Cyclodextrin Applications in the Cosmetic Industry: A Review
Abstract
1. Introduction
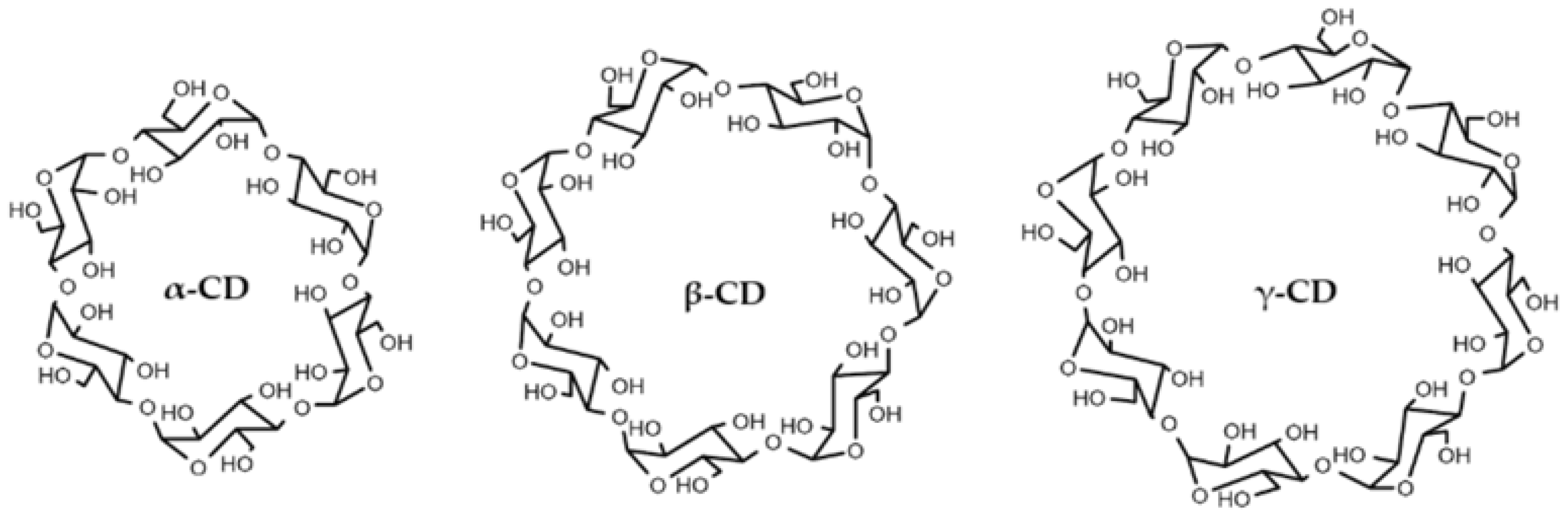
2. Cyclodextrin Types and Methods to Encapsulate Bioactive Ingredients
| Encapsulating Agent | Number of Glucose Units | Internal Cavity Size (Å) | Substituent Groups (Type) | Average Degree of Substitution (SD) * | Molecular Weight (g/mol) ** | Water Solubility (25 °C mg/100 mL) | Reference |
|---|---|---|---|---|---|---|---|
| α-CD | 6 | 4.7–5.2 | None (Natural) | 0 | 972.8 | 12.8 | [6] |
| β-CD | 7 | 6–6.4 | None (Natural) | 0 | 1135 | 1.8 | [6] |
| γ-CD | 8 | 7.5–8.3 | None (Natural) | 0 | 1297 | 25.6 | [6] |
| HP-β-CD | 7 | 6–6.4 | Hydroxypropyl groups (-CH2CH2COOH) | 0.7–4.5 | 1541.5 | 100 | [37,38,39] |
| M-β-CD | 7 | 6–6.4 | Methyl groups (CH3) | 7–14 | 1303.3 | 50 | [40,41] |
| HP-γ-CD | 8 | 7.5–8.3 | Hydroxypropyl groups (-CH2CH2COOH) | 4–6 | 1587.5 | High | [42,43,44] |
| He-β-CD | 7 | 6–6.4 | Hydroxyetil groups | 14 | 1443.3 | 55 | [45] |
| Carboxymetil-β-CD | 7 | 6–6.4 | Carboximetil groups (-CH2COOH) | 5 | 1446 | Higher than β-CD | [46] |
| Sulfobutil eter-β-CD | 7 | 6–6.4 | Sulfobutileter groups (-OCH2CH2CH2CH2SO3−) | 6–7.1 | 2083 | ≥500 mg/mL | [47] |
3. Protection and Delivery of Bioactive Ingredients
3.1. Cyclodextrins and Their Protective Ability
| Bioactive Ingredient | Encapsulating Agent | Effects Observed upon Encapsulation | Reference |
|---|---|---|---|
| Stilbenes (resveratrol, piceatannol, oxyreseratrol, pinostibene) | α-CD β-CD HP-β-CD M-β-CD | Protection from light and heat degradation. Protection from oxidation and enzymatic hydrolysis | [5,50,59] |
| Ferulic acid | α-CD HP-γ-CD | Protection from light degradation Protection from oxidation Increase solubility Enhance UV absorption capacity | [62] |
| Citronellal oil and other essential oils | β-CD HP-β-CD | Protection from degradation Avoid the evaporation | [65,66] |
| Curcumin | β-CD | Increase in stability Improvement of bioavailability and bioaccessibility Increase transdermal permeation | [67] |
| CoQ10 | β-CD γ-CD | Enhances thermostability and photostability | [68,69,70] |
| Essential oils (vanillin, geraniol, jasmon, rose oil, apple fragrance, rosemary oil) | β-CD | Improve stability and solubility Control of odour release | [74,75,76,77,78,79] |
3.2. Cyclodextrins and Their Delivery and Release Ability
3.3. Polymeric Cyclodextrins and Their Benefits
- Increased loading capacity: the polymer network can encapsulate larger quantities of bioactive compounds compared to individual CDs.
- Prolonged release profile: encapsulation within a polymer matrix facilitates sustained release, ensuring extended efficacy.
- Improved solubility and stability: the polymer matrix enhances the solubility of hydrophobic molecules and protects them from degradation caused by light, heat, or oxidation.
4. Permanence of Fragrances and Off-Odours Masking
4.1. Complexation of Essential Oils to Enhance Their Aroma
4.2. Complexation of Other Cosmetic Ingredients to Mask Their Odour
4.3. Free Cyclodextrins Used in Cosmetics for Masking Body Odours
5. Stabilization of Formulations
6. Cyclodextrins in the Development of Dermatocosmetic Formulations
7. Skin Irritability and Toxicity
8. Conclusions and Future Perspectives
Author Contributions
Funding
Conflicts of Interest
References
- Crini, G.; Fourmentin, S.; Fenyvesi, É.; Torri, G.; Fourmentin, M.; Morin-Crini, N. Fundamentals and applications of cyclodextrins. In Cyclodextrin Fundamentals, Reactivity and Analysis; Springer Nature: Berlin, Germany, 2018; pp. 1–55. [Google Scholar]
- Dhiman, P.; Bhatia, M. Pharmaceutical applications of cyclodextrins and their derivatives. J. Incl. Phenom. Macrocycl. Chem. 2020, 98, 171–186. [Google Scholar] [CrossRef]
- Bezerra, F.M.; Lis, M.J.; Firmino, H.B.; da Silva, J.G.D.; Valle, R.d.C.S.C.; Valle, J.A.B.; Scacchetti, F.A.P.; Tessaro, A.L. The Role of β-Cyclodextrin in the Textile Industry—Review. Molecules 2020, 25, 3624. [Google Scholar] [CrossRef]
- Matencio, A.; Navarro-Orcajada, S.; Garcia-Carmona, F.; López-Nicolás, J.M. Applications of cyclodextrins in food science. A review. Trends Food Sci. Technol. 2020, 104, 132–143. [Google Scholar] [CrossRef]
- Buschmann, H.-J.; Schollmeyer, E. Applications of cyclodextrins in cosmetic products: A review. J. Cosmet. Sci. 2002, 53, 185–192. [Google Scholar] [PubMed]
- Poulson, B.G.; Alsulami, Q.A.; Sharfalddin, A.; El Agammy, E.F.; Mouffouk, F.; Emwas, A.-H.; Jaremko, L.; Jaremko, M. Cyclodextrins: Structural, Chemical, and Physical Properties, and Applications. Polysaccharides 2022, 3, 1–31. [Google Scholar] [CrossRef]
- Upadhyay, D.; Sharma, S.; Shrivastava, D.; Kulshreshtha, N.M. Production and characterization of β-cyclodextrin glucanotransferase from Bacillus sp. ND1. J. Basic Microbiol. 2019, 59, 192–205. [Google Scholar] [CrossRef] [PubMed]
- Braga, S.S.; Pais, J. Chapter 10—Getting under the skin: Cyclodextrin inclusion for the controlled delivery of active substances to the dermis. In Design of Nanostructures for Versatile Therapeutic Applications; William Andrew: Norwich, NY, USA, 2018; pp. 407–449. [Google Scholar]
- Matencio, A.; Pedrazzo, A.R.; Difalco, A.; Navarro-Orcajada, S.; Monfared, Y.K.; Conesa, I.; Rezayat, A.; López-Nicolás, J.M.; Trotta, F. Advances and Classification of Cyclodextrin-Based Polymers for Food-Related Issues. Polymers 2021, 13, 4226. [Google Scholar] [CrossRef]
- Del Valle, E.M.M. Cyclodextrins and their uses: A review. Process Biochem. 2004, 39, 1033–1046. [Google Scholar] [CrossRef]
- Gonzalez Pereira, A.; Carpena, M.; García Oliveira, P.; Mejuto, J.C.; Prieto, M.A.; Simal Gandara, J. Main Applications of Cyclodextrins in the Food Industry as the Compounds of Choice to Form Host–Guest Complexes. Int. J. Mol. Sci. 2021, 22, 1339. [Google Scholar] [CrossRef]
- FDA. Federal Food, Drug, and Cosmetic Act (FD&C Act). 2018. Available online: https://www.fda.gov/regulatory-information/laws-enforced-fda/federal-food-drug-and-cosmetic-act-fdc-act (accessed on 17 September 2023).
- FDA. Is It a Cosmetic, a Drug, or Both? (Or Is It Soap?). 2022. Available online: https://www.fda.gov/cosmetics/cosmetics-laws-regulations/it-cosmetic-drug-or-both-or-it-soap (accessed on 30 September 2025).
- FDA. Cosmetics & U.S. Law. 2024. Available online: https://www.fda.gov/cosmetics/cosmetics-laws-regulations/cosmetics-us-law (accessed on 29 September 2025).
- EMA/CHMP. Questions and Answers on Cyclodextrins Used as Excipients in Medicinal Products for Human Use; European Medicines Agency: London, UK, 2017. [Google Scholar]
- EMA/CHMP. Background Review for Cyclodextrins Used as Excipients; European Medicines Agency: London, UK, 2014. [Google Scholar]
- Braga, S.S. Cyclodextrins: Emerging Medicines of the New Millennium. Biomolecules 2019, 9, 801. [Google Scholar] [CrossRef]
- Matencio, A.; Hoti, G.; Monfared, Y.K.; Rezayat, A.; Pedrazzo, A.R.; Caldera, F.; Trotta, F. Cyclodextrin Monomers and Polymers for Drug Activity Enhancement. Polymers 2021, 13, 1684. [Google Scholar] [CrossRef]
- Fernández-Romero, A.-M.; Maestrelli, F.; García-Gil, S.; Talero, E.; Mura, P.; Rabasco, A.M.; González-Rodríguez, M.L. Preparation, Characterization and Evaluation of the Anti-Inflammatory Activity of Epichlorohydrin-β-Cyclodextrin/Curcumin Binary Systems Embedded in a Pluronic®/Hyaluronate Hydrogel. Int. J. Mol. Sci. 2021, 22, 13566. [Google Scholar] [CrossRef]
- Rao, M.R.P.; Chaudhari, J.; Trotta, F.; Caldera, F. Investigation of Cyclodextrin-Based Nanosponges for Solubility and Bioavailability Enhancement of Rilpivirine. AAPS PharmSciTech. 2018, 19, 2358–2369. [Google Scholar] [CrossRef]
- Nicolazzi, C.; Venard, V.; Le Faou, A.; Finance, C. In vitro antiviral efficacy of the ganciclovir complexed with be-ta-cyclodextrin on human cytomegalovirus clinical strains. Antivir. Res. 2002, 54, 121–127. [Google Scholar] [CrossRef] [PubMed]
- Cho, Y.H.; Park, J. Encapsulation of flavors by molecular inclusion using β-cyclodextrin: Comparison with spray-drying process using carbohydrate-based wall materials. Food Sci. Biotechnol. 2009, 18, 185–189. [Google Scholar]
- Attoui-Yahia, O.; Khatmi, D.; Kraim, K.; Ferkous, F. Hydrogen bonding investigation in Pyridoxine/β-cyclodextrin complex based on QTAIM and NBO approaches. J. Taiwan Inst. Chem. Eng. 2015, 47, 91–98. [Google Scholar] [CrossRef]
- Köhler, J.E.H.; Grczelschak-Mick, N. The β-cyclodextrin/benzene complex and its hydrogen bonds—A theoretical study using molecular dynamics, quantum mechanics and COSMO-RS. Beilstein J. Org. Chem. 2013, 9, 118–134. [Google Scholar] [CrossRef] [PubMed]
- Matencio, A.; García-Carmona, F.; López-Nicolás, J.M. Encapsulation of piceatannol, a naturally occurring hydroxylated analogue of resveratrol, by natural and modified cyclodextrins. Food Funct. 2016, 7, 2367–2373. [Google Scholar] [CrossRef]
- Navarro-Orcajada, S.; Conesa, I.; Matencio, A.; García-Carmona, F.; López-Nicolás, J.M. Molecular encapsulation and bioactivity of gnetol, a resveratrol analogue, for use in foods. J. Sci. Food Agric. 2022, 102, 4296–4303. [Google Scholar] [CrossRef] [PubMed]
- Fourmentin, S.; Ciobanu, A.; Landy, D.; Wenz, G. Space filling of β-cyclodextrin and β-cyclodextrin derivatives by volatile hydrophobic guests. Beilstein J. Org. Chem. 2013, 9, 1185–1191. [Google Scholar] [CrossRef]
- López-Nicolás, J.M.; Rodríguez-Bonilla, P.; García-Carmona, F. Complexation of Pinosylvin, an Analogue of Resveratrol with High Antifungal and Antimicrobial Activity, by Different Types of Cyclodextrins. J. Agric. Food Chem. 2009, 57, 10175–10180. [Google Scholar] [CrossRef]
- He, J.; Zheng, Z.-P.; Zhu, Q.; Guo, F.; Chen, J. Encapsulation Mechanism of Oxyresveratrol by β-Cyclodextrin and Hydroxypropyl-β-Cyclodextrin and Computational Analysis. Molecules 2017, 22, 1801. [Google Scholar] [CrossRef]
- Conesa, I.; Navarro-Orcajada, S.; Vidal-Sánchez, F.J.; Torralba-Antón, E.; Carrión-Espinosa, M.; Matencio, A.; López-Nicolás, J.M. Pinostilbene as a Potential Cytotoxic Agent in Cancer Cell Lines: Improvement of Solubility and Stability by Cyclodextrin Encapsulation. Pharmaceutics 2025, 17, 1219. [Google Scholar] [CrossRef]
- Decock, G.; Fourmentin, S.; Surpateanu, G.G.; Landy, D.; Decock, P.; Surpateanu, G. Experimental and Theoretical Study on the Inclusion Compounds of Aroma Components with β-Cyclodextrins. Supramol. Chem. 2006, 18, 477–482. [Google Scholar] [CrossRef]
- Rodríguez-Bonilla, P.; López-Nicolás, J.M.; García-Carmona, F. Use of reversed phase high pressure liquid cromatography for the physicochemical and thermodynamic characterization of oxyresveratrol/β-cyclodextrin complexes. J. Chromatogr. B 2010, 878, 1569–1575. [Google Scholar] [CrossRef] [PubMed]
- Matencio, A.; García-Carmona, F.; López-Nicolás, J.M. The inclusion complex of oxyresveratrol in modified cyclodextrins: A thermodynamic, structural, physicochemical, fluorescent and computational study. Food Chem. 2017, 232, 177–184. [Google Scholar] [CrossRef]
- De Gaetano, F.; Margani, F.; Barbera, V.; D’Angelo, V.; Germanò, M.P.; Pistarà, V.; Ventura, C.A. Characterization and In Vivo Antiangiogenic Activity Evaluation of Morin-Based Cyclodextrin Inclusion Complexes. Pharmaceutics 2023, 15, 2209. [Google Scholar] [CrossRef] [PubMed]
- Al Omari, M.M.; Zughul, M.B.; Davies, J.E.D.; Badwan, A.A. Sildenafil/cyclodextrin complexation: Stability constants, thermodynamics, and guest–host interactions probed by 1H NMR and molecular modeling studies. J. Pharm. Biomed. Anal. 2006, 41, 857–865. [Google Scholar] [CrossRef]
- Li, T.; Guo, R.; Zong, Q.; Ling, G. Application of molecular docking in elaborating molecular mechanisms and interactions of supramolecular cyclodextrin. Carbohydr. Polym. 2022, 276, 118644. [Google Scholar] [CrossRef] [PubMed]
- (2-Hidroxipropil)-β-Ciclodextrina Powder, BioReagent, Suitable for Cell Culture|Sigma-Aldrich. Available online: https://www.sigmaaldrich.com/ES/es/product/sigma/c0926?srsltid=AfmBOoob1cysKGkB2_O_oKp2X_Y8GRTI8oxj0dzXoKKsI4SIg0m5TqJc (accessed on 29 September 2025).
- Pharma Virtual Lab by Roquette. KLEPTOSE HP Oral grade. Available online: https://www.roquette.com/innovation-hub/pharma/product-profile-pages/kleptose-hp-oral-grade (accessed on 27 October 2025).
- CYCLOLAB. Available online: https://cyclolab.hu/products/pharma_grade_cyclodextrins-c8/2hydroxypropylbetacyclodextrin_ds45-p42/ (accessed on 27 October 2025).
- PubChem. Methyl Beta-Cyclodextrin. Available online: https://pubchem.ncbi.nlm.nih.gov/compound/51051622 (accessed on 29 September 2025).
- Metil-β-Ciclodextrina Powder, BioReagent, Suitable for Cell Culture|Sigma-Aldrich. Available online: https://www.sigmaaldrich.com/ES/es/product/sigma/c4555?srsltid=AfmBOoowPnSMuGGvK8GijNWGzEat46qqI6oubW9q1syrfyJ-tfDU_LJL&utm_source=chatgpt.com (accessed on 29 September 2025).
- PubChem. Hydroxypropyl-Gamma-Cyclodextrin. Available online: https://pubchem.ncbi.nlm.nih.gov/compound/2733545 (accessed on 30 September 2025).
- (2-Hidroxipropil)-Gamma-Ciclodextrina, HPGCDCiclodextrina-Shop. Available online: https://www.cyclodextrin-shop.com/product/2-hydroxypropyl-gamma-cyclodextrin-hpgcd/?utm_source=chatgpt.com (accessed on 30 September 2025).
- CYCLOLAB. Available online: https://cyclolab.hu/products/research_grade_cyclodextrins-c23/2hydroxypropylgammacyclodextrin_ds45-p51/ (accessed on 27 October 2025).
- PubChem. (2-Hydroxyethyl)-b-Cyclodextrin. Available online: https://pubchem.ncbi.nlm.nih.gov/compound/75412567 (accessed on 30 September 2025).
- Stopilha, R.T.; Xavier-Júnior, F.H.; De Vasconcelos, C.L.; Fonseca, J.L.C. Carboxymethylated-β-cyclodextrin/chitosan particles: Bulk solids and aqueous dispersions. J. Dispers. Sci. Technol. 2020, 41, 717–724. [Google Scholar] [CrossRef]
- SBE-β-CD (Sulfobutylether-Beta-Cyclodextrin). Available online: https://www.glpbio.com/sp/sbe-beta-cd-sulfobutylether-beta-cyclodextrin.html (accessed on 27 October 2025).
- Bharadvaja, N.; Gautam, S.; Singh, H. Natural polyphenols: A promising bioactive compounds for skin care and cosmetics. Mol. Biol. Rep. 2023, 50, 1817–1828. [Google Scholar] [CrossRef]
- De Lima Cherubim, D.J.; Buzanello Martins, C.V.; Oliveira Fariña, L.; Da Silva De Lucca, R.A. Polyphenols as natural antioxidants in cosmetics applications. J. Cosmet. Dermatol. 2020, 19, 33–37. [Google Scholar] [CrossRef]
- Navarro-Orcajada, S.; Conesa, I.; Vidal-Sánchez, F.J.; Matencio, A.; Albaladejo-Maricó, L.; García-Carmona, F.; López-Nicolás, J.M. Stilbenes: Characterization, bioactivity, encapsulation and structural modifications. A review of their current limitations and promising approaches. Crit. Rev. Food Sci. Nutr. 2023, 63, 7269–7287. [Google Scholar] [CrossRef]
- Ratz-Lyko, A.; Arct, J.; Pytkowska, K. Methods for evaluation of cosmetic antioxidant capacity. Skin. Res. Technol. 2012, 18, 421–430. [Google Scholar] [CrossRef]
- Neelam; Khatkar, A.; Sharma, K.K. Phenylpropanoids and its derivatives: Biological activities and its role in food, pharmaceutical and cosmetic industries. Crit. Rev. Food Sci. Nutr. 2020, 60, 2655–2675. [Google Scholar] [CrossRef] [PubMed]
- Navarro-Orcajada, S.; Matencio, A.; Vicente-Herrero, C.; Garcia-Carmona, F.; López-Nicolás, J.M. Study of the fluorescence and interaction between cyclodextrins and neochlorogenic acid, in comparison with chlorogenic acid. Sci. Rep. 2021, 11, 3275. [Google Scholar] [CrossRef] [PubMed]
- Ferreira, L.; Mascarenhas-Melo, F.; Rabaça, S.; Mathur, A.; Sharma, A.; Giram, P.S.; Pawar, K.D.; Rahdar, A.; Raza, F.; Veiga, F.; et al. Cyclodextrin-based dermatological formulations: Dermopharmaceutical and cosmetic applications. Colloids Surf. B Biointerfaces 2023, 221, 113012. [Google Scholar] [CrossRef] [PubMed]
- López-Nicolás, J.M.; Rodríguez-Bonilla, P.; García-Carmona, F. Cyclodextrins and Antioxidants. Crit. Rev. Food Sci. Nutr. 2014, 54, 251–276. Available online: https://www.tandfonline.com/doi/abs/10.1080/10408398.2011.582544 (accessed on 29 September 2025). [CrossRef]
- Tian, B.; Liu, J. Resveratrol: A review of plant sources, synthesis, stability, modification and food application. J. Sci. Food Agric. 2020, 100, 1392–1404. [Google Scholar] [CrossRef]
- Dhakar, N.K.; Matencio, A.; Caldera, F.; Argenziano, M.; Cavalli, R.; Dianzani, C.; Zanetti, M.; López-Nicolás, J.M.; Trotta, F. Comparative evaluation of solubility, cytotoxicity and photostability studies of resveratrol and oxyresveratrol loaded nanosponges. Pharmaceutics 2019, 11, 545. [Google Scholar] [CrossRef]
- Francioso, A.; Mastromarino, P.; Masci, A.; d’Erme, M.; Mosca, L. Chemistry, stability and bioavailability of resveratrol. Med. Chem. 2014, 10, 237–245. [Google Scholar] [CrossRef] [PubMed]
- López-Nicolás, J.M.; Núñez-Delicado, E.; Pérez-López, A.J.; Barrachina, Á.C.; Cuadra-Crespo, P. Determination of stoichiometric coefficients and apparent formation constants for β-cyclodextrin complexes of trans-resveratrol using reversed-phase liquid chromatography. J. Chromatogr. A 2006, 1135, 158–165. [Google Scholar] [CrossRef] [PubMed]
- Popielec, A.; Loftsson, T. Effects of cyclodextrins on the chemical stability of drugs. Int. J. Pharm. 2017, 531, 532–542. [Google Scholar] [CrossRef]
- Centini, M.; Maggiore, M.; Casolaro, M.; Andreassi, M.; Maffei Facino, R.; Anselmi, C. Cyclodextrins as cosmetic delivery systems. J. Incl. Phenom. Macrocycl. Chem. 2007, 57, 109–112. [Google Scholar] [CrossRef]
- Peres, D.D.; Sarruf, F.D.; de Oliveira, C.A.; Velasco, M.V.R.; Baby, A.R. Ferulic acid photoprotective properties in association with UV filters: Multifunctional sunscreen with improved SPF and UVA-PF. J. Photochem. Photobiol. B 2018, 185, 46–49. [Google Scholar] [CrossRef]
- Navarro-Orcajada, S.; Vidal-Sánchez, F.J.; Conesa, I.; Matencio, A.; López-Nicolás, J.M. Improvement of the Physicochemical Limitations of Rhapontigenin, a Cytotoxic Analogue of Resveratrol against Colon Cancer. Biomolecules 2023, 13, 1270. [Google Scholar] [CrossRef]
- Kfoury, M.; Auezova, L.; Greige-Gerges, H.; Fourmentin, S. Encapsulation in cyclodextrins to widen the applications of essential oils. Environ. Chem. Lett. 2019, 17, 129–143. [Google Scholar] [CrossRef]
- Abril-Sánchez, C.; Matencio, A.; Navarro-Orcajada, S.; García-Carmona, F.; López-Nicolás, J.M. Evaluation of the properties of the essential oil citronellal nanoencapsulated by cyclodextrins. Chem. Phys. Lipids 2019, 219, 72–78. [Google Scholar] [CrossRef]
- Costa, P.; Medronho, B.; Gonçalves, S.; Romano, A. Cyclodextrins enhance the antioxidant activity of essential oils from three Lamiaceae species. Ind. Crops Prod. 2015, 70, 341–346. [Google Scholar] [CrossRef]
- Jiang, L.; Xia, N.; Wang, F.; Xie, C.; Ye, R.; Tang, H.; Zhang, H.; Liu, Y. Preparation and characterization of curcumin/β-cyclodextrin nanoparticles by nanoprecipitation to improve the stability and bioavailability of curcumin. LWT 2022, 171, 114149. [Google Scholar] [CrossRef]
- Knott, A.; Achterberg, V.; Smuda, C.; Mielke, H.; Sperling, G.; Dunckelmann, K.; Vogelsang, A.; Krüger, A.; Schwengler, H.; Behtash, M.; et al. Topical treatment with coenzyme Q 10-containing formulas improves skin’s Q 10 level and provides antioxidative effects. BioFactors 2015, 41, 383–390. [Google Scholar] [CrossRef]
- Fir, M.M.; Smidovnik, A.; Milivojevic, L.; Zmitek, J.; Prosek, M. Studies of CoQ10 and cyclodextrin complexes: Solubility, thermo- and photo-stability. J. Incl. Phenom. Macrocycl. Chem. 2009, 64, 225–232. [Google Scholar] [CrossRef]
- Šmidovnik, A.; Stražišar, M.; Jazbec, P.; Fir, M.M.; Prošek, M. Effect of Complexation Cyclodextrins with Phenolic Acids and Coenzyme Q 10 on their Physico-Chemical Properties and Bioavailability. Acta Chim. Slov. 2010, 57, 9–16. [Google Scholar]
- Celebioglu, A.; Uyar, T. Antioxidant Vitamin E/Cyclodextrin Inclusion Complex Electrospun Nanofibers: Enhanced Water Solubility, Prolonged Shelf Life, and Photostability of Vitamin E. J. Agric. Food Chem. 2017, 65, 5404–5412. [Google Scholar] [CrossRef] [PubMed]
- Kerdpol, K.; Nutho, B.; Krusong, K.; Poo-arporn, R.P.; Rungrotmongkol, T.; Hannongbua, S. Encapsulation of α-tocopherol in large-ring cyclodextrin containing 26 α-D-glucopyranose units: A molecular dynamics study. J. Mol. Liq. 2021, 339, 116802. [Google Scholar] [CrossRef]
- Sangkhawasi, M.; Kerdpol, K.; Ismail, A.; Nutho, B.; Hanpiboon, C.; Wolschann, P.; Krusong, K.; Rungrotmongkol, T.; Hannongbua, S. In vitro and in silico study on the molecular encapsulation of α-tocopherol in a large-ring cyclodextrin. Int. J. Mol. Sci. 2023, 24, 4425. [Google Scholar] [CrossRef] [PubMed]
- Hundre, S.Y.; Karthik, P.; Anandharamakrishnan, C. Effect of whey protein isolate and β-cyclodextrin wall systems on stability of microencapsulated vanillin by spray–freeze drying method. Food Chem. 2015, 174, 16–24. [Google Scholar] [CrossRef]
- Menezes, P.P.; Serafini, M.R.; Santana, B.V.; Nunes, R.S.; Quintans, L.J.; Silva, G.F.; Medeiros, I.A.; Marchioro, M.; Fraga, B.P.; Santos, M.R.V.; et al. Solid-state β-cyclodextrin complexes containing geraniol. Thermochim. Acta 2012, 548, 45–50. [Google Scholar] [CrossRef]
- Ai, L.; Hu, J.; Ji, X.; Zhao, H. Structure confirmation and thermal kinetics of the inclusion of cis-jasmone in β-cyclodextrin. RSC Adv. 2019, 9, 26224–26229. [Google Scholar] [CrossRef] [PubMed]
- Halahlah, A.; Kavetsou, E.; Pitterou, I.; Grigorakis, S.; Loupassaki, S.; Tziveleka, L.-A.; Kikionis, S.; Ioannou, E.; Detsi, A. Synthesis and characterization of inclusion complexes of rosemary essential oil with various β-cyclodextrins and evaluation of their antibacterial activity against Staphylococcus aureus. J. Drug Deliv. Sci. Technol. 2021, 65, 102660. [Google Scholar] [CrossRef]
- Niu, Y.; Deng, J.; Xiao, Z.; Kou, X.; Zhu, G.; Liu, M.; Liu, S. Preparation and slow release kinetics of apple fragrance/β-cyclodextrin inclusion complex. J. Therm. Anal. Calorim. 2021, 143, 3775–3781. [Google Scholar] [CrossRef]
- Hadian, Z.; Kamalabadi, M.; Phimolsiripol, Y.; Balasubramanian, B.; Rodriguez, J.M.L.; Khaneghah, A.M. Preparation, characterization, and antioxidant activity of β-cyclodextrin nanoparticles loaded Rosa damascena essential oil for application in beverage. Food Chem. 2023, 403, 134410. [Google Scholar] [CrossRef]
- Dodero, A.; Schlatter, G.; Hébraud, A.; Vicini, S.; Castellano, M. Polymer-free cyclodextrin and natural polymer-cyclodextrin electrospun nanofibers: A comprehensive review on current applications and future perspectives. Carbohydr. Polym. 2021, 264, 118042. [Google Scholar] [CrossRef]
- Yu, Y.-Q.; Yang, X.; Wu, X.-F.; Fan, Y.-B. Enhancing permeation of drug molecules across the skin via delivery in nanocarriers: Novel strategies for effective transdermal applications. Front. Bioeng. Biotechnol. 2021, 9, 646554. [Google Scholar] [CrossRef]
- Suvarna, P.; Chaudhari, P.; Lewis, S.A. Cyclodextrin-based supramolecular ternary complexes: Emerging role of ternary agents on drug solubility, stability, and bioavailability. Crit. Rev. Ther. Drug Carr. Syst. 2022, 39, 1–50. [Google Scholar] [CrossRef]
- Wink, M. Modes of action of herbal medicines and plant secondary metabolites. Medicines 2015, 2, 251–286. [Google Scholar] [CrossRef]
- De Paula, D.; Oliveira, D.C.R.; Tedesco, A.C.; Bentley, M.V.L.B. Enhancing effect of modified beta-cyclodextrins on in vitro skin permeation of estradiol. Rev. Bras. Ciênc. Farm. 2007, 43, 111–120. [Google Scholar] [CrossRef]
- Anand, P.; Kunnumakkara, A.B.; Newman, R.A.; Aggarwal, B.B. Bioavailability of Curcumin: Problems and Promises. Mol. Pharm. 2007, 4, 807–818. [Google Scholar] [CrossRef]
- Borel, P.; Hammaz, F.; Lecourt, L.; Marconot, G.; Gillet, G.; Rozier, C.; Desmarchelier, C. The Incorporation of Curcuminoids in Gamma-Cyclodextrins Improves Their Poor Bioaccessibility, Which Is due to Both Their Very Low Incorporation into Mixed Micelles and Their Partial Adsorption on Food. Mol. Nutr. Food Res. 2023, 67, 2200798. [Google Scholar] [CrossRef] [PubMed]
- Ghanghoria, R.; Kesharwani, P.; Agashe, H.B.; Jain, N.K. Transdermal delivery of cyclodextrin-solubilized curcumin. Drug Deliv. Transl. Res. 2013, 3, 272–285. [Google Scholar] [CrossRef] [PubMed]
- Mori, T.; Tsuchiya, R.; Doi, M.; Nagatani, N.; Tanaka, T. Solubilization of ultraviolet absorbers by cyclodextrin and their potential application in cosmetics. J. Incl. Phenom. Macrocycl. Chem. 2019, 93, 91–96. [Google Scholar] [CrossRef]
- Braga, S.S. Cyclodextrin superstructures for drug delivery. J. Drug Deliv. Sci. Technol. 2022, 75, 103650. [Google Scholar] [CrossRef]
- Roy, I.; Stoddart, J.F. Cyclodextrin Metal–Organic Frameworks and Their Applications. Acc. Chem. Res. 2021, 54, 1440–1453. [Google Scholar] [CrossRef]
- Liu, Z.; Ye, L.; Xi, J.; Wang, J.; Feng, Z. Cyclodextrin polymers: Structure, synthesis, and use as drug carriers. Prog. Polym. Sci. 2021, 118, 101408. [Google Scholar] [CrossRef]
- Wang, Y.; Tang, Z.; Guo, X.; Zhao, Y.; Ren, S.; Zhang, Z.; Lv, H. Hyaluronic acid-cyclodextrin encapsulating paeonol for treatment of atopic dermatitis. Int. J. Pharm. 2022, 623, 121916. [Google Scholar] [CrossRef] [PubMed]
- Yin, Y.; Wu, A.; Zhou, H.; Huang, Z.; Zang, H. Azelaic acid/β-cyclodextrin loaded hyaluronic acid-based dissolving microneedle for anti-acne application. Colloids Surf. Physicochem. Eng. Asp. 2025, 707, 135890. [Google Scholar] [CrossRef]
- Cutrín-Gómez, E.; Anguiano-Igea, S.; Delgado-Charro, M.B.; Gómez-Amoza, J.L.; Otero-Espinar, F.J. Effect on nail structure and transungual permeability of the ethanol and poloxamer ratio from cyclodextrin-soluble polypseudorotaxanes based nail lacquer. Pharmaceutics 2018, 10, 156. [Google Scholar] [CrossRef] [PubMed]
- Taveira, S.F.; Varela-Garcia, A.; dos Santos Souza, B.; Marreto, R.N.; Martin-Pastor, M.; Concheiro, A.; Alvarez-Lorenzo, C. Cyclodextrin-based poly(pseudo)rotaxanes for transdermal delivery of carvedilol. Carbohydr. Polym. 2018, 200, 278–288. [Google Scholar] [CrossRef]
- Argenziano, M.; Haimhoffer, A.; Bastiancich, C.; Jicsinszky, L.; Caldera, F.; Trotta, F.; Scutera, S.; Alotto, D.; Fumagalli, M.; Musso, T. In vitro enhanced skin permeation and retention of imiquimod loaded in β-cyclodextrin nanosponge hydrogel. Pharmaceutics 2019, 11, 138. [Google Scholar] [CrossRef]
- Hoti, G.; Ferrero, R.; Caldera, F.; Trotta, F.; Corno, M.; Pantaleone, S.; Desoky, M.M.; Brunella, V. A comparison between the molecularly imprinted and non-molecularly imprinted cyclodextrin-based nanosponges for the transdermal delivery of melatonin. Polymers 2023, 15, 1543. [Google Scholar] [CrossRef]
- Bao, Y.; Yang, D.; Liu, H.; Li, S.; Meng, H. Electrospun pullulan nanofibers containing pterostilbene-hydroxypropyl-β-cyclodextrin inclusion complex: Preparation and characterization. Int. J. Biol. Macromol. 2025, 309, 142978. [Google Scholar] [CrossRef]
- Choi, D.-I.; Ju, M.-K.; Park, S.-M.; Lee, S.-Y. Development of anti-aging cosmetics using chitosan/γ-cyclodextrin/fucoidan nanoparticles (nanogel) based on the drug delivery system. Asian J. Beauty Cosmetol. 2023, 21, 441–452. [Google Scholar] [CrossRef]
- Chen, Y.; Su, J.; Dong, W.; Xu, D.; Cheng, L.; Mao, L.; Gao, Y.; Yuan, F. Cyclodextrin-based metal–organic framework nanoparticles as superior carriers for curcumin: Study of encapsulation mechanism, solubility, release kinetics, and antioxidative stability. Food Chem. 2022, 383, 132605. [Google Scholar] [CrossRef] [PubMed]
- Qiu, C.; McClements, D.J.; Jin, Z.; Qin, Y.; Hu, Y.; Xu, X.; Wang, J. Resveratrol-loaded core-shell nanostructured delivery systems: Cyclodextrin-based metal-organic nanocapsules prepared by ionic gelation. Food Chem. 2020, 317, 126328. [Google Scholar] [CrossRef]
- Beldjoudi, Y.; Taha, S. Ensemble de Récipients Supramoléculaires Organiques Pour Libération Commandée de Médicament. WO2022182945A1, 25 February 2022. Available online: https://patents.google.com/patent/WO2022182945A1/fr (accessed on 27 October 2025).
- Perinelli, D.R.; Palmieri, G.F.; Cespi, M.; Bonacucina, G. Encapsulation of Flavours and Fragrances into Polymeric Capsules and Cyclodextrins Inclusion Complexes: An Update. Molecules 2020, 25, 5878. [Google Scholar] [CrossRef] [PubMed]
- Farouk, A.; Sharaf, S.; Refaie, R.; Abd El-Hady, M.M. Highly Durable Antibacterial Properties of Cellulosic Fabric via β-Cyclodextrin/Essential Oils Inclusion Complex. Polymers 2022, 14, 4899. [Google Scholar] [CrossRef]
- Aytac, Z.; Yildiz, Z.I.; Kayaci-Senirmak, F.; Tekinay, T.; Uyar, T. Electrospinning of cyclodextrin/linalool-inclusion complex nanofibers: Fast-dissolving nanofibrous web with prolonged release and antibacterial activity. Food Chem. 2017, 231, 192–201. [Google Scholar] [CrossRef]
- Xiao, Z.; Zhang, Y.; Niu, Y.; Ke, Q.; Kou, X. Cyclodextrins as carriers for volatile aroma compounds: A review. Carbohydr. Polym. 2021, 269, 118292. [Google Scholar] [CrossRef]
- Turner, J.; O’Loughlin, D.A.; Green, P.; McDonald, T.O.; Hamill, K.J. In search of the perfect tan: Chemical activity, biological effects, business considerations, and consumer implications of dihydroxyacetone sunless tanning products. J. Cosmet. Dermatol. 2023, 22, 79–88. [Google Scholar] [CrossRef]
- Trotta, F.; Caldera, F.; Dianzani, C.; Argenziano, M.; Barrera, G.; Cavalli, R. Glutathione Bioresponsive Cyclodextrin Nanosponges. ChemPlusChem 2016, 81, 439–443. [Google Scholar] [CrossRef]
- Webber, V.; de Siqueira Ferreira, D.; Barreto, P.L.M.; Weiss-Angeli, V.; Vanderlinde, R. Preparation and characterization of microparticles of β-cyclodextrin/glutathione and chitosan/glutathione obtained by spray-drying. Food Res. Int. 2018, 105, 432–439. [Google Scholar] [CrossRef] [PubMed]
- Ahmad, S.; Afsana; Popli, H. A review on efficacy and tolerability of tea tree oil for acne. J. Drug Deliv. Ther. 2019, 9, 609–612. [Google Scholar] [CrossRef]
- Kong, P.; Abe, J.P.; Masuo, S.; Enomae, T. Preparation and characterization of tea tree oil-β-cyclodextrin microcapsules with super-high encapsulation efficiency. J. Bioresour. Bioprod. 2023, 8, 224–234. [Google Scholar] [CrossRef]
- Old Spice. Clinical Sweat Defense Antiperspirant Deodorant for Men, Swagger, 1.7 Oz. Available online: https://oldspice.com/shop-at-retailers/clinical-sweat-defense-antiperspirant-deodorant-for-men-swagger-1-7-oz/ (accessed on 27 October 2025).
- Aluminum Free Deodorant Cotton. Available online: https://secret.com/en-us/shop/aluminum-free-deodorant/cotton (accessed on 27 October 2025).
- Native. Deodorant. Available online: https://www.nativecos.com/products/deodorant (accessed on 27 October 2025).
- Singh, M.; Sharma, R.; Banerjee, U.C. Biotechnological applications of cyclodextrins. Biotechnol. Adv. 2002, 20, 341–359. [Google Scholar] [CrossRef]
- Cal, K.; Centkowska, K. Use of cyclodextrins in topical formulations: Practical aspects. Eur. J. Pharm. Biopharm. 2008, 68, 467–478. [Google Scholar] [CrossRef]
- Bilensoy, E. Cyclodextrins in Pharmaceutics, Cosmetics, and Biomedicine: Current and Future Industrial Applications; John Wiley & Sons: New York, NY, USA, 2011; ISBN 978-0-470-93461-6. [Google Scholar]
- FOXYBAE.COM. Fabulously Fresh Dirty Gal Dry Shampoo + Biotin − FoxyBae. Available online: https://www.foxybae.com/products/dirty-gal-dry-shampoo (accessed on 27 October 2025).
- Muller, R. Use of a Cyclodextrin as Pearlescent Agent and Pearlescent Compositions. US20040033984A1, 19 February 2004. Available online: https://patents.google.com/patent/US20040033984/en (accessed on 27 October 2025).
- Use of Cyclodextrins as Pearlescent Agents and Pearlescent Compositions. JP3986022B2, 3 October 2007. Available online: https://patents.google.com/patent/JP3986022B2/en?oq=JP3986022B2 (accessed on 27 October 2025).
- Guo, Y.; Yue, Y.; Wang, H.; Zhong, Z.; Chen, B.; Shu, L.; Wang, J.; Zhang, Z. Hydroxypropyl-β-cyclodextrin inclusion complex improves the percutaneous therapeutic effect of eugenol on psoriasis mice. Eur. J. Pharmacol. 2025, 1003, 177921. [Google Scholar] [CrossRef] [PubMed]
- Zhang, Y.; Gong, S.; Liu, L.; Shen, H.; Liu, E.; Pan, L.; Gao, N.; Chen, R.; Huang, Y. Cyclodextrin-Coordinated Liposome-in-Gel for Transcutaneous Quercetin Delivery for Psoriasis Treatment. ACS Appl. Mater. Interfaces 2023, 15, 40228–40240. [Google Scholar] [CrossRef] [PubMed]
- Chen, Y.; Xu, Y.; Zhang, J.; Xu, X. Cyclodextrin-based supramolecular dissolving microneedles for enhanced transdermal delivery of azelaic acid in acne vulgaris treatment. J. Drug Deliv. Sci. Technol. 2025, 111, 107108. [Google Scholar] [CrossRef]
- Arpa, M.D.; Biltekin Kaleli, S.N.; Doğan, N. Hydroxypropyl-β-Cyclodextrin-Enhanced Azelaic Acid Hydrogel for Acne Treatment: Evaluation of Antimicrobial, Anti-inflammatory, and Skin Penetration Properties. J. Pharm. Innov. 2025, 20, 106. [Google Scholar] [CrossRef]
- Irie, T.; Uekama, K. Pharmaceutical applications of cyclodextrins. III. Toxicological issues and safety evaluation. J. Pharm. Sci. 1997, 86, 147–162. [Google Scholar] [CrossRef] [PubMed]
- Oktay, A.N.; Celebi, N.; Ilbasmis-Tamer, S.; Kaplanoğlu, G.T. Cyclodextrin-based nanogel of flurbiprofen for dermal application: In vitro studies and in vivo skin irritation evaluation. J. Drug Deliv. Sci. Technol. 2023, 79, 104012. [Google Scholar] [CrossRef]
- Gurita, V.G.; Pavel, I.Z.; Borcan, F.; Moaca, A.; Danciu, C.; Diaconeasa, Z.; Imbrea, I.; Vlad, D.; Dumitrascu, V.; Pop, G. Toxicological evaluation of some essential oils obtained from selected Romania Lamiaceae Species in complex with hydroxypropyl-gamma-cyclodextrin. Rev. Chim. 2019, 70, 3703–3707. [Google Scholar] [CrossRef]

Disclaimer/Publisher’s Note: The statements, opinions and data contained in all publications are solely those of the individual author(s) and contributor(s) and not of MDPI and/or the editor(s). MDPI and/or the editor(s) disclaim responsibility for any injury to people or property resulting from any ideas, methods, instructions or products referred to in the content. |
© 2025 by the authors. Licensee MDPI, Basel, Switzerland. This article is an open access article distributed under the terms and conditions of the Creative Commons Attribution (CC BY) license (https://creativecommons.org/licenses/by/4.0/).
Share and Cite
Conesa, I.; Vidal-Sánchez, F.J.; Navarro-Orcajada, S.; Abril-Sánchez, C.; Matencio, A.; López-Nicolás, J.M. Cyclodextrin Applications in the Cosmetic Industry: A Review. Cosmetics 2025, 12, 244. https://doi.org/10.3390/cosmetics12060244
Conesa I, Vidal-Sánchez FJ, Navarro-Orcajada S, Abril-Sánchez C, Matencio A, López-Nicolás JM. Cyclodextrin Applications in the Cosmetic Industry: A Review. Cosmetics. 2025; 12(6):244. https://doi.org/10.3390/cosmetics12060244
Chicago/Turabian StyleConesa, Irene, Francisco José Vidal-Sánchez, Silvia Navarro-Orcajada, Carolina Abril-Sánchez, Adrián Matencio, and José Manuel López-Nicolás. 2025. "Cyclodextrin Applications in the Cosmetic Industry: A Review" Cosmetics 12, no. 6: 244. https://doi.org/10.3390/cosmetics12060244
APA StyleConesa, I., Vidal-Sánchez, F. J., Navarro-Orcajada, S., Abril-Sánchez, C., Matencio, A., & López-Nicolás, J. M. (2025). Cyclodextrin Applications in the Cosmetic Industry: A Review. Cosmetics, 12(6), 244. https://doi.org/10.3390/cosmetics12060244

