Next Article in Journal
Evaluation of the Different Compatibility Indices to Model and Predict Oil Colloidal Stability and Its Relation to Crude Oil Desalting
Previous Article in Journal
Gas Migration in the Aspect of Safety in the Areas of Mines Selected for Closure
 
 
Font Type:
Arial Georgia Verdana
Font Size:
Aa Aa Aa
Line Spacing:
Column Width:
Background:
Article

Investigation of the Influence of Different Vegetable Oils as a Component of Blended Biofuel on Performance and Emission Characteristics of a Diesel Engine for Agricultural Machinery and Commercial Vehicles

1
Power Engineering Faculty, Bauman Moscow State Technical University, 105005 Moscow, Russia
2
Department of Internal Combustion Engine and Automobile Electronic Systems, South Ural State University, 454080 Chelyabinsk, Russia
3
Department of Tractors and Automobiles, Russian State Agrarian University—Moscow Timiryazev Agricultural Academy, 127550 Moscow, Russia
4
Design and Production Enterprise “Dieselautomatika”, 410017 Saratov, Russia
*
Author to whom correspondence should be addressed.
Resources 2021, 10(8), 74; https://doi.org/10.3390/resources10080074
Submission received: 26 June 2021 / Revised: 13 July 2021 / Accepted: 20 July 2021 / Published: 22 July 2021

Abstract

:
Biofuels derived from renewable plant materials are considered promising alternative fuels to decrease emissions of ICEs. This study aimed to justify the possibility of using vegetable oils of different sources as a 10% additive in blended biofuel for diesel engines of agricultural machinery and commercial vehicles. Seven different vegetable oils were investigated. Experiments have been performed by fueling a diesel engine with blended biofuels of 90% petroleum diesel fuel and 10% vegetable oil. In the maximum power and maximum torque modes, the brake power drop was no more than 1.5%, and the brake-specific fuel consumption increase was less than 4.3%; NOx emissions were reduced by up to 8.3%, exhaust smoke—up to 37.5%, CO—up to 20.0%, and unburned HC—up to 27.9%. In the operating modes of the European 13-mode steady-state test cycle, the integral specific emissions of HC decreased by up to 30.0%, integral specific emissions of CO—up to 15.0%, and integral specific emissions of NOx—up to 16.0%. The results obtained show the feasibility and rationality of using the investigated vegetable oils as a 10% additive in blended biofuel for diesel engines of agricultural machinery and commercial vehicles.

1. Introduction

The inevitable depletion of traditional fossil fuels and the adverse impacts of the burning of fossil fuels on the environment and human health prompted the search for alternative and renewable energy sources [1,2,3,4,5,6,7,8,9]. In this regard, a renewable and sustainable solution is to use biodiesel [1,2,10,11,12], which is less harmful to the environment [13] and can be directly applied to existing transport infrastructure without significant changes [4,14,15,16,17,18]. Therefore, biodiesel fuel can be considered as a future fuel to replace fossil fuels [19,20].
Biodiesel can be used in blends with diesel fuel (DF) [5,6,17,21,22,23,24,25,26,27,28,29,30], binary blends [16,21,22], ternary blends [6,12,18,22,23,24], quaternary blends of vegetable oil biodiesel, alcohol and DF [6] or in pure form [24,25,26] without any modifications or configurations of diesel engines [3].
Biodiesel can be produced from many different feedstocks, including non-edible oils (such as eucalyptus oil [27], Jatropha curcas oil [1,28], carania oil [29], waste vegetable and non-edible industrial oils [20], vegetable oil refinery waste [30,31], vegetable and animal oils [13,32,33], waste tallows [23,34] and vegetable oils [3,13,20,23,35,36,37], fish oil [13,38], waste frying oils [13,39,40,41], and various alcohols [6,12,13,22,32,39]).
Biofuels obtained from vegetable oils are of the greatest interest for use in diesel engines. For this purpose, various vegetable oils have been extensively studied: eucalyptus oil [27], Jatropha seed oil [42], Jatropha curcas oil [1,21,28,43,44], palm oil [2,7,11,26,30,40,41,44,45,46,47], algal oil [10,35], Roselle oil [47], Karanja oil [29,48], crude tall oil [49], rapeseed oil [3,5,15,17,22,24,25,37,50,51,52,53,54,55,56], castor oil [57,58,59], mustard oil [20,60,61,62], rice bran oil [29], soybean oil [15,16,40,41,44,51,57], curry leaf (Murraya koenigii) oil [15,16,40,41,44,51,57,63], safflower oil [3,37], grapeseed oil obtained from winery biomass waste [64], Salvia macrosiphon oil [19], Mahua (Madhuca indica) oil [21], cottonseed oil [4,44], sunflower oil [16], linseed oil [18,61,65,66], corn oil [67,68], rubber oil [21,69,70], blended thumba vegetable oil [71], and lemongrass oil [72].
Numerous studies have established that biodiesel has a higher cetane number [22,26,27], increased oxygen content [19,22,24,25,26], and higher density [22,24,26] and viscosity [22,24,26], but is inferior in terms of a lower calorific value [26] and compressibility [22] in comparison with DF. These properties have an impact on combustion and exhaust emissions.
It is challenging to use vegetable oils as an independent fuel due to the differences in physicochemical properties between vegetable oils and petroleum DF [1,10,14,17,21,26,52,53,65]. In this case, problems may arise in the operation of diesel engines. These include the poor quality of fuel injection and spray processes [43,51], resulting from their high viscosity [1,6,11,12,15,21,22,24,26,43,54,64,71] and high density [6,21,22,24,26,27,35,64], and also carbon deposition in the engine combustion chamber [12], impairing piston ring mobility. However, Lešnik L and Biluš I [24] have experimentally shown that pure biodiesel derived from rapeseed oil and its blend with petroleum DF can be used as a substitute for petroleum DF in heavy-duty diesel engines with mechanically controlled injection systems. Using pure rapeseed oil biodiesel led to lower cylinder temperatures and pressures and a lower heat release rate, but higher brake-specific fuel consumption (BSFC) by 12% in comparison with pure petroleum DF [25]. At the same time, the higher oxygen content in biodiesels and their blends contributes to a better oxidation process in the combustion chamber and a decrease in the formation of CO emissions [24,25].
On the other hand, Yesilyurt MK et al. [6] do not recommend using pure vegetable oils or biodiesel in diesel engines without the addition of alcohols to reduce the high viscosity and density. Mirhashemi FS and Sadrnia H [22], based on literature analysis, recommend reducing the shortcomings of biodiesel with vegetable oils of high viscosity by using different fuels, such as gasoline, hydrogen, natural gas, biogas, various types of alcohols, and fuel additives.
Qi DH et al. [56] experimentally showed that the use of ethanol-based microemulsion fuels with the volume content of ethanol up to 30% could reduce the viscosity and density of blended biofuels, bringing them closer to DF. As a result, the onset of the combustion of the microemulsion fuel was later than that of diesel fuel; meanwhile, the peak in-cylinder pressure, peak pressure rise rate, and peak heat release rate of the microemulsion fuel were higher than those of DF [56]. With an increase in the volume content of ethanol up to 40%, microemulsion fuels can be directly used in a common rail direct injection diesel engine without modifications [73]. The result is a slight increase in BSFC and brake thermal efficiencies (BTE), a decrease in smoke emissions, and an increase in NOx emissions under high engine loads [73]. Similar performance and emission characteristics were obtained by adding 10–20% alcohol to castor oil-blended DF [59]. The addition of 10% butanol to jojoba oil-blended DF reduced the viscosity of the mixture by up to 85% compared to pure raw jojoba oil and reduced the formation of NOx, CO, and unburned hydrocarbons (HC) by 50%, 30%, and 40%, respectively [74]. Che Mat S et al. [12] have profoundly investigated the performance and emissions of compression ignition engines operating on various vegetable oil–alcohol blends. It is found that the addition of alcohols to blended biodiesel fuels is not only beneficial for reducing exhaust emissions [13,39], but also leads to an improvement in brake power (BP), an increase in BSFC, and an increase in BTE [44]. Alcohols have shown a critical reduction in NOx emissions in compression ignition engines [6]. It is noted that the reduction in NOx emission follows the fraction of alcohols (ethanol, methanol, and butanol) in biodiesel blends [22]. This is explained by the fact that the addition of alcohol improved the density, kinematic viscosity [44,47], surface tension, and oxygen content. Therefore, the spray quality was improved [44], the ignition delay period was reduced [6], and the combustion quality was improved [44].
Preheating is also used to reduce the viscosity of vegetable oils [46,47,66,71]. For example, heating thumba oil to 80–100 °C is enough to bring the oil’s viscosity close to that of diesel fuel [71]. It leads to an increase in the combustion efficiency of pure oils and their blends [66,71], and provides a decrease in exhaust smoke opacity and emissions of CO and HC [71]. However, some increase in NOx emissions is possible [66]. By performing experimental studies in a large compression ignition diesel engine, Pipitone E and Costanza A [47] showed that preheating crude palm oil at 80 °C significantly decreased its viscosity, which contributes to reducing the wear of parts, and eventually could reduce the formation of carbon deposits by 27% and increase the operating time of the engine by 30%.
The addition of hydrogen to DF and biodiesel also has a positive effect on engine performance. Kanth S and Debbarma S [29] have shown that hydrogen enrichment increases the BTE of DF by 2.5% and the BTE of biodiesel by 1.6%. This is attributed to improved combustion. As a result, for the blend of biodiesel and hydrogen, a decrease in CO emissions by 4–38% [29] and an increase in NOX emissions [22] have been recorded. The addition of water to biodiesel also has a positive effect on engine performance. For example, when the fuel of a D-243 diesel engine was transferred from petroleum DF to an emulsion containing 90% rapeseed oil and 10% water, NOx emissions were reduced by 8–13%, and exhaust smoke opacity was decreased by 26–42%. At the same time, a reduction in emissions of unburned hydrocarbons (HC) and an increase in CO emissions were recorded [53].
Most research has focused on the characteristics and performance of diesel engines fueled with biodiesel from rapeseed oil, palm oil, soybean oil, linseed oil, and mustard oil. Raman LA et al. [5] found that the BTE of an engine running on rapeseed oil biodiesel and its blends was lower than that for diesel fuel [5,55]. When pure biodiesel and its blends were used, there were higher BSFC and exhaust gas temperatures [5,25,55]. The maximum in-cylinder pressure, temperature, and heat release rate of blended biodiesel are lower than those of diesel fuel [5,24]. This contributes to reducing the formation of NOx emissions [24]. Similar results have been obtained in the study of other vegetable oils [1,3,12,15,16,26,30,33,35,39,42,48,60,61].
With an increase in the percentage content of biodiesel in blended fuels, a decrease in engine torque [15,24,25] and effective mean pressure [24,42] and an increase in BSFC were noted [1,32,33,39,48]. This is due to the decreased calorific value [1,24,25,42] and the higher viscosity for biodiesel [12,15,24,64]. At the same time, a higher density of biodiesel [6,14,22,26,27,29,30,31,32,33,35,36,37,38,39,40,41,42,43,44,48,49,50,51,52,53,58,64] increases the amount of injected fuel [24,39]. This has an additional effect on the increase in BSFC [15] with an increase in the percentage content of biodiesel in blended fuel [24]. Thus, when diesel engines were fueled with biodiesel, the efficiency, as a rule, decreased. The power decreased by 3–10%, depending on the share of diesel fuel replaced with vegetable oil in the blended biofuel. BSFC increased accordingly.
In general, the main goal of the abovementioned works was to replace petroleum DF with one or more renewable vegetable oils while reducing the toxicity of exhaust gases. Experimental results obtained in most cases showed reductions in emissions of harmful substances. This mainly refers to emissions of CO, HC, and particulate matter (smoke) [1,2,3,15,24,27,33,36,42,50,52,60,66,72]. Due to the use of biodiesel, reductions in CO emissions of 13% [53], 13.8% [67], 5–15% [61], 25% [19], 28.6% [30], 34.28% [3], 35% [45], 36% [72], 4–38% [29], 50.47% [60], 51% [26], and 60.3% [35] have been experimentally achieved. Moreover, CO emissions decrease as the concentration of biodiesel in blended fuels increases [45].
Reductions in HC emissions of 14% [69], 14.3% [30], 11–17% [58], 17.5% [3], 22% [53], 30% [64], 31.8% [19], 50% [11], 55% [26], and 85.9–86.7% [35] have been experimentally achieved. However, when engine settings were retained the same as for DF operation, using blended fuel containing 20% of castor oil biodiesel or soybean oil biodiesel increased HC emissions by 16% and 18%, respectively, compared to DF [57]. At the same time, higher levels of CO emissions were obtained. Based on this, Valente OS et al. [57] concluded that it is necessary to optimize the fuel injection system to reduce emissions of harmful substances into the atmosphere. Due to the use of biodiesel, significant reductions in exhaust smoke (emissions of particulate matter) of 11–16% [61], 15.8% [48], 22% [42], 25% [72], 32.9% [60], 26–42% [53], 45.6% [13], and 51.0% [3] have also been experimentally obtained.
As for NOx emissions, the use of various biodiesels and their blends with petroleum DF gives ambiguous and inconsistent results [22,55]. The influence of biodiesel on NOx emissions is still indefinite [41]. It depends not only on the feedstock, the percentage content in blends, and the transesterification method [24,41], but also on the design features of diesel engines. Nevertheless, in general, it is noted that NOx emissions increase with increasing the percentage content of biodiesel in blends [22,60] and increasing engine load [20,41,48,50,55]. Lešnik L and Biluš I [24] found that the different fuel compositions of biodiesel also affect the reduction in NOx emissions. By adding up to 5% rapeseed oil in DF, NOx emissions can either be reduced or maintained at levels similar to DF [54]. The combustion of diesel blends with less than 10% biodiesel results in lower NOx emissions [22,65,67]. Similar results were obtained with 5–20% biodiesel in blended fuel [4,48,58,61].
The increase in NOx emissions with using various biodiesels and their blends with petroleum DF has been experimentally recorded in a large number of studies [3,5,15,16,19,27,29,30,33,35,36,42,45,63,66,72]. The increase in NOx emissions on average ranged from 4.3–11.9% [16] to a maximum of almost 80.5% [3]. Bari S and Hossain SN [26] experimentally found that due to the higher combustion temperature and oxygenated fuel, NOx emissions of palm oil biodiesel were, on average, 33% higher than those of petroleum DF. Waste frying oil blends also showed an increase in NOx emissions [41]. The high availability of oxygen in biodiesel, as a general rule, reduces the emission of HC, CO, and PM (exhaust smoke), while NOx emission increases significantly [1,48,60]. On the other hand, Lešnik L et al. showed that the use of biodiesel could contribute to a better oxidation process in the combustion chamber [25] and a decrease in in-cylinder temperature, pressure, and heat release rate, which reduces NOx emissions [24,25].
In order to reduce NOx emissions, the application of EGR has been investigated. Praveena V et al. [64] have experimentally found that the use of blended biodiesel along with EGR can reduce emissions of NOx and smoke. EGR of 5% is optimal for reducing NOx emissions by 31.6% without any compromise in smoke emissions [64]. Manieniyan V et al. [31] achieved a reduction in NOx emissions of about 21.1% at 20% EGR.
In general, experimental studies of the performance and emission characteristics of engines operating on biodiesels were carried out with a wide range (from 5% to 90%) of volume fraction of various vegetable oils, wherein the studies were conducted for different engines: liquid [7,17,18,46,52,53,61,62,65,67] and air [3,6,26,33,37,38,50,66,72] cooling, single-cylinder [3,4,5,6,13,16,18,26,33,35,37,38,43,44,46,49,51,60,64,66,71,72] and multi-cylinder [7,15,17,52,53,58,61,62,65,67] with different displacement and fuel injection systems, including common rail [39], in a wide range of fuel injection pressures [5,15,22,37], at various loads [2,6,11,12,13,15,16,20,22,25,29,30,31,32,35,37,38,39,40,41,42,43,44,46,47,48,49,50,51,52,53,55,57,58,60,62,63,64,72] and engine speeds from 1360 rpm to 3600 rpm [6,16,25,30,32,39,48,50,58]. The results obtained often contradict each other. Therefore, significant differences in the materials used and experimental conditions do not allow the determination of the optimal percentage of vegetable oil addition and a quantitative comparison of the performance and emissions for a four-cylinder turbocharged liquid-cooled diesel engine with a displacement of 4–5 L.
The objective of the present work is to justify the possibility of using vegetable oils of different sources as a 10% additive in blended biofuel for diesel engines of agricultural machinery and commercial vehicles. The following vegetable oils have been considered as an ecological additive to petroleum DF: rapeseed oil, sunflower oil, soybean oil, corn oil, linseed oil, mustard oil, and camelina oil. All these vegetable oils were studied under the same conditions, despite the significant differences in chemical composition and physical parameters.
The choice of a 10% volume fraction of vegetable oils in blended biofuel is due to the fact that large additives of vegetable oils significantly increase the viscosity of blended biofuels and necessitate additional measures to ensure the efficient and reliable operation of a diesel engine with acceptable emission characteristics. Earlier, on the diesel engine D-245.12S, an optimal volume fraction of 10% was obtained for corn oil [67] and linseed oil, mustard oil, and camelina oil [61] blended diesel fuel. In addition, a mixture of 10% rapeseed oil biodiesel with diesel fuel had the highest power and torque values and the lowest BSFC and emissions of harmful substances [50]. It has also been obtained that the performance efficiency of the ternary blend (5% linseed biodiesel, 5% rubber seed biodiesel, 90% diesel fuel) is optimum compared to the other blends [18].

2. Materials and Methods

2.1. Composition and Properties of Vegetable Oils

The composition and properties of vegetable oils used for manufacturing biofuel are determined by the type of plants, cultivation conditions, and oilseed processing technologies. Saturated and unsaturated fatty acids constitute the basic components (up to 93–98%) of the investigated vegetable oils. The composition of unrefined vegetable oils is listed in Table 1 [75].
The main properties of petroleum DF of summer grade following GOST 305-2013 and vegetable oils with which the performance and emission characteristics of the diesel engine D-245.12S for agricultural machinery and commercial vehicles were studied are shown in Table 2 [53]. As can be seen, vegetable oils have a 10% higher density and almost 20 times higher viscosity compared to petroleum DF. In addition, they are characterized by a lower calorific value (about 15% lower) and a lower cetane number (nearly 20% lower). One positive feature of vegetable oils is that they contain 25–27 times more oxygen than petroleum DF. However, due to the high content of fatty acids, they have a higher boiling point (almost 100 degrees higher) and are prone to thermal decomposition. All these differences have a significant impact on the atomization quality, evaporation rate, ignition delay, and combustion quality of biofuels from vegetable oils.
In addition, the positive qualities of biofuels from vegetable oils give hope for their use as an alternative fuel or a partial replacement of petroleum DF for diesel engines of agricultural machinery and commercial vehicles. From the perspective of future environmental requirements, the great advantages of vegetable oils are almost 100 times lower sulfur content and the complete absence of aromatic hydrocarbons, which are the source of carcinogens such as α-benzopyrene.
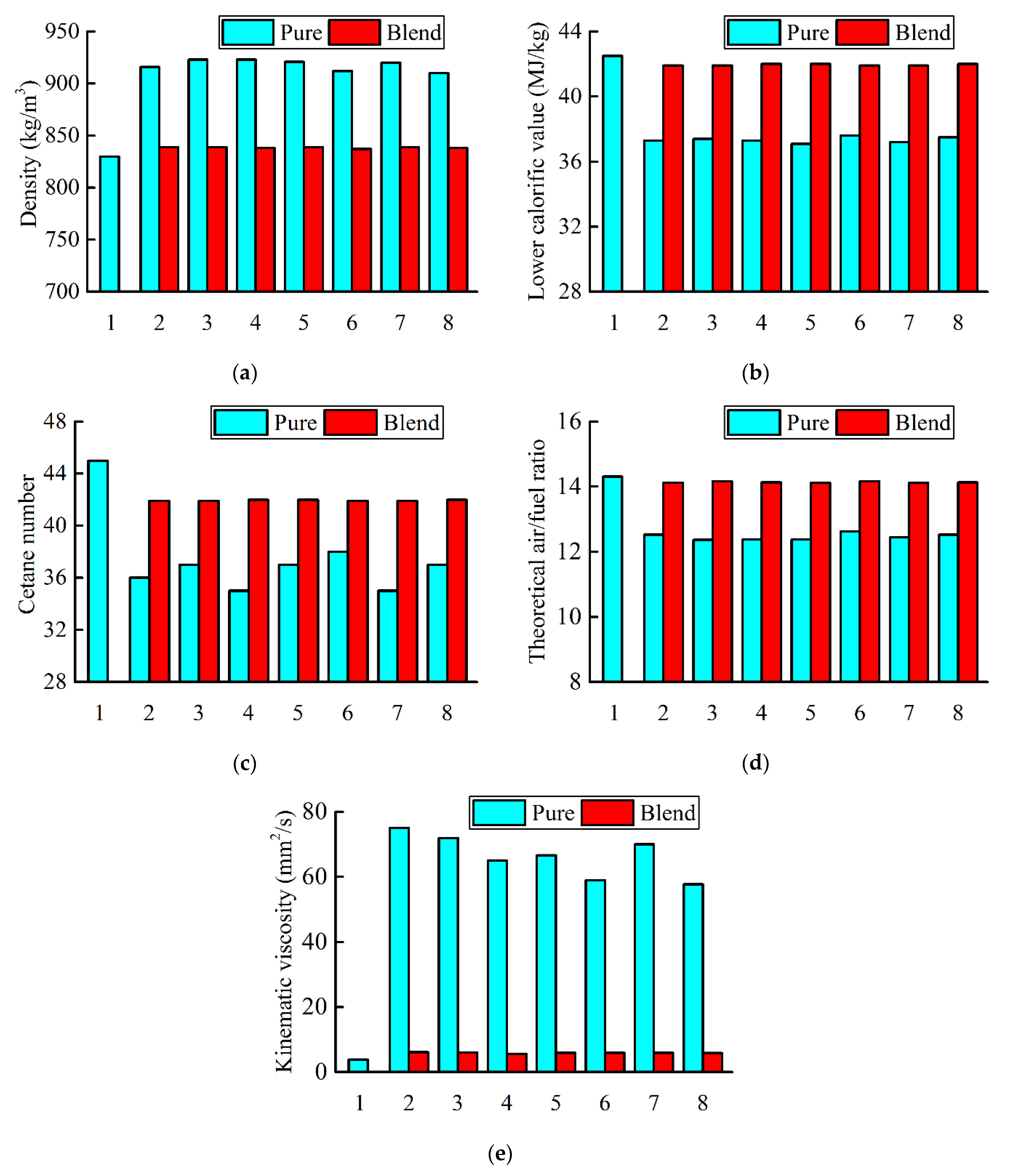
Some physicochemical properties of the blended fuels of petroleum DF with different vegetable oils investigated in the study are presented in Table 3. It can be seen that the properties of the blended fuels containing 10% vegetable oils are slightly different from the properties of petroleum DF (Figure 1). For example, the density of the blended fuels is only 0.84–1.08% higher than that of petroleum DF (see Figure 1a). The lower calorific value of the blended fuels is only 1.18–1.41% lower than that of petroleum DF (see Figure 1b). Due to containing 90% petroleum DF in the blended fuels, their cetane number is lower than that of petroleum DF only by 1.56–2.22% (see Figure 1c).
The exclusive physical parameter that significantly increases after adding 10% vegetable oils is the kinematic viscosity. At a temperature of 20 °C, it increases by 1.47–1.84 times (Figure 1e). When a diesel engine is operating, the fuel temperature is usually much higher, exceeding 100 °C. Nevertheless, the increase in the kinematic viscosity of blended fuels will definitely affect the injection and spray processes.
The amount of air required for the combustion of 1 kg of blended fuel is also less than that for the combustion of petroleum DF, but only by 1.05–1.4% (Figure 1d). The addition of 10% vegetable oils that have a high oxygen content (Figure 2) into petroleum DF leads to an insignificant change in the mass composition. The carbon content decreases by 1.03–1.26%, and the oxygen content, due to its low content in petroleum DF, on the contrary, increases by 3.5–4 times. However, this cannot significantly affect the air ratio, since the absolute content of oxygen in blended fuels increases only by 1.0–1.2%.
The analysis performed above indicates that there is no need to make adjustments to the diesel engine D-245.12S to investigate the performance of the diesel engine fueled with blends of 90% petroleum DF and 10% vegetable oils. This is consistent with the results of other studies using biodiesels without significant changes for the existing transport infrastructure [4,5,15,16,17,18,55].

2.2. Experimental Setup and Test Procedure

Experimental investigations of the operation characteristics of a diesel engine fueled with blends of petroleum DF with 10% different vegetable oils have been carried out on the diesel engine D-245.12S. This engine is widely used as a power source for agricultural machinery and commercial vehicles. The main parameters of this diesel engine are given in Table 4.
Experimental investigations of the diesel engine D-245.12S were carried out on a test bench equipped with all the necessary equipment for recording the speed, torque, power, fuel and air consumption, temperatures, and pressures in engine systems, as well as the content of regulated harmful substances in exhaust gases. The basis of the test bench is a balancing dynamometer DS-1036-4U (TES Vsetin, Vsetin, Czech Republic) for measuring the rotational speed, torque, and power of the diesel engine. The contents of harmful substances in exhaust gases were measured with an SAE-7532 gas analyzer (Yanaco, Kyoto, Japan) and an MK-3 smoke meter (Hartridge, Buckingham, UK). The main specifics of the equipment used are given in Table 5.
The diesel engine D-245.12S was tested in the operating conditions of the 13-mode test cycle of ECE R49 of UNECE Regulation No. 49 (Figure 3). The fuel injection advance angle (θ = 13 °CA) and the limiting position of the fuel injection pump control rack remained unchanged. The most loaded modes were modes No. 6 and 8 with a maximum torque and operating time of 25% and 10%, respectively. During the long-term tests, petroleum DF from different supplies was used. Therefore, the experimental results of petroleum DF in Table 6, Table 7, Table 8 and Table 9 are somewhat different from each other.
In the operating modes of maximum power and maximum torque, the main power and economic indicators of the diesel engine and the content of regulated harmful substances (nitrogen oxides (NOx), solid particles, carbon monoxide (CO), unburned hydrocarbons (HC)) were recorded. Similar measurements were carried out during tests over the entire 13-mode cycle for blended fuels of petroleum DF with 10% vegetable oils.
Given the insignificant differences in physicochemical properties between blended fuels of petroleum DF with 10% vegetable oils and petroleum DF (Table 3 and Figure 1 and Figure 2), all tests of the diesel engine D-245.12S were conducted under the identical control parameters of fuel equipment.

2.3. Methodology of Processing Experimental Results

The brake-specific fuel consumption (BSFC) ge has been calculated from the experimentally obtained values of the hourly consumption of blended fuels Gf according to the known formula:
g e = 1000   ·   G f / N e ,
The operational consumption of the blended fuel over the 13-mode test cycle was estimated with the average brake-specific fuel consumption (ABSFC) ge_ave, which was determined by the following formula:
g e _ a v e = i = 1 13 G f , i · K i / i = 1 13 N e , i · K i ,
where Gf,i and Ne,i are the hourly fuel consumption and brake power, respectively, in the i-th operating mode; Ki is the time-share of the i-th operating mode.
These parameters of the diesel engine have been calculated in accordance with the formulas given above.
The emission characteristics of the diesel engine were evaluated based on the concentrations of NOx, CO, HC, and solid particles in exhaust gases (CNOx, CCO, CHC, Kx), which have been experimentally obtained in each operating mode of the 13-mode test cycle for all blended fuels of petroleum DF with 10% vegetable oils.
Based on the above measured and calculated values and with taking into account the operation time (duration) of each operating mode, the hourly mass emissions of NOx, CO, and HC (ENOx, ECO, and EHC) were determined. The total emissions of each substance (summed with the taken account of the coefficient Ki) were divided by the average brake power of the diesel engine over the test cycle (Σ(NeiKi)) to calculate the integral brake-specific emissions of NOx, CO, and HC (IBSNOx, IBSCO, and IBSHC) over the whole 13-mode test cycle (denoted by eNOx, eCO, and eCHx, respectively) in accordance with the following formulas:
e NOx = i = 1 13 E NOx , i · K i / i = 1 13 N e , i · K i ;
e CO = i = 1 13 E CO , i · K i / i = 1 13 N e , i · K i ;
e HC = i = 1 13 E H C , i · K i / i = 1 13 N e , i · K i .

3. Results and Discussion

3.1. Test Results of the Diesel Engine D-245.12S in the Operating Modes of Maximum Power and Maximum Torque

The test results on the main technical and economic indicators of the diesel engine D-245.12S in the operating modes of maximum power and maximum torque (modes No. 6 and No. 8 in Figure 3) are given in Table 6 and Figure 4. As shown in Figure 4a,b, it is evident that the use of a 10% vegetable oil additive results in a decrease in brake power and brake torque for almost all blended fuels under unchanged fuel equipment controls. Generally, this decrease does not exceed 1.5% with the addition of different vegetable oils. The only exception was obtained when the diesel engine was fueled with the rapeseed oil-blended fuel. In these experiments, the brake torque was increased by 1.33% in the maximum power mode and 2.05% in the maximum torque mode. These data are consistent with the results reported in the work of Reza Miri SM et al. [50], where the highest power and torque values were obtained for blended petroleum DF with 10% non-edible rapeseed biodiesel at engine speeds of 2600 and 1800 and under two loading states (75% and 100%).
Meanwhile, under the same operating conditions, the hourly consumption of the blended fuel increased by 3.03% and 4.71%, respectively (Figure 4c). A noticeable increase in the hourly fuel consumption—by 1.32% and 1.82%, respectively—was also recorded with the addition of sunflower oil (Figure 4c). It should be noted that these vegetable oils have the highest kinematic viscosity among all of the investigated vegetable oils (Table 2): 75 mm2/s for rapeseed oil and 72 mm2/s for sunflower oil. With the addition of other vegetable oils, the increase in the hourly consumption of blended fuel is no more than 1.5% in comparison with petroleum DF. It should be noted that an increase in fuel consumption was recorded in almost all tests of biodiesel fuel.
The increase in the hourly fuel consumption and, consequently, in the fuel delivery per cycle (FDPC) under unchanged fuel equipment controls partially resulted from the 0.84–1.08% higher density of the blended fuels (Table 3). In addition, this was affected by the performance peculiarity of the fuel equipment running on the fuels with increased kinematic viscosity (Table 3 and Figure 1e). This effect is evidenced by the fact that in comparison with petroleum DF, a greater increase in the FDPC of the blended fuel was observed for the maximum torque modes at engine speeds of 1500 and 1600 rpm. At these speeds, the increased kinematic viscosity of the fuel contributes to reducing the fuel leakage through gaps of the high-pressure fuel pump compared to the maximum power mode (2400 rpm).
The variations in brake torque and FDPC cannot fully characterize the quality of the working process of the diesel engine when the investigated blended fuels are used. It is known that the quality of the fuel injection, fuel–air mixture formation, and combustion processes is manifested in the value of BSFC. As shown in Figure 4d, the use of a 10% vegetable oil additive led to an increase in this indicator of the diesel engine fueled with all of the investigated blended fuels. However, the increase in BSFC for different blended fuels is significantly different (Figure 5). The smallest BSFC increases of 1.2% and 1.33% were achieved for RO-blended DF. The largest BSFC increases (from 2.1% to 4.29%) were observed for MO-blended DF and CaO-blended DF. Perhaps such a change in the efficiency of the working process is associated with the fatty acid composition of vegetable oils (Table 1). Interestingly, RO has a high content of unsaturated oleic acid (up to 60%). MO and CaO have a low content of unsaturated oleic, linoleic, and linoleic acids (up to 18–24% for each acid). The other vegetable oils give an intermediate increase in BSFC and mainly contain unsaturated linoleic acid (SuO—up to 74%, SoO—up to 59%, CoO—up to 65.5%) or unsaturated linolenic acid (LO—up to 67%). It can be assumed that the increased content of unsaturated fatty acids contributes to more active oxidation of the blended fuel.
It is worth noting that the inclusion of various acids with an increased oxygen content (from 10% to 11.1%) in vegetable oils led to an increase in BSFC (by 0.4–4.3%) due to a decrease in the calorific value of blended fuels (by 11.5–12.7%) (Table 2). The influence of the increased oxygen content and the associated lower calorific value of vegetable oils on the increase in BSFC has been reported in a number of works by other authors [1,24,32,33,39,48].
The measured results of exhaust emission indicators of the diesel engine D-245.12S running on the blended fuels containing 10% vegetable oils in the operating modes of maximum power and maximum torque (modes No. 6 and 8 in Figure 3) are presented in Table 7 and Table 8 and in Figure 6 and Figure 8. As can be seen from them, the emissions of NOx, CO, and HC and, especially, the exhaust smoke (Kx) in the maximum torque mode in all tests at different test times were always significantly higher than those in the maximum power mode. This is typical for diesel engines that have a high-intensity working process and run in the operating conditions of the external characteristic curve [24,50].
The use of a 10% vegetable oil additive led to a noticeable reduction in NOx emissions (Figure 6a) and a significant decrease in exhaust smoke (Figure 6b) for almost all of the blended fuels under unchanged fuel equipment controls. The relative reduction in NOx emissions was in the range of 0.9% to 8.3% (4.7% on average) in the maximum power mode (2400 rpm) and in the range of 0.7% to 7.1% (3.0% on average) in the maximum torque mode (1500 rpm and 1600 rpm) (Figure 7a). A slight decrease in NOx emissions attributed to the use of biodiesel was also obtained by other authors for blended diesel fuel with a biodiesel content up to 10% [22,65,67], up to 20% [4,48,58,67] and for agricultural diesel engines [51] and heavy-duty DI diesel engines [25].
The relative decrease in exhaust smoke opacity ranged from 11.8% to 37.5% (23.3% on average) in the maximum power mode (2400 rpm) and from 7.5% to 27.9% (17.6% on average) in the maximum torque mode (1500 rpm and 1600 rpm) (Figure 7b). These data are consistent with the results of other authors, where the reduction in smoke emissions was recorded in the range of 11–16% to 50.95% [3,13,42,48,53,60,61,72].
As shown in Figure 8, it is obvious that the addition of 10% vegetable oils to petroleum DF resulted in a noticeable reduction in CO emissions (Figure 8a) and HC emissions (Figure 8b). The relative reduction in CO emissions was in the range of 3.0% to 20% (Table 8) (11.0% on average) in the maximum power mode (2400 rpm) and in the range of 7.6% to 15.2% (10.5% on average) in the maximum torque mode (1500 rpm and 1600 rpm) (Figure 9a). The reduction in HC emissions ranged from 8.3% to 24.4% (13.3% on average) and from 10.8% to 27.9% (18.2% on average) in the corresponding operating modes (Figure 9b). It should be noted that a decrease in CO and CH emissions was recorded in almost all tests of biodiesel fuel.
The above-described reduction in emissions of harmful substances was achieved, undoubtedly, as a result of the improvement of the combustion process in the investigated diesel engine when an amount of 10% of different vegetable oils was added into petroleum DF. Analogous explanations are given by other authors [24,25]. This can be explained by the presence of a higher oxygen content in vegetable oils (Table 2) and by the weak bonds of oxygen atoms in fatty acid molecules, which facilitate their decomposition in the combustion chamber. The reduction in NOx emissions is also attributed to the decrease in the maximum temperature in the combustion chamber due to the fact that the calorific value of the investigated blended biofuels is 1.18~1.41% lower than that of petroleum DF by 1.18–1.41%. Attention is drawn to this in other works [5,24,25].

3.2. Test Results of the Diesel Engine D-245.12S in the Operating Conditions of the 13-Mode Steady-State Test Cycle (ECE R49)

The integral (average) efficiency and emission parameters of the diesel engine D-245.12S running on blends of petroleum DF with 10% vegetable oils in the European 13-mode steady-state test cycle (ECE R49) are shown in Table 9 and Figure 10 and Figure 11. As shown in Figure 10a, the use of a 10% vegetable oil additive led to an increase in the ABSFC for all of the blended fuels. However, this increase for different blended fuels is significantly different (Figure 11). The smallest increase in ABSFC from 1.39% to 1.73% was obtained for RO-blended DF (No. 1), SoS-blended DF (No. 3), CoO-blended DF (No. 4), and LO-blended DF (No. 5). The most significant increase in ABSFC was achieved for SuO-blended DF (No. 2) (by 6.75%) and CaO-blended DF (No. 7) (by 4.47%). It is possible that such an increase in the ABSFC for SuO-blended DF is due to the long-term operation of the diesel engine (32% of the total operating time in Figure 3) in partial load modes at an increased speed of 1600 rpm (Table 6). In comparison, the other blended fuels were tested in partial load modes at an increased speed of only 1500 rpm. As for CaO-blended DF, the increase in BSFC in the main operating modes (in the maximum power mode and, especially, in the maximum torque mode) was also more than that for blended fuels with other vegetable oils (Figure 5).
As can be seen from Figure 10b–d, the addition of 10% vegetable oils to petroleum DF caused a noticeable reduction in the IBSNOx, IBSCO, and IBSHC over the European 13-mode steady-state test cycle (ECE R49).
The most significant reduction in integral brake-specific emissions, mainly by 8.62–30.0%, was recorded for IBSHC (Figure 11). The minimum reduction in IBSHC was provided only by the addition of SoO and was 3.3%. The maximum reduction in IBSHC was achieved with the addition of RO (20.9%) and CoO (30.0%). For blends of petroleum DF with these two vegetable oils, the greatest reductions in HC emissions in the maximum power and maximum torque modes have also been observed (Figure 9b).
A significant reduction in IBSCO has been achieved. This reduction ranged from 4.3% for RO-blended DF to 15.0% for CaO-blended DF (Figure 11). The greatest reduction in IBSCO was obtained for CaO-blended DF (15.0%), CoO-blended DF (13.8%), and LO-blended DF (12.3%). Interestingly, similar results of CO emission reduction have been obtained in the maximum power mode (Figure 9a), where the greatest reduction has been found for CaO-blended DF (20.0%), CoO-blended DF (17.6%), and LO-blended DF (16.7%).
When the diesel engine operated in the operating conditions of the European 13-mode steady-state test cycle (ECE R49), a reduction in IBSNOx of 1.9% to 16.0% was achieved with the addition of all vegetable oils except SuO (Figure 11). On the contrary, the addition of sunflower SuO to petroleum DF resulted in an increase in IBSNOx by 0.29%. Perhaps this is also attributed to a significant increase in ABSFC (Figure 11) and the long-term operation of the diesel engine (32% of the total operating time in Figure 3) in partial load modes at an increased speed of 1600 rpm (Table 6). In comparison, the other blended fuels were tested in partial load modes at an increased speed of only 1500 rpm.
The above analysis of the experimental results of the diesel engine D-245.12S in operating conditions of the European 13-mode steady-state test cycle (ECE R49) shows that the addition of 10% of the investigated vegetable oils to petroleum DF made it possible to reduce the pollution emissions of exhaust gases not only in the operating modes of maximum power and maximum torque. With the addition of different vegetable oils, IBSHC decreased by 3.3–30.0%, IBSCO decreased by 4.3–15.0%, and IBSNOx also decreased by 1.9–16.0% for all vegetable oils, except for SoO.
To summarize all of the comparative experimental studies, it can be stated that despite the significant differences in the physicochemical properties and composition diversity of the investigated vegetable oils, the use of any one of them as a 10% additive in blended biofuel will insignificantly affect the technical and economic indicators of the diesel engine D-245.12S for agricultural machinery and commercial vehicles, but will save fossil fuels and improve the harmful impact on the environment.
Therefore, the results of this study have indicated not only the possibility but also the rationality of using the investigated vegetable oils as a 10% additive in blended biofuel for diesel engines of agricultural machinery and commercial vehicles. However, it will be possible to recommend their wide application in practice after operational tests.

4. Conclusions

Based on the set of comparative experimental studies of the effect of adding 10% of one of seven different vegetable oils into petroleum DF on the technical, economic, and emission characteristics of one type of diesel engine, D-245.12S, for agricultural machinery and commercial vehicles, the following conclusions can be drawn.
  • All basic physicochemical properties of blended biofuels, consisting of 90% petroleum DF and 10% one of the vegetable oils, RO, SuO, SoO, CoO, LO, MO, CaO, differ from the properties of petroleum DF by no more than 1–2.2%. An exception is the kinematic viscosity of blended biofuels, which increases by 1.47–1.84 times. Small differences in the physicochemical properties of blended fuels allow all tests of the diesel engine D-245.12S to be carried out with unchanged fuel equipment controls.
  • In the operating modes of maximum power and maximum torque, the use of blended biofuels resulted in a drop in the engine brake power and a simultaneous increase in the hourly fuel consumption by no more than 1.5%. An exception was RO-blended DF, for which the brake torque increased by 1.33–2.05%, accompanied by an increase in the hourly fuel consumption by 3.03% and 4.71% in the same modes. BSFC for all blended biofuels increased by 1.2–4.3%.
  • The emissions of regulated harmful substances with the use of blended fuels were significantly reduced in the maximum power and maximum torque modes: NOx emissions—by 0.7–8.3%, exhaust smoke opacity—by 7.5–37.5%, CO emissions—by 3.0–20.0%, and HC emissions—by 8.3–27.9%.
  • When the diesel engine was tested in the European 13-mode steady-state test cycle (ECE R49), reductions in IBSHC of 3.0–3.3%, IBSCO of 4.3–15.0%, and IBSNOx of 1.9–16.0% were also achieved. Only for SuO-blended DF did IBSNOx increase by 0.29%. ABSFC increased over a wide range: from a minimum value of 1.39% for RO-blended DF to a maximum of 6.75% for SuO-blended DF.
  • The results obtained indicate the feasibility and rationality of using the investigated vegetable oils as a 10% additive in blended biofuel for diesel engines. This use will save fossil fuels and improve the harmful effect on the environment with a slight decrease in the technical and economic indicators of diesel engine D-245.12S for agricultural machinery and commercial vehicles.

Author Contributions

Conceptualization, V.M.; methodology, V.M. and V.K.; validation, S.D. and A.Z.; formal analysis, V.K. and A.Z.; investigation, V.K., S.D. and B.S.; resources, A.Z. and V.F.; data curation, V.M.; writing—original draft preparation, V.K. and B.S.; writing—review and editing, A.Z. and V.F.; visualization, B.S.; supervision, V.M.; project administration, V.M.; funding acquisition, V.F. All authors have read and agreed to the published version of the manuscript.

Funding

This research received no external funding.

Institutional Review Board Statement

Not applicable.

Informed Consent Statement

Not applicable.

Data Availability Statement

Data sharing not applicable.

Conflicts of Interest

The authors declare no conflict of interest.

Abbreviations

DFdiesel fuel
ROrapeseed oil
SuOsunflower oil
SoOsoybean oil
CoOcorn oil
LOlinseed oil
MOmustard oil
CaOcamelina oil
ABSFCaverage brake-specific fuel consumption
BSFCbrake-specific fuel consumption
FDPCfuel delivery per cycle
IBSCOintegral brake-specific carbon monoxide
IBSHCintegral brake-specific hydrocarbons
IBSNOxintegral brake-specific nitrogen oxides

References

  1. Singh, D.; Sharma, D.; Soni, S.L.; Inda, C.S.; Sharma, S.; Sharma, P.K.; Jhalani, A. A comprehensive review of physicochemical properties, production process, performance and emissions characteristics of 2nd generation biodiesel feedstock: Jatropha curcas. Fuel 2021, 285, 119110. [Google Scholar] [CrossRef]
  2. Dey, S.; Reang, N.M.; Das, P.K.; Deb, M. A comprehensive study on prospects of economy, environment, and efficiency of palm oil biodiesel as a renewable fuel. J. Clean. Prod. 2021, 286, 124981. [Google Scholar] [CrossRef]
  3. Simsek, S. Effects of biodiesel obtained from Canola, sefflower oils and waste oils on the engine performance and exhaust emissions. Fuel 2020, 265, 117026. [Google Scholar] [CrossRef]
  4. Benjamin Franklin, S.; Arul, R. Experimental investigation on EGR technique and performance evaluation of diesel engine using diesel blend cotton seed oil as renewable fuel. Mater. Today Proc. 2020. [Google Scholar] [CrossRef]
  5. Raman, L.A.; Deepanraj, B.; Rajakumar, S.; Sivasubramanian, V. Experimental investigation on performance, combustion and emission analysis of a direct injection diesel engine fuelled with rapeseed oil biodiesel. Fuel 2019, 246, 69–74. [Google Scholar] [CrossRef]
  6. Yesilyurt, M.K.; Aydin, M.; Yilbasi, Z.; Arslan, M. Investigation on the structural effects of the addition of alcohols having various chain lengths into the vegetable oil-biodiesel-diesel fuel blends: An attempt for improving the performance, combustion, and exhaust emission characteristics of a compressi. Fuel 2020, 269, 117455. [Google Scholar] [CrossRef]
  7. Murta, A.L.S.; De Freitas, M.A.V.; Ferreira, C.G.; Da Costa Lima Peixoto, M.M. The use of palm oil biodiesel blends in locomotives: An economic, social and environmental analysis. Renew. Energy 2021, 164, 521–530. [Google Scholar] [CrossRef]
  8. Tun, M.M.; Juchelková, D. Biomass Sources and Energy Potential for Energy Sector in Myanmar: An Outlook. Resources 2019, 8, 102. [Google Scholar] [CrossRef] [Green Version]
  9. Tun, M.M.; Juchelkova, D.; Win, M.M.; Thu, A.M.; Puchor, T. Biomass Energy: An Overview of Biomass Sources, Energy Potential, and Management in Southeast Asian Countries. Resources 2019, 8, 81. [Google Scholar] [CrossRef] [Green Version]
  10. Yaşar, F. Comparision of fuel properties of biodiesel fuels produced from different oils to determine the most suitable feedstock type. Fuel 2020, 264, 116817. [Google Scholar] [CrossRef]
  11. Raghuvaran, S.; Ashok, B.; Veluchamy, B.; Ganesh, N. Evaluation of performance and exhaust emission of C.I diesel engine fuel with palm oil biodiesel using an artificial neural network. Mater. Today Proc. 2021, 37, 1107–1111. [Google Scholar] [CrossRef]
  12. Che Mat, S.; Idroas, M.Y.; Hamid, M.F.; Zainal, Z.A. Performance and emissions of straight vegetable oils and its blends as a fuel in diesel engine: A review. Renew. Sustain. Energy Rev. 2018, 82, 808–823. [Google Scholar] [CrossRef]
  13. Rajak, U.; Verma, T.N. Effect of emission from ethylic biodiesel of edible and non-edible vegetable oil, animal fats, waste oil and alcohol in CI engine. Energy Convers. Manag. 2018, 166, 704–718. [Google Scholar] [CrossRef]
  14. Rahman, S.M.A.; Fattah, I.M.R.; Maitra, S.; Mahlia, T.M.I. A ranking scheme for biodiesel underpinned by critical physicochemical properties. Energy Convers. Manag. 2021, 229, 113742. [Google Scholar] [CrossRef]
  15. Çelikten, İ.; Koca, A.; Ali Arslan, M. Comparison of performance and emissions of diesel fuel, rapeseed and soybean oil methyl esters injected at different pressures. Renew. Energy 2010, 35, 814–820. [Google Scholar] [CrossRef]
  16. Elkelawy, M.; Alm-Eldin Bastawissi, H.; Esmaeil, K.K.; Radwan, A.M.; Panchal, H.; Sadasivuni, K.K.; Ponnamma, D.; Walvekar, R. Experimental studies on the biodiesel production parameters optimization of sunflower and soybean oil mixture and DI engine combustion, performance, and emission analysis fueled with diesel/biodiesel blends. Fuel 2019, 255, 115791. [Google Scholar] [CrossRef]
  17. Markov, V.A.; Kamaltdinov, V.G.; Zykov, S.A.; Savastenko, A.A. Multicomponent Biofuels for Agricultural Diesel Machines. J. Phys. Conf. Ser. 2019, 1260. [Google Scholar] [CrossRef]
  18. Kanthasamy, S.; Karthick, A.; Ramalingam, V.; Praveen, M.V.J. Performance and emission characteristics of diesel engine fueled with ternary blends of linseed and rubber seed oil biodiesel. Fuel 2021, 285, 119255. [Google Scholar] [CrossRef]
  19. Hoseini, S.S.; Najafi, G.; Ghobadian, B.; Rahimi, A.; Yusaf, T.; Mamat, R.; Sidik, N.A.C.; Azmi, W.H. Effects of biodiesel fuel obtained from Salvia macrosiphon oil (ultrasonic-assisted) on performance and emissions of diesel engine. Energy 2017, 131, 289–296. [Google Scholar] [CrossRef] [Green Version]
  20. Madheshiya, A.K.; Vedrtnam, A. Energy-exergy analysis of biodiesel fuels produced from waste cooking oil and mustard oil. Fuel 2018, 214, 386–408. [Google Scholar] [CrossRef]
  21. Sharma Dugala, N.; Singh Goindi, G.; Sharma, A. Evaluation of physicochemical characteristics of Mahua (Madhuca indica) and Jatropha (Jatropha curcas) dual biodiesel blends with diesel. J. King Saud Univ. Eng. Sci. 2020. [Google Scholar] [CrossRef]
  22. Mirhashemi, F.S.; Sadrnia, H. NOX emissions of compression ignition engines fueled with various biodiesel blends: A review. J. Energy Inst. 2020, 93, 129–151. [Google Scholar] [CrossRef]
  23. Hazrat, M.A.; Rasul, M.G.; Khan, M.M.K.; Ashwath, N.; Rufford, T.E. Emission characteristics of waste tallow and waste cooking oil based ternary biodiesel fuels. Energy Procedia 2019, 160, 842–847. [Google Scholar] [CrossRef]
  24. Lešnik, L.; Biluš, I. The effect of rapeseed oil biodiesel fuel on combustion, performance, and the emission formation process within a heavy-duty DI diesel engine. Energy Convers. Manag. 2016, 109, 140–152. [Google Scholar] [CrossRef]
  25. Lešnik, L.; Iljaž, J.; Hribernik, A.; Kegl, B. Numerical and experimental study of combustion, performance and emission characteristics of a heavy-duty DI diesel engine running on diesel, biodiesel and their blends. Energy Convers. Manag. 2014, 81, 534–546. [Google Scholar] [CrossRef]
  26. Bari, S.; Hossain, S.N. Performance and emission analysis of a diesel engine running on palm oil diesel (POD). Energy Procedia 2019, 160, 92–99. [Google Scholar] [CrossRef]
  27. Ellappan, S.; Rajendran, S. A comparative review of performance and emission characteristics of diesel engine using eucalyptus-biodiesel blend. Fuel 2021, 284, 118925. [Google Scholar] [CrossRef]
  28. Osei, I.; Akowuah, J.O.; Kemausuor, F. Techno-Economic Models for Optimised Utilisation of Jatropha curcas Linnaeus under an Out-Grower Farming Scheme in Ghana. Resources 2016, 5, 38. [Google Scholar] [CrossRef] [Green Version]
  29. Kanth, S.; Debbarma, S. Comparative performance analysis of diesel engine fuelled with hydrogen enriched edible and non-edible biodiesel. Int. J. Hydrog. Energy 2021, 46, 10478–10493. [Google Scholar] [CrossRef]
  30. Botia, G.P.; Ochoa, G.V.; Forero, J.D. Characterization of emissions in a diesel engine using biodiesel blends produced from agro-industrial residues of Elaeis Guineensis. Int. J. Energy Convers. 2020, 8, 45–52. [Google Scholar] [CrossRef]
  31. Manieniyan, V.; Velumani, V.; Senthilkumar, R.; Sivaprakasam, S. Effect of EGR (exhaust gas recirculation) in diesel engine with multi-walled carbon nanotubes and vegetable oil refinery waste as biodiesel. Fuel 2021, 288, 119689. [Google Scholar] [CrossRef]
  32. Rajak, U.; Verma, T.N. A comparative analysis of engine characteristics from various biodiesels: Numerical study. Energy Convers. Manag. 2019, 180, 904–923. [Google Scholar] [CrossRef]
  33. Simsek, S.; Uslu, S. Comparative evaluation of the influence of waste vegetable oil and waste animal oil-based biodiesel on diesel engine performance and emissions. Fuel 2020, 280, 118613. [Google Scholar] [CrossRef]
  34. Tsai, W.-T. Mandatory Recycling of Waste Cooking Oil from Residential and Commercial Sectors in Taiwan. Resources 2019, 8, 38. [Google Scholar] [CrossRef] [Green Version]
  35. Nirmala, N.; Dawn, S.S.; Harindra, C. Analysis of performance and emission characteristics of Waste cooking oil and Chlorella variabilis MK039712.1 biodiesel blends in a single cylinder, four strokes diesel engine. Renew. Energy 2020, 147, 284–292. [Google Scholar] [CrossRef]
  36. Gao, Y.; Chen, Y.; Gu, J.; Xin, Z.; Sun, S. Butyl-biodiesel production from waste cooking oil: Kinetics, fuel properties and emission performance. Fuel 2019, 236, 1489–1495. [Google Scholar] [CrossRef]
  37. Simsek, S.; Uslu, S. Determination of a diesel engine operating parameters powered with canola, safflower and waste vegetable oil based biodiesel combination using response surface methodology (RSM). Fuel 2020, 270, 117496. [Google Scholar] [CrossRef]
  38. Gnanasekaran, S.; Saravanan, N.; Ilangkumaran, M. Influence of injection timing on performance, emission and combustion characteristics of a DI diesel engine running on fish oil biodiesel. Energy 2016, 116, 1218–1229. [Google Scholar] [CrossRef]
  39. Sanli, H. An experimental investigation on the usage of waste frying oil-diesel fuel blends with low viscosity in a Common Rail DI-diesel engine. Fuel 2018, 222, 434–443. [Google Scholar] [CrossRef]
  40. de Almeida D´Agosto, M.; da Silva, M.A.V.; Franca, L.S.; de Oliveira, C.M.; Alexandre, M.O.L.; da Costa Marques, L.G.; Murta, A.L.S.; de Freitas, M.A.V. Comparative study of emissions from stationary engines using biodiesel made from soybean oil, palm oil and waste frying oil. Renew. Sustain. Energy Rev. 2017, 70, 1376–1392. [Google Scholar] [CrossRef]
  41. Vieira da Silva, M.A.; Lagnier Gil Ferreira, B.; da Costa Marques, L.G.; Lamare Soares Murta, A.; Vasconcelos de Freitas, M.A. Comparative study of NOx emissions of biodiesel-diesel blends from soybean, palm and waste frying oils using methyl and ethyl transesterification routes. Fuel 2017, 194, 144–156. [Google Scholar] [CrossRef]
  42. Gad, M.S.; El-Shafay, A.S.; Abu Hashish, H.M. Assessment of diesel engine performance, emissions and combustion characteristics burning biodiesel blends from jatropha seeds. Process. Saf. Environ. Prot. 2021, 147, 518–526. [Google Scholar] [CrossRef]
  43. Mendoza-Casseres, D.; Valencia-Ochoa, G.; Duarte-Forero, J. Experimental assessment of combustion performance in low-displacement stationary engines operating with biodiesel blends and hydroxy. Therm. Sci. Eng. Prog. 2021, 23, 100883. [Google Scholar] [CrossRef]
  44. Madiwale, S.; Karthikeyan, A.; Bhojwani, V. Properties investigation and performance analysis of a diesel engine fuelled with Jatropha, Soybean, Palm and Cottonseed biodiesel using Ethanol as an additive. Mater. Today Proc. 2018, 5, 657–664. [Google Scholar] [CrossRef]
  45. Shote, A.S.; Betiku, E.; Asere, A.A. Characteristics of CO and NOx emissions from combustion of transmethylated palm kernel oil-based biodiesel blends in a compression ignition engine. J. King Saud Univ. Eng. Sci. 2019, 31, 178–183. [Google Scholar] [CrossRef]
  46. Senthur Prabu, S.; Asokan, M.A.; Prathiba, S.; Ahmed, S.; Puthean, G. Effect of additives on performance, combustion and emission behavior of preheated palm oil/diesel blends in DI diesel engine. Renew. Energy 2018, 122, 196–205. [Google Scholar] [CrossRef]
  47. Pipitone, E.; Costanza, A. An experimental investigation on the long-term compatibility of preheated crude palm oil in a large compression ignition diesel engine. Biofuel Res. J. 2018, 5, 900–908. [Google Scholar] [CrossRef] [Green Version]
  48. Shrivastava, P.; Verma, T.N.; Pugazhendhi, A. An experimental evaluation of engine performance and emisssion characteristics of CI engine operated with Roselle and Karanja biodiesel. Fuel 2019, 254, 115652. [Google Scholar] [CrossRef]
  49. Roy, M.M.; Islam, M.S.; Alam, M.N. Biodiesel from Crude Tall Oil and Its NOx and Aldehydes Emissions in a Diesel Engine Fueled by Biodiesel-Diesel Blends with Water Emulsions. Processes 2021, 9, 126. [Google Scholar] [CrossRef]
  50. Reza Miri, S.M.; Mousavi Seyedi, S.R.; Ghobadian, B. Effects of biodiesel fuel synthesized from non-edible rapeseed oil on performance and emission variables of diesel engines. J. Clean. Prod. 2017, 142, 3798–3808. [Google Scholar] [CrossRef]
  51. Patel, C.; Tiwari, N.; Agarwal, A.K. Experimental investigations of Soyabean and Rapeseed SVO and biodiesels on engine noise, vibrations, and engine characteristics. Fuel 2019, 238, 86–97. [Google Scholar] [CrossRef]
  52. Markov, V.; Kamaltdinov, V.; Bykovskaya, L.; Sa, B. Performance of a diesel engine running on mixed biofuels with the addition of gasoline. E3S Web Conf. 2019, 140. [Google Scholar] [CrossRef] [Green Version]
  53. Markov, V.A.; Devyanin, S.N.; Bowen, S. Emission Performance of a Diesel Engine Running on Petroleum Diesel Fuel with Different Vegetable Oil Additives. In Proceedings of the 2020 International Multi-Conference on Industrial Engineering and Modern Technologies (FarEastCon), Vladivostok, Russian, 6–9 October 2020; pp. 1–5. [Google Scholar] [CrossRef]
  54. Roy, M.M.; Wang, W.; Bujold, J. Biodiesel production and comparison of emissions of a DI diesel engine fueled by biodiesel-diesel and canola oil-diesel blends at high idling operations. Appl. Energy 2013, 106, 198–208. [Google Scholar] [CrossRef]
  55. Qi, D.H.; Lee, C.F.; Jia, C.C.; Wang, P.P.; Wu, S.T. Experimental investigations of combustion and emission characteristics of rapeseed oil–diesel blends in a two cylinder agricultural diesel engine. Energy Convers. Manag. 2014, 77, 227–232. [Google Scholar] [CrossRef]
  56. Qi, D.H.; Bae, C.; Feng, Y.M.; Jia, C.C.; Bian, Y.Z. Combustion and emission characteristics of a direct injection compression ignition engine using rapeseed oil based micro-emulsions. Fuel 2013, 107, 570–577. [Google Scholar] [CrossRef]
  57. Valente, O.S.; da Silva, M.J.; Pasa, V.M.D.; Belchior, C.R.P.; Sodré, J.R. Fuel consumption and emissions from a diesel power generator fuelled with castor oil and soybean biodiesel. Fuel 2010, 89, 3637–3642. [Google Scholar] [CrossRef]
  58. Azizzadeh Hajlari, S.; Najafi, B.; Faizollahzadeh Ardabili, S. Castor oil, a source for biodiesel production and its impact on the diesel engine performance. Renew. Energy Focus 2019, 28, 1–10. [Google Scholar] [CrossRef]
  59. Qi, D.; Xing, W.; Luo, P.; Liu, J.; Chen, R. Effect of alcohols on combustion characteristics and particle size distribution of a diesel engine fueled with diesel-castor oil blended fuel. Asia-Pacific J. Chem. Eng. 2020, 15, e2477. [Google Scholar] [CrossRef]
  60. Uyumaz, A. Combustion, performance and emission characteristics of a DI diesel engine fueled with mustard oil biodiesel fuel blends at different engine loads. Fuel 2018, 212, 256–267. [Google Scholar] [CrossRef]
  61. Markov, V.A.; Kamaltdinov, V.G.; Zykov, S.A.; Sa, B. Optimization of the composition of blended biodiesel fuels with additives of vegetable oils. Int. J. Energy Clean Environ. 2019, 20, 303–319. [Google Scholar] [CrossRef]
  62. Markov, V.A.; Kamaltdinov, V.G.; Loboda, S.S. Using Mustard Oil as Ecological Additive to Petroleum Diesel Fuel. In Proceedings of the International Conference Actual Issues of Mechanical Engineering, Tomsk, Russia, 27–29 July 2017; Atlantis Press: Dordrecht, The Netherlands, 2017; pp. 484–489. [Google Scholar]
  63. Viswanathan, K.; Ashok, B.; Pugazhendhi, A. Comprehensive study of engine characteristics of novel biodiesel from curry leaf (Murraya koenigii) oil in ceramic layered diesel engine. Fuel 2020, 280, 118586. [Google Scholar] [CrossRef]
  64. Praveena, V.; Leenus Jesu Martin, M.; Edwin Geo, V. Effect of EGR on emissions of a modified DI compression ignition engine energized with nanoemulsive blends of grapeseed biodiesel. Fuel 2020, 267, 117317. [Google Scholar] [CrossRef]
  65. Markov, V.A.; Kamaltdinov, V.G.; Savastenko, A.A. Petroleum Diesel Fuel and Linseed Oil Mixtures as Engine Fuels. J. Phys. Conf. Ser. 2018, 944, 12077. [Google Scholar] [CrossRef]
  66. Hazar, H.; Sevinc, H. Investigation of the effects of pre-heated linseed oil on performance and exhaust emission at a coated diesel engine. Renew. Energy 2019, 130, 961–967. [Google Scholar] [CrossRef]
  67. Markov, V.A.; Kamaltdinov, V.G.; Loboda, S.S. Optimization of Diesel Fuel and Corn Oil Mixtures Composition. Procedia Eng. 2016, 150, 225–234. [Google Scholar] [CrossRef] [Green Version]
  68. Gaglio, M.; Tamburini, E.; Lucchesi, F.; Aschonitis, V.; Atti, A.; Castaldelli, G.; Fano, E.A. Life Cycle Assessment of Maize-Germ Oil Production and the Use of Bioenergy to Mitigate Environmental Impacts: A Gate-To-Gate Case Study. Resources 2019, 8, 60. [Google Scholar] [CrossRef] [Green Version]
  69. Pizzi, A.; Duca, D.; Rossini, G.; Fabrizi, S.; Toscano, G. Biofuel, Bioenergy and Feed Valorization of By-Products and Residues from Hevea brasiliensis Cultivation to Enhance Sustainability. Resources 2020, 9, 114. [Google Scholar] [CrossRef]
  70. Creencia, E.C.; Nillama, J.A.P.; Librando, I.L. Microwave-Assisted Extraction and Physicochemical Evaluation of Oil from Hevea brasiliensis Seeds. Resources 2018, 7, 28. [Google Scholar] [CrossRef] [Green Version]
  71. Jain, N.L.; Soni, S.L.; Poonia, M.P.; Sharma, D.; Srivastava, A.K.; Jain, H. Performance and emission characteristics of preheated and blended thumba vegetable oil in a compression ignition engine. Appl. Therm. Eng. 2017, 113, 970–979. [Google Scholar] [CrossRef]
  72. Kotaiah, K.; Periyasamy, P.; Prabhahar, M. Performance and emission characteristics of small agricultural diesel engine using Lemongrass oil and its diesel blends. Mater. Today Proc. 2020, 33, 658–662. [Google Scholar] [CrossRef]
  73. Qi, D.H.; Yang, K.; Zhang, D.; Chen, B.; Wei, Q.; Zhang, C.H. Experimental investigation of a turbocharged CRDI diesel engine fueled with Tung oil-diesel-ethanol microemulsion fuel. Renew. Energy 2017, 113, 1201–1207. [Google Scholar] [CrossRef]
  74. EL-Seesy, A.I.; He, Z.; Hassan, H.; Balasubramanian, D. Improvement of combustion and emission characteristics of a diesel engine working with diesel/jojoba oil blends and butanol additive. Fuel 2020, 279, 118433. [Google Scholar] [CrossRef]
  75. Food and Agriculture Organization; World Health Organization. Codex Alimentarius, Volume 8: Fats, Oils and Related Products, 2nd ed.; Food and Agriculture Organization of the United Nations (FAO): Rome, Italy, 2001; ISBN 9251046824. [Google Scholar]
Figure 1. Properties of petroleum DF (1), investigated vegetable oils (2—RO, 3—SuO, 4—SoO, 5—CoO, 6—LO, 7—MO, 8—CaO), and blended fuels with 10% vegetable oils: (a)—density; (b)—lower calorific value; (c)—cetane number; (d)—theoretical air–fuel ratio; (e)—kinematic viscosity.
Figure 1. Properties of petroleum DF (1), investigated vegetable oils (2—RO, 3—SuO, 4—SoO, 5—CoO, 6—LO, 7—MO, 8—CaO), and blended fuels with 10% vegetable oils: (a)—density; (b)—lower calorific value; (c)—cetane number; (d)—theoretical air–fuel ratio; (e)—kinematic viscosity.
Resources 10 00074 g001
Figure 2. C, H, O mass content of pure petroleum DF and vegetable oils (a) and C, H, O mass content of the investigated blended fuels with adding 10% vegetable oil into DF (b): 1—DF, 2—RO, 3—SuO, 4—SoO, 5—CoO, 6—LO, 7—MO, 8—CaO.
Figure 2. C, H, O mass content of pure petroleum DF and vegetable oils (a) and C, H, O mass content of the investigated blended fuels with adding 10% vegetable oil into DF (b): 1—DF, 2—RO, 3—SuO, 4—SoO, 5—CoO, 6—LO, 7—MO, 8—CaO.
Resources 10 00074 g002
Figure 3. The European 13-mode steady-state diesel engine test cycle (ECE R49) used for emission testing of vehicle engines. Signs ‘No’ and ‘%’ denote the sequential number of the operating mode and its time-share, respectively. The signs ‘Me’ and ‘n’ denote the values of the brake torque and speed in % relative to the maximum values.
Figure 3. The European 13-mode steady-state diesel engine test cycle (ECE R49) used for emission testing of vehicle engines. Signs ‘No’ and ‘%’ denote the sequential number of the operating mode and its time-share, respectively. The signs ‘Me’ and ‘n’ denote the values of the brake torque and speed in % relative to the maximum values.
Resources 10 00074 g003
Figure 4. Main parameters of the diesel engine operating on petroleum DF and its blends with the investigated vegetable oils (1—RO, 2—SuO, 3—SoO, 4—CoO, 5—LO, 6—MO, 7—CaO) in the maximum torque mode (Mmax) and in the maximum power mode (Nmax): (a)—brake power; (b)— brake torque; (c)—hourly fuel consumption; (d)—BSFC.
Figure 4. Main parameters of the diesel engine operating on petroleum DF and its blends with the investigated vegetable oils (1—RO, 2—SuO, 3—SoO, 4—CoO, 5—LO, 6—MO, 7—CaO) in the maximum torque mode (Mmax) and in the maximum power mode (Nmax): (a)—brake power; (b)— brake torque; (c)—hourly fuel consumption; (d)—BSFC.
Resources 10 00074 g004
Figure 5. Relative variation of BSFC for the blended fuels compared to petroleum DF in the maximum torque mode (Mmax) and in the maximum power mode (Nmax): 1—RO-blended DF, 2—SuO-blended DF, 3—SoO-blended DF, 4—CoO-blended DF, 5—LO-blended DF, 6—MO-blended DF, 7—CaO-blended DF.
Figure 5. Relative variation of BSFC for the blended fuels compared to petroleum DF in the maximum torque mode (Mmax) and in the maximum power mode (Nmax): 1—RO-blended DF, 2—SuO-blended DF, 3—SoO-blended DF, 4—CoO-blended DF, 5—LO-blended DF, 6—MO-blended DF, 7—CaO-blended DF.
Resources 10 00074 g005
Figure 6. NOx emissions (a) and exhaust smoke opacity (b) for petroleum DF and its blends with vegetable oils (1—RO, —SuO, 3—SoO, 4 –CoO, 5—LO, 6—MO, 7—CaO) in the maximum power mode (Nmax) and in the maximum torque mode (Mmax).
Figure 6. NOx emissions (a) and exhaust smoke opacity (b) for petroleum DF and its blends with vegetable oils (1—RO, —SuO, 3—SoO, 4 –CoO, 5—LO, 6—MO, 7—CaO) in the maximum power mode (Nmax) and in the maximum torque mode (Mmax).
Resources 10 00074 g006
Figure 7. Relative variations of NOx emissions (a) and exhaust smoke opacity (b) for vegetable oil-blended DF compared to petroleum DF in the maximum power mode (Nmax) and in the maximum torque mode (Mmax): 1—RO-blended DF, 2—SuO-blended DF, 3—SoO-blended DF, 4—CoO-blended DF, 5—LO-blended DF, 6—MO-blended DF, 7—CaO-blended DF.
Figure 7. Relative variations of NOx emissions (a) and exhaust smoke opacity (b) for vegetable oil-blended DF compared to petroleum DF in the maximum power mode (Nmax) and in the maximum torque mode (Mmax): 1—RO-blended DF, 2—SuO-blended DF, 3—SoO-blended DF, 4—CoO-blended DF, 5—LO-blended DF, 6—MO-blended DF, 7—CaO-blended DF.
Resources 10 00074 g007
Figure 8. CO emissions (a) and HC emissions (b) for petroleum DF and its blends with vegetable oils (1—RO, 2—SuO, —SoO, 4—CoO, 5—LO, 6—MO, 7—CaO) in the maximum power mode (Nmax) and in the maximum torque mode (Mmax).
Figure 8. CO emissions (a) and HC emissions (b) for petroleum DF and its blends with vegetable oils (1—RO, 2—SuO, —SoO, 4—CoO, 5—LO, 6—MO, 7—CaO) in the maximum power mode (Nmax) and in the maximum torque mode (Mmax).
Resources 10 00074 g008
Figure 9. Relative variations of CO emissions (a) and HC emissions (b) for vegetable oil-blended DF compared to petroleum DF in the maximum power mode (Nmax) and in the maximum torque mode (Mmax): 1—RO-blended DF, 2—SuO-blended DF, 3—SoO-blended DF, 4—CoO-blended DF, 5—LO-blended DF, 6—MO-blended DF, 7—CaO-blended DF.
Figure 9. Relative variations of CO emissions (a) and HC emissions (b) for vegetable oil-blended DF compared to petroleum DF in the maximum power mode (Nmax) and in the maximum torque mode (Mmax): 1—RO-blended DF, 2—SuO-blended DF, 3—SoO-blended DF, 4—CoO-blended DF, 5—LO-blended DF, 6—MO-blended DF, 7—CaO-blended DF.
Resources 10 00074 g009
Figure 10. ABSFC (a), IBSNOx (b), IBSCO (c), and IBSHC (d) for petroleum DF and its blends with vegetable oils (1—RO, 2—SuO, 3—SoO, 4—CoO, 5—LO, 6—MO, 7—CaO) over the 13-mode test cycle.
Figure 10. ABSFC (a), IBSNOx (b), IBSCO (c), and IBSHC (d) for petroleum DF and its blends with vegetable oils (1—RO, 2—SuO, 3—SoO, 4—CoO, 5—LO, 6—MO, 7—CaO) over the 13-mode test cycle.
Resources 10 00074 g010
Figure 11. Relative variations of ABSFC, IBSNOx, IBSCO, and IBSHC for vegetable oil-blended DF compared to petroleum DF in the 13-mode test cycle: 1—RO-blended DF, 2—SuO-blended DF, 3—SoO-blended DF, 4—CoO-blended DF, 5—LO-blended DF, 6—MO-blended DF, 7—CaO-blended DF.
Figure 11. Relative variations of ABSFC, IBSNOx, IBSCO, and IBSHC for vegetable oil-blended DF compared to petroleum DF in the 13-mode test cycle: 1—RO-blended DF, 2—SuO-blended DF, 3—SoO-blended DF, 4—CoO-blended DF, 5—LO-blended DF, 6—MO-blended DF, 7—CaO-blended DF.
Resources 10 00074 g011
Table 1. Fatty acid composition of unrefined vegetable oils.
Table 1. Fatty acid composition of unrefined vegetable oils.
Vegetable OilMass Fraction of Fatty Acids of Vegetable Oils, %
Saturated Fatty AcidsUnsaturated Fatty Acids
Myristic C14H28O2
or C 14:0
Palmitic C16H32O2
or C 16:0
Stearic
C18H36O2
or C 18:0
Oleic
C18H34O2
or C 18:1
Linoleic C18H32O2
or C 18:2
Linolenic C18H30O2
or C 18:3
RO0 … 0.21.5 … 6.00.5 … 3.18.0 … 60.011.0 … 23.05.0 … 13.0
SuO0 … 0.25.6 … 7.62.7 … 6.514.0 … 39.418.3 … 74.0up to 0.3
SoO0 … 0.28.0 … 13.52.0 … 5.417.0 … 30.048.0 … 59.04.5 … 11.0
CoO0 … 0.38.6 … 16.50 … 3.320.0 … 42.234.0 … 65.60 … 2.0
LO5.4 … 11.32.5 … 8.00.4 … 1.013.0 … 36.08.3 … 30.030.0 … 67.0
MO0 … 1.00.5 … 4.50.5 … 2.08.0 … 23.010.0 … 24.06.0 … 18.0
CaO0 … 0.25.0 … 7.02.0 … 2.512.0 … 20.012.0 … 20.014.0 … 22.0
Note: RO—rapeseed oil, SuO—sunflower oil, SoO—soybean oil, CoO—corn oil, LO—linseed oil, MO—mustard oil, CaO—camelina oil. After each fatty acid’s name, its chemical formula and lipid numbers are given. In lipid numbers, the first number is the number of carbon atoms, and the second number is the number of double bonds in the molecule.
Table 2. Properties of the investigated vegetable oils and petroleum DF.
Table 2. Properties of the investigated vegetable oils and petroleum DF.
PropertyFuel Type
DFROSuOSOCOLOMOCaO
Density at 20 °C, kg/m3830916923923921912920.0910
Kinematic viscosity at 20 °C, mm2/s3.875.072.065.066.659.070.057.7
Lower calorific value, MJ/kg42.537.337.437.337.137.637.237.5
Cetane number4536373537383537
Theoretical air–fuel ratio14.3112.5212.3612.3812.3812.6212.4412.52
Note: the average values of the properties of petroleum DF have been given.
Table 3. Properties of investigated petroleum DF and its blends with vegetable oils.
Table 3. Properties of investigated petroleum DF and its blends with vegetable oils.
PropertyFuel Type
DF90% DF + 10% RO90% DF + 10% SuO90% DF + 10% SoO90% DF + 10% CoO90% DF + 10% LO90% DF + 10% MO90% DF + 10% CaO
Density at 20 °C, kg/m3830839839838839837839838
Kinematic viscosity at 20 °C, mm2/s3.86.16.05.65.95.95.95.8
Lower calorific value, MJ/kg42.541.941.9424241.941.942
Cetane number4544.144.24444.244.34444.2
Theoretical air–fuel ratio14.3114.1214.1614.1314.1114.1614.1114.13
Element mass content, %
C878686.185.98686.18686.1
H12.612.512.512.512.512.512.512.5
O0.41.51.41.61.51.41.51.4
Table 4. Structure and operational parameters of the diesel engine D-245.12S.
Table 4. Structure and operational parameters of the diesel engine D-245.12S.
ParametersValue
Engine typeFour-stroke, in-line, diesel
Number of cylinders4
Cylinder diameter D, mm110
Piston stroke S, mm125
Total cylinder capacity iVh, L4.32
Compression ratio ε15.1
Combustion chamber (CC) type,
air–fuel mixing method
CC of type CNIDI (Central Diesel Engine Research Institute), space atomization and film evaporation
Nominal speed n, rpm2400
Nominal power Ne, kW80
Fuel supply system typeSeparate fuel system
High-pressure fuel pumpIn-line plunger pump Motorpal PP4M10U1f
Diameter of plunger dpl, mm10
Plunger stroke hpl, mm10
Length of high-pressure oil pipe Lh, mm540
InjectorType FDM-22 OJSC
Initial injection pressure, MPa21.0
Table 5. Main measurement parameters.
Table 5. Main measurement parameters.
Measured ParameterMeasuring RangeAccuracyUncertainty
Engine speed0–5000 rpm±5 rpm±0.1%
Torque moment0–500 Nm±5 Nm±1%
Engine power0–100 kW±0.5 kW±1%
Fuel consumption0–40 kg/h±0.1 kg/h±0.25%
Air consumption0–1000 kg/h±10 kg/h±1%
NOx0–4000 ppm<1000 ppm: ±10 ppm≥1000 ppm: ±5%
CO0–5 vol %<1 vol %: ±0.03 vol %≥1 vol %: ±3 vol %
HC0–2000 ppm<200 ppm: ±10 ppm≥200 ppm: ±5%
Exhaust gas smoke0–100%±1% full-scale reading-
Table 6. The main parameters of the diesel engine running on petroleum DF and its blends with the investigated vegetable oils in the maximum power mode (Nmax) and in the maximum torque mode (Mmax).
Table 6. The main parameters of the diesel engine running on petroleum DF and its blends with the investigated vegetable oils in the maximum power mode (Nmax) and in the maximum torque mode (Mmax).
Fuel TypeEngine Indicators
Ne in Nmax, kWNe inMmax, kWn in Nmax, rpmn inMmax,
rpm
Me in Nmax, N·mMe in Mmax, N·mGf in Nmax, kg/hGf in Mmax, kg/hge in Nmax, g/(kW·h)ge in Mmax, g/(kW·h)
Petroleum DF75.5453.592397150130134118.8112.1249225.8
90% DF + 10% RO76.9055.382408152030534819.3812.67252228.8
Petroleum DF79.8261.642405160031736819.713.72246.8222.6
90% DF + 10% SuO79.4361.572400160231636719.9613.97251.3226.9
Petroleum DF80.9257.912400150332236820.113.1248.4226.2
90% DF + 10% SoO80.4456.792401150232036120.413.01253.6229.1
Petroleum DF78.0856.202398149931135819.3112.56247.3223.5
90% DF + 10% CoO76.8955.742400150030635519.3612.52251.8224.6
Petroleum DF80.9257.912400150332236820.113.1248.4226.2
90% DF +10% LO80.2957.712404150231936720.2413.28252.1230.1
Petroleum DF80.5857.47239715083213642013248.2226.2
90% DF + 10% MO79.9157.012400150031836320.2513.22253.4231.9
Petroleum DF80.5857.47239715083213642013248.2226.2
90% DF + 10% CaO79.7756.382403150431735820.2313.3253.6235.9
Table 7. NOx emissions and exhaust smoke opacity of the diesel engine D-245.12.S fueled with vegetable oil-blended DF in the maximum power mode (Nmax) and in the maximum torque mode (Mmax).
Table 7. NOx emissions and exhaust smoke opacity of the diesel engine D-245.12.S fueled with vegetable oil-blended DF in the maximum power mode (Nmax) and in the maximum torque mode (Mmax).
Fuel TypeEngine Indicators
CNOx in Nmax, ppm/g/kW·hΔCNOx, %CNOx in Mmax, ppm/g/kW·hΔCNOx, %KX in Nmax,
% (H.)
Δ KX, %KX in Mmax,
% (H.)
Δ KX, %
Petroleum DF, RO-blended DF
Petroleum DF675/8.27-800/5.81-11.0-25.0-
90% DF + 10% RO660/8.05−2.2/−2.6785/5.67−1.9/−2.49.5−13.620.5−18.0
Petroleum DF, SuO-blended DF
Petroleum DF605/7.40-680/5.20-14,5-20.0-
90% DF + 10% SuO580/7.10−4.1/−4.0675/5.17−0.7/−0.612,0−17.215.0−25.0
Petroleum DF, SoO-blended DF
Petroleum DF605/7.80-700/5.48-16.0-43.0-
90% DF + 10% SoO560/7.23−7.4/−7.3650/5.11−7.1/−6.910.0−37.531.0−27.9
Petroleum DF, CoO-blended DF
Petroleum DF600/7.37-650/5.44-18.0-40.0-
90% DF + 10% CoO550/6.77−8.3/−8.1620/5.11−4.6/−4.414.0−22.237.0−7.5
Petroleum DF, LO-blended DF
Petroleum DF605/7.38-700/5.87-16.0-43.0-
90% DF +10% LO570/6.96−5.8/−5.7690/5.80−1.4/−1.211.0−31.336.0−16.3
Petroleum DF, MO-blended DF
Petroleum DF550/6.30-640/5.01-17.0-42.0-
90% DF +10% MO545/6.25−0.9/−0.8625/4.90−2.3/−2.212.0−29.436.0−14.3
Petroleum DF, CaO-blended DF
Petroleum DF550/6.30-640/5.01-17.0-42.0-
90% DF + 10% CaO525/6.03−4.5/−4.3620/4.86−3.1/−3.015−11.836.0−14.3
Table 8. Emissions of CO and HC of the diesel engine D-245.12.S fueled with vegetable oil-blended DF in the maximum power mode (Nmax) and in the maximum torque mode (Mmax).
Table 8. Emissions of CO and HC of the diesel engine D-245.12.S fueled with vegetable oil-blended DF in the maximum power mode (Nmax) and in the maximum torque mode (Mmax).
Fuel TypeEngine Indicators
CCO in Nmax, ppm/g/kW·hΔCCO in Nmax, %CCO in Mmax, ppm/g/kW·hΔCCO in Mmax, %CHC in Nmax, ppm/g/kW·hΔCHC in Nmax, %CHC in Mmax, ppm/g/kW·hΔCHC in Mmax, %
Petroleum DF, RO-blended DF
Petroleum DF210/1.60-330/3.17-150/1.07-170/0.79-
90% DF + 10% RO200/1.52−4.8/−5.0305/2.92−7.6/7.9120/0.85−20.0/−20.5130/0.60−23.5/−24.0
Petroleum DF, SuO-blended DF
Petroleum DF165/1.02-315/2.01-105/0.41-82/0.32-
90% DF + 10% SuO160/0.99−3.0/−2.9270/1.73−14.3/−13.995/0.37−9.5/−9.773/0.29−11.0/−9.4
Petroleum DF, SoO-blended DF
Petroleum DF102/0.81-330/1.59-108/0.56-170/0.42-
90% DF + 10% SoO96/0.76−5.9/−6.2285/1.38−13.6/−13.299/0.52−8.3/−7.1150/0.37−11.8/−11.9
Petroleum DF, CoO-blended DF
Petroleum DF255/1.79-470/2.29-163/0.68-201/0.60-
90% DF + 10% CoO210/1.48−17.6/−17.3450/2.20−4.3/−3.9120/0.52−24.4/−23.5145/0.45−27.9/−25.0
Petroleum DF, LO-blended DF
Petroleum DF102/0.69-330/1.56-108/0.39-170/0.44-
90% DF +10% LO85/0.58−16.7/−15.9280/1.32−15.2/−15.483/0.30−23.1/−23.1130/0.34−23.5/−22.7
Petroleum DF, MO-blended DF
Petroleum DF100/0.71-300/1.47-76/0.28-130/0.34-
90% DF + 10% MO91/0.65−9.0/−8.5275/1.35−8.3/−8.261/0.23−19.7/−17.9105/0.28−19.2/−17.6
Petroleum DF, CaO-blended DF
Petroleum DF100/0.71-300/1.47-76/0.28-130/0.34-
90% DF + 10% CaO80/0.57−20.0/−19.7270/1.33−10.0/−9.560/0.23−21.1/−17.8116/0.31−10.8/−8.8
Table 9. Integral (average) parameters of the diesel engine D-245.12S running on petroleum DF and its blends with the investigated vegetable oils in the European 13-mode steady-state test cycle (ECE R49).
Table 9. Integral (average) parameters of the diesel engine D-245.12S running on petroleum DF and its blends with the investigated vegetable oils in the European 13-mode steady-state test cycle (ECE R49).
Fuel TypeEngine Indicators
geave, g/(kW·h)eNOx, g/(kW·h)eCO, g/(kW·h)eHC, g/(kW·h)
Petroleum DF, RO-blended DF
Petroleum DF247.207.4423.4821.519
90% DF + 10% RO250.797.3003.3321.202
Petroleum DF, SuO-blended DF
Petroleum DF230.526.6302.2100.580
90% DF + 10% SuO246.096.6492.0910.530
Petroleum DF, SoO-blended DF
Petroleum DF247.977.0181.7230.788
90% DF + 10% SoO251.425.8961.5480.762
Petroleum DF, CoO-blended DF
Petroleum DF244.326.5493.2771.104
90% DF + 10% CoO248.226.3372.8250.773
Petroleum DF, LO-blended DF
Petroleum DF247.977.0181.7230.788
90% DF + 10% LO252.266.4411.5110.664
Petroleum DF, MO-blended DF
Petroleum DF244.635.9112.1840.675
90% DF + 10% MO251.085.6892.0680.561
Petroleum DF, CaO-blended DF
Petroleum DF244.635.9112.1840.675
90% DF + 10% CaO255.575.3411.8530.585
Publisher’s Note: MDPI stays neutral with regard to jurisdictional claims in published maps and institutional affiliations.

Share and Cite

MDPI and ACS Style

Markov, V.; Kamaltdinov, V.; Devyanin, S.; Sa, B.; Zherdev, A.; Furman, V. Investigation of the Influence of Different Vegetable Oils as a Component of Blended Biofuel on Performance and Emission Characteristics of a Diesel Engine for Agricultural Machinery and Commercial Vehicles. Resources 2021, 10, 74. https://doi.org/10.3390/resources10080074

AMA Style

Markov V, Kamaltdinov V, Devyanin S, Sa B, Zherdev A, Furman V. Investigation of the Influence of Different Vegetable Oils as a Component of Blended Biofuel on Performance and Emission Characteristics of a Diesel Engine for Agricultural Machinery and Commercial Vehicles. Resources. 2021; 10(8):74. https://doi.org/10.3390/resources10080074

Chicago/Turabian Style

Markov, Vladimir, Vyacheslav Kamaltdinov, Sergey Devyanin, Bowen Sa, Anatoly Zherdev, and Viktor Furman. 2021. "Investigation of the Influence of Different Vegetable Oils as a Component of Blended Biofuel on Performance and Emission Characteristics of a Diesel Engine for Agricultural Machinery and Commercial Vehicles" Resources 10, no. 8: 74. https://doi.org/10.3390/resources10080074

APA Style

Markov, V., Kamaltdinov, V., Devyanin, S., Sa, B., Zherdev, A., & Furman, V. (2021). Investigation of the Influence of Different Vegetable Oils as a Component of Blended Biofuel on Performance and Emission Characteristics of a Diesel Engine for Agricultural Machinery and Commercial Vehicles. Resources, 10(8), 74. https://doi.org/10.3390/resources10080074

Note that from the first issue of 2016, this journal uses article numbers instead of page numbers. See further details here.

Article Metrics

Back to TopTop