High-Frequency Low-Current Second-Order Bandpass Active Filter Topology and Its Design in 28-nm FD-SOI CMOS
Abstract
1. Introduction
2. The Proposed Solution
2.1. Circuit Description
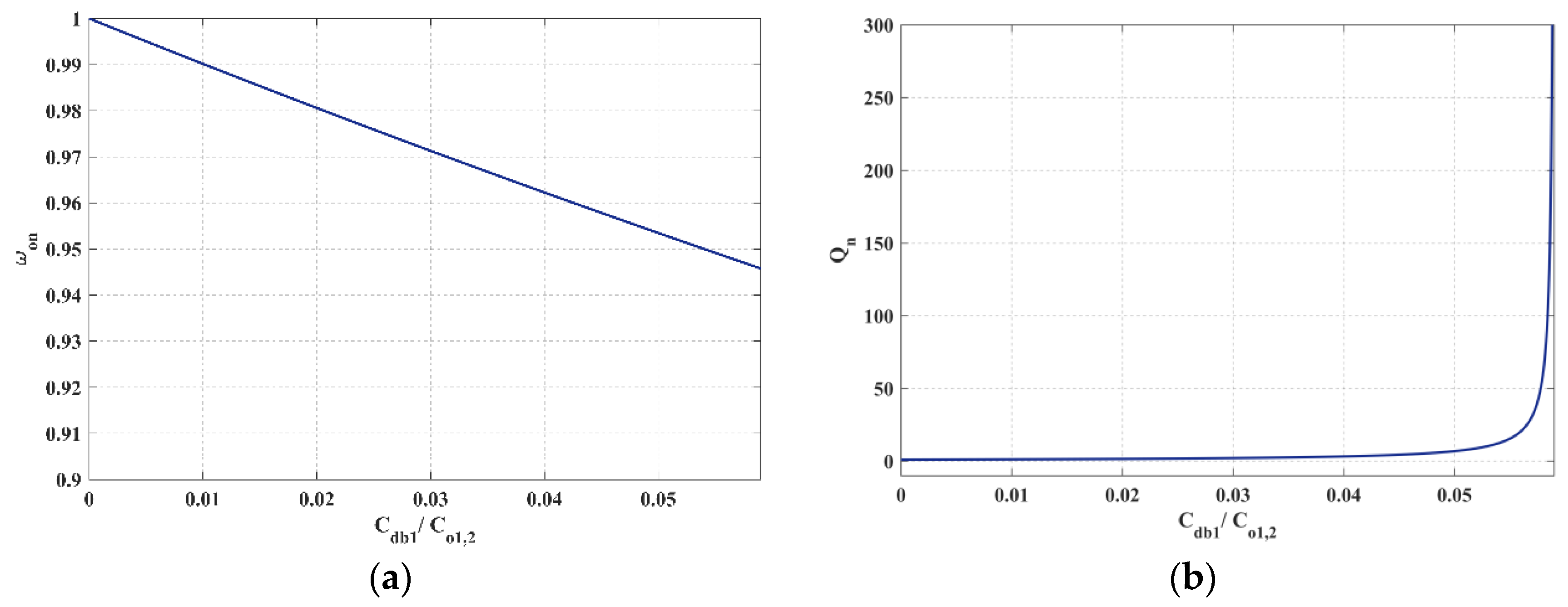
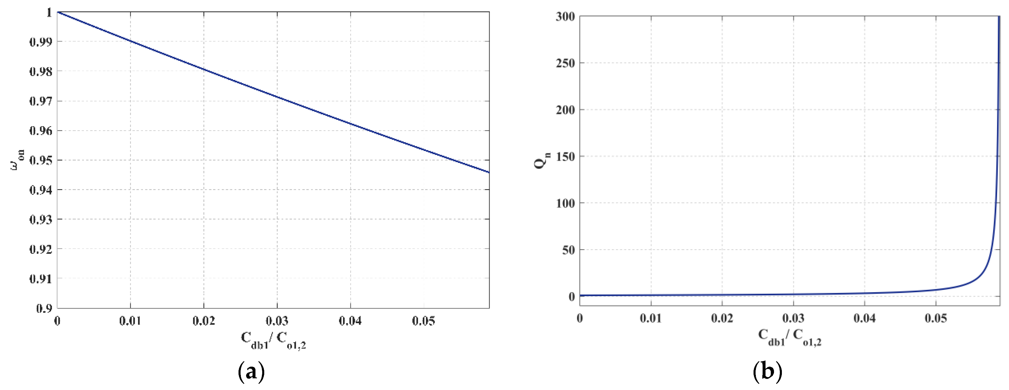
2.2. Circuit Analysis
3. Validation Results
4. Conclusions
Author Contributions
Funding
Conflicts of Interest
References
- Cathelin, A. Fully Depleted Silicon on Insulator Devices CMOS: The 28-nm Node Is the Perfect Technology for Analog, RF, mmW, and Mixed-Signal System-on-Chip Integration. IEEE Solid-State Circuits Mag. 2017, 9, 18–26. [Google Scholar] [CrossRef]
- Fridi, A.R.; Zhang, C.; Bellaouar, A.; Tran, M. A Low Power Fully-Integrated 76-81 GHz ADPLL for Automotive Radar Applications with 150 MHz/us FMCW Chirp Rate and -95dBc/Hz Phase Noise at 1 MHz Offset in FDSOI. In Proceedings of the 2019 IEEE Radio Frequency Integrated Circuits Symposium (RFIC), Boston, MA, USA, 2–4 June 2019; pp. 327–330. [Google Scholar]
- Couso, C.; Martin-Martinez, J.; Porti, M.; Nafría, M. Performance and Power Consumption Trade-Off in UTBB FDSOI Inverters Operated at NTV for IoT Applications. IEEE J. Electron Devices Soc. 2018, 6, 55–62. [Google Scholar] [CrossRef]
- Le, Q.H.; Huynh, D.K.; Wang, D.; Kämpfe, T.; Lehmann, S. DC-110 GHz Characterization of 22FDX® FDSOI Transistors for 5G Transmitter Front-End. In Proceedings of the ESSDERC 2019—49th European Solid-State Device Research Conference (ESSDERC), Cracow, Poland, 23–26 September 2019; pp. 218–221. [Google Scholar]
- Ayele, G.T.; Monfray, S.; Ecoffey, S.; Boeuf, F.; Cloarec, J.P.; Drouin, D.; Souifi, A. Ultrahigh-Sensitive CMOS pH Sensor Developed in the BEOL of Standard 28 nm UTBB FDSOI. IEEE J. Electron Devices Soc. 2018, 6, 1026–1032. [Google Scholar] [CrossRef]
- Kargaran, E.; Guo, B.; Manstretta, D.; Castello, R. A Sub-1-V, 350-μW, 6.5-dB Integrated NF Low-IF Receiver Front-End for IoT in 28-nm CMOS. IEEE Solid-State Circuits Lett. 2019, 2, 29–32. [Google Scholar] [CrossRef]
- Elsayed, O.; Zarate-Roldan, J.; Abuellil, A.; Hussien, F.A.; Eladawy, A.; Sánchez-Sinencio, E. Highly Linear Low-Power Wireless RF Receiver for WSN. IEEE Trans. VLSI Syst. 2019, 27, 1007–1016. [Google Scholar] [CrossRef]
- Abella, C.S.; Bonina, S.; Cucuccio, A.; D’Angelo, S.; Giustolisi, G.; Grasso, A.D.; Imbruglia, A.; Mauro, G.S.; Nastasi, G.A.; Palumbo, G.; et al. Autonomous Energy-Efficient Wireless Sensor Network Platform for Home/Office Automation. IEEE Sens. J. 2019, 19, 3501–3512. [Google Scholar] [CrossRef]
- Kim, B.; Lee, J.; Lee, J.; Jung, B.; Chappell, W.J. RF CMOS Integrated On-Chip Tunable Absorptive Bandstop Filter Using Q-Tunable Resonators. IEEE Trans. Electron Devices 2013, 60, 1730–1737. [Google Scholar] [CrossRef]
- Lee, M.; Wu, H.; Tzuang, C.K.C. 1.58-GHz Third-Order CMOS Active Bandpass Filter with Improved Passband Flatness. IEEE Trans. Microw. Theory Tech. 2011, 59, 2275–2284. [Google Scholar] [CrossRef]
- Wang, S.; Chang, R.H. 2.4 GHz CMOS bandpass filter using active transmission line. Electron. Lett. 2016, 52, 371–372. [Google Scholar] [CrossRef]
- Nguyen, H.; Kim, K.; Han, S.; Lee, J.; Kim, C.; Lee, S. A Low-Power Interference-Tolerance Wideband Receiver for 802.11af/ah Long-Range Wi-Fi with Post-LNA Active N-Path Filter. IEEE Trans. Microw. Theory Tech. 2018, 66, 2287–2298. [Google Scholar] [CrossRef]
- Amin, F.; Raman, S.; Koh, K. Integrated Synthetic Fourth-Order Q-Enhanced Bandpass Filter with High Dynamic Range, Tunable Frequency, and Fractional Bandwidth Control. IEEE J. Solid-State Circuits 2019, 54, 768–784. [Google Scholar] [CrossRef]
- Lechevallier, J.; Struiksma, R.; Sherry, H.; Cathelin, A.; Klumperink, E.; Nauta, B. 5.5 A forward-body-bias tuned 450MHz Gm-C 3rd-order low-pass filter in 28nm UTBB FD-SOI with >1dBVp IIP3 over a 0.7-to-1V supply. In Proceedings of the 2015 IEEE International Solid-State Circuits Conference—(ISSCC) Digest of Technical Papers, San Francisco, CA, USA, 22–26 February 2015; pp. 1–3. [Google Scholar]
- Wang, S.; Lin, W. C-band complementary metal-oxide-semiconductor bandpass filter using active capacitance circuit. IET Microw. Antennas Propag. 2014, 8, 1416–1422. [Google Scholar] [CrossRef]
- Zhang, Y.; Kinget, P.R.; Pun, K. A 0.032-mm² 43.3-fJ/Step 100-200-MHz IF 2-MHz Bandwidth Bandpass DSM Based on Passive N-Path Filters. IEEE J. Solid-State Circuits 2020. early access. [Google Scholar] [CrossRef]
- Monsurró, P.; Pennisi, S.; Scotti, G.; Trifiletti, A. Exploiting the Body of MOS Devices for High Performance Analog Design. IEEE Circuits Syst. Mag. 2011, 11, 8–23. [Google Scholar] [CrossRef]
- Ballo, A.; Grasso, A.D.; Pennisi, S. Active load with cross-coupled bulk for high-gain high-CMRR nanometer CMOS differential stages. Int. J. Circuit Theory Appl. 2019, 47, 1700–1704. [Google Scholar] [CrossRef]
- Cellucci, D.; Centurelli, F.; Di Stefano, V.; Monsurrò, P.; Pennisi, S.; Scotti, G.; Trifiletti, A. 0.6-V CMOS cascode OTA with complementary gate-driven gain-boosting and forward body bias. Int. J. Circuit Theory Appl. 2020, 48, 15–27. [Google Scholar] [CrossRef]
- Gao, Z.; Ma, J.; Yu, M.; Ye, Y. A fully integrated CMOS active bandpass filter for multiband RF front-ends. IEEE Trans. Circuits Syst. II Expr. Briefs 2008, 55, 718–722. [Google Scholar]
- Kumar, V.; Mehra, R.; Islam, A. A 2.5 GHz Low Power, High-Q, Reliable Design of Active Bandpass Filter. IEEE Trans. Device Mater. Reliab. 2017, 17, 229–244. [Google Scholar] [CrossRef]
- Dülger, F.; Sánchez-Sinencio, E.; Silva-Martínez, J. A 1.3-V 5-mW fully integrated tunable bandpass filter at 2.1 GHz in 0.35-µm CMOS. IEEE J. Solid-State Circuits 2003, 38, 918–928. [Google Scholar]
- Kuhn, W.B.; Nobbe, D.; Kelly, D.; Orsborn, A.W. Dynamic range performance of on-chip RF bandpass filter. IEEE Trans. Circuits Syst. II Analog Digit. Signal Process. 2003, 50, 685–694. [Google Scholar] [CrossRef]
- He, X.; Kuhn, W.B. A 2.5-GHz low-power, high dynamic range, self-tuned Q-enhanced LC filter in SOI. IEEE J. Solid-State Circuits 2005, 40, 1618–1628. [Google Scholar]








| Parameter | Value [nm/nm] | Parameter | Value [nm/nm] |
|---|---|---|---|
| (W/L)1 | 180/90 | (W/L)9 | 360/90 |
| (W/L)2 | 315/90 | (W/L)10 | 360/90 |
| (W/L)3 | 360/90 | (W/L)11 | 180/90 |
| (W/L)4 | 360/90 | CIN | 200 fF |
| (W/L)5 | 360/90 | VDD | 1 V |
| (W/L)6 | 360/90 | IB | 1 μA |
| (W/L)7 | 360/90 | VB | 0.5 V |
| (W/L)8 | 360/90 |
| Parameter | Value |
|---|---|
| gm1 = gm11 | 18.1 μA/V |
| gmb1 | 1.4 μA/V |
| gm2 | 18.9 μA/V |
| ro1 | 2.03 MΩ |
| ro2 | 2.01 MΩ |
| Co1 | 640 aF |
| Co2 | 450 aF |
| Cdb1 | 30 aF |
| CIN | 200 fF |
| This Work a | [22] | [23] | [24] | [20] | [21] a | |
|---|---|---|---|---|---|---|
| Technology | 28 nm FDSOI | 0.35 μm | 0.5 μm | 0.5 μm SOI | 0.18 μm | 45 nm |
| Filter order | 2 | 2 | 2 | 2 | 2 | 2 |
| Resonant freq. (GHz) | 1.33 | 2.19 | 0.9 | 2.5 | 2.44 | 2.511 |
| Quality factor | 164 | 43 | 45 | 36 | 60 | 69 |
| Supply voltage (V) | 1 | 1.2 | 3 | 3 | 1.8 | ±1 |
| Power (mW) | 0.006 | 5.2 | 39 | 15 | 10.8 | 0.168 |
| Noise figure (dB) | 31 | 26.8 | 21 | 6 | 18 | 29.62 |
| P1dB (dBm) | −20.5 | −30 | −5.5 | −15 | −15 | −1.5 |
| FOM (dB) | 87 | 49 | 67 | 80 | 71 | 92 |
© 2020 by the authors. Licensee MDPI, Basel, Switzerland. This article is an open access article distributed under the terms and conditions of the Creative Commons Attribution (CC BY) license (http://creativecommons.org/licenses/by/4.0/).
Share and Cite
Ballo, A.; Grasso, A.D.; Pennisi, S.; Venezia, C. High-Frequency Low-Current Second-Order Bandpass Active Filter Topology and Its Design in 28-nm FD-SOI CMOS. J. Low Power Electron. Appl. 2020, 10, 27. https://doi.org/10.3390/jlpea10030027
Ballo A, Grasso AD, Pennisi S, Venezia C. High-Frequency Low-Current Second-Order Bandpass Active Filter Topology and Its Design in 28-nm FD-SOI CMOS. Journal of Low Power Electronics and Applications. 2020; 10(3):27. https://doi.org/10.3390/jlpea10030027
Chicago/Turabian StyleBallo, Andrea, Alfio Dario Grasso, Salvatore Pennisi, and Chiara Venezia. 2020. "High-Frequency Low-Current Second-Order Bandpass Active Filter Topology and Its Design in 28-nm FD-SOI CMOS" Journal of Low Power Electronics and Applications 10, no. 3: 27. https://doi.org/10.3390/jlpea10030027
APA StyleBallo, A., Grasso, A. D., Pennisi, S., & Venezia, C. (2020). High-Frequency Low-Current Second-Order Bandpass Active Filter Topology and Its Design in 28-nm FD-SOI CMOS. Journal of Low Power Electronics and Applications, 10(3), 27. https://doi.org/10.3390/jlpea10030027

