Anti-Wrinkle Effect on the Outer Corners of the Eyes of a Cosmetic Cream Containing Various Bioactive Ingredients of Kampo Medicines: A Preliminary Clinical Trial with the Split-Face Method
Abstract
1. Introduction
2. Subjects and Methods
2.1. Ethical Considerations and Selection of the Subjects
2.2. Trial Methods
2.3. Evaluation Procedures
2.4. Statistical Analysis
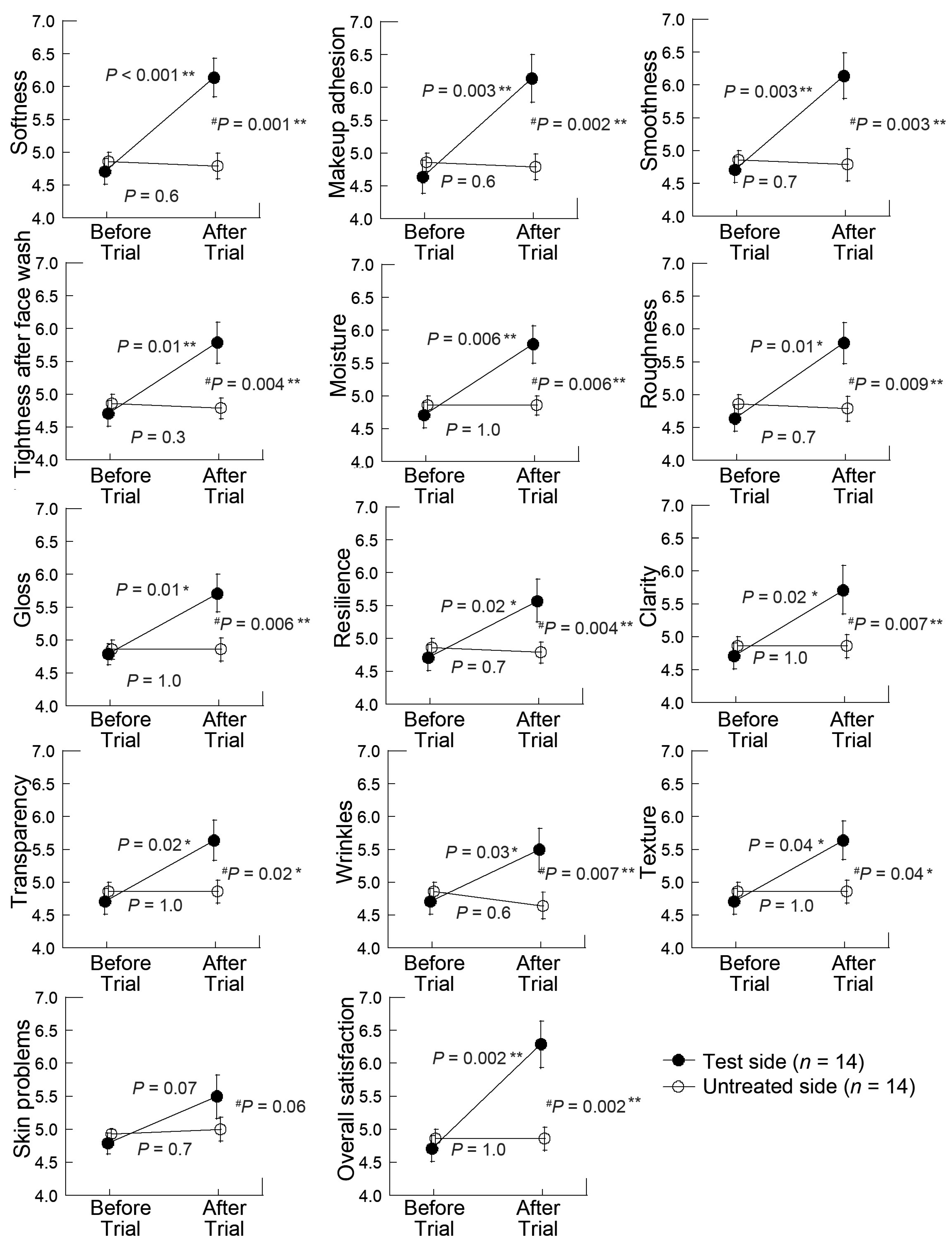
3. Results
3.1. Change in the Wrinkles Around Eyes After the Trial
3.2. Change in the Facial Skin Condition After the Trial
4. Discussion
Author Contributions
Funding
Institutional Review Board Statement
Informed Consent Statement
Data Availability Statement
Conflicts of Interest
References
- Li, Y.; Tian, X.; Luo, J.; Bao, T.; Wang, S.; Wu, X. Molecular mechanisms of aging and anti-aging strategies. Cell Commun. Signal 2024, 22, 285. [Google Scholar] [CrossRef]
- Merin, K.A.; Shaji, M.; Kameswaran, R. A Review on Sun Exposure and Skin Diseases. Indian J. Dermatol. 2022, 67, 625. [Google Scholar] [CrossRef]
- Gromkowska-Kępka, K.J.; Puścion-Jakubik, A.; Markiewicz-Żukowska, R.; Socha, K. The impact of ultraviolet radiation on skin photoaging—Review of in vitro studies. J. Cosmet. Dermatol. 2021, 20, 3427–3431. [Google Scholar] [CrossRef]
- Park, S. Biochemical, structural and physical changes in aging human skin, and their relationship. Biogerontology 2022, 23, 275–288. [Google Scholar] [CrossRef]
- Tang, X.; Wang, J.; Chen, J.; Liu, W.; Qiao, P.; Quan, H.; Li, Z.; Dang, E.; Wang, G.; Shao, S. Epidermal stem cells: Skin surveillance and clinical perspective. J. Transl. Med. 2024, 22, 779. [Google Scholar] [CrossRef]
- Moroki, T. Morphological characteristics and notes of the skin in preclinical toxicity assessment. J. Toxicol. Pathol. 2023, 36, 85–94. [Google Scholar] [CrossRef] [PubMed]
- Biniek, K.; Kaczvinsky, J.; Matts, P.; Dauskardt, R.H. Understanding age-induced alterations to the biomechanical barrier function of human stratum corneum. J. Dermatol. Sci. 2015, 80, 94–101. [Google Scholar] [CrossRef] [PubMed]
- Fukuda, K.; Ito, Y.; Furuichi, Y.; Matsui, T.; Horikawa, H.; Miyano, T.; Okada, T.; van Logtestijn, M.; Tanaka, R.J.; Miyawaki, A.; et al. Three stepwise pH progressions in stratum corneum for homeostatic maintenance of the skin. Nat. Commun. 2024, 15, 4062. [Google Scholar] [CrossRef] [PubMed]
- Santoprete, R.; Hourblin, V.; Foucher, A.; Dufour, O.; Bernard, D.; Domanov, Y.; Querleux, B.; Potter, A. Reduction of wrinkles: From a computational hypothesis to a clinical, instrumental, and biological proof. Skin Res. Technol. 2023, 29, e13267. [Google Scholar] [CrossRef]
- Tenchov, R.; Sasso, J.M.; Wang, X.; Zhou, Q.A. Antiaging Strategies and Remedies: A Landscape of Research Progress and Promise. ACS Chem. Neurosci. 2024, 15, 408–446. [Google Scholar] [CrossRef]
- Kuchta, K.; Cameron, S. Editorial: Kampo Medicine in a Modern Context: Ethnopharmacological Perspectives. Front. Pharmacol. 2022, 13, 971254. [Google Scholar] [CrossRef]
- Yamamoto, M. KAMPOmics: A framework for multidisciplinary and comprehensive research on Japanese traditional medicine. Gene 2022, 831, 146555. [Google Scholar] [CrossRef]
- Takayama, S.; Tomita, N.; Arita, R.; Ono, R.; Kikuchi, A.; Ishii, T. Kampo Medicine for Various Aging-Related Symptoms: A Review of Geriatric Syndrome. Front. Nutr. 2020, 7, 86. [Google Scholar] [CrossRef] [PubMed]
- Kikushima, K.; Yamaguchi, M.; Kiyohara, K.; Yamaguchi, N.; Ohnuki, K. Use of the Face Wash Containing Placenta Extracts for 4 Weeks Improves the Facial Wrinkles around Eyes. Jpn. Pharmacol. Ther. 2020, 48, 1767–1775. [Google Scholar]
- Kikushima, K.; Yamaguchi, M.; Maeda, M.; Kiyohara, K.; Yamaguchi, N.; Ohnuki, K. Use of the Peeling Gel containing Natural Ingredients for 4 Weeks Improves the Facial Wrinkles around Eyes. Jpn. Pharmacol. Ther. 2022, 50, 1657–1665. [Google Scholar]
- Kikushima, K.; Yamaguchi, M.; Ogawa, E.; Hajima, S.; Yamaguchi, N.; Ohnuki, K. Improvement of the Facial Wrinkles around Eyes after four Weeks’ Use of Medicinal Peeling Mask. Jpn. Pharmacol. Ther. 2025, 53, 137–146. [Google Scholar]
- Task Force Committee for Evaluation of Anti-aging Function. Guideline for Evaluation of Anti-wrinkle Products. J. Jpn. Cosmet. Sci. Soc. 2006, 30, 316–332. Available online: https://www.jcss.jp/journal/contents_guideline1.pdf (accessed on 17 November 2025).
- Task Force Committee for Evaluation of Anti-Aging Function. Guideline for Evaluation of Anti-Wrinkle Products. J. Jpn. Cosmet. Sci. Soc. 2007, 31 (Suppl. S4), 411–431. Available online: http://www.jcss.jp/en/journal/pdf/contents_guideline1.pdf (accessed on 17 November 2025).
- Kikushima, K.; Shimizu, K.; Yamaguchi, M.; Kiyohara, K.; Nagai, M.; Yamaguchi, N.; Ohnuki, K. Improvement of the Facial Wrinkles around Eyes by the Use of a Chinese Medicinal Cream for 4 Weeks. Jpn. Pharmacol. Ther. 2022, 50, 2005–2013. [Google Scholar]
- Tomas, M.; Günal-Köroğlu, D.; Kamiloglu, S.; Ozdal, T.; Capanoglu, E. The state of the art in anti-aging: Plant-based phytochemicals for skin care. Immun. Ageing 2025, 22, 5. [Google Scholar] [CrossRef]
- Nagae, M.; Nagata, M.; Teramoto, M.; Yamakawa, M.; Matsuki, T.; Ohnuki, K.; Shimizu, K. Effect of Porcine Placenta Extract Supplement on Skin Condition in Healthy Adult Women: A Randomized, Double-Blind Placebo-Controlled Study. Nutrients 2020, 12, 1671. [Google Scholar] [CrossRef]
- Leite, C.D.S.; Bonafé, G.A.; Pires, O.C.; dos Santos, T.W.; Pereira, G.P.; Pereira, J.A.; Rocha, T.; Martinez, C.A.R.; Ortega, M.M.; Ribeiro, M.L. Dipotassium Glycyrrhizininate Improves Skin Wound Healing by Modulating Inflammatory Process. Int. J. Mol. Sci. 2023, 24, 3839. [Google Scholar] [CrossRef]
- Ohto-Fujita, E.; Shimizu, M.; Atomi, A.; Hiruta, H.; Hosoda, R.; Horinouchi, S.; Miyazaki, S.; Murakami, T.; Asano, Y.; Hasebe, Y.; et al. Eggshell membrane and its major component lysozyme and ovotransferrin enhance the secretion of decorin as an endogenous antifibrotic mediator from lung fibroblasts and ameliorate bleomycin-induced pulmonary fibrosis. Biochem. Biophys. Rep. 2024, 39, 101806. [Google Scholar] [CrossRef]
- Zhang, Y.; Wang, J.; Cheng, X.; Yi, B.; Zhang, X.; Li, Q. Apigenin induces dermal collagen synthesis via smad2/3 signaling pathway. Eur. J. Histochem. 2015, 59, 2467. [Google Scholar] [CrossRef]
- Eddin, L.B.; Jha, N.K.; Goyal, S.N.; Agrawal, Y.O.; Subramanya, S.B.; Bastaki, S.M.A.; Ojha, S. Health Benefits, Pharmacological Effects, Molecular Mechanisms, and Therapeutic Potential of α-Bisabolol. Nutrients 2022, 14, 1370. [Google Scholar] [CrossRef]
- Yonei, Y.; Yagi, M. Verification of improvement of periorbital wrinkles by using Asakado Skin Care. Glycative Stress Res. 2023, 10, 27–42. [Google Scholar] [CrossRef]
- Landolsi, C.; Salem-Berrabah, O.B.; Feki, M.; Harrabi, S.; Hosseinian, F. Unsaponifiable Compounds and Phenols Content, Antioxidant and Antitrypsin Activities of Prunus persica Kernel Oil. J. Oleo Sci. 2024, 73, 865–874. [Google Scholar] [CrossRef]
- Pena Júnior, D.S.; Almeida, C.A.; Santos, M.C.F.; Fonseca, P.H.V.; Menezes, E.V.; Junior, A.F.d.M.; Brandão, M.M.; de Oliveira, D.A.; de Souza, L.F.; Silva, J.C. Antioxidant activities of some monofloral honey types produced across Minas Gerais (Brazil). PLoS ONE 2022, 17, e0262038. [Google Scholar] [CrossRef]
- Purnamawati, S.; Indrastuti, N.; Danarti, R.; Saefudin, T. The Role of Moisturizers in Addressing Various Kinds of Dermatitis: A Review. Clin. Med. Res. 2017, 15, 75–87. [Google Scholar] [CrossRef]
- Maeda, K. Mechanism of Action of Topical Tranexamic Acid in the Treatment of Melasma and Sun-Induced Skin Hyperpigmentation. Cosmetics 2022, 9, 108. [Google Scholar] [CrossRef]
- Boo, Y.C. Arbutin as a Skin Depigmenting Agent with Antimelanogenic and Antioxidant Properties. Antioxidants 2021, 10, 1129. [Google Scholar] [CrossRef]
- Hara, M.; Yaar, M.; Byers, H.R.; Goukassian, D.; Gonsalves, J.; Gilchrest, B.A.; Fine, R.E. Kinesin participates in melanosomal movement along melanocyte dendrites. J. Investig. Dermatol. 2000, 114, 438–443. [Google Scholar] [CrossRef]
- Singh, A.; Yadav, S.; Pathak, P.; Verma, A.; Yadav, J.P. Harnessing Luteolin’s Therapeutic Potential in Human Disorders: Medicinal Significance, Biological, Clinical Properties and Analytical aspects. Pharmacol. Res. Mod. Chin. Med. 2024, 10, 100401. [Google Scholar] [CrossRef]
- Singh, B.; Schoeb, T.R.; Bajpai, P.; Slominski, A.; Singh, K.K. Reversing wrinkled skin and hair loss in mice by restoring mitochondrial function. Cell Death Dis. 2018, 9, 735. [Google Scholar] [CrossRef]
- Cruz, A.M.; Gonçalves, M.C.; Marques, M.S.; Veiga, F.; Paiva-Santos, A.C.; Pires, P.C. In Vitro Models for Anti-Aging Efficacy Assessment: A Critical Update in Dermocosmetic Research. Cosmetics 2023, 10, 66. [Google Scholar] [CrossRef]


| Wrinkle Grade | Pre–Post Comparison: P | Comparison Between Both Sides of the Face: #P | |||
|---|---|---|---|---|---|
| Before Trial | 4 Weeks After Trial | ||||
| Wrinkles around the eyes (n = 14) | Test side | 2.39 ± 0.21 | 2.27 ± 0.19 | 0.03 * | 0.03 * |
| Untreated side | 2.38 ± 0.21 | 2.39 ± 0.21 | 0.3 | ||
| Average Score of the Questionnaire | Pre–Post Comparison: P | Comparison Between Both Sides of the Face: #P | |||
|---|---|---|---|---|---|
| Before Trial | 4 Weeks After Trial | ||||
| Softness (n = 14) | Test side | 4.7 ± 0.2 | 6.1 ± 0.3 | <0.001 ** | 0.001 ** |
| Untreated side | 4.9 ± 0.1 | 4.8 ± 0.2 | 0.6 | ||
| Makeup adhesion | Test side | 4.6 ± 0.3 | 6.1 ± 0.4 | 0.003 ** | 0.002 ** |
| Untreated side | 4.9 ± 0.1 | 4.8 ± 0.2 | 0.6 | ||
| Smoothness | Test side | 4.7 ± 0.2 | 6.1 ± 0.4 | 0.003 ** | 0.003 ** |
| Untreated side | 4.9 ± 0.1 | 4.8 ± 0.2 | 0.7 | ||
| Tightness after face wash | Test side | 4.7 ± 0.2 | 5.8 ± 0.3 | 0.01 ** | 0.004 ** |
| Untreated side | 4.9 ± 0.1 | 4.8 ± 0.2 | 0.3 | ||
| Moisture | Test side | 4.7 ± 0.2 | 5.8 ± 0.3 | 0.006 ** | 0.006 ** |
| Untreated side | 4.9 ± 0.1 | 4.9 ± 0.1 | 1.0 | ||
| Roughness | Test side | 4.6 ± 0.2 | 5.8 ± 0.3 | 0.01 * | 0.009 ** |
| Untreated side | 4.9 ± 0.1 | 4.8 ± 0.2 | 0.7 | ||
| Gloss | Test side | 4.8 ± 0.2 | 5.7 ± 0.3 | 0.01 * | 0.006 ** |
| Untreated side | 4.9 ± 0.1 | 4.9 ± 0.2 | 1.0 | ||
| Resilience | Test side | 4.7 ± 0.2 | 5.6 ± 0.3 | 0.02 * | 0.004 ** |
| Untreated side | 4.9 ± 0.1 | 4.8 ± 0.2 | 0.7 | ||
| Clarity | Test side | 4.7 ± 0.2 | 5.7 ± 0.4 | 0.02 * | 0.007 ** |
| Untreated side | 4.9 ± 0.1 | 4.9 ± 0.2 | 1.0 | ||
| Transparency | Test side | 4.7 ± 0.2 | 5.6 ± 0.3 | 0.02 * | 0.02 * |
| Untreated side | 4.9 ± 0.1 | 4.9 ± 0.2 | 1.0 | ||
| Wrinkles | Test side | 4.7 ± 0.2 | 5.5 ± 0.3 | 0.03 * | 0.007 ** |
| Untreated side | 4.9 ± 0.1 | 4.6 ± 0.2 | 0.6 | ||
| Texture | Test side | 4.7 ± 0.2 | 5.6 ± 0.3 | 0.04 * | 0.04 * |
| Untreated side | 4.9 ± 0.1 | 4.9 ± 0.2 | 1.0 | ||
| Problems such as acne and pimples | Test side | 4.8 ± 0.2 | 5.5 ± 0.3 | 0.07 | 0.06 |
| Untreated side | 4.9 ± 0.1 | 5.0 ± 0.2 | 0.7 | ||
| Overall satisfaction | Test side | 4.7 ± 0.2 | 6.3 ± 0.4 | 0.002 ** | 0.002 ** |
| Untreated side | 4.9 ± 0.1 | 4.9 ± 0.2 | 1.0 | ||
| Softness | Makeup Adhesion | Smoothness | Skin Tightness After Face Wash | Moisture |
| 0.5 | 0.2 | 0.4 | 0.2 | 0.4 |
| Roughness | Gloss | Resilience | Clarity | Transparency |
| 0.3 | 0.1 | 0.2 | 0.2 | 0.1 |
| Wrinkles | Texture | Skin problems | Overall satisfaction | |
| 0.4 | 0.1 | 0.2 | 0.3 |
Disclaimer/Publisher’s Note: The statements, opinions and data contained in all publications are solely those of the individual author(s) and contributor(s) and not of MDPI and/or the editor(s). MDPI and/or the editor(s) disclaim responsibility for any injury to people or property resulting from any ideas, methods, instructions or products referred to in the content. |
© 2025 by the authors. Licensee MDPI, Basel, Switzerland. This article is an open access article distributed under the terms and conditions of the Creative Commons Attribution (CC BY) license (https://creativecommons.org/licenses/by/4.0/).
Share and Cite
Kikushima, K.; Yamaguchi, M.; Kiyohara, K.; Nagai, M.; Hajima, S.; Yamaguchi, N.; Ohnuki, K. Anti-Wrinkle Effect on the Outer Corners of the Eyes of a Cosmetic Cream Containing Various Bioactive Ingredients of Kampo Medicines: A Preliminary Clinical Trial with the Split-Face Method. Cosmetics 2025, 12, 271. https://doi.org/10.3390/cosmetics12060271
Kikushima K, Yamaguchi M, Kiyohara K, Nagai M, Hajima S, Yamaguchi N, Ohnuki K. Anti-Wrinkle Effect on the Outer Corners of the Eyes of a Cosmetic Cream Containing Various Bioactive Ingredients of Kampo Medicines: A Preliminary Clinical Trial with the Split-Face Method. Cosmetics. 2025; 12(6):271. https://doi.org/10.3390/cosmetics12060271
Chicago/Turabian StyleKikushima, Kenji, Mariko Yamaguchi, Kimitaka Kiyohara, Miyako Nagai, Saki Hajima, Naoya Yamaguchi, and Koichiro Ohnuki. 2025. "Anti-Wrinkle Effect on the Outer Corners of the Eyes of a Cosmetic Cream Containing Various Bioactive Ingredients of Kampo Medicines: A Preliminary Clinical Trial with the Split-Face Method" Cosmetics 12, no. 6: 271. https://doi.org/10.3390/cosmetics12060271
APA StyleKikushima, K., Yamaguchi, M., Kiyohara, K., Nagai, M., Hajima, S., Yamaguchi, N., & Ohnuki, K. (2025). Anti-Wrinkle Effect on the Outer Corners of the Eyes of a Cosmetic Cream Containing Various Bioactive Ingredients of Kampo Medicines: A Preliminary Clinical Trial with the Split-Face Method. Cosmetics, 12(6), 271. https://doi.org/10.3390/cosmetics12060271

