antioxidant actives and, when appropriate, energy-based devices, can form multimodal protocols that may deliver synergistic improvements in contour, firmness, and surface regularity.
- Safety. The majority of topical formulations exhibit favourable tolerability profiles; however, retinol may cause irritant reactions at concentrations exceeding 0.3%. Additionally, capsaicin and camphor are associated with transient erythema and localised burning sensations, reflecting their vasomodulatory and sensory-stimulatory properties. Deoxycholic acid injections often cause temporary pain, swelling, and erythema, with rare but reported risks such as nerve injury or ulceration, highlighting the need for appropriate patient selection and skilled technique. PLLA is generally well tolerated when properly diluted and injected into deep planes, with massage recommended to reduce the risk of nodules; adverse effects are typically mild and self-limited.
- Regulatory status. To date, no topical formulation for cellulite management has received FDA approval. The only FDA-authorised intervention targeting localised adiposity is deoxycholic acid, approved exclusively for subcutaneous injection to treat submental fat. PLLA (e.g., Sculptra®) is FDA-approved for facial aesthetic indications (cheek wrinkles) and has obtained EU MDR certification for selected body areas; however, cellulite-specific indications may still be jurisdiction-dependent, and off-label use should follow established consensus guidelines and local regulations.
- Patient expectations. Clinicians should advise patients that topical interventions are adjunctive rather than definitive therapies. Optimal results are typically achieved through a multimodal approach that integrates topical formulations with lifestyle modifications, such as dietary regulation and physical activity, and, in advanced cases, energy-based technologies or minimally invasive procedures. Expectation management is essential: injectables improve defined targets (fat lobules for deoxycholic acid; dermal quality for PLLA) but do not replace treatments that mechanically release fibrous septae (e.g., subcision) in deep, tethered dimples; therefore, treatment plans should be phenotype-driven and staged.
- Evidence gaps. Long-term efficacy remains insufficiently investigated, and the application of standardised cellulite severity assessment tools is uncommon across existing studies. Robust, large-scale randomised controlled trials are essential to substantiate current claims and establish evidence-based clinical guidelines. For injectables, high-quality, independent trials in body sites beyond the submental region (deoxycholic acid) and with cellulite-specific endpoints (PLLA) are needed, with harmonised outcome measures (e.g., CSS, BODY-Q as Patient-Reported Outcome Measure assessing appearance and quality-of-life impact in aesthetic treatments, and quantitative imaging), durability assessments of ≥12 months, and safety registries to refine dosing, dilution, and session spacing.
7. Limitations of the Paper
8. Future Directions
- Need for stronger clinical evidence
- Standardisation of assessment tools and methodology
- Innovation in formulation technology and delivery systems
- Omics-based research and biomarker discovery
- Multimodal and integrative treatment strategies
- Digital and AI-driven innovation
- AI-assisted diagnostics, formulation design, and evaluation
- Toward precision dermocosmetics and evidence-based practice
9. Conclusions
Author Contributions
Funding
Data Availability Statement
Acknowledgments
Conflicts of Interest
Abbreviations
| ACE | Angiotensin I-Converting Enzyme |
| AI | Artificial Intelligence |
| ATP | Adenosine Triphosphate |
| BMI | Body Mass Index |
| cAMP | Cyclic Adenosine Monophosphate |
| CGRP | Calcitonin Gene-Related Peptide |
| COL1A1, COL3A1 | Collagen-related genes |
| CosIng | Cosmetic Ingredients database |
| CPT-Iα | Carnitine Palmitoyltransferase I Alpha |
| CRBP | Cytosolic Retinol-Binding Proteins |
| CSS | Cellulite Severity Scale |
| ECM | Extracellular Matrix |
| EDHFs | Endothelium-Derived Hyperpolarisation Factors |
| EFSP | Edematous-Fibro-Sclerotic Panniculopathy |
| FABP | Fatty Acid-Binding Protein |
| FDA | Food and Drug Administration |
| gfWAT | gluteofemoral White Adipose Tissue |
| HIF | Hypoxia-inducible factor |
| HSL | Hormone-Sensitive Lipase |
| ICH Q2 | International Council for Harmonisation guidelines Q2 |
| LLC | Lipid–Liquid Crystal |
| LPS | Lipopolysaccharides |
| MAAs | Mycosporine-like amino acids |
| MAPK | Mitogen-Activated Protein Kinase |
| MDR | Medical Device Regulation |
| MINI | Mini Interventional Neuropsychiatric Intervention |
| MMP | Metalloproteinase |
| MUSE | Multi-Lineage Differentiating Stress-Enduring |
| NF-κB | Nuclear Factor kappa-light-chain-enhancer of activated B cells |
| omega-3 EPA | Eicosapentaenoic Acid |
| PDE | Phosphodiesterase |
| PDI | Polydispersity Index |
| PLLA | Poly-L-Lactic Acid |
| PUFAs | Polyunsaturated Fatty Acids |
| RAR | Retinoid Acid Receptor |
| ROS | Reactive Oxygen Species |
| RXR | Retinoid X Receptor |
| SAT | Subcutaneous Adipose Tissue |
| SCD1 | Stearoyl-Coa Desaturase 1 |
| TLR4 | toll-like receptor 4 |
| TRPA | Transient Receptor Potential Ankyrin |
| TRPM8 | Transient Receptor Potential Melastatin 8 |
| TRPV | Transient Receptor Potential Vanilloid |
| UV | Ultraviolet |
References
- Arora, G.; Patil, A.; Hooshanginezhad, Z.; Fritz, K.; Salavastru, C.; Kassir, M.; Goldman, M.P.; Gold, M.H.; Adatto, M.; Grabbe, S.; et al. Cellulite: Presentation and Management. J. Cosmet. Dermatol. 2022, 21, 1393–1401. [Google Scholar] [CrossRef] [PubMed]
- Di Guardo, A.; Trovato, F.; Cantisani, C.; Rallo, A.; Proietti, I.; Greco, M.E.; Pellacani, G.; Dattola, A.; Nisticò, S.P. Topical Management of Cellulite (Edematous-Fibro-Sclerotic Panniculopathy, EFSP): Current Insights and Emerging Approaches. J. Aesthetic Med. 2025, 1, 10. [Google Scholar] [CrossRef]
- Vicente-Ruiz, M. Cellulite: Etiology and Treatment. In Post-Maternity Body Changes: Obstetric Fundamentals and Surgical Reshaping; Gomes-Ferreira, M., Olivas-Menayo, J., Eds.; Springer International Publishing: Cham, Switzerland, 2023; pp. 733–749. [Google Scholar]
- Gabriel, A.; Chan, V.; Caldarella, M.; Wayne, T.; O’Rorke, E. Cellulite: Current Understanding and Treatment. Aesthet. Surg. J. Open Forum 2023, 5, ojad050. [Google Scholar] [CrossRef]
- Goldman, M.P.; Hexsel, D. (Eds.) Cellulite: Pathophysiology and Treatment, 2nd ed.; CRC Press: Boca Raton, FL, USA, 2010. [Google Scholar]
- Nürnberger, F.; Müller, G. So-Called Cellulite: An Invented Disease. J. Dermatol. Surg. Oncol. 1978, 4, 221–229. [Google Scholar] [CrossRef] [PubMed]
- Young, V.L.; DiBernardo, B.E. Comparison of Cellulite Severity Scales and Imaging Methods. Aesthet. Surg. J. 2020, 41, NP521–NP537. [Google Scholar] [CrossRef]
- Menon, A.; Shauly, O.; Marxen, T.; Losken, A.; Faulkner, H.R. A Clinical Guide to the Treatment of Cellulite and Comprehensive Review of the Etiology, Pathophysiology, and Utility of Intervention. Aesthet. Plast. Surg. 2024, 48, 1985–1992. [Google Scholar] [CrossRef]
- Bass, L.S.; Kaminer, M.S. Insights Into the Pathophysiology of Cellulite: A Review. Dermatol. Surg. 2020, 46, S77. [Google Scholar] [CrossRef]
- Sarwer, D.B.; Magee, L.; Clark, V. Physical Appearance and Cosmetic Medical Treatments: Physiological and Socio-Cultural Influences. J. Cosmet. Dermatol. 2003, 2, 29–39. [Google Scholar] [CrossRef] [PubMed]
- Hexsel, D.; Brum, C.; Mazzuco, R.; Rodrigues, T.C. Psychologic Aspects of Women Who Underwent Cellulite Treatments: Pilot Study. J. Am. Acad. Dermatol. 2009, 60, AB47. [Google Scholar] [CrossRef]
- Hexsel, D.; Siega, C.; Schilling-Souza, J.; Stapenhorst, A.; Rodrigues, T.C.; Brum, C. Assessment of Psychological, Psychiatric, and Behavioral Aspects of Patients with Cellulite: A Pilot Study. Surg. Cosmet. Dermatol. 2012, 4, 131–136. [Google Scholar]
- Lorencini, M.; Camozzato, F.; Hexsel, D. Skin Aging and Cellulite in Women. In Textbook of Aging Skin; Springer: Berlin/Heidelberg, Germany, 2017; pp. 1071–1079. [Google Scholar]
- Ortonne, J.P.; Zartarian, M.; Verschoore, M.; Queille-Roussel, C.; Duteil, L. Cellulite and Skin Ageing: Is There Any Interaction? J. Eur. Acad. Dermatol. Venereol. 2008, 22, 827–834. [Google Scholar] [CrossRef]
- Lorencini, M.; Camozzato, F.; Hexsel, D. Skin Aging and Cellulite in Women. In Textbook of Aging Skin; Springer: Berlin/Heidelberg, Germany, 2016; pp. 1–9. [Google Scholar]
- Kruglikov, I.L.; Scherer, P.E. Pathophysiology of Cellulite: Possible Involvement of Selective Endotoxemia. Obes. Rev. 2023, 24, e13517. [Google Scholar] [CrossRef] [PubMed]
- Castellanos-García, I.; Ramírez-Zuluaga, L.V.; Páez-Cárdenas, L.S.; Villalba-Moreno, D.L.; Caicedo-León, M.D.; Singer, E.; Pincelli, T.; Bruce, A.J.; Aristizabal, M.A. Cellulite & Skin Tightening: A Review of Pathophysiology and Topical Treatment. Dermatol. Rev. 2024, 5, e70011. [Google Scholar] [CrossRef]
- Systèmes, D. BIOVIA Draw for Academics Thank You. Available online: https://discover.3ds.com/biovia-draw-academic-thank-you (accessed on 21 July 2025).
- European Commission. CosIng—Cosmetics—GROWTH—European Commission. Available online: https://ec.europa.eu/growth/tools-databases/cosing/ (accessed on 10 November 2025).
- National Library of Medicine PubChem. Available online: https://pubchem.ncbi.nlm.nih.gov/ (accessed on 5 November 2025).
- Grammarly: Free AI Writing Assistance. Available online: https://www.grammarly.com/ (accessed on 8 January 2026).
- Davis, D.S.; Boen, M.; Fabi, S.G. Cellulite: Patient Selection and Combination Treatments for Optimal Results—A Review and Our Experience. Dermatol. Surg. 2019, 45, 1171. [Google Scholar] [CrossRef] [PubMed]
- Hexsel, D.M.; Dal’forno, T.; Hexsel, C.L. A Validated Photonumeric Cellulite Severity Scale. J. Eur. Acad. Dermatol. Venereol. 2009, 23, 523–528. [Google Scholar] [CrossRef]
- Klassen, A.F.; Kaur, M.N.; de Vries, C.E.E.; Poulsen, L.; Breitkopf, T.; Pusic, A. The BODY-Q Cellulite Scale: A Development and Validation Study. Aesthet. Surg. J. 2021, 41, 206–217. [Google Scholar] [CrossRef]
- Adamidis, N.; Papalexis, P.; Adamidis, S.; Adamidis, N.; Papalexis, P.; Adamidis, S. Exploring the Link Between Metabolic Syndrome and Cellulite. Cureus 2024, 16, e63464. [Google Scholar] [CrossRef]
- Conti, G.; Zingaretti, N.; Amuso, D.; Dai Prè, E.; Brandi, J.; Cecconi, D.; Manfredi, M.; Marengo, E.; Boschi, F.; Riccio, M.; et al. Proteomic and Ultrastructural Analysis of Cellulite—New Findings on an Old Topic. Int. J. Mol. Sci. 2020, 21, 2077. [Google Scholar] [CrossRef]
- Puddu, P.; Ventrice, C.; Pennasilico, G.; Guarnaccia, G.; Ruffelli, M.; Di Pietro, A.; De Pità, O. An Open Randomized Controlled Study on the Efficacy of Low-Sodium Water Intake Evaluated by Non-Invasive Methods in Patients with Cellulite. Eur. J. Inflamm. 2003, 1, 43–48. [Google Scholar] [CrossRef]
- Emanuele, E.; Bertona, M.; Geroldi, D. A Multilocus Candidate Approach Identifies ACE and HIF1A as Susceptibility Genes for Cellulite. J. Eur. Acad. Dermatol. Venereol. 2010, 24, 930–935. [Google Scholar] [CrossRef]
- Emanuele, E.; Minoretti, P.; Altabas, K.; Gaeta, E.; Altabas, V. Adiponectin Expression in Subcutaneous Adipose Tissue Is Reduced in Women with Cellulite. Int. J. Dermatol. 2011, 50, 412–416. [Google Scholar] [CrossRef] [PubMed]
- Piotrowska, A.; Czerwińska-Ledwig, O. Effect of Three-Week Vibrotherapy on Selected Skin Parameters of Thighs and Buttocks in Women with Cellulite. Cosmetics 2022, 9, 16. [Google Scholar] [CrossRef]
- Cellulite—Causes and Treatment. Available online: https://www.canadian.cz/en/articles-and-news/cellulite-causes-and-treatment/ (accessed on 17 November 2025).
- Su, X.; Cheng, Y.; Chang, D. The Important Role of Leptin in Modulating the Risk of Dermatological Diseases. Front. Immunol. 2021, 11, 593564. [Google Scholar] [CrossRef] [PubMed]
- Tokarska, K.; Tokarski, S.; Woźniacka, A.; Sysa-Jędrzejowska, A.; Bogaczewicz, J. Cellulite: A Cosmetic or Systemic Issue? Contemporary Views on the Etiopathogenesis of Cellulite. Postep. Dermatol. Alergol. 2018, 35, 442–446. [Google Scholar] [CrossRef]
- Indriayani, S.; Putra, I.B.; Jusuf, N.K. Relationship between Plasma Adiponectin Levels and Cellulite. Bali Med. J. 2022, 11, 434–437. [Google Scholar] [CrossRef]
- Terranova, F.; Berardesca, E.; Maibach, H. Cellulite: Nature and Aetiopathogenesis. Int. J. Cosmet. Sci. 2006, 28, 157–167. [Google Scholar] [CrossRef]
- Emanuele, E. Cellulite: Advances in Treatment: Facts and Controversies. Clin. Dermatol. 2013, 31, 725–730. [Google Scholar] [CrossRef]
- Szkutnicka, E.; Samardakiewicz, M.; Drop, B.; Barańska, A.; Sokołowska, A.; Szkutnicki, H.; Chmiel-Perzyńska, I. Cellulite, Overweight and Obesity in Female Patients with Hypothyroidism. J. Educ. Health Sport 2021, 8, 175–184. [Google Scholar]
- Franco, A.C.; Aveleira, C.; Cavadas, C. Skin Senescence: Mechanisms and Impact on Whole-Body Aging. Trends Mol. Med. 2022, 28, 97–109. [Google Scholar] [CrossRef]
- McCabe, M.C.; Hill, R.C.; Calderone, K.; Cui, Y.; Yan, Y.; Quan, T.; Fisher, G.J.; Hansen, K.C. Alterations in Extracellular Matrix Composition during Aging and Photoaging of the Skin. Matrix Biol. Plus 2020, 8, 100041. [Google Scholar] [CrossRef]
- Qian, H.; Shan, Y.; Gong, R.; Lin, D.; Zhang, M.; Wang, C.; Wang, L. Mechanism of Action and Therapeutic Effects of Oxidative Stress and Stem Cell-Based Materials in Skin Aging: Current Evidence and Future Perspectives. Front. Bioeng. Biotechnol. 2023, 10, 1082403. [Google Scholar] [CrossRef]
- Naharro-Rodriguez, J.; Bacci, S.; Hernandez-Bule, M.L.; Perez-Gonzalez, A.; Fernandez-Guarino, M. Decoding Skin Aging: A Review of Mechanisms, Markers, and Modern Therapies. Cosmetics 2025, 12, 144. [Google Scholar] [CrossRef]
- Lee, H.; Hong, Y.; Kim, M. Structural and Functional Changes and Possible Molecular Mechanisms in Aged Skin. Int. J. Mol. Sci. 2021, 22, 12489. [Google Scholar] [CrossRef]
- Yonei, Y.; Takabe, W.; Yagi, M. Photoaging and Glycation of Elastin: Effect on Skin What Is Elastin? Glycative Stress Res. 2015, 2, 182–190. [Google Scholar]
- Sparavigna, A. Role of the Extracellular Matrix in Skin Aging and Dedicated Treatment—State of the Art. Plast. Aesthetic Res. 2020, 7, 14. [Google Scholar] [CrossRef]
- Pugliese, P.T. Cellulite Revisited. Available online: https://www.skininc.com/science/physiology/article/21881080/cellulite-revisited (accessed on 20 November 2025).
- Hexsel, D.; Soirefmann, M. Cosmeceuticals for Cellulite. Semin. Cutan. Med. Surg. 2011, 30, 167–170. [Google Scholar] [CrossRef] [PubMed]
- Turati, F.; Pelucchi, C.; Marzatico, F.; Ferraroni, M.; Decarli, A.; Gallus, S.; La Vecchia, C.; Galeone, C. Efficacy of Cosmetic Products in Cellulite Reduction: Systematic Review and Meta-Analysis. J. Eur. Acad. Dermatol. Venereol. 2014, 28, 1–15. [Google Scholar] [CrossRef] [PubMed]
- Dupont, E.; Journet, M.; Oula, M.-L.; Gomez, J.; Léveillé, C.; Loing, E.; Bilodeau, D. An Integral Topical Gel for Cellulite Reduction: Results from a Double-Blind, Randomized, Placebo-Controlled Evaluation of Efficacy. Clin. Cosmet. Investig. Dermatol. 2014, 7, 73–88. [Google Scholar] [CrossRef]
- Fouad, S.A.; Badr, T.A.; Abdelbary, A.; Fadel, M.; Abdelmonem, R.; Jasti, B.R.; El-Nabarawi, M. New Insight for Enhanced Topical Targeting of Caffeine for Effective Cellulite Treatment: In Vitro Characterization, Permeation Studies, and Histological Evaluation in Rats. AAPS PharmSciTech 2024, 25, 237. [Google Scholar] [CrossRef]
- Abdi Dezfouli, R.; Hosseinpour, A.; Qorbani, M.; Daneshzad, E. The Efficacy of Topical Aminophylline in Local Fat Reduction: A Systematic Review. Front. Endocrinol. 2023, 14, 1087614. [Google Scholar] [CrossRef]
- Lee, M.-S.; Lee, H.-J.; Lee, H.-S.; Kim, Y. L-Carnitine Stimulates Lipolysis via Induction of the Lipolytic Gene Expression and Suppression of the Adipogenic Gene Expression in 3T3-L1 Adipocytes. J. Med. Food 2006, 9, 468–473. [Google Scholar] [CrossRef] [PubMed]
- Kligman, A.; Pagnoni, A.; Stoudemayer, T. Topical Retinol Improves Cellulite. J. Dermatol. Treat. 1999, 10, 119–125. [Google Scholar] [CrossRef]
- Piérard-Franchimont, C.; Piérard, G.E.; Henry, F.; Vroome, V.; Cauwenbergh, G. A Randomized, Placebo-Controlled Trial of Topical Retinol in the Treatment of Cellulite. Am. J. Clin. Dermatol. 2000, 1, 369–374. [Google Scholar] [CrossRef] [PubMed]
- Sasaki, G.H.; Oberg, K.; Tucker, B.; Gaston, M. The Effectiveness and Safety of Topical PhotoActif Phosphatidylcholine-based Anti-cellulite Gel and LED (Red and Near-infrared) Light on Grade II–III Thigh Cellulite: A Randomized, Double-blinded Study. J. Cosmet. Laser Ther. 2007, 9, 87–96. [Google Scholar] [CrossRef]
- Gallelli, L. Escin: A Review of Its Anti-Edematous, Anti-Inflammatory, and Venotonic Properties. Drug Des. Dev. Ther. 2019, 13, 3425–3437. [Google Scholar] [CrossRef]
- Kim, J.; Joo, J.H.; Rim, H.; Kim, S.H.; Shin, J.Y.; Jun, S.-H.; Kang, N.-G. Microcirculation-Promoting Effect of Escin on Cutaneous Tissue via Gsk3β Down-Regulation. Curr. Issues Mol. Biol. 2025, 47, 840. [Google Scholar] [CrossRef]
- Yan, L.; Zhang, Y.; Li, Y.; Dai, D.; Zhu, J.; Chen, Y.; Xiao, W. Efficacy and Mechanism of Escin in Improving the Tissue Microenvironment of Blood Vessel Walls via Anti-Inflammatory and Anticoagulant Effects: Implications for Clinical Practice. Open Life Sci. 2025, 20, 20251167. [Google Scholar] [CrossRef] [PubMed]
- Nasrollahi, S.A.; Variji, Z.; Ghasemi, Z.; Yadangi, S.; Samadi, A.; Firooz, A. Efficacy Evaluation of a Herbal Anti-Cellulite Lotion: A Phase 2, Randomized, Double-Blind, Right-Left Comparison Clinical Trial. Iran. J. Dermatol. 2023, 26, 116–122. [Google Scholar] [CrossRef]
- Da Cunha, A.; Nkengne, A.; Rossi, A.B.; Bertin, C.; Nollent, V. Thermal Imaging for the Clinical Documentation of the Benefits of an Anticellulite Product Containing Caffeine, Forskolin, Ruscogenin, and Carnitine. J. Am. Acad. Dermatol. 2012, 66, AB30. [Google Scholar] [CrossRef]
- Rucker, R.B.; Steinberg, F. Vitamin C. Encycl. Biol. Chem. 2004, 4, BCHM 00741. [Google Scholar]
- EDQM European Pharmacopoeia Online. Available online: https://pheur.edqm.eu/home (accessed on 5 November 2025).
- Takamizawa, S.; Maehata, Y.; Imai, K.; Senoo, H.; Sato, S.; Hata, R.-I. Effects of Ascorbic Acid and Ascorbic Acid 2-Phosphate, a Long-Acting Vitamin C Derivative, on the Proliferation and Differentiation of Human Osteoblast-like Cells. Cell Biol. Int. 2004, 28, 255–265. [Google Scholar] [CrossRef]
- Naidu, K.A. Vitamin C in Human Health and Disease Is Still a Mystery? An Overview. Nutr. J. 2003, 2, 7. [Google Scholar] [CrossRef]
- Pullar, J.M.; Carr, A.C.; Vissers, M.C.M. The Roles of Vitamin C in Skin Health. Nutrients 2017, 9, 866. [Google Scholar] [CrossRef]
- Fitzpatrick, R.E.; Rostan, E.F. Double-Blind, Half-Face Study Comparing Topical Vitamin C and Vehicle for Rejuvenation of Photodamage. Dermatol. Surg. 2002, 28, 231–236. [Google Scholar] [CrossRef]
- Gref, R.; Deloménie, C.; Maksimenko, A.; Gouadon, E.; Percoco, G.; Lati, E.; Desmaële, D.; Zouhiri, F.; Couvreur, P. Vitamin C–Squalene Bioconjugate Promotes Epidermal Thickening and Collagen Production in Human Skin. Sci. Rep. 2020, 10, 16883. [Google Scholar] [CrossRef]
- Duda-Madej, A.; Viscardi, S.; Grabarczyk, M.; Topola, E.; Kozłowska, J.; Mączka, W.; Wińska, K. Is Camphor the Future in Supporting Therapy for Skin Infections? Pharmaceuticals 2024, 17, 715. [Google Scholar] [CrossRef] [PubMed]
- GlobalCosIng EU-EU Cosmetic Ingredients (EU CosIng)|CosIng Overview|GlobalCosing. Available online: https://globalcosing.chemradar.com/pedia/ehk4ontddv5s (accessed on 4 January 2026).
- Hamidpour, R.; Hamidpour, S.; Hamidpour, M.; Shahlari, M. Camphor (Cinnamomum camphora), a Traditional Remedy with the History of Treating Several Diseases. Int. J. Case Rep. Images 2013, 4, 86–89. [Google Scholar] [CrossRef]
- Kotaka, T.; Kimura, S.; Kashiwayanagi, M.; Iwamoto, J. Camphor Induces Cold and Warm Sensations with Increases in Skin and Muscle Blood Flow in Human. Biol. Pharm. Bull. 2014, 37, 1913–1918. [Google Scholar] [CrossRef]
- Selescu, T.; Ciobanu, A.C.; Dobre, C.; Reid, G.; Babes, A. Camphor Activates and Sensitizes Transient Receptor Potential Melastatin 8 (TRPM8) to Cooling and Icilin. Chem. Senses 2013, 38, 563–575. [Google Scholar] [CrossRef] [PubMed]
- Rane, J.; Yadav, A.; Tiwari, R. Study Of Camphor with Chemical Constituents and It’s Pharmacological Action. Int. J. Pharm. Sci. 2025, 3, 2592–2596. [Google Scholar] [CrossRef]
- Ngamdokmai, N.; Waranuch, N.; Chootip, K.; Jampachaisri, K.; Scholfield, C.N.; Ingkaninan, K. Cellulite Reduction by Modified Thai Herbal Compresses; A Randomized Double-Blind Trial. J. Evid. Based Integr. Med. 2018, 23, 2515690X18794158. [Google Scholar] [CrossRef]
- Ngamdokmai, N.; Waranuch, N.; Chootip, K.; Jampachaisri, K.; Scholfield, C.N.; Ingkaninan, K. Efficacy of an Anti-Cellulite Herbal Emgel: A Randomized Clinical Trial. Pharmaceuticals 2021, 14, 683. [Google Scholar] [CrossRef]
- Ngamdokmai, N.; Ingkaninan, K.; Chaichamnong, N.; Chootip, K.; Neungchamnong, N.; Waranuch, N. Development, Characterization, and Stability Evaluation of the Anti-Cellulite Emgel Containing Herbal Extracts and Essential Oils. Pharmaceuticals 2021, 14, 842. [Google Scholar] [CrossRef]
- Hayman, M.; Kam, P.C.A. Capsaicin: A Review of Its Pharmacology and Clinical Applications. Curr. Anaesth. Crit. Care 2008, 19, 338–343. [Google Scholar] [CrossRef]
- Reyes-Escogido, M.D.L.; Gonzalez-Mondragon, E.G.; Vazquez-Tzompantzi, E. Chemical and Pharmacological Aspects of Capsaicin. Molecules 2011, 16, 1253–1270. [Google Scholar] [CrossRef]
- Boudreau, S.A.; Wang, K.; Svensson, P.; Sessle, B.J.; Arendt-Nielsen, L. Vascular and Psychophysical Effects of Topical Capsaicin Application to Orofacial Tissues. J. Orofac. Pain 2009, 23, 253–264. [Google Scholar] [PubMed]
- Rosales, A.M.; Moler, J.L.; Engellant, A.C.; Held, A.L.; Slivka, D.R. Impact of Topical Capsaicin Cream on Thermoregulation and Perception While Walking in the Cold. Wilderness Environ. Med. 2024, 35, 36–43. [Google Scholar] [CrossRef]
- Tshering, G.; Posadzki, P.; Kongkaew, C. Efficacy and Safety of Topical Capsaicin in the Treatment of Osteoarthritis Pain: A Systematic Review and Meta-Analysis. Phytother. Res. 2024, 38, 3695–3705. [Google Scholar] [CrossRef] [PubMed]
- Zhang, W.; Zhang, Q.; Wang, L.; Zhou, Q.; Wang, P.; Qing, Y.; Sun, C. The Effects of Capsaicin Intake on Weight Loss among Overweight and Obese Subjects: A Systematic Review and Meta-Analysis of Randomised Controlled Trials. Br. J. Nutr. 2023, 130, 1645–1656. [Google Scholar] [CrossRef] [PubMed]
- Taghizadeh, M.; Farzin, N.; Taheri, S.; Mahlouji, M.; Akbari, H.; Karamali, F.; Asemi, Z. The Effect of Dietary Supplements Containing Green Tea, Capsaicin and Ginger Extracts on Weight Loss and Metabolic Profiles in Overweight Women: A Randomized Double-Blind Placebo-Controlled Clinical Trial. Ann. Nutr. Metab. 2017, 70, 277–285. [Google Scholar] [CrossRef]
- Lee, G.-R.; Shin, M.K.; Yoon, D.-J.; Kim, A.-R.; Yu, R.; Park, N.-H.; Han, I.-S. Topical Application of Capsaicin Reduces Visceral Adipose Fat by Affecting Adipokine Levels in High-Fat Diet-Induced Obese Mice. Obesity 2013, 21, 115–122. [Google Scholar] [CrossRef]
- Medina-Contreras, J.M.L.; Colado-Velázquez, J.; Gómez-Viquez, N.L.; Mailloux-Salinas, P.; Pérez-Torres, I.; Aranda-Fraustro, A.; Carvajal, K.; Bravo, G. Effects of Topical Capsaicin Combined with Moderate Exercise on Insulin Resistance, Body Weight and Oxidative Stress in Hypoestrogenic Obese Rats. Int. J. Obes. 2017, 41, 750–758. [Google Scholar] [CrossRef]
- Rao, J.; Gold, M.H.; Goldman, M.P. A Two-Center, Double-Blinded, Randomized Trial Testing the Tolerability and Efficacy of a Novel Therapeutic Agent for Cellulite Reduction. J. Cosmet. Dermatol. 2005, 4, 93–102. [Google Scholar] [CrossRef]
- Sritananuwat, P.; Samseethong, T.; Jitsaeng, K.; Duangjit, S.; Opanasopit, P.; Rangsimawong, W. Effectiveness and Safety of Boesenbergia Rotunda Extract on 3T3-L1 Preadipocytes and Its Use in Capsaicin-Loaded Body-Firming Formulation: In Vitro Biological Study and In Vivo Human Study. Cosmetics 2024, 11, 24. [Google Scholar] [CrossRef]
- Harada, N.; Okajima, K. Effect of Topical Application of Capsaicin and Its Related Compounds on Dermal Insulin-like Growth Factor-I Levels in Mice and on Facial Skin Elasticity in Humans. Growth Horm. IGF Res. 2007, 17, 171–176. [Google Scholar] [CrossRef] [PubMed]
- Durazzo, A.; Lucarini, M.; Nazhand, A.; Souto, S.B.; Silva, A.M.; Severino, P.; Souto, E.B.; Santini, A. The Nutraceutical Value of Carnitine and Its Use in Dietary Supplements. Molecules 2020, 25, 2127. [Google Scholar] [CrossRef]
- Wutzke, K.D.; Lorenz, H. The Effect of L-Carnitine on Fat Oxidation, Protein Turnover, and Body Composition in Slightly Overweight Subjects. Metabolism 2004, 53, 1002–1006. [Google Scholar] [CrossRef] [PubMed]
- Tomczyk, J.; Malara, B. Modern Methods of Cellulite Diagnosis and Treatment. Aesthet. Cosmetol. Med. 2023, 12, 143–149. [Google Scholar] [CrossRef]
- Peirano, R.; Hamann, T.; Düsing, H.; Akhiani, M.; Koop, U.; Schmidt-Rose, T.; Wenck, H. Topically Applied L-Carnitine Effectively Reduces Sebum Secretion in Human Skin. J. Cosmet. Dermatol. 2012, 11, 30–36. [Google Scholar] [CrossRef] [PubMed]
- Roure, R.; Oddos, T.; Rossi, A.; Vial, F.; Bertin, C. Evaluation of the Efficacy of a Topical Cosmetic Slimming Product Combining Tetrahydroxypropyl Ethylenediamine, Caffeine, Carnitine, Forskolin and Retinol, In Vitro, Ex Vivo and in Vivo Studies. Int. J. Cosmet. Sci. 2011, 33, 519–526. [Google Scholar] [CrossRef]
- Litosch, I.; Hudson, T.H.; Mills, I.; Li, S.Y.; Fain, J.N. Forskolin as an Activator of Cyclic AMP Accumulation and Lipolysis in Rat Adipocytes. Mol. Pharmacol. 1982, 22, 109–115. [Google Scholar] [CrossRef]
- Salehi, B.; Staniak, M.; Czopek, K.; Stępień, A.; Dua, K.; Wadhwa, R.; Kumar Chellappan, D.; Sytar, O.; Brestic, M.; Ganesh Bhat, N.; et al. The Therapeutic Potential of the Labdane Diterpenoid Forskolin. Appl. Sci. 2019, 9, 4089. [Google Scholar] [CrossRef]
- Patel, M.; Dodiya, T.; Prajapati, D. A Review on Forskolin- A Labdane Diterpenoid. Adv. Pharmacol. Pharm. 2025, 13, 297–304. [Google Scholar] [CrossRef]
- Raza, S.H.A.; Abd El-Aziz, A.H.; Abdelnour, S.A.; Easa, A.A.; Alagawany, M.; Farag, M.R.; Al-Mutary, M.G.; Elfadadny, A.; Khan, R.; Quan, G.; et al. The Role of Forskolin as a Lipolytic Stimulator during in Vitro Oocyte Maturation and the in Vitro Embryo Production of Livestock. Reprod. Domest. Anim. 2021, 56, 1486–1496. [Google Scholar] [CrossRef] [PubMed]
- Alasbahi, R.H.; Melzig, M.F. Forskolin and Derivatives as Tools for Studying the Role of cAMP. Pharmazie 2012, 67, 5–13. [Google Scholar]
- Huang, C.; Zhao, Y.; Hu, J. Endocrine-Disruptive Effects of Adenylate Cyclase Activator Forskolin: In Vitro and In Vivo Evidence. Toxics 2024, 12, 701. [Google Scholar] [CrossRef]
- Chen, J.-Y.; Peng, S.-Y.; Cheng, Y.-H.; Lee, I.-T.; Yu, Y.-H. Effect of Forskolin on Body Weight, Glucose Metabolism and Adipocyte Size of Diet-Induced Obesity in Mice. Animals 2021, 11, 645. [Google Scholar] [CrossRef] [PubMed]
- Zhang, D.; Tang, L.; Hipple, T.; Mowry, C.D.; Brinker, C.J.; Brey, E.; Noureddine, A.; Porras, M.A.G. Local Administration of Lipid-Silica Nanohybrid-Carried Forskolin Modulates Thermogenesis in Human Adipocytes and Impedes Weight Gain in Mice. Adv. Funct. Mater. 2025, 35, 2404179. [Google Scholar] [CrossRef] [PubMed]
- Ríos-Silva, M.; Trujillo, X.; Trujillo-Hernández, B.; Sánchez-Pastor, E.; Urzúa, Z.; Mancilla, E.; Huerta, M. Effect of Chronic Administration of Forskolin on Glycemia and Oxidative Stress in Rats with and without Experimental Diabetes. Int. J. Med. Sci. 2014, 11, 448–452. [Google Scholar] [CrossRef]
- Abbasi, M.; Zhou, F.; Ly, N.K.; Taylor, A.; Hu, Q.; Chi, J.; Gu, H.; Wang, S. Anti-Obesity and Metabolic Effects of Forskolin in Obese C57BL/6J Mice. Int. J. Mol. Sci. 2025, 26, 6607. [Google Scholar] [CrossRef]
- Skelin Klemen, M.; Dolenšek, J.; Križančić Bombek, L.; Pohorec, V.; Gosak, M.; Slak Rupnik, M.; Stožer, A. The Effect of Forskolin and the Role of Epac2A during Activation, Activity, and Deactivation of Beta Cell Networks. Front. Endocrinol. 2023, 14, 1225486. [Google Scholar] [CrossRef] [PubMed]
- El-Naga, R.N. Forskolin Alleviates Cisplatin-Induced Acute Renal Toxicity in Rats. J. Pharm. Pharmacol. 2022, 74, 1051–1060. [Google Scholar] [CrossRef]
- Ivanova, M.A.; Sitnikova, L.S.; Karelina, T.V.; Sibarov, D.A.; Abushik, P.A.; Antonov, S.M. The Neuroprotective Effect of Forskolin and Its Influence of Mitochondrial Dysfunction in Neurons in Primary Rat Cerebellum Cultures. Neurosci. Behav. Physiol. 2019, 49, 1096–1099. [Google Scholar] [CrossRef]
- Kapoor, T.; Mehan, S.; Suri, M.; Sharma, N.; Kumar, N.; Narula, A.S.; Alshammari, A.; Alasmari, A.F.; Alharbi, M.; Assiri, M.A.; et al. Forskolin, an Adenylcyclase/cAMP/CREB Signaling Activator Restoring Myelin-Associated Oligodendrocyte Destruction in Experimental Ethidium Bromide Model of Multiple Sclerosis. Cells 2022, 11, 2771. [Google Scholar] [CrossRef]
- Baumann, G.; Felix, S.; Sattelberger, U.; Klein, G. Cardiovascular Effects of Forskolin (HL 362) in Patients with Idiopathic Congestive Cardiomyopathy--a Comparative Study with Dobutamine and Sodium Nitroprusside. J. Cardiovasc. Pharmacol. 1990, 16, 93–100. [Google Scholar] [CrossRef]
- Gavin, P.; Nikolovski, B.; Gaetano, G.; El-Tamimy, M.; Libinaki, R. Twice Daily Application of a Topical Formulation Containing Caffeine, Forskolin, and the TPM Delivery System Was Able to Significantly Reduce the Visible Appearance of Cellulite. J. Am. Acad. Dermatol. 2014, 70, AB21. [Google Scholar] [CrossRef]
- Joshi, A.; Joshi, A.; Patel, H.; Ponnoth, D.; Stagni, G. Cutaneous Penetration–Enhancing Effect of Menthol: Calcium Involvement. J. Pharm. Sci. 2017, 106, 1923–1932. [Google Scholar] [CrossRef] [PubMed]
- Silva, H. Current Knowledge on the Vascular Effects of Menthol. Front. Physiol. 2020, 11, 298. [Google Scholar] [CrossRef]
- Monteiro, J.P.; Alves, M.G.; Oliveira, P.F.; Silva, B.M. Structure-Bioactivity Relationships of Methylxanthines: Trying to Make Sense of All the Promises and the Drawbacks. Molecules 2016, 21, 974. [Google Scholar] [CrossRef]
- Monteiro, J.; Alves, M.G.; Oliveira, P.F.; Silva, B.M. Pharmacological Potential of Methylxanthines: Retrospective Analysis and Future Expectations. Crit. Rev. Food Sci. Nutr. 2019, 59, 2597–2625. [Google Scholar] [CrossRef] [PubMed]
- Fredholm, B.B. (Ed.) Methylxanthines; Handbook of Experimental Pharmacology; Springer: Berlin/Heidelberg, Germany, 2011. [Google Scholar]
- Hameed, H.I.; Al-Mayahy, M.H. Combined Approach of Nanoemulgel and Microneedle Pre-Treatment as a Topical Anticellulite Therapy: Original Scientific Article. ADMET DMPK 2024, 12, 903–923. [Google Scholar] [CrossRef] [PubMed]
- Herman, A.; Herman, A.P. Caffeine’s Mechanisms of Action and Its Cosmetic Use. Ski. Pharmacol. Physiol. 2012, 26, 8–14. [Google Scholar] [CrossRef] [PubMed]
- Kassem, A.A.; Asfour, M.H.; Abd El-Alim, S.H.; Khattab, M.A.; Salama, A. Topical Caffeine-Loaded Nanostructured Lipid Carriers for Enhanced Treatment of Cellulite: A 32 Full Factorial Design Optimization and in Vivo Evaluation in Rats. Int. J. Pharm. 2023, 643, 123271. [Google Scholar] [CrossRef] [PubMed]
- Lupi, O.; Semenovitch, I.J.; Treu, C.; Bottino, D.; Bouskela, E. Evaluation of the Effects of Caffeine in the Microcirculation and Edema on Thighs and Buttocks Using the Orthogonal Polarization Spectral Imaging and Clinical Parameters. J. Cosmet. Dermatol. 2007, 6, 102–107. [Google Scholar] [CrossRef]
- Velasco, M.V.R.; Tano, C.T.N.; Machado-Santelli, G.M.; Consiglieri, V.O.; Kaneko, T.M.; Baby, A.R. Effects of Caffeine and Siloxanetriol Alginate Caffeine, as Anticellulite Agents, on Fatty Tissue: Histological Evaluation. J. Cosmet. Dermatol. 2008, 7, 23–29. [Google Scholar] [CrossRef]
- Pires-de-Campos, M.S.M.; Leonardi, G.R.; Chorilli, M.; Spadari-Bratfisch, R.C.; Polacow, M.L.O.; Grassi-Kassisse, D.M. The Effect of Topical Caffeine on the Morphology of Swine Hypodermis as Measured by Ultrasound. J. Cosmet. Dermatol. 2008, 7, 232–237. [Google Scholar] [CrossRef]
- Bertin, C.; Zunino, H.; Pittet, J.C.; Beau, P.; Pineau, P.; Massonneau, M.; Robert, C.; Hopkins, J. A Double-Blind Evaluation of the Activity of an Anti-Cellulite Product Containing Retinol, Caffeine, and Ruscogenine by a Combination of Several Non-Invasive Methods. J. Cosmet. Sci. 2001, 52, 199–210. [Google Scholar]
- Byun, S.-Y.; Kwon, S.-H.; Heo, S.-H.; Shim, J.-S.; Du, M.-H.; Na, J.-I. Efficacy of Slimming Cream Containing 3.5% Water-Soluble Caffeine and Xanthenes for the Treatment of Cellulite: Clinical Study and Literature Review. Ann. Dermatol. 2015, 27, 243–249. [Google Scholar] [CrossRef]
- Escalante, G.; Bryan, P.; Rodriguez, J. Effects of a Topical Lotion Containing Aminophylline, Caffeine, Yohimbe, l-Carnitine, and Gotu Kola on Thigh Circumference, Skinfold Thickness, and Fat Mass in Sedentary Females. J. Cosmet. Dermatol. 2019, 18, 1037–1043. [Google Scholar] [CrossRef]
- Heard, C.M.; Johnson, S.; Moss, G.; Thomas, C.P. In Vitro Transdermal Delivery of Caffeine, Theobromine, Theophylline and Catechin from Extract of Guarana, Paullinia Cupana. Int. J. Pharm. 2006, 317, 26–31. [Google Scholar] [CrossRef]
- Thakur, R.A.; Michniak, B.B.; Meidan, V.M. Transdermal and Buccal Delivery of Methylxanthines Through Human Tissue In Vitro. Drug Dev. Ind. Pharm. 2007, 33, 513–521. [Google Scholar] [CrossRef]
- Zafar Gondal, A.; Zulfiqar, H. Aminophylline. Available online: http://www.ncbi.nlm.nih.gov/books/NBK545175/ (accessed on 4 January 2026).
- 21 CFR 182.1180—Caffeine. Available online: https://www.ecfr.gov/current/title-21/part-182/section-182.1180 (accessed on 4 January 2026).
- Office of the Commissioner Prohibited & Restricted Ingredients in Cosmetics. Available online: https://www.fda.gov/cosmetics/cosmetics-laws-regulations/prohibited-restricted-ingredients-cosmetics (accessed on 4 January 2026).
- Cosmetic Ingredient Review. Available online: https://www.cir-safety.org/ (accessed on 4 January 2026).
- Cherian, P.A.; Bergfeld, W.F.; Belsito, D.V.; Hill, R.A.; Klaassen, C.D.; Liebler, D.C.; Marks, J.G., Jr.; Shank, R.C.; Slaga, T.J.; Snyder, P.W.; et al. Safety Assessment of Methylxanthines as Used in Cosmetics. Int. J. Toxicol. 2024, 43, 42–77. [Google Scholar] [CrossRef] [PubMed]
- ECHA Cosmetic Products Regulation, Annex III Restrected Substances. Available online: https://echa.europa.eu/cosmetics-restricted-substances (accessed on 4 January 2026).
- European Commission Revision of the Scientific Opinion (SCCS/1576/16) on Vitamin A (Retinol, Retinyl Acetate, Retinyl Palmitate)—Public Health. Available online: https://health.ec.europa.eu/publications/revision-scientific-opinion-sccs157616-vitamin-retinol-retinyl-acetate-retinyl-palmitate_en (accessed on 17 December 2025).
- Zasada, M.; Budzisz, E. Retinoids: Active Molecules Influencing Skin Structure Formation in Cosmetic and Dermatological Treatments. Postep. Dermatol. Alergol. 2019, 36, 392–397. [Google Scholar] [CrossRef]
- Tsunoda, T.; Takabayashi, K. Stability of All-Trans-Retinol in Cream. J. Soc. Cosmet. Chem. 1995, 46, 191–198. [Google Scholar]
- Kiser, P.D.; Golczak, M.; Palczewski, K. Chemistry of the Retinoid (Visual) Cycle. Chem. Rev. 2014, 114, 194–232. [Google Scholar] [CrossRef]
- Zhao, B. Retinol (Vitamin A) and Its Derivatives: Synthesis and Applications. Highlights Sci. Eng. Technol. 2024, 116, 336–342. [Google Scholar] [CrossRef]
- Kong, R.; Cui, Y.; Fisher, G.J.; Wang, X.; Chen, Y.; Schneider, L.M.; Majmudar, G. A Comparative Study of the Effects of Retinol and Retinoic Acid on Histological, Molecular, and Clinical Properties of Human Skin. J. Cosmet. Dermatol. 2016, 15, 49–57. [Google Scholar] [CrossRef] [PubMed]
- Mellody, K.T.; Bradley, E.J.; Mambwe, B.; Cotterell, L.F.; Kiss, O.; Halai, P.; Loftus, Z.; Bell, M.; Griffiths, T.W.; Griffiths, C.E.M.; et al. Multifaceted Amelioration of Cutaneous Photoageing by (0.3%) Retinol. Int. J. Cosmet. Sci. 2022, 44, 625–635. [Google Scholar] [CrossRef]
- Christensen, M.S. Uma terapia tópica bem sucedida para a celulite. Surg. Cosmet. Dermatol. 2014, 6, 349–353. [Google Scholar]
- Sullivan, K.; Law, R.M.; Lain, E.; Jiang, L.I.; Acevedo, S.F.; Choudhary, H.; Lee, B.; Patel, K.; Lynch, S. Evaluation of a Retinol Containing Topical Treatment to Improve Signs of Neck Aging. J. Cosmet. Dermatol. 2023, 22, 2755–2764. [Google Scholar] [CrossRef]
- Wilson, C.O.; Delgado, J.N.; Remers, W.A. Wilson and Gisvold’s Textbook of Organic Medicinal and Pharmaceutical Chemistry, 12th ed.; Beale, J.M., Jr., Block, J.H., Eds.; Wolters Kluwer Health: Baltimore, MD, USA, 2010. [Google Scholar]
- Schneider, C. Chemistry and Biology of Vitamin E. Mol. Nutr. Food Res. 2005, 49, 7–30. [Google Scholar] [CrossRef]
- Tucker, J.M.; Townsend, D.M. Alpha-Tocopherol: Roles in Prevention and Therapy of Human Disease. Biomed. Pharmacother. 2005, 59, 380–387. [Google Scholar] [CrossRef]
- Thiele, J.J.; Ekanayake-Mudiyanselage, S. Vitamin E in Human Skin: Organ-Specific Physiology and Considerations for Its Use in Dermatology. Mol. Aspects Med. 2007, 28, 646–667. [Google Scholar] [CrossRef]
- Oliveira Pinto, C.A.S.d.O.; Martins, T.E.A.; Martinez, R.M.; Freire, T.B.; Velasco, M.V.R.; Baby, A.R. Vitamin E in Human Skin: Functionality and Topical Products. In Vitamin E in Health and Disease—Interactions, Diseases and Health Aspects; IntechOpen: Rijeka, Croatia, 2021. [Google Scholar]
- Keen, M.A.; Hassan, I. Vitamin E in Dermatology. Indian Dermatol. Online J. 2016, 7, 311–315. [Google Scholar] [CrossRef]
- Baumann, L.S.; Spencer, J. The Effects of Topical Vitamin E on the Cosmetic Appearance of Scars. Dermatol. Surg. 1999, 25, 311–315. [Google Scholar] [CrossRef] [PubMed]
- Torres, A.; Rego, L.; Martins, M.S.; Ferreira, M.S.; Cruz, M.T.; Sousa, E.; Almeida, I.F. How to Promote Skin Repair? In-Depth Look at Pharmaceutical and Cosmetic Strategies. Pharmaceuticals 2023, 16, 573. [Google Scholar] [CrossRef] [PubMed]
- Puviani, M.; Tovecci, F.; Milani, M. A Two-Center, Assessor-Blinded, Prospective Trial Evaluating the Efficacy of a Novel Hypertonic Draining Cream for Cellulite Reduction: A Clinical and Instrumental (Antera 3D CS) Assessment. J. Cosmet. Dermatol. 2018, 17, 448–453. [Google Scholar] [CrossRef] [PubMed]
- Shokr, S.Y.; Elsohafy, S.M.; Darwish, F.A.; Amer, M.E. Annona squamosa L.: A Promising Herbal Remedy—Insights into Its Biological Activities and Phytochemical Composition. J. Adv. Pharm. Sci. 2024, 1, 82–99. [Google Scholar] [CrossRef]
- Singh, R.P.; Pattnaik, A.K.; Rudrapal, M.; Bhattacharya, S. Annona Squamosa Linn.: A Review of Its Ethnobotany, Pharmacology, Phytochemistry, Toxicity, and Conservation Needs. Pharmacogn. Mag. 2025, 21, 403–412. [Google Scholar] [CrossRef]
- El-Chaghaby, G.A.; Ahmad, A.F.; Ramis, E.S. Evaluation of the Antioxidant and Antibacterial Properties of Various Solvents Extracts of Annona squamosa L. Leaves. Arab. J. Chem. 2014, 7, 227–233. [Google Scholar] [CrossRef]
- Yimam, M.; Lee, Y.-C.; Jiao, P.; Hong, M.; Brownell, L.; Jia, Q. A Standardized Composition Comprised of Extracts from Rosmarinus Officinalis, Annona Squamosa and Zanthoxylum Clava-Herculis for Cellulite. Pharmacogn. Res. 2017, 9, 319–324. [Google Scholar] [CrossRef]
- Primus, P.S.; Choo, Y.-M. Phytochemical Diversity and Therapeutic Potential of the Boesenbergia Genus: A Comprehensive Review. Phytochem. Rev. 2025, 24, 4159–4182. [Google Scholar] [CrossRef]
- Jitsaeng, K.; Duangjit, S.; Sritananuwat, P.; Tansathien, K.; Opanasopit, P.; Rangsimawong, W. Potential Lipolytic Effect of Panduratin A Loaded Microspicule Serum as a Transdermal Delivery Approach for Subcutaneous Fat Reduction. Biol. Pharm. Bull. 2023, 46, 1761–1768. [Google Scholar] [CrossRef] [PubMed]
- Jitvaropas, R.; Saenthaweesuk, S.; Somparn, N.; Thuppia, A.; Sireeratawong, S.; Phoolcharoen, W. Antioxidant, Antimicrobial and Wound Healing Activities of Boesenbergia Rotunda. Nat. Prod. Commun. 2012, 7, 909–912. [Google Scholar] [CrossRef]
- Sarswat, S.; Singh, H. Exploring the Efficacy of Medicinal Plants in Cosmeceuticals: A Review of Bioactive Compounds and Skin Health. J. Ethnopharmacol. Toxicol. 2025, 3, 1–15. [Google Scholar] [CrossRef]
- Ratz-Łyko, A.; Arct, J.; Pytkowska, K. Moisturizing and Antiinflammatory Properties of Cosmetic Formulations Containing Centella Asiatica Extract. Indian J. Pharm. Sci. 2016, 78, 27–33. [Google Scholar] [CrossRef]
- Bylka, W.; Znajdek-Awiżeń, P.; Studzińska-Sroka, E.; Brzezińska, M. Centella Asiatica in Cosmetology. Postep. Dermatol. Alergol. 2013, 30, 46–49. [Google Scholar] [CrossRef] [PubMed]
- Hachem, A.; Borgoin, J.Y. Etude Anatomo-Clinique Des Effects de l’extrait Titre de Centella Asiatica Dans La Lipodystrophie Localisee. La Med. Prat. 1979, 12, 17–21. [Google Scholar]
- Saenger, M.; Hartge, E.-U.; Werther, J.; Ogada, T.; Siagi, Z. Combustion of Coffee Husks. Renew. Energy 2001, 23, 103–121. [Google Scholar] [CrossRef]
- Rawlings, A.V. Cellulite and Its Treatment. Int. J. Cosmet. Sci. 2006, 28, 175–190. [Google Scholar] [CrossRef]
- Rodrigues, F.; Alves, A.C.; Nunes, C.; Sarmento, B.; Amaral, M.H.; Reis, S.; Oliveira, M.B.P.P. Permeation of Topically Applied Caffeine from a Food by—Product in Cosmetic Formulations: Is Nanoscale in Vitro Approach an Option? Int. J. Pharm. 2016, 513, 496–503. [Google Scholar] [CrossRef]
- Castejón, N.; Adrien, A.; Spitzer, L.; Fernandes, S.C.M. Unlocking the Full Potential of the Red Seaweed Gelidium corneum: Beyond Its Use as an Agar Source. J. Appl. Phycol. 2023, 36, 291–311. [Google Scholar] [CrossRef]
- Cavaco, M.; Duarte, A.; Freitas, M.V.; Afonso, C.; Bernardino, S.; Pereira, L.; Martins, M.; Mouga, T. Seasonal Nutritional Profile of Gelidium corneum (Rhodophyta, Gelidiaceae) from the Center of Portugal. Foods 2021, 10, 2394. [Google Scholar] [CrossRef] [PubMed]
- Taouam, I.; El Bouqdaoui, K.; Ridaoui, K.; Bourjilat, F.; Kabine, M.; Maata, N.; Cherki, M. Nutritional Profile, Phytochemical Composition, Antioxidant and Antibacterial Activities of Gelidium corneum from Dar Bouazza, Morocco. Egypt. J. Aquat. Res. 2024, 50, 516–527. [Google Scholar] [CrossRef]
- Matias, M.; Martins, A.; Alves, C.; Silva, J.; Pinteus, S.; Fitas, M.; Pinto, P.; Marto, J.; Ribeiro, H.; Murray, P.; et al. New Insights into the Dermocosmetic Potential of the Red Seaweed Gelidium corneum. Antioxidants 2023, 12, 1684. [Google Scholar] [CrossRef]
- Mourelle, M.L.; Gómez, C.; Legido Soto, J.L. Revealing the Potential Use of Macro and Microalgae Compounds in Skin Barrier Repair. Appl. Sci. 2025, 15, 11899. [Google Scholar] [CrossRef]
- Abreu, E.N.S.D.; Moraes, C. Comparative Analysis of Anti-Cellulite Market Products Containing Vegetal Cosmetic Assets. J. Dermatol. Cosmetol. 2019, 3, 26–30. [Google Scholar] [CrossRef]
- de Macedo, L.M.; dos Santos, É.M.; Militão, L.; Tundisi, L.L.; Ataide, J.A.; Souto, E.B.; Mazzola, P.G. Rosemary (Rosmarinus officinalis L., Syn salvia rosmarinus Spenn.) and Its Topical Applications: A Review. Plants 2020, 9, 651. [Google Scholar] [CrossRef]
- Li Pomi, F.; Papa, V.; Borgia, F.; Vaccaro, M.; Allegra, A.; Cicero, N.; Gangemi, S. Rosmarinus Officinalis and Skin: Antioxidant Activity and Possible Therapeutical Role in Cutaneous Diseases. Antioxidants 2023, 12, 680. [Google Scholar] [CrossRef]
- Yimam, M.; Lee, Y.-C.; Jiao, P.; Hong, M.; Brownell, L.; Jia, Q. A Randomized, Active Comparator-Controlled Clinical Trial of a Topical Botanical Cream for Skin Hydration, Elasticity, Firmness, and Cellulite. J. Clin. Aesthet. Dermatol. 2018, 11, 51–57. [Google Scholar]
- Hexsel, D.; Orlandi, C.; Zechmeister do Prado, D. Botanical Extracts Used in the Treatment of Cellulite. Dermatol. Surg. 2005, 31, 866–872; discussion 872. [Google Scholar] [CrossRef]
- Mukhopadhyay, S.; Maitra, U. Chemistry and Biology of Bile Acids. Curr. Sci. 2004, 87, 1666–1683. [Google Scholar]
- Hofmann, A.; Hagey, L. Bile Acid Chemistry, Biology, and Therapeutics During the Last 80 Years: Historical Aspects. J. Lipid Res. 2014, 55, 1553–1595. [Google Scholar] [CrossRef]
- Park, H.J.; Jang, J.S.; Kim, C.H.; Kim, K.; Nam, G. Topical Formulation of Sodium Deoxycholate for Submental Lipolysis. Ski. Res. Technol. 2023, 29, e13293. [Google Scholar] [CrossRef] [PubMed]
- Farina, G.A.; Cherubini, K.; de Figueiredo, M.A.Z.; Salum, F.G. Deoxycholic Acid in the Submental Fat Reduction: A Review of Properties, Adverse Effects, and Complications. J. Cosmet. Dermatol. 2020, 19, 2497–2504. [Google Scholar] [CrossRef]
- Park, S.Y.; Kim, S.-B.; Wan, J.; Felice, F.; Yi, K.-H. Lipolytic Agents for Submental Fat Reduction: Review. Ski. Res. Technol. 2024, 30, e13601. [Google Scholar] [CrossRef] [PubMed]
- Wollina, U.; Goldman, A. ATX-101 for Reduction of Submental Fat. Expert Opin. Pharmacother. 2015, 16, 755–762. [Google Scholar] [CrossRef]
- Humphrey, S.; Sykes, J.; Kantor, J.; Bertucci, V.; Walker, P.; Lee, D.R.; Lizzul, P.F.; Gross, T.M.; Beddingfield, F.C. ATX-101 for Reduction of Submental Fat: A Phase III Randomized Controlled Trial. J. Am. Acad. Dermatol. 2016, 75, 788–797.e7. [Google Scholar] [CrossRef]
- Humphrey, S.; Femmer, P.; Beleznay, K.; Carruthers, J.D.A. Deoxycholic Acid for Submental Fullness and More: Real-World Experience with 202 Patients. Dermatol. Surg. 2019, 45, 624–627. [Google Scholar] [CrossRef]
- Jalian, H.R.; Fitzgerald, R.; Bowen, B.; Gamio, S. Submental Fat Reduction Using Sequential Treatment Approach with Cryolipolysis and ATX-101. J. Cosmet. Dermatol. 2022, 21, 2437–2444. [Google Scholar] [CrossRef] [PubMed]
- Inocêncio, G.S.G.; Meneses-Santos, D.; Costa, M.D.M.d.A.; Vieira, W.A.; Almeida, V.L.d.; Rodrigues, R.P.C.B.; de Mello Rode, S.; Paranhos, L.R. Efficacy, Safety, and Potential Industry Bias in Using Deoxycholic Acid for Submental Fat Reduction—A Systematic Review and Meta-Analysis of Randomized Clinical Trials. Clinics 2023, 78, 100220. [Google Scholar] [CrossRef]
- Amore, R.; Pinto, H.; Gritzalas, K.; Hernández, C.; Skwara-Guzikowska, K.; Amuso, D.; Leonardi, V. Intralipotherapy, the State of the Art. Plast. Reconstr. Surg. Glob. Open 2016, 4, e1085. [Google Scholar] [CrossRef]
- Kouhjani, M.; Saberi, A.; Hadizadeh, F.; Khodaverdi, E.; Karimi, M.; Gholizadeh, E.; Kamali, H.; Nokhodchi, A. Development of Sustained Release Formulations Based on Lipid-Liquid Crystal to Control the Release of Deoxycholate: In Vitro and In Vivo Assessment. AAPS PharmSciTech 2023, 24, 224. [Google Scholar] [CrossRef]
- Noh, Y.; Heo, C.-Y. The Effect of Phosphatidylcholine and Deoxycholate Compound Injections to the Localized Adipose Tissue: An Experimental Study with a Murine Model. Arch. Plast. Surg. 2012, 39, 452–456. [Google Scholar] [CrossRef]
- Rotunda, A.M.; Kolodney, M.S. Mesotherapy and Phosphatidylcholine Injections: Historical Clarification and Review. Dermatol. Surg. 2006, 32, 465–480. [Google Scholar] [CrossRef] [PubMed]
- Center for Drug Evaluation and Research Using Fat-Dissolving Injections That Are Not FDA Approved Can Be Harmful. Available online: https://www.fda.gov/drugs/buying-using-medicine-safely/using-fat-dissolving-injections-are-not-fda-approved-can-be-harmful (accessed on 21 November 2025).
- Ferzli, G.; Sadick, N. A Review of Current Modalities to Treat Cellulite Effectively. Dermatol. Rev. 2020, 1, 123–127. [Google Scholar] [CrossRef]
- Song, R.; Murphy, M.; Li, C.; Ting, K. Current Development of Biodegradable Polymeric Materials for Biomedical Applications. Drug Des. Dev. Ther. 2018, 12, 3117–3145. [Google Scholar] [CrossRef] [PubMed]
- Ebrahimi, F.; Ramezani Dana, H. Poly Lactic Acid (PLA) Polymers: From Properties to Biomedical Applications. Int. J. Polym. Mater. Polym. Biomater. 2022, 71, 1117–1130. [Google Scholar] [CrossRef]
- Middleton, J.C.; Tipton, A.J. Synthetic Biodegradable Polymers as Orthopedic Devices. Biomaterials 2000, 21, 2335–2346. [Google Scholar] [CrossRef]
- Castro-Aguirre, E.; Iñiguez-Franco, F.; Samsudin, H.; Fang, X.; Auras, R. Poly(Lactic Acid)—Mass Production, Processing, Industrial Applications, and End of Life. Adv. Drug Deliv. Rev. 2016, 107, 333–366. [Google Scholar] [CrossRef] [PubMed]
- Khouri, N.G.; Bahú, J.O.; Blanco-Llamero, C.; Severino, P.; Concha, V.O.C.; Souto, E.B. Polylactic Acid (PLA): Properties, Synthesis, and Biomedical Applications—A Review of the Literature. J. Mol. Struct. 2024, 1309, 138243. [Google Scholar] [CrossRef]
- Sickles, C.K.; Nassereddin, A.; Patel, P.; Gross, G.P. Poly-L-Lactic Acid. In StatPearls; StatPearls Publishing: Treasure Island, FL, USA, 2025. [Google Scholar]
- Alfa Chemistry Synthesis of Polylactic Acid—Alfa Chemistry. Available online: https://www.alfa-chemistry.com/resources/synthesis-of-polylactic-acid.html (accessed on 6 January 2026).
- Oh, S.; Lee, J.H.; Kim, H.M.; Batsukh, S.; Sung, M.J.; Lim, T.H.; Lee, M.H.; Son, K.H.; Byun, K. Poly-L-Lactic Acid Fillers Improved Dermal Collagen Synthesis by Modulating M2 Macrophage Polarization in Aged Animal Skin. Cells 2023, 12, 1320. [Google Scholar] [CrossRef]
- Avelar, L.E.; Nabhani, S.; Wüst, S. Unveiling the Mechanism: Injectable Poly-L-Lactic Acid’s Evolving Role—Insights From Recent Studies. J. Cosmet. Dermatol. 2025, 24, e16635. [Google Scholar] [CrossRef]
- Center for Devices and Radiological Health Sculptra—P030050/S039. Available online: https://www.fda.gov/medical-devices/recently-approved-devices/sculptra-p030050s039 (accessed on 6 January 2026).
- Galderma Galderma Opens Up New Chapter for Sculptra® with MDR Certification and New Expanded Indication for Body. Available online: https://www.galderma.com/news/sculptra-mdr-certification-body (accessed on 6 January 2026).
- Haddad, A.; Avelar, L.; Fabi, S.G.; Sarubi, J.; Somenek, M.; Coimbra, D.D.; Palm, M.; Durairaj, K.K.; Somji, M.; Vasconcelos-Berg, R.; et al. Injectable Poly-l-Lactic Acid for Body Aesthetic Treatments: An International Consensus on Evidence Assessment and Practical Recommendations. Aesthet. Plast. Surg. 2025, 49, 1507–1517. [Google Scholar] [CrossRef] [PubMed]
- Durairaj, K.K.; Devgan, L.; Lee, A.; Khachatourian, N.; Nguyen, V.; Issa, T.; Baker, O. Poly-L-Lactic Acid for Gluteal Augmentation Found to Be Safe and Effective in Retrospective Clinical Review of 60 Patients. Dermatol. Surg. 2020, 46, S46–S53. [Google Scholar] [CrossRef]
- Swearingen, A.; Medrano, K.; Ferzli, G.; Sadick, N.; Arruda, S. Randomized, Double-Blind, Placebo-Controlled Study of Poly-L-Lactic Acid for Treatment of Cellulite in the Lower Extremities. J. Drugs Dermatol. 2021, 20, 529–533. [Google Scholar] [PubMed]
- Mazzuco, R. SubcisionTM plus Poly-l-Lactic Acid for the Treatment of Cellulite Associated to Flaccidity in the Buttocks and Thighs. J. Cosmet. Dermatol. 2020, 19, 1165–1171. [Google Scholar] [CrossRef] [PubMed]
- Galderma Safety and Effectiveness of Poly-l-Lactic Acid (PLLA) for the Improvement in Appearance of Cellulite. Available online: https://ctv.veeva.com/study/safety-and-effectiveness-of-poly-l-lactic-acid-plla-for-the-improvement-in-appearance-of-cellulite (accessed on 6 January 2026).
- Nikolis, A.; Enright, K.; Avelar, L.; Rice, S.; Sinno, H.; Rizis, D.; Cotofana, S. A Prospective, Multicenter Trial on the Efficacy and Safety of Poly-L-Lactic Acid for the Treatment of Contour Deformities of the Buttock Regions. J. Drugs Dermatol. 2022, 21, 295–304. [Google Scholar]
- Galderma AMWC 2024: Scientific Presentations Supported by Galderma. Available online: https://www.galderma.com/news/amwc-2024-scientific-presentations-supported-galderma (accessed on 6 January 2026).
- Bartus, C.; William Hanke, C.; Daro-Kaftan, E. A Decade of Experience with Injectable Poly-L-Lactic Acid: A Focus on Safety. Dermatol. Surg. 2013, 39, 698–705. [Google Scholar] [CrossRef]

















| No. | Classification Systems | Grades/Scale | Key Features | Ref. |
|---|---|---|---|---|
| 1 | Nürnberger–Müller (1978) | Grades 0–3 | Based on visibility at rest and the pinch test | [4,6] |
| 2 | Hexsel Cellulite Severity Scale (CSS) (2009) | Score 0–15 (Mild–Severe) | Five criteria: number/depth of depressions, surface alterations, nodularity, flaccidity | [4,23] |
| 3 | BODY-Q Scale (2020) | 11-item patient-reported | Measures appearance and quality-of-life impact | [24] |
| 4 | Modern Expansions | Grades 0–4 | Introduces pre-cellulite and fibrotic Grade 4 | [7] |
| No. | Factor | Description | Ref. |
|---|---|---|---|
| 1 | Age and skin elasticity | Ageing decreases collagen and dermal thickness, reducing connective tissue support and increasing cellulite visibility. | [4] |
| 2 | Body weight and fat distribution | Subcutaneous fat expansion stresses septae; cellulite can also occur in lean individuals. | [7] |
| 3 | Diet and hydration | High sodium/carbohydrate intake and low hydration promote fluid retention and microcirculatory impairment. | [27] |
| 4 | Ethnicity and biotype | The lower prevalence in East Asian women suggests ethnic variation due to differences in skin-fat structure. | [3] |
| 5 | Genetics | Polymorphisms in the angiotensin I-converting enzyme (ACE) and hypoxia-inducible factor HIF1A genes, along with familial patterns, indicate a hereditary predisposition. | [28,29] |
| 6 | Hormonal factors | Oestrogen influences fat deposition, connective tissue integrity, and microcirculation. Other hormones include insulin, catecholamines, cortisol, thyroid hormones, and prolactin. | [3] |
| 7 | Lifestyle and physical activity | Sedentary behaviour impairs microcirculation and lymphatic drainage, contributing to fat deposition and oedema. | [30] |
| 8 | Microcirculation and lymphatic factors | Dysfunction of the cutaneous microvasculature and lymphatics leads to oedema, inflammation, and alterations in the extracellular matrix. | [16] |
| 9 | Sex (female) | Cellulite affects 80–95% of post-pubertal women due to the orientation of fibrous septae and gynoid fat distribution. | [6,7] |
| 10 | Smoking and excess alcohol | Nicotine and alcohol impair circulation, degrade collagen/elastin, and promote inflammation. | [4,31] |
| No. | Mechanism of Action | Agents (Used Individually or in Combinations) |
|---|---|---|
| 1 | Increase the microcirculation flow | Ginkgo biloba; Pentoxifylline; Centella asiatica; Ruscus aculeatus (Butcher’s broom); Red grapes (Vitis vinifera); Cynara scolymus; Hedera helix (ivy); Melilotus officinalis. |
| 2 | Stimulate lipolysis and modulate adipocyte metabolism | Methylxanthines (e.g., Caffeine, Theophylline, Aminophylline); Carnitine (L-carnitine); Forskolin (Colforsin) Combinations:
|
| 3 | Restore the normal structure of dermis and subcutaneous tissue | Retinoids (e.g., Retinol, Retinyl Palmitate); Multi-active peptide-based complexes (often combined with methylxanthines); Centella asiatica derivatives (e.g., Asiaticosides, Madecassosides); α-Tocopherol (Vitamin E); Hydrolysed Collagen; Elastin Combinations:
|
| 4 | Prevent free-radical formation or scavenge free radicals | α-Tocopherol (Vitamin E); Ascorbic acid (Vitamin C); Ginkgo biloba (flavonoids); Vitis vinifera (grape seed procyanidins); Rosmarinus officinalis (rosemary); Escin (venotonic, anti-edematous); Nelumbo nucifera (flavonoid-rich); Cucurbita pepo (pumpkin extract); Cranberry extract; Centella asiatica (Asiaticosides, Madecassosides) Combinations:
|
| Property | Caffeine | Theobromine | Theophylline | Aminophylline (Theophylline–Ethylenediamine Complex) | Notes |
|---|---|---|---|---|---|
| Molecular weight (g/mol) | 194.19 | 180.16 | 180.16 | ~420 1 | Salt form/complex |
| Log P (octanol/water) | −0.07 to −0.1 | ~ 0.1 | −0.1 to −0.2 | Not defined | Salt form |
| Hydrophilicity | High | Moderate | High | Very high | - |
| Water solubility (25 °C) | ~21.7 g/L | ~0.3 g/L | ~8 g/L | Very high | - |
| Ionisation at skin pH | Neutral | Neutral | Weakly ionizable | Predominantly ionised | - |
| Hydrogen bonding | Moderate | Moderate | High | Very high | - |
| Plant (Latin and Common Name) | Main Bioactive Constituents | Primary Anti-Cellulite Mechanisms | Notes/Formulation Remarks | Ref. |
|---|---|---|---|---|
| Aesculus hippocastanum (Horse chestnut) | Escin (saponin), esculin, flavonoids, fatty oils | Venotonic and anti-edematous; improves microcirculation; anti-inflammatory/antioxidant; endothelial junction stabilisation (vascular integrity). | Frequently used to drain fluids and improve tissue firmness; benefits are tied to vascular tone and ECM support. | [17,55,56,57,148] |
| Annona squamosa (Custard apple) | Acetogenins (seeds), alkaloids (leaves), diterpenes, cyclopeptides | Anti-adipogenic, anti-inflammatory, antioxidant. | Promising in multi-target blends addressing adipogenesis and oxidative stress | [149,150,151,152] |
| Boesenbergia rotunda (Fingerroot) | Panduratin A, pinostrobin, pinocembrin; flavonoids/phenolics | Anti-adipogenic, antioxidant; may enhance microcirculation and protect the ECM. | Often combined with capsaicin; transdermal delivery of panduratin A is documented. | [86,153,154,155] |
| Centella asiatica (Gotu kola) | Pentacyclic triterpenes: asiaticoside, madecassoside, asiatic acid, madecassic acid | Stimulates fibroblasts; increases collagen/fibronectin (ECM support); regulates microcirculation; anti-inflammatory and draining. | Staple in anti-cellulite/anti-ageing formulas; supports dermal architecture and tone. | [17,157,158,159] |
| Coffee silverskin (by-product) | Caffeine, chlorogenic acids, melanoidins | Lipolysis via methylxanthines; antioxidant; supports microcirculation/oxygen delivery. | Sustainable caffeine source; delivery system choice is critical for efficacy. | [17,160,161,162] |
| Gelidium corneum (red algae) | Polyphenols/flavonoids; MAAs (shinorine, porphyra-334, palythine, asterina-330); phycobiliproteins; carotenoids; floridoside; PUFAs (e.g., EPA) | Antioxidant/anti-inflammatory; photoprotection; possible lipolysis stimulation; fibroblast activity (tone/elasticity). | Multitarget seaweed extract; promising for barrier/hydration + anti-oxidative support. | [17,163,164,165,166,167] |
| Camellia sinensis (Green tea extract) | Catechins (e.g., EGCG), caffeine | Lipolysis (PDE inhibition leads to increased cAMP); potent antioxidant; anti-inflammatory. | Often paired with caffeine; strong ROS-scavenging complements lipolysis. | [17,156] |
| Hedera helix (ivy) | Saponins (e.g., hederacoside, alpha-hederin) | Anti-edematous; vasomodulatory (drainage and microcirculation); co-adjuvant. | Co-ingredient to enhance lymphatic drainage and tissue tone. | [168] |
| Rosmarinus officinalis (rosemary) | Carnosol, carnosic acid, rosmarinic acid, ursolic and oleanolic acids | Strong antioxidant/anti-inflammatory; may aid microcirculation and ECM protection. | Key botanical to attenuate oxidative cascades implicated in cellulite and photoageing. | [152,169,170] |
| Zanthoxylum clava-herculis (toothache tree) | Magnoflorine (±laurifoline) | Inhibits NF-κB-mediated inflammation; β2-adrenergic activation leads to vasodilation and microcirculation. | Often formulated with rosemary and custard apple for multi-mechanism action. | [17,152,171] |
Disclaimer/Publisher’s Note: The statements, opinions and data contained in all publications are solely those of the individual author(s) and contributor(s) and not of MDPI and/or the editor(s). MDPI and/or the editor(s) disclaim responsibility for any injury to people or property resulting from any ideas, methods, instructions or products referred to in the content. |
© 2026 by the authors. Licensee MDPI, Basel, Switzerland. This article is an open access article distributed under the terms and conditions of the Creative Commons Attribution (CC BY) license.
Share and Cite
Rusu, A.; Mazilu, R.-D.; Székely-Szentmiklósi, B.; Oancea, O.-L.; Tanase, C.; Lungu, I.-A.; Hancu, G. Bioactive Compounds for Topical and Minimally Invasive Cellulite Treatment and Skin Rejuvenation. Cosmetics 2026, 13, 35. https://doi.org/10.3390/cosmetics13010035
Rusu A, Mazilu R-D, Székely-Szentmiklósi B, Oancea O-L, Tanase C, Lungu I-A, Hancu G. Bioactive Compounds for Topical and Minimally Invasive Cellulite Treatment and Skin Rejuvenation. Cosmetics. 2026; 13(1):35. https://doi.org/10.3390/cosmetics13010035
Chicago/Turabian StyleRusu, Aura, Raluca-Daniela Mazilu, Blanka Székely-Szentmiklósi, Octavia-Laura Oancea, Corneliu Tanase, Ioana-Andreea Lungu, and Gabriel Hancu. 2026. "Bioactive Compounds for Topical and Minimally Invasive Cellulite Treatment and Skin Rejuvenation" Cosmetics 13, no. 1: 35. https://doi.org/10.3390/cosmetics13010035
APA StyleRusu, A., Mazilu, R.-D., Székely-Szentmiklósi, B., Oancea, O.-L., Tanase, C., Lungu, I.-A., & Hancu, G. (2026). Bioactive Compounds for Topical and Minimally Invasive Cellulite Treatment and Skin Rejuvenation. Cosmetics, 13(1), 35. https://doi.org/10.3390/cosmetics13010035

