Abstract
Soot particle deposition is a common form of surface contamination in enclosed architectural environments and can significantly alter the optical appearance of painted surfaces. In the Zhaomiao temple halls of Inner Mongolia, long-term exposure to soot generated by butter lamps and incense burning has led to pronounced color darkening of mural pigments. To clarify the mechanisms by which soot deposition affects pigment optical behavior, this study investigates the surface deposition-induced color degradation of mineral pigment coatings, using Zhaomiao temple murals as a representative application context. Thirty-six typical mineral pigments were prepared as standardized coating specimens, and controlled soot deposition experiments were conducted to simulate progressive particulate accumulation on pigment surfaces. Variations in Commission Internationale de l’Éclairage (CIE) XYZ tristimulus values, luminance, and color difference (ΔE) were quantitatively analyzed under different soot-loading conditions. The results show systematic luminance attenuation and chromatic compression with increasing soot deposition, indicating that optical degradation is primarily governed by surface absorption and scattering effects introduced by carbonaceous particles. These results establish a quantitative framework based on measurable optical parameters—rather than a single absolute value—for evaluating particulate-induced optical degradation of pigment coatings. This study provides a quantitative basis for evaluating particulate-induced optical degradation of pigment coatings and supports surface condition assessment and digital reconstruction of soot-contaminated painted surfaces in architectural contexts such as the Zhaomiao temples.
1. Introduction
Painted surfaces in enclosed architectural environments are prone to various forms of surface degradation due to long-term exposure to environmental factors. As functional coating layers, mural pigment systems play an essential role in maintaining the optical appearance and visual legibility of painted architectural interiors [1,2,3,4]. However, prolonged environmental loading can significantly alter the physical and optical properties of pigment layers, resulting in color darkening, contrast reduction, and loss of surface clarity. Such degradation not only compromises visual performance but also complicates quantitative color assessment and surface condition evaluation of painted materials [5,6].
Among the multiple degradation factors affecting painted surfaces, soot deposition represents a particularly persistent and influential form of particulate contamination. In temples, palaces, and other enclosed spaces, soot particles generated by incense burning, butter lamps, and combustion-based daily activities gradually accumulate on painted surfaces, forming optically active surface layers. This accumulation modifies surface reflectance behavior through enhanced light absorption and scattering, leading to systematic attenuation of luminance and chromatic distinguishability. Moreover, sustained soot deposition may accelerate the aging of pigment layers and substrates, thereby posing long-term challenges for surface stability and performance.
The Zhaomiao temple complexes in Inner Mongolia, originating from the Yuan Dynasty [7], provide a representative architectural context in which soot-induced surface degradation is particularly evident. Ritual practices involving continuous incense burning and butter-lamp lighting generate substantial airborne particulates that remain suspended within temple halls and progressively deposit on mural surfaces. Over time, this process leads to pronounced surface darkening and reduced chromatic discernibility of pigment layers, thereby complicating accurate visual interpretation, quantitative color analysis, and subsequent digital reconstruction of painted surfaces [8,9,10]. As shown in Figure 1, the current condition of the Bairam mural in the Mahavira Hall of Dazhao Temple in Hohhot, Inner Mongolia, after long-term soot exposure is illustrated.
Figure 1.
Soot-induced deterioration observed on the murals in the Mahavira Hall of Dazhao Temple, Hohhot.
To address these issues, the present study investigates soot-induced optical degradation mechanisms of mineral pigment coatings through controlled surface deposition experiments and quantitative colorimetric analysis. By systematically examining changes in color coordinates, luminance, and color difference (ΔE) of representative mineral pigments under varying soot-loading conditions, this work elucidates the relationship between particulate surface contamination and pigment optical response. Furthermore, an environment-driven predictive model for color degradation is developed, providing a quantitative framework for surface condition assessment, optical performance evaluation, and digital reconstruction of soot-contaminated painted surfaces in architectural contexts such as the Zhaomiao temples.
2. Materials and Methods
2.1. Recognition Techniques for Soot-Affected Painted Surfaces in Inner Mongolia
The assessment and characterization of soot-contaminated painted surfaces involve complex challenges due to the heterogeneous distribution and optical activity of deposited particulate layers. Conventional physical conservation measures may slow surface degradation in some cases; however, such interventions are often limited by procedural complexity, long treatment cycles, high costs, and the risk of inducing secondary surface damage [11]. Consequently, recent research has increasingly focused on non-contact digital and analytical techniques aimed at recognizing and characterizing soot-induced surface alterations.
At present, two principal categories of digital recognition techniques have been developed for soot-affected painted surfaces. The first category consists of image-software-based approaches that rely on digital image processing to enhance surface color contrast and structural visibility, including color-contour extraction, chromatic inference, and localized retouching techniques [12,13,14]. The second category involves instrument-aided recognition and enhancement methods that integrate microscopic imaging, spectroscopic measurements, hyperspectral imaging, and algorithmic analysis to quantitatively characterize surface contamination and optical variation [9,15,16]. A comparative summary of these two categories is presented in Table 1.
Table 1.
Comparison of Digital Recognition Methods for Soot-Affected Murals.
From a surface-science perspective, soot-induced degradation of painted surfaces exhibits pronounced variability across different architectural environments. Painted surfaces in tomb chambers, temple and palace halls, and rock-cut grottoes differ substantially in spatial configuration, ventilation conditions, and particulate sources, leading to distinct soot-deposition patterns and degradation behaviors. These differences govern the thickness, distribution, and optical influence of soot layers and consequently affect surface reflectance and color response, as summarized in Table 2.
Table 2.
Differences in Soot-Induced Deterioration Among Murals of Different Architectural Types.
The soot-induced surface degradation observed in the Zhaomiao temples of Inner Mongolia represents a distinctive case. Located in arid and windy highland environments with large diurnal temperature fluctuations, the painted surfaces in these temples are subjected to combined climatic and particulate loading. Long-term incense burning and butter-lamp lighting generate substantial airborne soot that accumulates within poorly ventilated halls, forming persistent surface deposition layers that induce optical darkening, chromatic shifts, and loss of fine surface details.
Furthermore, the extensive use of natural mineral pigments increases the sensitivity of these painted surfaces to particulate deposition and environmental fluctuations. Soot accumulation not only modifies the apparent chromatic properties of pigment coatings but may also promote microstructural deterioration within pigment layers, thereby posing additional risks to long-term surface stability. Owing to the specific soot-generation mechanisms, particulate composition, and surface-response characteristics observed in the Zhaomiao temples, recognition and restoration strategies developed for other architectural contexts cannot be directly applied. A targeted investigation of soot-induced chromatic alteration mechanisms is therefore essential for developing quantitative recognition methods and achieving reliable color reconstruction of soot-contaminated painted surfaces.
As discussed earlier, soot accumulation in the Zhaomiao temples arises from their unique religious and historical context and constitutes an inseparable component of ritual practice. Consequently, complete soot removal is neither technically feasible nor culturally appropriate. Previous studies have shown that cleaning treatments for soot-covered murals often yield limited effectiveness and may introduce additional risks to fragile pigment layers, while the continued use of butter lamps and incense ensures that future soot deposition cannot be fully avoided.
Accordingly, the present study does not seek to eliminate soot, but rather to provide a quantitative basis for identifying pigment systems that are particularly sensitive to soot-induced chromatic degradation. By clarifying differential pigment responses, this work aims to support future conservation approaches that balance material durability with cultural continuity. In this regard, virtual restoration and digital reconstruction offer a promising pathway to mitigate visual loss and facilitate historical and art-historical interpretation without interfering with established cultural practices.
2.2. Research Methods
This study focuses on soot-contaminated painted surfaces in the Tibetan Buddhist Zhaomiao temple halls of Inner Mongolia and investigates the mechanisms and progression of soot-induced optical degradation of mineral pigment coatings. Representative mineral pigments corresponding to those historically used in the Zhaomiao murals were selected to prepare standardized pigment coating specimens. The initial optical properties of each specimen were measured and recorded as baseline data prior to soot exposure.
Controlled soot deposition experiments were subsequently conducted to simulate particulate surface contamination under ritual conditions typical of the Zhaomiao temple environment. Soot particles generated from butter-lamp fuel and incense burning were used as representative sources, and pigment coating specimens were exposed to progressively increasing soot loading. The resulting surface states at different deposition stages are referred to in this study as soot-affected conditions.
During the experimental process, key optical parameters—including Commission Internationale de l’Éclairage (CIE) XYZ tristimulus values, luminance, and color difference (ΔE)—were systematically measured for each soot-deposition stage. Based on these measurements, a quantitative correlation model was established to describe the relationships among soot loading, optical parameters, and chromatic response of mineral pigment coatings. This model characterizes the transformation from the original surface state to the soot-affected optical state driven by particulate deposition. The methodological framework developed in this study provides a quantitative basis for optical degradation assessment and supports digital color reconstruction of soot-contaminated painted surfaces in architectural contexts such as the Zhaomiao temples.
2.3. Experimental Design, Implementation, and Data Processing
2.3.1. Experimental Design and Implementation
To ensure that the experimental specimens realistically represented the material characteristics of soot-contaminated painted surfaces in the Zhaomiao temples of Inner Mongolia, pigment coating specimens were prepared following historically documented mural fabrication principles, while conforming to standardized laboratory preparation procedures [20]. The specimen preparation process comprised three stages: construction of a plaster-based grounding layer, application of mineral pigment coatings, and natural curing.
First, the grounding layer was prepared using traditional plaster-based material proportions to provide a stable substrate. Subsequently, thirty-six representative mineral pigments belonging to six characteristic chromatic families commonly observed in the Zhaomiao murals were selected. Each pigment was mixed with deionized water at a mass ratio of 1:1 and uniformly applied onto the prepared grounding surface to form pigment coating layers [21]. After application, all specimens were air-dried and naturally cured under ambient laboratory conditions to ensure consistent material structure and surface appearance. The pigment selection scheme and specimen preparation workflow are illustrated in Figure 2.
Figure 2.
Chromatic Families, Pigments, and Specimen Blocks Used in the Experiments.
To reproduce the soot-exposure conditions typical of ritual activities in the Zhaomiao temples, a box-type soot deposition chamber with dimensions of 0.7 m × 0.5 m × 0.5 m was designed and constructed. The chamber was equipped with adjustable ventilation openings, a fuel inlet, and internal baffles to regulate airflow and particulate transport, thereby enabling controlled and repeatable soot deposition on specimen surfaces [11]. To reduce variability in particulate concentration between exposure stages, ten charcoal segments, each 5 cm in length, were ignited simultaneously and allowed to burn to completion. The soot source (charcoal combustion) was spatially separated from the specimen holder, and the experimental protocol was designed to simulate smoke/soot deposition rather than thermal aging. The pigment specimens were introduced only after the visible flame had extinguished and stable soot generation was established. One complete combustion process was defined as a standard soot-exposure cycle and used as the basic interval for incremental deposition. This protocol ensured stable soot-loading conditions and improved experimental repeatability. A schematic of the experimental apparatus and representative soot-exposure effects are shown in Figure 3.
Figure 3.
Experimental apparatus and procedure for evaluation of soot-exposure effects.
Following each soot-exposure cycle, optical measurements were conducted in a darkened laboratory environment using a standard D65 illuminant (PHILIPS L30W/965 (Philips, Eindhoven, The Netherlands); correlated color temperature: 6500 ± 200 K; color rendering index > 96). A CM-700d spectrophotometer (Konica Minolta, Tokyo, Japan) was employed to measure CIE XYZ tristimulus values, while luminance was measured using an LS-100 luminance meter (Konica Minolta, Japan). Color difference (ΔE) values were subsequently calculated based on the measured colorimetric data. In parallel, digital images of the specimen surfaces were acquired, and the surface coverage of deposited soot particles at each exposure stage was quantitatively determined using Image-Pro Plus 7.0 software. The overall experimental workflow is summarized in Figure 4.
Figure 4.
Experimental Workflow Diagram.
2.3.2. Data Processing
To ensure data reliability and spatial representativeness of the optical measurements, five characteristic measurement points were selected on the surface of each pigment coating specimen, including the center point and four corner points. Each measurement point was measured twice at every soot-deposition stage, and the averaged value was taken as the representative result for that stage. This approach effectively reduced random measurement error and enhanced data stability across different soot-loading conditions. The measured CIE XYZ tristimulus values, luminance values, and color difference (ΔE) metrics were subsequently standardized to ensure consistency and comparability in the following analyses.
For chromaticity analysis, the CIE XYZ color coordinates of the reference and soot-affected specimens were further transformed into dominant wavelength and excitation purity parameters to facilitate a more explicit interpretation of soot-induced chromatic variation mechanisms. It should be noted that purple occupies a non-spectral region of the CIE chromaticity diagram and lies along the line connecting the red and blue spectral extremities; therefore, a unique dominant wavelength cannot be assigned. Similarly, achromatic colors such as gray, white, and black are located near the white point of the chromaticity diagram and do not exhibit a definable dominant wavelength. Accordingly, among the six chromatic families examined in this study, the purple and gray pigment groups were excluded from dominant-wavelength and excitation-purity analysis. Subsequent analyses therefore focused on the red, yellow, blue, and green pigment systems, which exhibit well-defined spectral characteristics suitable for quantitative chromaticity evaluation.
3. Results
3.1. Color Decay Model
Based on the CIE XYZ tristimulus values measured under different soot-loading conditions, systematic variations in pigment lightness, hue, and chromatic saturation were analyzed. For each soot-exposure stage, the surface coverage ratio of deposited soot particles on each pigment coating specimen was quantitatively determined using Image-Pro Plus software. By correlating soot surface coverage with the corresponding colorimetric parameters obtained from spectrophotometric measurements, a quantitative relationship between particulate deposition and chromatic response was established.
To translate soot surface coverage into spatially resolved deposition patterns, gradient mapping techniques were applied to convert proportional soot-coverage parameters into simulated surface distribution fields. The experimentally measured colorimetric values at each exposure stage were subsequently integrated into these mapped deposition fields, enabling the construction of a surface deposition–driven pigment color decay model. The measured and simulated chromatic changes for representative pigment systems are summarized in Figure 5.
Figure 5.
Plot of measured and Simulated Smoke Colour Changes for Each Colour Pigment.
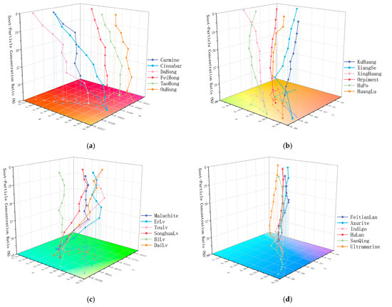
To further characterize the evolution of pigment color under progressive soot deposition, the colorimetric data from all exposure stages were mapped into a three-dimensional parameter space defined by soot loading and chromatic coordinates. This representation enabled visualization of continuous color-evolution trajectories associated with increasing particulate deposition, as illustrated in Figure 6 for the red, yellow, green, and blue pigment systems.
Figure 6.
Three-dimensional Chromatic Evolution Trajectory: (a) Red; (b) Yellow; (c) Green; (d) Blue.
The results indicate that all three tristimulus components (X, Y, and Z) decrease to varying degrees with increasing soot deposition, demonstrating that the soot layer exhibits broadband absorption across the visible spectral range (380–780 nm). The attenuation of reflected light intensity accounts for the observed luminance reduction. Concurrent decreases in the X and Z components induce systematic hue shifts along the red–green and blue–yellow axes, respectively, while the combined effect of tristimulus attenuation leads to chromatic compression and reduced color saturation. The continuous decline in the Y component directly reflects luminance attenuation, resulting in progressively darker visual appearance of the pigment coatings under increasing soot loading.
3.2. Dominant Wavelength and Excitation Purity
To further characterize pigment chromatic evolution under progressive soot deposition, dominant wavelength and excitation purity were calculated for each soot-exposure stage. Their variation trends as functions of soot-particle surface coverage were subsequently analyzed and plotted, as shown in Figure 7.
Figure 7.
Variation Curves of Excitation Purity and Dominant Wavelength with Soot-Particle Concentration Ratio for Different Pigments: (a) Red; (b) Yellow; (c) Green; (d) Blue.
The results demonstrate that increasing soot deposition exerts a pronounced influence on both excitation purity and dominant wavelength across all investigated pigment families. It should be noted that, in this study, excitation purity is employed as a standardized colorimetric indicator to quantify relative saturation loss induced by soot deposition, rather than as a direct surrogate for subjective human perception. While perceptual evaluation may vary across observer groups and viewing conditions, excitation purity provides a reproducible and device-independent metric for describing structural chromatic degradation. In general, excitation purity exhibits a monotonic decreasing trend with increasing soot coverage, indicating progressive chromatic desaturation. Concurrently, the dominant wavelength systematically shifts toward longer wavelengths, reflecting a warm-toned chromatic drift induced by particulate surface contamination. Although these overall trends are consistent, the magnitude and mechanisms of chromatic response vary among the four pigment families, as summarized in Table 3.
Table 3.
Summary of Excitation-Purity Decline and Dominant-Wavelength Shifts of Different Pigment Families under Soot Deposition.
For red pigments, excitation purity decreases continuously as soot coverage increases, resulting in progressively duller hues. Long-wavelength red pigments exhibit more pronounced wavelength shifts, whereas shorter-wavelength reds display weaker or mixed spectral responses. Yellow pigments generally show decreasing excitation purity; however, a small subset of low-saturation pigments exhibits stepwise or marginal increases, likely associated with changes in surface scattering induced by soot adsorption. Green pigments display high sensitivity to soot interference, with significant long-wavelength shifts from blue–green toward yellow–green and yellow hues, accompanied by rapid saturation loss. Blue pigments exhibit the most severe chromatic degradation, with excitation purity reductions exceeding 60% and dominant wavelength shifts toward green, indicating strong short-wavelength suppression.
Overall, soot deposition induces systematic chromatic compression and warm-shift behavior across all pigment families, with dominant wavelengths migrating toward the yellow–orange region. Blue and yellow pigments show the highest sensitivity to soot-induced optical degradation, whereas red and green pigments exhibit comparatively greater chromatic stability. These differentiated response patterns reflect the wavelength-dependent absorption and masking effects of carbonaceous soot and provide a quantitative optical basis for subsequent color-prediction and surface-reconstruction modeling.
3.3. Luminance
Variations in luminance provide a direct indicator of soot-induced optical masking and surface-degradation effects on pigment coatings. A decrease in luminance reflects a reduced ability of the coated surface to reflect incident light. As soot particles accumulate, a particulate deposition layer forms on the pigment surface, acting as an optically active filtering medium that induces broadband absorption and scattering of visible radiation. This process significantly reduces the intensity of reflected light reaching the observer or measuring instruments, resulting in macroscopic darkening and loss of surface detail. In addition to physical masking, prolonged soot exposure may promote physicochemical processes, such as pigment oxidation and binder aging, which modify surface microstructure and further diminish intrinsic reflectance. By quantifying soot-particle surface coverage at each exposure stage using Image-Pro Plus and correlating these values with luminance measurements obtained from the luminance meter, a direct relationship between soot deposition and luminance attenuation was established, as shown in Figure 8.
Figure 8.
Variation Curves of Pigment Luminance with Soot-Particle Concentration Ratio: (a) Red; (b) Yellow; (c) Green; (d) Blue; (e) Purple; (f) Gray.
Systematic analysis across six pigment families reveals that luminance attenuation is a universal response to soot deposition; however, the magnitude and rate of attenuation vary markedly depending on the initial optical properties of the pigments and the extent of particulate coverage. Comparative evaluation indicates pronounced inter-family differences that correlate with initial luminance, scattering efficiency, and intrinsic optical structure. Overall, luminance-decay behavior can be classified into high-attenuation, moderate-attenuation, and low-attenuation types.
Pigments with very high initial luminance and strong reflectance exhibit the most severe attenuation. These include yellow pigments (e.g., Xiangse, >95% attenuation), light-tone red pigments (e.g., Taohong and Ouse, >85%), certain light green and light blue pigments (e.g., Biyu and Ultramarine, 80%–87%), and high-luminance purple pigments (e.g., Hufen and Xueqing, 86%–92%). Owing to their strong surface-scattering capacity, these pigments experience rapid luminance loss once soot accumulates, often following an exponential-like decay trend.
Pigments with moderate initial luminance—such as medium-tone reds, greens, and blues (e.g., Dahong, Feihong, and Shilü)—exhibit intermediate stability. Although their reflectance remains partially preserved during early exposure, luminance attenuation accelerates during intermediate soot-loading stages (Stages 4–7), typically reaching 70%–85%, as increased particulate coverage progressively suppresses scattering pathways.
Pigments with intrinsically low luminance, including deep reds and dark grays (e.g., Yanzhi and Zhuhong), display the mildest attenuation and comparatively higher optical stability. Their low baseline reflectance limits additional masking effects even under substantial soot deposition. Notably, exceptions exist: carbon black exhibits a non-linear luminance response characterized by an initial increase followed by attenuation, reflecting its unique absorption–scattering interplay at the microstructural level.
Overall, luminance decreases significantly for all pigment families under soot exposure, with attenuation severity primarily governed by initial optical characteristics. Yellow and purple pigments show the most pronounced luminance loss due to their high reflectance and susceptibility to masking, whereas red and green pigments with lower initial luminance demonstrate comparatively greater stability. The distinct behavior of gray-series pigments further underscores the decisive role of intrinsic optical properties in determining luminance response to particulate surface contamination.
3.4. Color Difference (ΔE)
As a composite metric integrating variations in lightness, hue, and chromatic saturation, color difference (ΔE) provides a quantitative indicator of overall optical deviation of pigment coatings from their initial chromatic state under soot deposition. Increasing ΔE values reflect progressive chromatic distortion induced by particulate surface contamination and are directly associated with reduced color fidelity and surface visual integrity. In colorimetric evaluation, a ΔE value exceeding 5 is commonly regarded as the threshold for visually perceptible color change under standard viewing conditions, providing a useful reference for assessing the practical significance of optical degradation.
By systematically analyzing the evolution of ΔE as a function of soot-particle surface coverage, the sensitivity of different pigment coatings to particulate-induced chromatic degradation was quantitatively evaluated, as illustrated in Figure 9. The results indicate that both the rate and magnitude of ΔE increase vary substantially among pigment families, revealing distinct and systematic response behaviors governed by intrinsic material and optical properties.

Figure 9.
Variation Curves of Pigment Color Difference (ΔE) with Soot-Particle Concentration Ratio: (a) Red; (b) Yellow; (c) Green; (d) Blue; (e) Purple; (f) Gray.
The stability rankings and variation characteristics of each chromatic family are summarized in Table 4. Comparative analysis shows that pigments with high initial reflectance and strong short-wavelength contribution exhibit the most rapid ΔE growth under soot deposition. Yellow and blue pigment systems display pronounced ΔE increases, indicating high sensitivity to surface masking and absorption effects induced by carbonaceous soot. In contrast, green and gray pigments generally show lower ΔE growth rates, reflecting comparatively higher chromatic stability associated with lower baseline reflectance or reduced spectral contrast. Red and purple pigments exhibit intermediate behavior, with stability strongly dependent on pigment composition, surface activity, and microstructural compactness.
Table 4.
Summary of ΔE Variation Characteristics and Stability Ranking of Pigments under Soot Deposition.
Overall, ΔE increases monotonically with soot loading for all pigment families; however, the magnitude and progression rate are strongly color-series dependent. These differentiated ΔE responses highlight the dominant role of intrinsic optical properties in governing pigment sensitivity to particulate surface contamination and provide a quantitative basis for evaluating optical degradation severity and developing pigment-specific color-prediction and surface-reconstruction models.
4. Discussion
4.1. Color Decay Model
The results of this study demonstrate that soot-particle deposition significantly degrades the chromatic performance of pigment coatings on painted surfaces. The dominant optical mechanism responsible for this degradation is the broadband absorption of visible radiation by carbonaceous particles, which is consistent with the strong light-absorbing behavior of carbon-rich aerosols reported by Bond and Bergstrom (2006) [22], as well as experimental observations by Bellan (2000) [23] and Berdahl (2002) [24], showing that particulate accumulation leads to pronounced surface darkening. Beyond luminance attenuation, the present study further reveals that soot deposition induces coordinated changes in hue and chromatic saturation, indicating a systematic disruption of surface optical response rather than isolated color loss.
By representing soot-induced chromatic evolution as continuous three-dimensional color trajectories, this work captures the coupled variations in lightness, hue, and saturation under progressive particulate loading. This approach provides a dynamic description of pigment color decay, enabling quantitative interpretation of color evolution pathways driven by surface deposition processes. In contrast to conventional static color-difference assessments, the proposed model reflects the integrated nature of optical degradation at the coated-surface level.
Building upon existing color-analysis and pigment-characterization techniques (Table 5), the principal contribution of this research lies in establishing a quantitative mapping framework that links soot-particle surface coverage, colorimetric variation, and perceptible optical degradation. The resulting three-dimensional chromatic evolution model enables direct visualization and predictive interpretation of pigment color decay, thereby advancing color-degradation analysis from descriptive characterization toward mechanism-informed and quantitatively interpretable modeling.
Table 5.
Comparison of Common Methods in Color Research.
Despite these advances, the current model does not yet incorporate more complex degradation phenomena commonly observed in situ, such as pigment migration, powdering of pigment layers, or substrate weakening. The proposed chromatic trajectories should therefore be interpreted as normalized phenomenological descriptors derived under controlled soot-deposition conditions, rather than as universal predictors applicable to arbitrary environmental histories. It should be noted that the surface deposition–driven color degradation model proposed in this study is expressed in terms of soot-particle coverage rather than explicit chronological time. In real heritage environments, the duration of soot-induced chromatic degradation is strongly influenced by site-specific factors such as soot generation intensity, ritual frequency, ventilation conditions, and ambient humidity. Consequently, long-term in situ monitoring is required to establish time-resolved degradation rates and to translate particulate accumulation into temporal scales in the future.
4.2. Main Wavelength and Chroma Purity
This study demonstrates that soot-particle deposition not only reduces the reflectance of pigment coatings but also systematically restructures their chromatic organization by redistributing spectral energy. The observed shifts in dominant wavelength and the decline in excitation purity arise primarily from the strong wavelength-selective absorption and scattering of short-wave radiation by carbonaceous particles, which displace the spectral centroid toward longer wavelengths. This process results in a perceptible warm shift in hue accompanied by chromatic desaturation. These findings are consistent with confocal micro-Raman analyses reported by Li (2017) [29], which confirmed that carbonaceous particles preferentially suppress short-wavelength reflectance while enhancing long-wavelength scattering.
Within the framework of CIE colorimetry, this study further establishes a quantitative coupling relationship between soot-particle surface coverage and variations in dominant wavelength and excitation purity. The results reveal a synergistic mechanism by which particulate deposition simultaneously drives hue drift and saturation loss, reflecting coordinated optical responses rather than isolated color changes.
Compared with previous studies that primarily employed reflectance or macroscopic color parameters to assess chromatic degradation (Table 6), the present work characterizes color evolution using a dual-parameter approach based on dominant wavelength and excitation purity. This strategy enables a direct linkage between spectral-energy redistribution at the surface level and perceptual color change. Dominant-wavelength shifts capture the pigment system’s response to wavelength-dependent absorption, whereas excitation-purity reduction quantifies the combined effects of enhanced scattering and surface masking on chromatic saturation. Together, these parameters constitute a spectral–perceptual mapping framework for soot-induced optical degradation of pigment coatings.
Table 6.
Methods and Findings of Different Mural Studies.
Microstructural evolution, such as soot infiltration into binder pore networks, together with chemically mediated aging processes, may further modulate chromatic behavior under long-term exposure. However, these effects typically operate over extended timescales and are therefore considered secondary mechanisms beyond the primary scope of the present study. Although the controlled soot-deposition conditions employed in this study ensure experimental repeatability, they do not fully reproduce the complexity of long-term carbonaceous accumulation in real architectural environments. Future work will integrate microspectroscopy, SEM–EDS, and hyperspectral imaging into an optical–chemical–structural multiscale coupling framework to refine model parameters and enhance the predictive reliability and practical applicability of dominant wavelength and excitation purity for assessing particulate-induced surface degradation.
4.3. Luminance
This study quantitatively establishes the relationship between soot-particle surface coverage and luminance variation, revealing two synergistic mechanisms governing luminance attenuation. First, the soot-deposited layer acts as a physical optical filter that absorbs and scatters incident radiation, thereby reducing reflected flux, darkening the surface, and obscuring fine details. Second, prolonged soot exposure promotes material aging processes that disrupt the microstructure of the pigment–binder system, diminishing intrinsic reflectance and accelerating luminance loss. The former mechanism corresponds to optical masking, whereas the latter reflects structural degradation of the coating layer. This dual-action mechanism is consistent with previous observations; for example, Cabello Briones (2021) [33] demonstrated that the accumulation of fine particulates significantly decreases surface reflectance and luminance, producing a characteristic “visible soiling” effect.
Although broadband absorption by carbonaceous soot governs luminance attenuation, microstructural variations in soot—such as aggregation morphology, graphitization degree, and organic surface coatings—may introduce wavelength-dependent modulation of absorption and scattering. Such effects can selectively suppress short-wavelength reflectance and thereby contribute to pigment-dependent hue shifts beyond uniform darkening.
Comparative analysis of luminance variation across different pigment families (Table 7) reveals a strong negative correlation between initial luminance and optical stability under soot exposure. High-luminance pigments exhibit faster luminance decay primarily due to enhanced optical vulnerability, whereby strong surface scattering is readily suppressed by soot coverage, leading to a disproportionate reduction in reflected flux. High-reflectance pigments, characterized by strong surface scattering and high outgoing radiant flux, are particularly susceptible to particulate-induced optical masking and therefore exhibit rapid luminance decay. In contrast, pigments with lower initial luminance experience reduced marginal masking effects and consequently demonstrate greater luminance stability under equivalent soot-loading conditions.
Table 7.
Luminance Changes in Pigment Color Families After Soot Deposition.
In addition, low-luminance pigments typically exhibit denser particle packing and higher chemical inertness, which confer microstructural advantages that enhance resistance to secondary degradation processes such as oxidation and particulate adhesion. These findings indicate that luminance serves not only as a direct descriptor of soot-induced optical alteration but also as an effective indicator of the combined optical and chemical stability of pigment coating systems under particulate surface contamination.
4.4. Color Difference (ΔE)
The results indicate that soot-induced chromatic degradation of pigment coatings follows a distinct staged response that can be divided into three regimes: a sensitive zone, an insensitive zone, and a stable zone. In the sensitive zone, initial particulate deposition and surface–particle interactions are most pronounced, leading to rapid redistribution of spectral energy and a sharp increase in ΔE. During the insensitive zone, the soot layer gradually becomes denser and interfacial reactivity decreases, resulting in a noticeable reduction in the rate of ΔE growth. Once the system enters the stable zone, ΔE approaches a plateau, indicating that the pigment coating reaches a quasi–steady-state balance between external particulate loading and internal structural response. This staged degradation behavior is consistent with colorimetric response patterns reported by Lorusso (2007) [39].
The boundaries and widths of these response zones vary significantly among pigment families, providing a quantitative basis for distinguishing highly sensitive, moderately responsive, and relatively stable pigment systems. For example, yellow and blue pigments exhibit early-onset and steep sensitive zones followed by delayed stabilization, indicating low resistance to soot-induced optical degradation. In contrast, many green and black pigments show pronounced ΔE increases primarily during the insensitive zone and transition into the stable zone at lower soot loadings, reflecting comparatively higher chromatic resilience.
From a surface-performance perspective, these differentiated ΔE response regimes provide two important implications. First, they enable the definition of critical soot-loading thresholds that may serve as early-warning indicators for particulate-induced optical degradation. Second, they support the preferential selection of pigment systems with greater long-term chromatic stability for surface reconstruction or material substitution in heavily soot-contaminated environments.
Although ΔE provides an objective and quantitative indicator of chromatic deviation and visual perceptibility, it does not capture all aspects of surface performance, such as motif legibility, microstructural integrity, or broader aesthetic evaluation. Future work should therefore extend the response-regime framework to pigment systems with different binders, substrate conditions, and surface states (e.g., pre-cleaning versus post-cleaning) to further assess the generalizability and robustness of the proposed degradation model.
5. Conclusions
This study systematically investigates the mechanisms of soot-induced chromatic degradation of mineral pigment coatings using murals from the Zhaomiao temples in Inner Mongolia as a representative architectural context. Through controlled multi-stage soot-deposition experiments, the optical responses of different pigment systems were quantitatively characterized, including variations in color coordinates, luminance, and color difference. The results demonstrate that soot deposition induces coupled changes in lightness, hue, and chromatic saturation, governed primarily by particulate-induced absorption, scattering, and surface masking effects. It should be emphasized that the “quantitative basis” established in this study does not correspond to a single absolute degradation value. Instead, it consists of parameterized relationships linking soot-particle coverage to measurable optical descriptors. This framework enables comparative and trend-based evaluation of particulate-induced optical degradation across different pigment systems.
Based on experimental observations, a surface deposition–driven color degradation model was established to describe the progressive chromatic evolution of pigment coatings under increasing soot loading. The model captures both continuous color-evolution trajectories and staged color difference response regimes, providing a quantitative and verifiable framework for assessing optical degradation severity and pigment stability. Comparative analysis across pigment families further reveals material-dependent sensitivity to soot contamination, highlighting the dominant role of intrinsic optical properties in determining chromatic resilience.
Although the present study focuses on identifying the regularity of soot-induced chromatic decay rather than proposing monitoring strategies, the use of dominant wavelength and excitation purity as simplified spectral descriptors suggests potential applicability for future in situ observation. With the development of portable and low-cost spectral acquisition technologies, these parameters may support non-contact, trend-based monitoring of mural surface conditions, which remains an important direction for subsequent research.
Despite these advances, the present study does not fully resolve the causal relationships between the physicochemical characteristics of soot particles and specific chromatic responses, nor does it incorporate the combined effects of environmental factors such as temperature–humidity fluctuations, airflow conditions, and multi-source particulate pollution commonly encountered in real architectural interiors. Future work should therefore focus on developing multiphysics-coupled models that integrate optical, chemical, and microstructural parameters within a unified analytical framework. Within digital twin frameworks for heritage sites, the proposed 3D chromatic evolution model could support degradation-aware visualization by linking soot accumulation histories with dynamic color-state updates, thereby enabling scenario-based virtual reconstructions that preserve both aesthetic intent and material history. In addition, the incorporation of hyperspectral imaging and machine-learning-based approaches holds strong potential for improving predictive color modeling and supporting automated assessment and reconstruction of soot-degraded painted surfaces.
Author Contributions
Conceptualization, X.W. and X.S.; methodology, X.W.; validation, X.W., S.W. and D.C.; formal analysis, X.W.; investigation, Y.M.; resources, X.W.; data curation, X.W., S.W. and D.C.; writing—original draft preparation, X.W.; writing—review and editing, X.W.; visualization, X.W.; supervision, X.S.; project administration, X.S.; funding acquisition, X.S. All authors have read and agreed to the published version of the manuscript.
Funding
This research was funded by Science and Technology Program of Inner Mongolia Autonomous Region, grant number 2025YFHH0121, and Natural Science Foundation of Inner Mongolia Autonomous Region, grant number 2025MS05031.
Institutional Review Board Statement
Not applicable.
Informed Consent Statement
Not applicable.
Data Availability Statement
The original contributions presented in the study are included in the article; further inquiries can be directed to the corresponding author.
Acknowledgments
We extend our sincere gratitude to the scholars who contributed to this research, and we also thank the editors and anonymous reviewers for their valuable and constructive comments.
Conflicts of Interest
The authors declare no conflicts of interest.
References
- Qin, J. Protection and Historical Cultural Value of Ancient Chinese Murals. Arch. Constr. 2021, 2, 90–91. [Google Scholar]
- Soo, L.H.; Hui, K.S.; Soon, H.K. Diagnosis and Evaluation of Conservation State of Mural Paintings in Payathonzu Temple on Bagan Heritage Site in Myanmar. J. Conserv. Sci. 2019, 35, 494–507. [Google Scholar] [CrossRef]
- Hu, J. Study on Design Method of Ancient Mural Protection and Restoration. Identif. Apprec. Cult. Relics 2023, 14, 38–41. [Google Scholar] [CrossRef]
- Macchia, A.; Castro, M.; Curbelo, C.; Rivaroli, L.; Capriotti, S.; Vieira, E.; Moreira, P.; Ruffolo, S.A.; Russa, M.F.L. Methods and Products for the Conservation of Vandalized Urban Art Murals. Coatings 2021, 11, 1304. [Google Scholar] [CrossRef]
- Fu, X.; Li, Y.; Sun, Z.; Du, J.; Wang, F.; Xu, Y. Digital Color Restoration of Smoke-Stained Murals in the Mogao Grottoes of Dunhuang. Dunhuang Res. 2021, 1, 137–147. [Google Scholar] [CrossRef]
- Duan, X. Reanalysis of Cleaning Techniques for Smoke-Stained Murals in the Mogao Grottoes. Dunhuang Res. 1985, 2, 185–195. [Google Scholar]
- Wang, Z.; Zhang, Y.; Chi, M. Study on the Symbiotic Relationship between Zhaomiao Temples and Urban Space Based on Visual Field Quantitative Analysis: A Case Study of Dazhao Temple in Hohhot. J. Inn. Mong. Univ. Technol. (Nat. Sci. Ed.) 2024, 43, 154–160. [Google Scholar] [CrossRef]
- Fu, P.; Yu, Z.; Zhang, W.; Su, B. Material Analysis and Conservation Recommendations for the Murals of the Arzhai Grottoes in Inner Mongolia: A Case Study of Cave 28. South. Cult. Relics 2022, 2, 258–267. [Google Scholar]
- Wang, Y.; Zhou, W.; Shi, W.; Ji, J.; Dang, X.; Dong, S.; Li, L. Analysis of Soot Contaminants on the Surface of Murals in the Samye Monastery of Tibet. Sci. Conserv. Archaeol. 2021, 33, 93–97. [Google Scholar] [CrossRef]
- Niu, H.; Wu, F.; Wang, Z. Simulation Experiments and Effect Evaluation of Three Gel Materials for Cleaning Smoke-Stained Murals. Sci. Conserv. Archaeol. 2022, 34, 53–62. [Google Scholar] [CrossRef]
- Fu, X.; Ma, X.; Sun, Z. Digital Restoration of Damaged Murals: A Case Study of Dunhuang Murals. Decoration 2019, 1, 21–27. [Google Scholar] [CrossRef]
- Pan, Y.; Lu, D. Digital Protection and Restoration of Ancient Dunhuang Murals. J. Syst. Simul. 2003, 3, 310–314. [Google Scholar]
- Lu, D.; Pan, Y.; Chen, R. Virtual Reconstruction of the Dunhuang Grottoes and Simulation of Mural Restoration. Acta Geod. Cartogr. Sin. 2002, 1, 12–16. [Google Scholar]
- Spagnolo, G.S.; Somma, F. Virtual restoration of cracks in digitized image of paintings. J. Phys. Conf. Ser. 2010, 249, 012059. [Google Scholar] [CrossRef]
- Mao, J.; Lv, S.; Hou, M.; Wang, W. Line Enhancement Method for Smoke-Stained Murals Based on Joint Spatial–Spectral Features. J. Spatiotemporal Inf. Sci. 2023, 30, 551–559. [Google Scholar] [CrossRef]
- Nasri, A.; Huang, X. Images Enhancement of Ancient Mural Painting of Bey’s Palace Constantine, Algeria and Lacuna Extraction Using Mahalanobis Distance Classification Approach. Sensors 2022, 22, 6643. [Google Scholar] [CrossRef] [PubMed]
- Hu, W. Preliminary Investigation and Analysis of Deterioration in the Murals of the Northern Qi Tomb at Shuozhou Shuiquanliang. Cult. Relics World 2013, 1, 76–80. [Google Scholar]
- Zhang, Y.; Li, B.; Zheng, Y.; Ma, X.; Guo, H. Study of Smoke-Stained Murals in Mutasi Temple Using Infrared Photography. Spectrosc. Spectr. Anal. 2020, 40, 3628–3632. [Google Scholar]
- Guo, H.; Duan, X. Study on the Color Characteristics of Pigments and the Treatment of Mural Deterioration in the Eastern Thousand-Buddha Caves. Dunhuang Res. 1995, 3, 59–73. [Google Scholar]
- Qiao, T.; Guo, H. Analysis of the Materials and Techniques Used in the Murals of the Quyeila Hall of Wudangzhao Monastery in Inner Mongolia. China Natl. Exhib. 2020, 2, 162–165+176. [Google Scholar]
- Dang, R.; Tian, H.; Yuan, Y.; Liu, J.; Wang, N. Color Effects of Typical Museum Light Sources on Organic Pigments Used in Chinese Paintings. China Illum. Eng. J. 2017, 28, 18–21. [Google Scholar]
- Bond, T.C.; Bergstrom, R.W. Light Absorption by Carbonaceous Particles: An Investigative Review. Aerosol Sci. Technol. 2006, 40, 27–67. [Google Scholar] [CrossRef]
- Bellan, L.M.; Salmon, L.G.; Cass, G.R. A Study on the Human Ability To Detect Soot Deposition onto Works of Art. Environ. Sci. Technol. 2000, 34, 1946–1952. [Google Scholar] [CrossRef]
- Berdahl, P.; Akbari, H.; Rose, L.S. Aging of reflective roofs: Soot deposition. Appl. Opt. 2002, 41, 2355–2360. [Google Scholar] [CrossRef]
- Zeng, Z.; Qiu, S.; Zhang, P.; Tang, X.; Li, S.; Liu, X.; Hu, B. Virtual restoration of ancient tomb murals based on hyperspectral imaging. Herit. Sci. 2024, 12, 410. [Google Scholar] [CrossRef]
- Tang, X.; Yan, J.; Zhang, P.; Dong, W.; He, Z.; Qiu, S.; Zeng, Z. Digital restoration of mural paintings from late Tang tomb M1373 in Xi’an based on hyperspectral analysis and image interaction processing. Herit. Sci. 2025, 13, 192. [Google Scholar] [CrossRef]
- Sun, P.; Hou, M.; Lyu, S.; Li, S.; Wang, W.; Cheng, C.; Zhang, T. Virtual cleaning of sooty mural hyperspectral images using the LIME model and improved dark channel prior. Sci. Rep. 2024, 14, 24807. [Google Scholar] [CrossRef]
- del Hoyo-Meléndez, J.M. Physico-chemical characterisation and light stability of dyes and pigments found in cultural heritage objects: Insights from microfading testing for assessing light fastness. Color. Technol. 2025, 141, 265–290. [Google Scholar] [CrossRef]
- Li, Y.; Wang, F.; Fu, X.; Sun, Z.; Xu, Y. Analysis of the pigments for smoked mural by confocal micro-Raman spectroscopy. J. Raman Spectrosc. 2017, 48, 1479–1486. [Google Scholar] [CrossRef]
- Cao, N.; Lyu, S.; Hou, M.; Wang, W.; Gao, Z.; Shaker, A.; Dong, Y. Restoration method of sootiness mural images based on dark channel prior and Retinex by bilateral filter. Herit. Sci. 2021, 9, 30. [Google Scholar] [CrossRef]
- Gómez-Morón, M.A.; Soria-Hoyo, C.; Vendrell, M. Modeling of the color decay and calculation of the original state: The case of San Telmo (18th century), Seville, Spain. Dye. Pigment. 2025, 243, 113064. [Google Scholar] [CrossRef]
- Cappelletti, P.; De Bonis, A.; Di Martire, D.; Esposito, R.; Germinario, C.; Graziano, S.F.; Grifa, C.; Izzo, F.; Montesano, G.; Morra, V.; et al. The Roman villa at the Castle of Baia (Naples, Italy): Investigations on the polychromy of frescoed surfaces by using non-destructive spectroscopic techniques. Herit. Sci. 2024, 12, 328. [Google Scholar] [CrossRef]
- Cabello Briones, C.; Mayorga Pinilla, S.; Vázquez Moliní, D.; Álvarez Fernández-Balbuena, A. Colorimetry to assess the visual impact of dust deposition on mosaics at sheltered archaeological sites. Herit. Sci. 2021, 9, 40. [Google Scholar]
- Cutajar, J.D.; Steindal, C.C.; Caruso, F.; Joseph, E.; Frøysaker, T. Spectral- and Image-Based Metrics for Evaluating Cleaning Tests on Unvarnished Painted Surfaces. Preprints 2024. [Google Scholar] [CrossRef]
- Labate, M.; Aceto, M.; Chiari, G.; Baiocco, S.; Operti, L.; Agostino, A. Multi-Analytical and Non-Invasive Approach for Characterising Blackened Areas of Originally Blue Paints. Molecules 2024, 29, 6043. [Google Scholar] [CrossRef]
- Grau-Bové, J.; Strlič, M. Fine particulate matter in indoor cultural heritage: A literature review. Herit. Sci. 2013, 1, 8. [Google Scholar]
- Al-Emam, E.; Motawea, A.G.; Caen, J.; Janssens, K. Soot removal from ancient Egyptian complex painted surfaces using a double network gel: Empirical tests on the ceiling of the sanctuary of Osiris in the temple of Seti I—Abydos. Herit. Sci. 2021, 9, 1. [Google Scholar] [CrossRef]
- Watt, J.; Jarrett, D.; Hamilton, R. Dose-response functions for the soiling of heritage materials due to air pollution exposure. Sci. Total Environ. 2008, 400, 415–424. [Google Scholar] [CrossRef]
- Lorusso, S.; Natali, A.; Matteucci, C. Colorimetry applied to the field of Cultural Heritage: Examples of study cases. Conserv. Sci. Cult. Herit. 2007, 7, 187–208. [Google Scholar]
Disclaimer/Publisher’s Note: The statements, opinions and data contained in all publications are solely those of the individual author(s) and contributor(s) and not of MDPI and/or the editor(s). MDPI and/or the editor(s) disclaim responsibility for any injury to people or property resulting from any ideas, methods, instructions or products referred to in the content. |
© 2026 by the authors. Licensee MDPI, Basel, Switzerland. This article is an open access article distributed under the terms and conditions of the Creative Commons Attribution (CC BY) license.