Dynamic In-Situ Observation on the Failure Mechanism of Flax Fiber through Scanning Electron Microscopy
Abstract
:1. Introduction
2. Materials and Methods
3. Results and Discussion
3.1. In Situ Failure Analysis through SEM
3.1.1. Initial Rotation of the Fiber Bundle
3.1.2. Segregation of Single Fibers from the Bundle
3.1.3. Ultimate Failure of the Fiber
3.2. Fractographic Analysis of Single Fibers
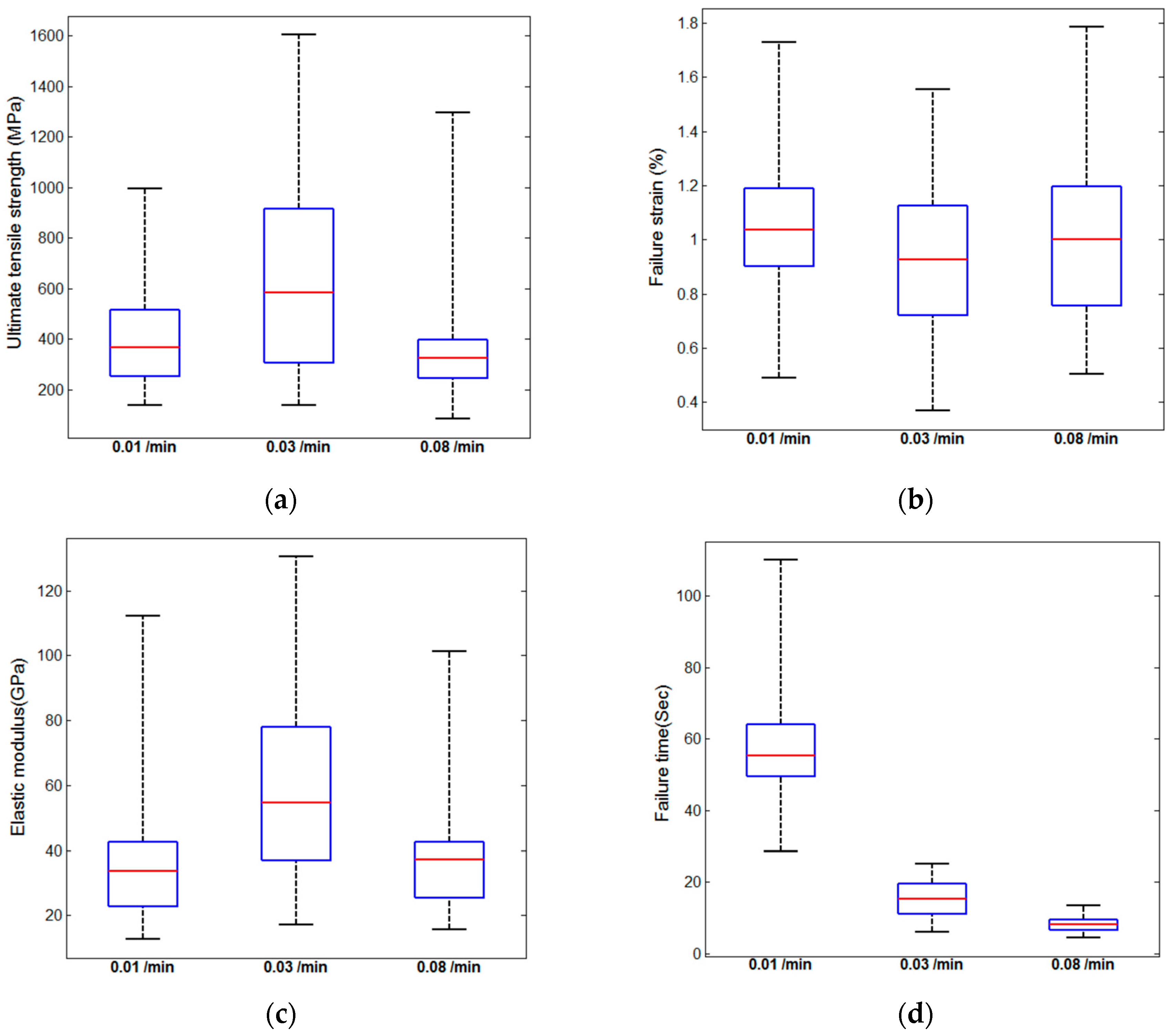
4. Tensile Testing of Flax Fibers with Different Strain Rate
5. Conclusions
Acknowledgments
Author Contributions
Conflicts of Interest
References
- Bledzki, A.; Gassan, J. Composites reinforced with cellulose based fibres. Prog. Polym. Sci. 1999, 24, 221–274. [Google Scholar] [CrossRef]
- Fuqua, M.A.; Huo, S.; Ulven, C.A. Natural fiber reinforced composites. Polym. Rev. 2012, 52, 259–320. [Google Scholar] [CrossRef]
- Morvan, C.; Andème-Onzighi, C.; Girault, R.; Himmelsbach, D.S.; Driouich, A.; Akin, D.E. Building flax fibres: More than one brick in the walls. Plant Physiol. Biochem. 2003, 41, 935–944. [Google Scholar] [CrossRef]
- Romhany, G.; Karger-Kocsis, J.; Czigany, T. Tensile fracture and failure behavior of technical flax fibers. J. Appl. Polym. Sci. 2003, 90, 3638–3645. [Google Scholar] [CrossRef]
- Gibson, L.J. The hierarchical structure and mechanics of plant materials. J. R. Soc. Interface 2012. [Google Scholar] [CrossRef] [PubMed]
- Domenges, B.; Charlet, K. Direct insights on flax fiber structure by focused ion beam microscopy. Microsc. Microanal. 2010, 16, 175–182. [Google Scholar] [CrossRef] [PubMed]
- Cosgrove, D.J. Assembly and enlargement of the primary cell wall in plants. Ann. Rev. Cell Dev. Biol. 1997, 13, 171–201. [Google Scholar] [CrossRef] [PubMed]
- Carpita, N.C.; Gibeaut, D.M. Structural models of primary cell walls in flowering plants: Consistency of molecular structure with the physical properties of the walls during growth. Plant J. 1993, 3, 1–30. [Google Scholar] [CrossRef] [PubMed]
- Adler, E. Lignin chemistry—Past, present and future. Wood Sci. Technol. 1977, 11, 169–218. [Google Scholar] [CrossRef]
- Rose, J.K. The Plant Cell Wall; CRC Press: Boca Raton, FL, USA, 2003; Volume 8. [Google Scholar]
- Peterlin, A.; Ingram, P. Morphology of secondary wall fibrils in cotton. Text. Res. J. 1970, 40, 345–354. [Google Scholar] [CrossRef]
- Baley, C.; Le Duigou, A.; Bourmaud, A.; Davies, P. Influence of drying on the mechanical behaviour of flax fibres and their unidirectional composites. Compos. Part A Appl. Sci. Manuf. 2012, 43, 1226–1233. [Google Scholar] [CrossRef]
- Thuault, A.; Domengès, B.; Hervas, I.; Gomina, M. Investigation of the internal structure of flax fibre cell walls by transmission electron microscopy. Cellulose 2015, 22, 3521–3530. [Google Scholar] [CrossRef]
- Goudenhooft, C.; Siniscalco, D.; Arnould, O.; Bourmaud, A.; Sire, O.; Gorshkova, T.; Baley, C. Investigation of the Mechanical Properties of Flax Cell Walls during Plant Development: The Relation between Performance and Cell Wall Structure. Fibers 2018, 6, 6. [Google Scholar] [CrossRef]
- Roach, M.J.; Mokshina, N.Y.; Badhan, A.; Snegireva, A.V.; Hobson, N.; Deyholos, M.K.; Gorshkova, T.A. Development of cellulosic secondary walls in flax fibers requires β-galactosidase. Plant Physiol. 2011, 156, 1351–1363. [Google Scholar] [CrossRef] [PubMed]
- Mikshina, P.; Chernova, T.; Chemikosova, S.; Ibragimova, N.; Mokshina, N.; Gorshkova, T. Cellulosic fibers: Role of matrix polysaccharides in structure and function. In Cellulose-Fundamental Aspects; InTech: Vienna, Austria, 2013. [Google Scholar]
- Ding, S.-Y.; Liu, Y.-S.; Zeng, Y.; Himmel, M.E.; Baker, J.O.; Bayer, E.A. How does plant cell wall nanoscale architecture correlate with enzymatic digestibility? Science 2012, 338, 1055–1060. [Google Scholar] [CrossRef] [PubMed]
- Müller, M.; Czihak, C.; Vogl, G.; Fratzl, P.; Schober, H.; Riekel, C. Direct observation of microfibril arrangement in a single native cellulose fiber by microbeam small-angle X-ray scattering. Macromolecules 1998, 31, 3953–3957. [Google Scholar] [CrossRef]
- Astley, O.M.; Donald, A.M. A small-angle X-ray scattering study of the effect of hydration on the microstructure of flax fibers. Biomacromolecules 2001, 2, 672–680. [Google Scholar] [CrossRef] [PubMed]
- Bourmaud, A.; Morvan, C.; Bouali, A.; Placet, V.; Perre, P.; Baley, C. Relationships between micro-fibrillar angle, mechanical properties and biochemical composition of flax fibers. Ind. Crops Prod. 2013, 44, 343–351. [Google Scholar] [CrossRef]
- Baley, C. Analysis of the flax fibres tensile behaviour and analysis of the tensile stiffness increase. Compos. Part A Appl. Sci. Manuf. 2002, 33, 939–948. [Google Scholar] [CrossRef]
- Hearle, J. The fine structure of fibers and crystalline polymers. III. Interpretation of the mechanical properties of fibers. J. Appl. Polym. Sci. 1963, 7, 1207–1223. [Google Scholar] [CrossRef]
- Charlet, K.; Jernot, J.-P.; Gomina, M.; Bizet, L.; Bréard, J. Mechanical properties of flax fibers and of the derived unidirectional composites. J. Compos. Mater. 2010, 44, 2887–2896. [Google Scholar] [CrossRef]
- Bos, H.; Van Den Oever, M.J.; Peters, O.C. Tensile and compressive properties of flax fibres for natural fibre reinforced composites. J. Mater. Sci. 2002, 37, 1683–1692. [Google Scholar] [CrossRef]
- Shah, D.U.; Nag, R.K.; Clifford, M.J. Why do we observe significant differences between measured and ‘back-calculated’properties of natural fibres? Cellulose 2016, 23, 1481–1490. [Google Scholar] [CrossRef]
- Andersons, J.; Spārniņš, E.; Joffe, R.; Wallström, L. Strength distribution of elementary flax fibres. Compos. Sci. Technol. 2005, 65, 693–702. [Google Scholar] [CrossRef]
- Andersons, J.; Poriķe, E.; Spārniņš, E. The effect of mechanical defects on the strength distribution of elementary flax fibres. Compos. Sci. Technol. 2009, 69, 2152–2157. [Google Scholar] [CrossRef]
- McLaughlin, E.C.; Tait, R.A. Fracture mechanism of plant fibres. J. Mater. Sci. 1980, 15, 89–95. [Google Scholar] [CrossRef]
- Nilsson, T.; Gustafsson, P.J. Influence of dislocations and plasticity on the tensile behaviour of flax and hemp fibres. Compos. Part A Appl. Sci. Manuf. 2007, 38, 1722–1728. [Google Scholar] [CrossRef]
- Thygesen, L.G.; Asgharipour, M.R. The effects of growth and storage conditions on dislocations in hemp fibres. J. Mater. Sci. 2008, 43, 3670–3673. [Google Scholar] [CrossRef]
- Davies, G.C.; Bruce, D.M. Effect of environmental relative humidity and damage on the tensile properties of flax and nettle fibers. Text. Res. J. 1998, 68, 623–629. [Google Scholar] [CrossRef]
- Bos, H.; Donald, A. In situ ESEM study of the deformation of elementary flax fibres. J. Mater. Sci. 1999, 34, 3029–3034. [Google Scholar] [CrossRef]
- Mott, L.; Shaler, S.M.; Groom, L.H.; Liang, B.-H. The tensile testing of individual wood fibers using environmental scanning electron microscopy and video image analysis. Tappi J. 1995, 78, 143–148. [Google Scholar]
- Bos, H.L. The Potential of Flax Fibres as Reinforcement for Composite Materials; Technische Universiteit Eindhoven Eindhoven: Eindhoven, The Netherlands, 2004. [Google Scholar]
- Clements, L.L. Fractography of unidirectional graphite-epoxy as a function of moisture, temperature and specimen quality. J. Mater. Sci. 1986, 21, 1853–1862. [Google Scholar] [CrossRef]
- McCoy, R. SEM fractography and failure analysis of nonmetallic materials. J. Fail. Anal. Prev. 2004, 4, 58–64. [Google Scholar] [CrossRef]
- Slámečka, K.; Šesták, P.; Vojtek, T.; Kianicová, M.; Horníková, J.; Šandera, P.; Pokluda, J. A Fractographic Study of Bending/Torsion Fatigue Failure in Metallic Materials with Protective Surface Layers. Adv. Mater. Sci. Eng. 2016, 2016. [Google Scholar] [CrossRef]
- Quinn, G.D. Fractography of Ceramics and Glasses; National Institute of Standards and Technology: Washington, DC, USA, 2007.
- Greenhalgh, E. Failure Analysis and Fractography of Polymer Composites; Elsevier: Amsterdam, The Netherlands, 2009. [Google Scholar]
- Clements, L.L. Reply to comment on “Fractography of unidirectional graphite-epoxy as a function of moisture, temperature and specimen quality”. J. Mater. Sci. Lett. 1989, 8, 618. [Google Scholar] [CrossRef]
- Purslow, D. Comment on “Fractography of unidirectional graphite-epoxy as a function of moisture, temperature and specimen quality”. J. Mater. Sci. Lett. 1989, 8, 617. [Google Scholar] [CrossRef]
- Fratzl, P.; Burgert, I.; Gupta, H.S. On the role of interface polymers for the mechanics of natural polymeric composites. Phys. Chem. Chem. Phys. 2004, 6, 5575–5579. [Google Scholar] [CrossRef]
- Baskin, T.I. Anisotropic expansion of the plant cell wall. Annu. Rev. Cell Dev. Biol. 2005, 21, 203–222. [Google Scholar] [CrossRef] [PubMed]
- Hughes, M.; Sèbe, G.; Hague, J.; Hill, C.; Spear, M.; Mott, L. An investigation into the effects of micro-compressive defects on interphase behaviour in hemp-epoxy composites using half-fringe photoelasticity. Compos. Interfaces 2000, 7, 13–29. [Google Scholar] [CrossRef]
- Leung, C.K.; Li, V.C. Effect of fiber inclination on crack bridging stress in brittle fiber reinforced brittle matrix composites. J. Mech. Phys. Solids 1992, 40, 1333–1362. [Google Scholar] [CrossRef]
- Cartié, D.D.; Cox, B.; Fleck, N. Mechanisms of crack bridging by composite and metallic rods. Compos. Part A Appl. Sci. Manuf. 2004, 35, 1325–1336. [Google Scholar] [CrossRef]
- Jeronimides, G. The fracture of wood in relation to its structure. Leiden Bot. Ser. 1976, 3, 253–265. [Google Scholar]
- Gordon, J.; Jeronimidis, G. Work of fracture of natural cellulose. Nature 1974, 252, 116. [Google Scholar] [CrossRef]
- Vincent, J.F. Structural Biomaterials; Princeton University Press: Princeton, NJ, USA, 2012. [Google Scholar]
- Schwartz, P.; Netravali, A.; Sembach, S. Effects of strain rate and gauge length on the failure of ultra-high strength polyethylene fibers. Text. Res. J. 1986, 56, 502–508. [Google Scholar] [CrossRef]
- Okoli, O.; Smith, G. Failure modes of fibre reinforced composites: The effects of strain rate and fibre content. J. Mater. Sci. 1998, 33, 5415–5422. [Google Scholar] [CrossRef]
- Huang, W.; Xu, W.; Xia, Y. Effect of strain rate on the mechanical behaviors of SiC fiber. J. Mater. Sci. 2005, 40, 465–468. [Google Scholar] [CrossRef]
- Cansfield, D.; Ward, I.; Woods, D.; Buckley, A.; Pierce, J.; Wesley, J. Tensile-Strength of Ultra High Modulus Linear Polyethylene Filaments. Polym. Commun. 1983, 24, 130–131. [Google Scholar]
- Alcock, M.; Ahmed, S.; DuCharme, S.; Ulven, C.A. Influence of Stem Diameter on Fiber Diameter and the Mechanical Properties of Technical Flax Fibers from Linseed Flax. Fibers 2018, 6, 10. [Google Scholar] [CrossRef]
- Ahmed, S. Mechanical and Surface Properties of Technical and Single Flax Fiber in Micro and Nano Scale; North Dakota State University: Fargo, North Dakota, 2017. [Google Scholar]
- Andersons, J.; Spārniņš, E.; Poriķe, E. Strength and damage of elementary flax fibers extracted from tow and long line flax. J. Compos. Mater. 2009, 43, 2653–2664. [Google Scholar] [CrossRef]
- Khalili, S.; AKIN, D.E.; Pettersson, B.; Henriksson, G. Fibernodes in flax and other bast fibers. J. Appl. Bot. 2002, 76, 133–138. [Google Scholar]
- Baley, C. Influence of kink bands on the tensile strength of flax fibers. J. Mater. Sci. 2004, 39, 331–334. [Google Scholar] [CrossRef]
- Fratzl, P. Biomimetic materials research: What can we really learn from nature9s structural materials? J. R. Soc. Interface 2007, 4, 637–642. [Google Scholar] [CrossRef] [PubMed]
- Gao, H.; Ji, B.; Jäger, I.L.; Arzt, E.; Fratzl, P. Materials become insensitive to flaws at nanoscale: Lessons from nature. Proc. Natl. Acad. Sci. USA 2003, 100, 5597–5600. [Google Scholar] [CrossRef] [PubMed]
- Jäger, I.; Fratzl, P. Mineralized collagen fibrils: A mechanical model with a staggered arrangement of mineral particles. Biophys. J. 2000, 79, 1737–1746. [Google Scholar] [CrossRef]
- Burgert, I.; Dunlop, J.W. Micromechanics of cell walls. In Mechanical Integration of Plant Cells and Plants; Springer: Berlin, Germany, 2011; pp. 27–52. [Google Scholar]
- Navi, P.; Rastogi, P.K.; Gresse, V.; Tolou, A. Micromechanics of wood subjected to axial tension. Wood Sci. Technol. 1995, 29, 411–429. [Google Scholar] [CrossRef]













| Strain Rate | 0.01 | 0.03 | 0.08 |
|---|---|---|---|
| Failure strength (MPa) | 389 203 | 637 414 | 364 244 |
| Failure strain (%) | 1.055 0.24 | 0.93 0.29 | 1.02 0.31 |
| Elastic modulus (GPa) | 37 20 | 60 31 | 38 20 |
| Failure time (Second) | 55 18 | 15 4.6 | 8.2 2.24 |
| Number of discard | 2 | 5 | 8 |
| Strain Rate | Shape Parameter (Best Fit) | Scale Parameter (Best Fit) | [Lower Bound, Upper Bound] of Scale Parameter for 95% CI | [Lower Bound, Upper Bound] of Shape Parameter for 95% CI |
|---|---|---|---|---|
| 0.01 | 2.1238 | 441.3294 | [384.8261, 206.1290] | [1.7366, 2.5972] |
| 0.03 | 1.7400 | 719.2087 | [607.6565, 851.2394] | [1.4050, 2.1548] |
| 0.08 | 1.8013 | 412.6898 | [350.4343, 486.0050] | [1.4936, 2.1723] |
© 2018 by the authors. Licensee MDPI, Basel, Switzerland. This article is an open access article distributed under the terms and conditions of the Creative Commons Attribution (CC BY) license (http://creativecommons.org/licenses/by/4.0/).
Share and Cite
Ahmed, S.; Ulven, C.A. Dynamic In-Situ Observation on the Failure Mechanism of Flax Fiber through Scanning Electron Microscopy. Fibers 2018, 6, 17. https://doi.org/10.3390/fib6010017
Ahmed S, Ulven CA. Dynamic In-Situ Observation on the Failure Mechanism of Flax Fiber through Scanning Electron Microscopy. Fibers. 2018; 6(1):17. https://doi.org/10.3390/fib6010017
Chicago/Turabian StyleAhmed, Shabbir, and Chad A. Ulven. 2018. "Dynamic In-Situ Observation on the Failure Mechanism of Flax Fiber through Scanning Electron Microscopy" Fibers 6, no. 1: 17. https://doi.org/10.3390/fib6010017
APA StyleAhmed, S., & Ulven, C. A. (2018). Dynamic In-Situ Observation on the Failure Mechanism of Flax Fiber through Scanning Electron Microscopy. Fibers, 6(1), 17. https://doi.org/10.3390/fib6010017

