Occurrence and Distribution of Tetrabromobisphenol A and Diversity of Microbial Community Structure in the Sediments of Mangrove
Abstract
Simple Summary
Abstract
1. Introduction
2. Materials and Methods
2.1. Study Area and Sediment Collection
2.2. Pretreatment of Samples
2.3. Physical and Chemical Analysis
2.3.1. Analysis of Selected Sediment
2.3.2. Extraction and Purification of TBBPA
2.3.3. Instrumental Analysis of TBBPA
2.4. DNA Extraction and PCR Amplification
2.5. Quality Assurance and Statistical Analysis
3. Results
3.1. Occurrence and Distribution of TBBPA in Mangrove Sediments
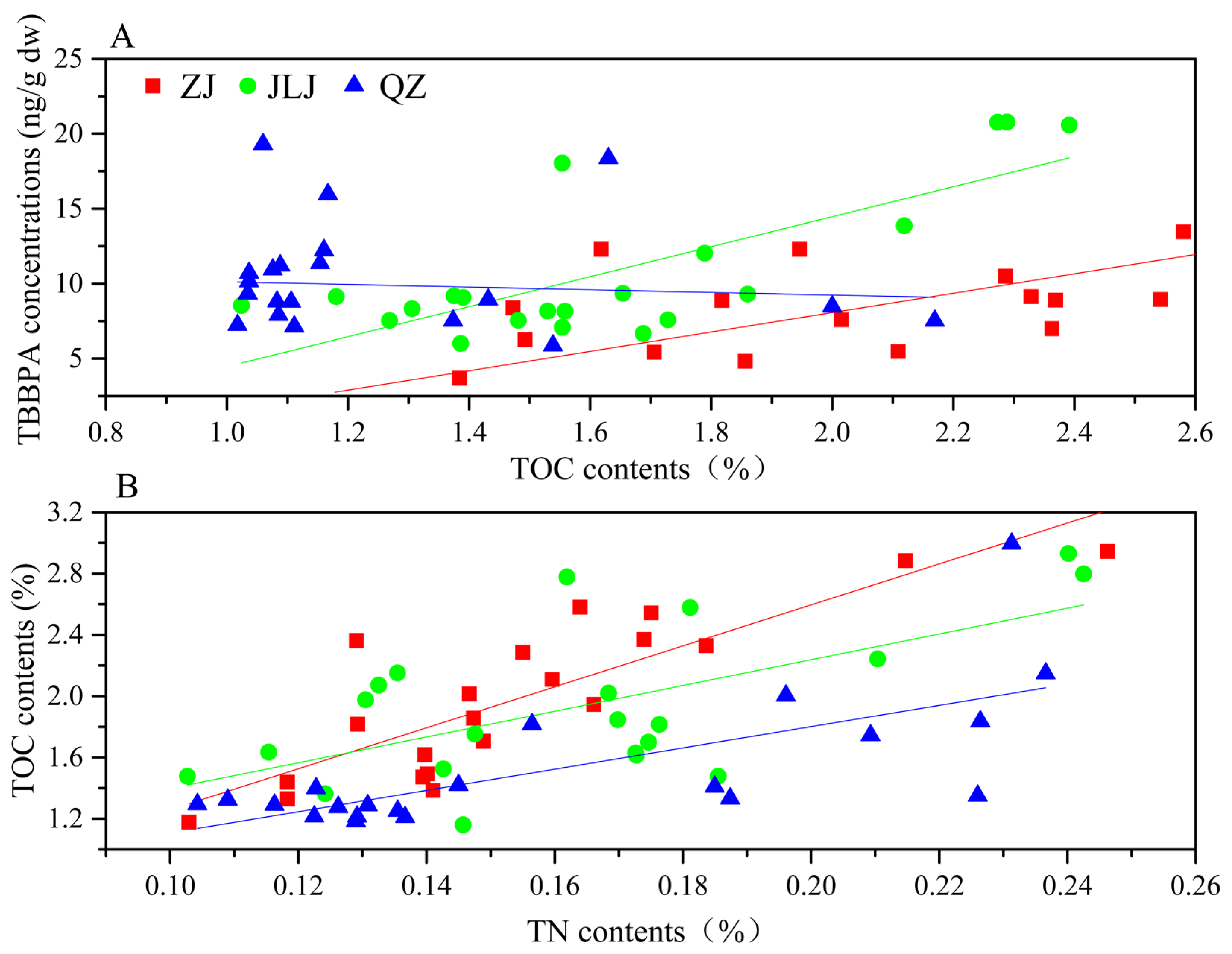
3.2. Correlation between TBBPA and Environmental Factors
3.3. Microbial Community Diversity
3.4. Microbial Community Composition in Mangrove Sediments
3.5. Dynamics of Microbial Community
3.6. Correlations of Microbial Community with Environmental Characteristics
4. Discussion
5. Conclusions
Supplementary Materials
Author Contributions
Funding
Institutional Review Board Statement
Informed Consent Statement
Data Availability Statement
Acknowledgments
Conflicts of Interest
References
- Covaci, A.; Voorspoels, S.; Abdallah, M.A.E.; Geens, T.; Harrad, S.; Law, R.J. Analytical and environmental aspects of the flame retardant tetrabromobisphenol-A and its derivatives. J. Chromatogr. A. 2009, 1216, 346–363. [Google Scholar] [CrossRef] [PubMed]
- Okeke, E.S.; Huang, B.; Mao, G.; Chen, Y.; Zhengjia, Z.; Qian, X.; Wu, X.; Feng, W. Review of the environmental occurrence, analytical techniques, degradation and toxicity of TBBPA and its derivatives. Environ. Res. 2022, 206, 112594. [Google Scholar] [CrossRef] [PubMed]
- Abdallah, M.A.-E. Environmental occurrence, analysis and human exposure to the flame retardant tetrabromobisphenol A (TBBPA)-A review. Environ. Int. 2016, 94, 235–250. [Google Scholar] [CrossRef] [PubMed]
- Malkoske, T.; Tang, Y.; Xu, W.; Yu, S.; Wang, H. A review of the environmental distribution, fate, and control of tetrabromobisphenol A released from sources. Sci. Total Environ. 2016, 569, 1608–1617. [Google Scholar] [CrossRef]
- Liu, K.; Li, J.; Yan, S.; Zhang, W.; Li, Y.; Han, D. A review of status of tetrabromobisphenol A (TBBPA) in China. Chemosphere 2016, 148, 8–20. [Google Scholar] [CrossRef] [PubMed]
- Wu, H.; Wang, J.; Xiang, Y.; Li, L.; Qie, H.; Ren, M.; Lin, A.; Qi, F. Effects of tetrabromobisphenol A (TBBPA) on the reproductive health of male rodents: A systematic review and meta-analysis. Sci. Total Environ. 2021, 781, 146745. [Google Scholar] [CrossRef] [PubMed]
- Feiteiro, J.; Rocha, S.M.; Mariana, M.; Maia, C.J.; Cairrão, E. Pathways involved in the human vascular Tetrabromobisphenol A response: Calcium and potassium channels and nitric oxide donors. Toxicology 2022, 470, 153158. [Google Scholar] [CrossRef] [PubMed]
- Basha, S.C. An overview on global mangroves distribution. Indian. J. Mar. 2018, 47, 7. [Google Scholar]
- Bayen, S. Occurrence, bioavailability and toxic effects of trace metals and organic contaminants in mangrove ecosystems: A review. Environ. Int. 2012, 48, 84–101. [Google Scholar] [CrossRef]
- Wu, Q.; Leung, J.Y.S.; Tam, N.F.Y.; Peng, Y.; Guo, P.; Zhou, S.; Li, Q.; Geng, X.; Miao, S. Contamination and distribution of heavy metals, polybrominated diphenyl ethers and alternative halogenated flame retardants in a pristine mangrove. Mar. Pollut. Bull. 2016, 103, 344–348. [Google Scholar] [CrossRef]
- Zhang, Z.; Pei, N.; Sun, Y.; Li, J.; Li, X.; Yu, S.; Xu, X.; Hu, Y.; Mai, B. Halogenated organic pollutants in sediments and organisms from mangrove wetlands of the Jiulong River Estuary, South China. Environ. Res. 2019, 171, 145–152. [Google Scholar] [CrossRef] [PubMed]
- Li, Y.; Huang, R.; Hu, L.; Zhang, C.; Xu, X.; Song, L.; Wang, Z.; Pan, X.; Christakos, G.; Wu, J. Microplastics distribution in different habitats of Ximen Island and the trapping effect of blue carbon habitats on microplastics. Mar. Pollut. Bull. 2022, 181, 113912. [Google Scholar] [CrossRef] [PubMed]
- Hu, Y.; Pei, N.; Sun, Y.; Xu, X.; Zhang, Z.; Li, H.; Wang, W.; Zuo, L.; Xiong, Y.; Zeng, Y.; et al. Halogenated flame retardants in mangrove sediments from the Pearl River Estuary, South China: Comparison with historical data and correlation with microbial community. Chemosphere 2019, 227, 315–322. [Google Scholar] [CrossRef]
- Zhang, X.L.; Luo, X.J.; Chen, S.J.; Wu, J.P.; Mai, B.X. Spatial distribution and vertical profile of polybrominated diphenyl ethers, tetrabromobisphenol A, and decabromodiphenylethane in river sediment from an industrialized region of South China. Environ. Pollut. 2009, 157, 1917–1923. [Google Scholar] [CrossRef]
- Rani, M.; Keshu, M.; Sillanpää, M.; Shanker, U. An updated review on environmental occurrence, scientific assessment and removal of brominated flame retardants by engineered nanomaterials. J. Environ. Manag. 2022, 321, 115998. [Google Scholar] [CrossRef]
- Zhou, Q.X.; Wang, Y.Q.; Xiao, J.P.; Zhan, Y.L. Preparation of magnetic core–shell Fe3O4@polyaniline composite material and its application in adsorption and removal of tetrabromobisphenol A and decabromodiphenyl ether. Ecotoxicol. Environ. Saf. 2019, 183, 109471. [Google Scholar] [CrossRef] [PubMed]
- Ronen, Z.; Abeliovich, A. Anaerobic-aerobic process for microbial degradation of Tetrabromobisphenol, A. Appl. Environ. Microbiol. 2000, 66, 2372–2377. [Google Scholar] [CrossRef]
- Voordeckers, J.W.; Fennell, D.E.; Jones, K.; Häggblom, M.M. Anaerobic biotransformation of tetrabromobisphenol A, tetrachlorobisphenol A, and bisphenol A in estuarine sediments. Environ. Sci. Technol. 2002, 36, 696–701. [Google Scholar] [CrossRef]
- George, K.W.; Häggblom, M.M. Microbial o-methylation of the flame retardant Tetrabromobisphenol-A. Environ. Sci. Technol. 2008, 42, 5555–5561. [Google Scholar] [CrossRef]
- Xu, S.; Wang, Y.F.; Yang, L.Y.; Ji, R.; Miao, A.J. Transformation of tetrabromobisphenol A by Rhodococcus jostii RHA1: Effects of heavy metals. Chemosphere 2018, 196, 206–213. [Google Scholar] [CrossRef]
- Huang, W. Co-metabolic degradation of tetrabromobisphenol A by Pseudomonas aeruginosa and its auto-poisoning effect caused during degradation process. Ecotoxicol. Environ. Saf. 2020, 9, 110919. [Google Scholar] [CrossRef] [PubMed]
- Peng, X.; Zheng, Q.; Liu, L.; He, Y.; Li, T.; Jia, X. Efficient biodegradation of tetrabromobisphenol A by the novel strain Enterobacter sp. T2 with good environmental adaptation: Kinetics, pathways and genomic characteristics. J. Hazard. Mater. 2022, 429, 128335. [Google Scholar] [CrossRef]
- Xiong, J.; An, T.; Li, G.; Peng, P. Accelerated biodegradation of BPA in water-sediment microcosms with Bacillus sp. GZB and the associated bacterial community structure. Chemosphere 2017, 184, 120–126. [Google Scholar] [CrossRef] [PubMed]
- Bhattacharyya, A.; Haldar, A.; Bhattacharyya, M.; Ghosh, A. Anthropogenic influence shapes the distribution of antibiotic resistant bacteria (ARB) in the sediment of Sundarban estuary in India. Sci. Total Environ. 2019, 647, 1626–1639. [Google Scholar] [CrossRef] [PubMed]
- Mukherji, S.; Ghosh, A.; Bhattacharyya, C.; Mallick, I.; Bhattacharyya, A.; Mitra, S.; Ghosh, A. Molecular and culture-based surveys of metabolically active hydrocarbon-degrading archaeal communities in Sundarban mangrove sediments. Ecotoxicol. Environ. Saf. 2020, 195, 110481. [Google Scholar] [CrossRef]
- Pan, Y.; Chen, J.; Zhou, H.; Farzana, S.; Tam, N.F.Y. Vertical distribution of dehalogenating bacteria in mangrove sediment and their potential to remove polybrominated diphenyl ether contamination. Mar. Pollut. Bull. 2017, 124, 1055–1062. [Google Scholar] [CrossRef]
- Wang, Y.; Wu, Y.; Pi, N.; Tam, N.F. Investigation of microbial community structure in constructed mangrove microcosms receiving wastewater-borne polycyclic aromatic hydrocarbons (PAHs) and polybrominated diphenyl ethers (PBDEs). Environ. Pollut. 2014, 187, 136–144. [Google Scholar] [CrossRef]
- Wang, Y.; Wu, Y.; Wu, Z.; Tam, N.F.Y. Genotypic responses of bacterial community structure to a mixture of wastewater-borne PAHs and PBDEs in constructed mangrove microcosms. J. Hazard. Mater. 2015, 298, 91–101. [Google Scholar] [CrossRef]
- Chen, M.M.; Nie, F.H.; Qamar, A.; Zhu, D.; Hu, Y.; Zhang, M.; Song, Q.L.; Lin, H.Y.; Chen, Z.B.; Liu, S.Q.; et al. Effects of microplastics on microbial community in zhanjiang mangrove sediments. Bull. Environ. Contam. Toxicol. 2022, 108, 867–877. [Google Scholar] [CrossRef]
- Liu, J.L.; Wu, H.; Feng, J.X.; Li, Z.J.; Lin, G.H. Heavy metal contamination and ecological risk assessments in the sediments and zoobenthos of selected mangrove ecosystems, South China. Catena 2014, 119, 136–142. [Google Scholar] [CrossRef]
- Wu, H.; Liu, J.; Bi, X.; Lin, G.; Feng, C.; Li, Z.; Qi, F.; Zheng, T.; Xie, L. Trace metals in sediments and benthic animals from aquaculture ponds near a mangrove wetland in Southern China. Mar. Pollut. Bull. 2017, 117, 486–491. [Google Scholar] [CrossRef] [PubMed]
- Ghoveisi, H.; Feng, N.; Boularbah, A.; Bitton, G.; Bonzongo, J.C.J. Effect of aging and wet-dry cycles on the elimination of the bioavailable fractions of Cu and Zn in contaminated soils by Zero Valent Iron and Magnetic separation technique. J. Environ. Eng. 2018, 144, 04018068. [Google Scholar] [CrossRef]
- Sánchez-Brunete, C.; Miguel, E.; Tadeo, J.L. Determination of tetrabromobisphenol-A, tetrachlorobisphenol-A and bisphenol-A in soil by ultrasonic assisted extraction and gas chromatography–mass spectrometry. J. Chromat. A 2009, 1216, 5497–5503. [Google Scholar] [CrossRef] [PubMed]
- Xu, N.; Tan, G.; Wang, H.; Gai, X. Effect of biochar additions to soil on nitrogen leaching, microbial biomass and bacterial community structure. Eur. J. Soil. Biol. 2016, 74, 1–8. [Google Scholar] [CrossRef]
- Zhang, H.; Bayen, S.; Kelly, B.C. Co-extraction and simultaneous determination of multi-class hydrophobic organic contaminants in marine sediments and biota using GC-EI-MS/MS and LC-ESI-MS/MS. Talanta 2015, 143, 7–18. [Google Scholar] [CrossRef]
- Li, H.; Hu, Y.; Sun, Y.; De Silva, A.O.; Muir, D.C.G.; Wang, W.; Xie, J.; Xu, X.; Pei, N.; Xiong, Y.; et al. Bioaccumulation and translocation of tetrabromobisphenol A and hexabromocyclododecanes in mangrove plants from a national nature reserve of Shenzhen City, South China. Environ. Int. 2019, 129, 239–246. [Google Scholar] [CrossRef]
- Maskaoui, K.; Zhou, J.L.; Zheng, T.L.; Hong, H.; Yu, Z. Organochlorine micropollutants in the Jiulong River Estuary and Western Xiamen Sea, China. Mar. Pollut. Bull. 2005, 51, 950–959. [Google Scholar] [CrossRef]
- Watanabe, I.; Kashimoto, T.; Tatsukawa, R. Identification of the flame retardant tetrabromobisphenol-A in the river sediment and the mussel collected in Osaka. Bull. Environ. Contam. Toxicol. 1983, 31, 48–52. [Google Scholar] [CrossRef]
- Morris, S.; Allchin, C.R.; Zegers, B.N.; Haftka, J.J.H.; Boon, J.P.; Belpaire, C.; Leonards, P.E.G.; van Leeuwen, S.P.J.; de Boer, J. Distribution and fate of HBCD and TBBPA brominated flame retardants in north sea estuaries and aquatic food webs. Environ. Sci. Technol. 2004, 38, 5497–5504. [Google Scholar] [CrossRef]
- Guerra, P.; Eljarrat, E.; Barceló, D. Simultaneous determination of hexabromocyclododecane, tetrabromobisphenol A, and related compounds in sewage sludge and sediment samples from Ebro River basin (Spain). Anal. Bioanal. Chem. 2010, 397, 2817–2824. [Google Scholar] [CrossRef]
- Gorga, M.; Martínez, E.; Ginebreda, A.; Eljarrat, E.; Barceló, D. Determination of PBDEs, HBB, PBEB, DBDPE, HBCD, TBBPA and related compounds in sewage sludge from Catalonia (Spain). Sci. Total Environ. 2013, 444, 51–59. [Google Scholar] [CrossRef]
- Tang, J.; Feng, J.; Li, X.; Li, G. Levels of flame retardants HBCD, TBBPA and TBC in surface soils from an industrialized region of East China. Environ. Sci. Proc. Imp. 2014, 16, 1015–1021. [Google Scholar] [CrossRef] [PubMed]
- Matsukami, H.; Tue, N.M.; Suzuki, G.; Someya, M.; Tuyen, L.H.; Viet, P.H.; Takahashi, S.; Tanabe, S.; Takigami, H. Flame retardant emission from e-waste recycling operation in northern Vietnam: Environmental occurrence of emerging organophosphorus esters used as alternatives for PBDEs. Sci. Total Environ. 2015, 514, 492–499. [Google Scholar] [CrossRef]
- Huang, D.Y.; Zhao, H.Q.; Liu, C.P.; Sun, C.X. Characteristics, sources, and transport of tetrabromobisphenol A and bisphenol A in soils from a typical e-waste recycling area in South China. Environ. Sci. Pollut. Res. 2014, 21, 5818–5826. [Google Scholar] [CrossRef] [PubMed]
- Zhu, Z.C.; Chen, S.J.; Zheng, J.; Tian, M.; Feng, A.H.; Luo, X.J.; Mai, B.X. Occurrence of brominated flame retardants (BFRs), organochlorine pesticides (OCPs), and polychlorinated biphenyls (PCBs) in agricultural soils in a BFR-manufacturing region of North China. Sci. Total Environ. 2014, 481, 47–54. [Google Scholar] [CrossRef]
- Feng, A.H.; Chen, S.J.; Chen, M.Y.; He, M.J.; Luo, X.J.; Mai, B.X. Hexabromocyclododecane (HBCD) and tetrabromobisphenol A (TBBPA) in riverine and estuarine sediments of the Pearl River Delta in Southern China, with emphasis on spatial variability in diastereoisomer- and enantiomer-specific distribution of HBCD. Mar. Pollut. Bull. 2012, 64, 919–925. [Google Scholar] [CrossRef] [PubMed]
- He, M.J.; Luo, X.J.; Yu, L.H.; Wu, J.P.; Chen, S.J.; Mai, B.X. Diasteroisomer and enantiomer-specific profiles of hexabromocyclododecane and tetrabromobisphenol A in an aquatic environment in a highly industrialized area, South China: Vertical profile, phase partition, and bioaccumulation. Environ. Pollut. 2013, 179, 105–110. [Google Scholar] [CrossRef] [PubMed]
- Ren, G.; Yan, X.; Chu, X.; Cai, Y.; Shi, Y.; Zheng, K.; Yu, Z. Polybrominated diphenyl ethers and polychlorinated biphenyls in mangrove sediments of Shantou, China: Occurrence, profiles, depth-distribution, and risk assessment. Ecotoxicol. Environ. Saf. 2019, 183, 109564. [Google Scholar] [CrossRef]
- Cornelissen, G.; Gustafsson, Ö.; Bucheli, T.D.; Jonker, M.T.O.; Koelmans, A.A.; Van Noort, P.C.M. Extensive sorption of organic compounds to black carbon, coal, and kerogen in sediments and soils: Mechanisms and consequences for distribution, bioaccumulation, and biodegradation. Environ. Sci. Technol. 2005, 39, 6881–6895. [Google Scholar] [CrossRef]
- Nam, J.J.; Gustafsson, O.; Kurt-Karakus, P.; Breivik, K.; Steinnes, E.; Jones, K.C. Relationships between organic matter, black carbon and persistent organic pollutants in European background soils: Implications for sources and environmental fate. Environ. Pollut. 2008, 156, 809–817. [Google Scholar] [CrossRef]
- Malik, R.N.; Mehboob, F.; Ali, U.; Katsoyiannis, A.; Schuster, J.K.; Moeckel, C.; Jones, K.C. Organo-halogenated contaminants (OHCs) in the sediments from the Soan River, Pakistan: OHCs(adsorbed TOC) burial flux, status and risk assessment. Sci. Total Environ. 2014, 481, 343–351. [Google Scholar] [CrossRef] [PubMed]
- Luo, X.J.; Zhang, X.L.; Chen, S.J.; Mai, B.X. Free and bound polybrominated diphenyl ethers and tetrabromobisphenol A in freshwater sediments. Mar. Pollut. Bull. 2010, 60, 718–724. [Google Scholar] [CrossRef] [PubMed]
- Pan, Y.F.; Liu, S.; Tian, F.; Chen, H.G.; Xu, X.R. Tetrabromobisphenol A and hexabromocyclododecanes in sediments from fishing ports along the coast of South China: Occurrence, distribution and ecological risk. Chemosphere 2022, 302, 134872. [Google Scholar] [CrossRef]
- García-Sánchez, M.; Košnář, Z.; Mercl, F.; Aranda, E.; Tlustoš, P. A comparative study to evaluate natural attenuation, mycoaugmentation, phytoremediation, and microbial-assisted phytoremediation strategies for the bioremediation of an aged PAH-polluted soil. Ecotoxicol. Environ. Saf. 2018, 147, 165–174. [Google Scholar] [CrossRef]
- Liu, J.; Chen, X.; Shu, H.; Lin, X.; Zhou, Q.; Bramryd, T.; Shu, W.; Huang, L. Microbial community structure and function in sediments from e-waste contaminated rivers at Guiyu area of China. Environ. Pollut. 2018, 235, 171–179. [Google Scholar] [CrossRef] [PubMed]
- Zanaroli, G.; Balloi, A.; Negroni, A.; Borruso, L.; Daffonchio, D.; Fava, F. A Chloroflexi bacterium dechlorinates polychlorinated biphenyls in marine sediments under in situ-like biogeochemical conditions. J. Hazard. Mater. 2012, 209, 449–457. [Google Scholar] [CrossRef] [PubMed]
- Zanaroli, G.; Negroni, A.; Häggblom, M.M.; Fava, F. Microbial dehalogenation of organohalides in marine and estuarine environments. Curr. Opin. Biotech. 2015, 33, 287–295. [Google Scholar] [CrossRef]
- Zhu, H.; Wang, Y.; Tam, N.F.Y. Microcosm study on fate of polybrominated diphenyl ethers (PBDEs) in contaminated mangrove sediment. J. Hazard. Mater. 2014, 265, 61–68. [Google Scholar] [CrossRef]
- Wang, Y.; Fang, L.; Lin, L.; Luan, T.; Tam, N.F.Y. Effects of low molecular-weight organic acids and dehydrogenase activity in rhizosphere sediments of mangrove plants on phytoremediation of polycyclic aromatic hydrocarbons. Chemosphere 2014, 99, 152–159. [Google Scholar] [CrossRef]
- Wang, Y.F.; Zhu, H.W.; Wang, Y.; Zhang, X.L.; Tam, N.F.Y. Diversity and dynamics of microbial community structure in different mangrove, marine and freshwater sediments during anaerobic debromination of PBDEs. Front. Microbiol. 2018, 9, 00952. [Google Scholar] [CrossRef]
- Essien, J.P.; Ebong, G.A.; Asuquo, J.E.; Olajire, A.A. Hydrocarbons contamination and microbial degradation in mangrove sediments of the Niger Delta Region (Nigeria). Chem. Ecol. 2012, 28, 421–434. [Google Scholar] [CrossRef]
- Yang, C.W.; Chen, W.Z.; Chang, B.V. Biodegradation of tetrabromobisphenol-A in sludge-amended soil. Ecol. Eng. 2016, 91, 143–147. [Google Scholar] [CrossRef]
- Chen, J.; Wang, C.; Shen, Z.J.; Gao, G.F.; Zheng, H.L. Insight into the long-term effect of mangrove species on removal of polybrominated diphenyl ethers (PBDEs) from BDE-47 contaminated sediments. Sci. Total Environ. 2017, 575, 390–399. [Google Scholar] [CrossRef] [PubMed]
- Drew, C.M.A.; Charles, A.P.; Alison, M.W. Biotransformation of tetrabromobisphenol A (TBBPA) in anaerobic digester sludge, soils, and freshwater sediments. Ecotoxicol. Environ. Saf. 2016, 131, 143–150. [Google Scholar]
- Chen, X.; Xu, Y.; Fan, M.; Chen, Y.; Shen, S. The stimulatory effect of humic acid on the co-metabolic biodegradation of tetrabromobisphenol A in bioelectrochemical system. J. Environ. Manag. 2019, 235, 350–356. [Google Scholar] [CrossRef]
- Yang, C.W.; Chen, W.Z.; Chang, B.V. Biodegradation of tetrabromobisphenol-A in sludge with spent mushroom compost. Int. Biodeter. Biodegr. 2017, 119, 387–395. [Google Scholar] [CrossRef]
- Peng, F.Q.; Ying, G.G.; Yang, B.; Liu, Y.S.; Lai, H.J.; Zhou, G.J.; Chen, J.; Zhao, J.L. Biotransformation of the flame retardant tetrabromobisphenol-A (TBBPA) by freshwater microalgae: Biotransformation of TBBPA. Environ. Toxicol. Chem. 2014, 33, 1705–1711. [Google Scholar] [CrossRef]
- Li, F.; Jiang, B.; Nastold, P.; Kolvenbach, B.A.; Chen, J.; Wang, L.; Guo, H.; Corvini, P.F.X.; Ji, R. Enhanced transformation of Tetrabromobisphenol A by Nitrifiers in nitrifying activated sludge. Environ. Sci. Technol. 2015, 49, 4283–4292. [Google Scholar] [CrossRef]
- Xiao, Y.Z.; He, J.F.; Liu, L.; Zhang, X.Y. Effects of heavy metals and organic matter fractions on the fungal communities in mangrove sediments from Techeng Isle, South China. Ecotoxicol. Environ. Saf. 2021, 222, 112546. [Google Scholar] [CrossRef]
- Xie, H.; Wang, H.; Ji, F.; Liang, Y.; Song, M.; Zhang, J. Tetrabromobisphenol A alters soil microbial community via selective antibacterial activity. Ecotoxicol. Environ. Saf. 2018, 164, 597–603. [Google Scholar] [CrossRef]
- Hu, H.; Chen, X.; Hou, F.; Wu, Y.; Cheng, Y. Bacterial and fungal community structures in Loess Plateau Grasslands with different grazing intensities. Front. Microbiol. 2017, 8, 606. [Google Scholar]
- Liu, A.; Shi, J.; Qu, G.; Hu, L.; Ma, Q.; Song, M.; Jing, C.; Jiang, G. Identification of Emerging Brominated Chemicals as the Transformation Products of Tetrabromobisphenol A (TBBPA) Derivatives in Soil. Environ. Sci. Technol. 2017, 51, 5434–5444. [Google Scholar] [CrossRef]
- Chen, S.; Zhou, Y.; Chen, Y.; Gu, J. fastp: An ultra-fast all-in-one FASTQ preprocessor. Bioinformatics 2018, 34, i884–i890. [Google Scholar] [CrossRef] [PubMed]
- Magoč, T.; Salzberg, S.L. FLASH: Fast length adjustment of short reads to improve genome assemblies. Bioinformatics 2011, 27, 2957–2963. [Google Scholar] [CrossRef]
- Edgar, R.C. UPARSE: Highly accurate OTU sequences from microbial amplicon reads. Nat. Methods 2013, 10, 996–998. [Google Scholar] [CrossRef] [PubMed]
- Stackebrandt, E.; Goebel, B.M. Taxonomic Note: A Place for DNA-DNA Reassociation and 16S rRNA Sequence Analysis in the Present Species Definition in Bacteriology. Int. J. Syst. Evol. Microbiol. 1994, 44, 846–849. [Google Scholar] [CrossRef]
- Wang, Q.; Garrity, G.M.; Tiedje, J.M.; Cole, J.R. Naive Bayesian classifier for rapid assignment of rRNA sequences into the new bacterial taxonomy. Appl. Environ. Microbiol. 2007, 73, 5261–5267. [Google Scholar] [CrossRef]







| Zhangjiang Estuary (n = 21) | Jiulongjiang Estuary (n = 26) | Quanzhou Bay Estuary (n = 23) | |||||||
|---|---|---|---|---|---|---|---|---|---|
| Range | Median | Mean | Range | Median | Mean | Range | Median | Mean | |
| TBBPA | 1.8–20.46 | 8.43 | 7.78 | 3.47–40.77 | 8.80 | 11.63 | 2.37–19.83 | 8.64 | 9.67 |
| TOC a | 1.18–2.94% | 1.90 | 1.98% | 1.02–2.39% | 1.54 | 1.59% | 1.01–2.16% | 1.14 | 1.30% |
| TN b | 0.10–0.25% | 0.14 | 0.15% | 0.10–0.18% | 0.13 | 0.13% | 0.09–0.15% | 0.10 | 0.11% |
| pH c | 6.49–6.84 | 6.71 | 6.64 | 6.38–6.89 | 6.67 | 6.68 | 6.43–6.85 | 6.66 | 6.64 |
| Locations | Sample Types | TBBPA Levels | References |
|---|---|---|---|
| Mandai mangrove, Singapore | Surface sediment | 0.048–0.22 | [34] |
| Futian mangrove, Shenzhen | Surface sediment | 0.30–1.85 | [35] |
| Tantou mangrove, Guangzhou | Surface sediment | 0.16–37.50 | [13] |
| Osaka, Japan | River sediment | 5.00–140.00 | [37] |
| Israel, Ramat-Hovav | Desert soil | nd–450 × 106 | [17] |
| Netherlands | Sewage sludges | 2.00–600.00 | [38] |
| Madrid, Spain | Industrial soil | 3.40–32.20 | [33] |
| Northeast of Spain | Sewage sludges | nd–1329.00 | [39] |
| Catalonia, Spain | Sewage sludges | nd–472.00 | [40] |
| Ningbo, the east of China | Surface soil | 0.025–78.60 | [41] |
| Bui Dau, Vietnam | Surface soil | 5.00–2900.00 | [42] |
| Qinyuan, Guangdong | Surface soil | 84.00–646.04 | [43] |
| Shouguang, Shandong | Surface soil | 1.64–7758.00 | [44] |
| Dongjiang River, Guangzhou | surface sediment | 3.80–230.00 | [14] |
| Pearl River Delta, China | Surface sediment | 0.06–304.00 | [45] |
| Dongjiang River, Guangzhou | Sediment cores | 7.90–450.00 | [46] |
Disclaimer/Publisher’s Note: The statements, opinions and data contained in all publications are solely those of the individual author(s) and contributor(s) and not of MDPI and/or the editor(s). MDPI and/or the editor(s) disclaim responsibility for any injury to people or property resulting from any ideas, methods, instructions or products referred to in the content. |
© 2023 by the authors. Licensee MDPI, Basel, Switzerland. This article is an open access article distributed under the terms and conditions of the Creative Commons Attribution (CC BY) license (https://creativecommons.org/licenses/by/4.0/).
Share and Cite
Jiang, Y.; Wang, Q.; Du, Y.; Yang, D.; Xu, J.; Yan, C. Occurrence and Distribution of Tetrabromobisphenol A and Diversity of Microbial Community Structure in the Sediments of Mangrove. Biology 2023, 12, 757. https://doi.org/10.3390/biology12050757
Jiang Y, Wang Q, Du Y, Yang D, Xu J, Yan C. Occurrence and Distribution of Tetrabromobisphenol A and Diversity of Microbial Community Structure in the Sediments of Mangrove. Biology. 2023; 12(5):757. https://doi.org/10.3390/biology12050757
Chicago/Turabian StyleJiang, Yongcan, Qiang Wang, Yunling Du, Dong Yang, Jianming Xu, and Chongling Yan. 2023. "Occurrence and Distribution of Tetrabromobisphenol A and Diversity of Microbial Community Structure in the Sediments of Mangrove" Biology 12, no. 5: 757. https://doi.org/10.3390/biology12050757
APA StyleJiang, Y., Wang, Q., Du, Y., Yang, D., Xu, J., & Yan, C. (2023). Occurrence and Distribution of Tetrabromobisphenol A and Diversity of Microbial Community Structure in the Sediments of Mangrove. Biology, 12(5), 757. https://doi.org/10.3390/biology12050757
