Exploiting Turmeric’s Coloring Capability to Develop a Functional Pigment for Wood Paints: Sustainable Coloring Process of Polyamide 11 Powders and Their Strengthening Performance
Abstract
1. Introduction
2. Materials and Methods
2.1. Materials
2.2. Filler Coloration
2.3. Samples Production
2.4. Characterization
3. Results and Discussion
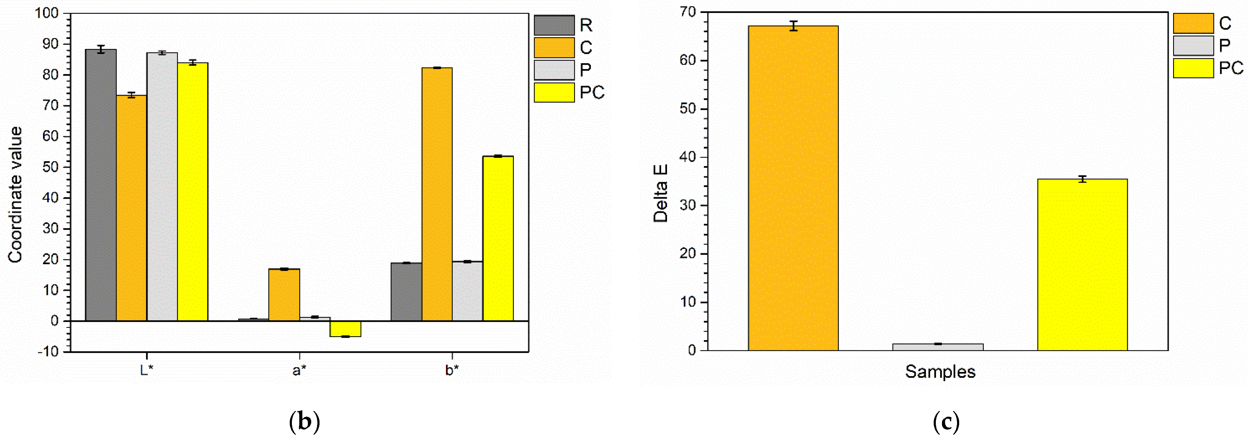
3.1. Additives and Coatings Appearance
- L* signifies lightness, ranging from 0 (for black objects) to 100 (for white objects);
- the a* axis indicates the red-green axis, with positive values denoting redness and negative values indicating greenness;
- the b* axis represents the yellow-blue axis, where positive values indicate yellowness and negative values indicate blueness.
3.2. Effect of the Coloring of the PA11-Based Additive on Its Strengthening Properties
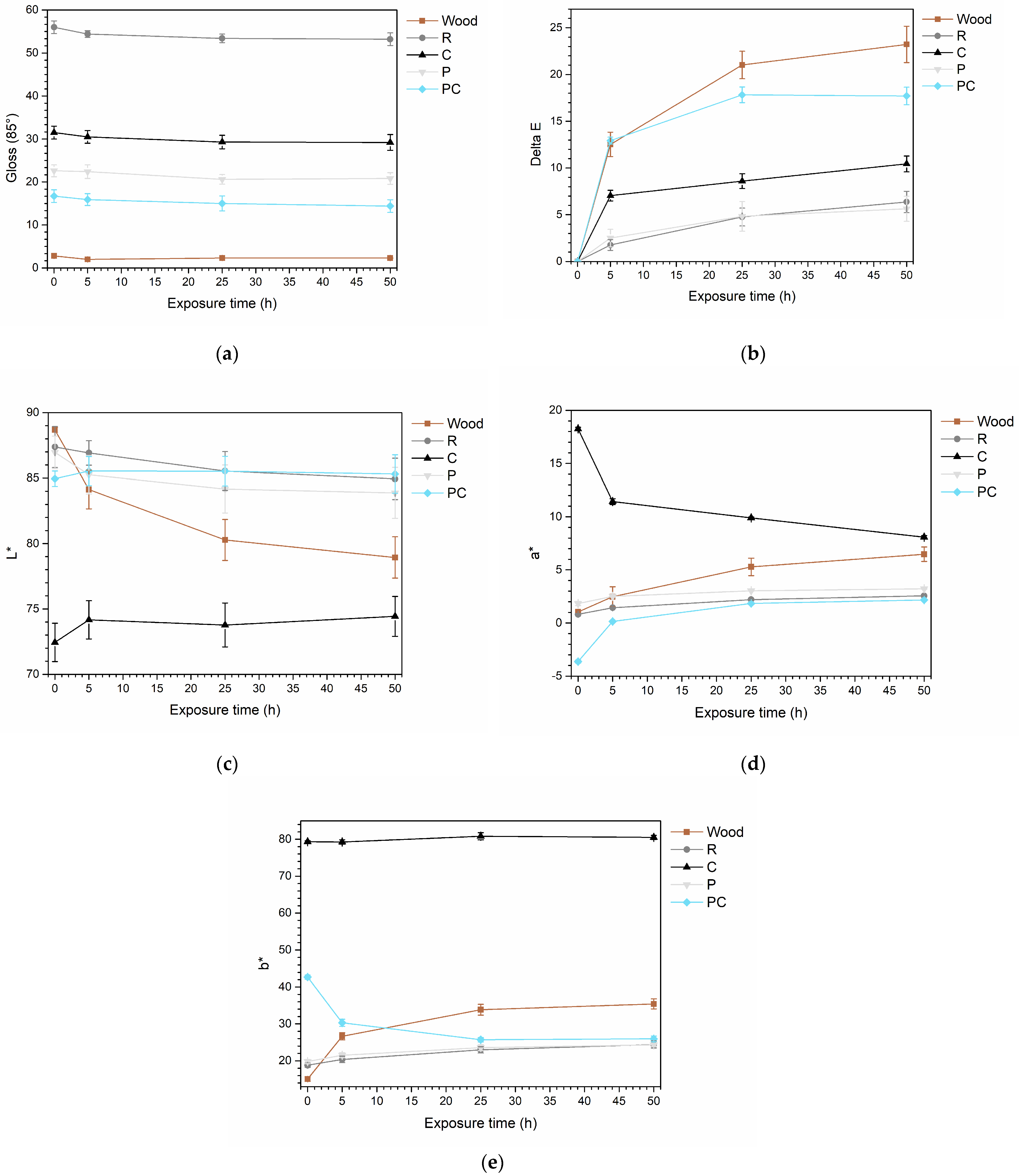
3.3. Color Stability and Aesthetic Durability of the Colored PA11-Based Additive
4. Conclusions
Author Contributions
Funding
Institutional Review Board Statement
Informed Consent Statement
Data Availability Statement
Acknowledgments
Conflicts of Interest
References
- Khanna, A.S. High-Performance Organic Coatings; Elsevier: Amsterdam, The Netherlands, 2008. [Google Scholar]
- Kandi, S.G.; Panahi, B.; Zoghi, N. Impact of surface texture from fine to coarse on perceptual and instrumental gloss. Prog. Org. Coat. 2022, 171, 107028. [Google Scholar] [CrossRef]
- Makhlouf, A.S.H. Handbook of Smart Coatings for Materials Protection; Elsevier: Amsterdam, The Netherlands, 2014. [Google Scholar]
- Fotovvati, B.; Namdari, N.; Dehghanghadikolaei, A. On coating techniques for surface protection: A review. J. Manuf. Mater. Process. 2019, 3, 28. [Google Scholar] [CrossRef]
- Zareanshahraki, F.; Mannari, V. Formulation and optimization of radiation-curable nonisocyanate polyurethane wood coatings by mixture experimental design. J. Coat. Technol. Res. 2021, 18, 695–715. [Google Scholar] [CrossRef]
- Bansal, R.; Nair, S.; Pandey, K.K. UV resistant wood coating based on zinc oxide and cerium oxide dispersed linseed oil nano-emulsion. Mater. Today Commun. 2022, 30, 103177. [Google Scholar] [CrossRef]
- Jirouš-Rajković, V.; Miklečić, J. Enhancing weathering resistance of wood—A review. Polymers 2021, 13, 1980. [Google Scholar] [CrossRef] [PubMed]
- Veigel, S.; Grüll, G.; Pinkl, S.; Obersriebnig, M.; Müller, U.; Gindl-Altmutter, W. Improving the mechanical resistance of waterborne wood coatings by adding cellulose nanofibres. React. Funct. Polym. 2014, 85, 214–220. [Google Scholar] [CrossRef]
- Hochmańska-Kaniewska, P.; Janiszewska, D.; Oleszek, T. Enhancement of the properties of acrylic wood coatings with the use of biopolymers. Prog. Org. Coat. 2022, 162, 106522. [Google Scholar] [CrossRef]
- Miri Tari, S.M.; Tarmian, A.; Azadfallah, M. Improving fungal decay resistance of solvent and waterborne polyurethane-coated wood by free and microencapsulated thyme essential oil. J. Coat. Technol. Res. 2022, 19, 959–966. [Google Scholar] [CrossRef]
- Nikolic, M.; Lawther, J.M.; Sanadi, A.R. Use of nanofillers in wood coatings: A scientific review. J. Coat. Technol. Res. 2015, 12, 445–461. [Google Scholar] [CrossRef]
- Janesch, J.; Czabany, I.; Hansmann, C.; Mautner, A.; Rosenau, T.; Gindl-Altmutter, W. Transparent layer-by-layer coatings based on biopolymers and CeO2 to protect wood from UV light. Prog. Org. Coat. 2020, 138, 105409. [Google Scholar] [CrossRef]
- Cheumani Yona, A.M.; Žigon, J.; Ngueteu Kamlo, A.; Pavlič, M.; Dahle, S.; Petrič, M. Preparation, Surface Characterization, and Water Resistance of Silicate and Sol-Silicate Inorganic–Organic Hybrid Dispersion Coatings for Wood. Materials 2021, 14, 3559. [Google Scholar] [CrossRef] [PubMed]
- Yang, J.; Li, H.; Yi, Z.; Liao, M.; Qin, Z. Stable superhydrophobic wood surface constracting by KH580 and nano-Al2O3 on polydopamine coating with two process methods. Colloids Surf. A Physicochem. Eng. Asp. 2022, 637, 128219. [Google Scholar] [CrossRef]
- Duan, X.; Liu, S.; Huang, E.; Shen, X.; Wang, Z.; Li, S.; Jin, C. Superhydrophobic and antibacterial wood enabled by polydopamine-assisted decoration of copper nanoparticles. Colloids Surf. A Physicochem. Eng. Asp. 2020, 602, 125145. [Google Scholar] [CrossRef]
- Janin, G.; Gonçalez, J.C.; Ananías, R.A.; Charrier, B.; Silva, G.F.d.; Dilem, A. Aesthetics Appreciation of Wood Colour and Patterns by Colorimetry. Part 1. Colorimetry Theory for the CIELab System; Departamento de Engenharia da Madeira, da Universidade de Bío-Bío em Concepción: Concepción, Chile, 2001. [Google Scholar]
- Wiemann, M.C. Characteristics and availability of commercially important woods. In Forest Products Laboratory. Wood Handbook: Wood as an Engineering Material; United States Department of Agriculture Forest Service: Madison, WI, USA, 2010. [Google Scholar]
- Yan, X.; Chang, Y.; Qian, X. Effect of the concentration of pigment slurry on the film performances of waterborne wood coatings. Coatings 2019, 9, 635. [Google Scholar] [CrossRef]
- Calovi, M.; Zanardi, A.; Rossi, S. Recent Advances in Bio-Based Wood Protective Systems: A Comprehensive Review. Appl. Sci. 2024, 14, 736. [Google Scholar] [CrossRef]
- Teaca, C.A.; Roşu, D.; Mustaţă, F.; Rusu, T.; Roşu, L.; Roşca, I.; Varganici, C.-D. Natural bio-based products for wood coating and protection against degradation: A Review. BioResources 2019, 14, 4873–4901. [Google Scholar] [CrossRef]
- Calovi, M.; Rossi, S. Impact of High Concentrations of Cellulose Fibers on the Morphology, Durability and Protective Properties of Wood Paint. Coatings 2023, 13, 721. [Google Scholar] [CrossRef]
- Pacheco, C.M.; Cecilia, B.A.; Reyes, G.; Oviedo, C.; Fernández-Pérez, A.; Elso, M.; Rojas, O.J. Nanocomposite additive of SiO2/TiO2/nanocellulose on waterborne coating formulations for mechanical and aesthetic properties stability on wood. Mater. Today Commun. 2021, 29, 102990. [Google Scholar] [CrossRef]
- Jusic, J.; Tamantini, S.; Romagnoli, M.; Vinciguerra, V.; Di Mattia, E.; Zikeli, F.; Cavalera, M.; Scarascia Mugnozza, G. Improving sustainability in wood coating: Testing lignin and cellulose nanocrystals as additives to commercial acrylic wood coatings for bio-building. iFOREST 2021, 14, 499. [Google Scholar] [CrossRef]
- Calovi, M.; Rossi, S. Comparative analysis of the advantages and disadvantages of utilizing spirulina-derived pigment as a bio-based colorant for wood impregnator. Coatings 2023, 13, 1154. [Google Scholar] [CrossRef]
- Calovi, M.; Rossi, S. Synergistic contribution of bio-based additives in wood paint: The combined effect of pigment deriving from spirulina and multifunctional filler based on carnauba wax. Prog. Org. Coat. 2023, 182, 107713. [Google Scholar] [CrossRef]
- Calovi, M.; Rossi, S. Exploring polyamide 11 as a novel renewable resource-based filler in wood paint: Investigating aesthetic aspects and durability impact of the composite coating. Prog. Org. Coat. 2024, 188, 108262. [Google Scholar] [CrossRef]
- Calovi, M.; Rossi, S. Eco-Friendly Multilayer Coating Harnessing the Functional Features of Curcuma-Based Pigment and Rice Bran Wax as a Hydrophobic Filler. Materials 2023, 16, 7086. [Google Scholar] [CrossRef] [PubMed]
- Bello, J.; Wood, R. Micro-abrasion of filled and unfilled polyamide 11 coatings. Wear 2005, 258, 294–302. [Google Scholar] [CrossRef]
- Akarchariya, N.; Sirilun, S.; Julsrigival, J.; Chansakaowa, S. Chemical profiling and antimicrobial activity of essential oil from Curcuma aeruginosa Roxb., Curcuma glans K. Larsen & J. Mood and Curcuma cf. xanthorrhiza Roxb. collected in Thailand. Asian Pac. J. Trop. Biomed. 2017, 7, 881–885. [Google Scholar]
- Jayaprakasha, G.; Rao, L.J.M.; Sakariah, K. Chemistry and biological activities of C. longa. Trends Food Sci. Technol. 2005, 16, 533–548. [Google Scholar] [CrossRef]
- Itokawa, H.; Shi, Q.; Akiyama, T.; Morris-Natschke, S.L.; Lee, K.-H. Recent advances in the investigation of curcuminoids. Chin. Med. 2008, 3, 11. [Google Scholar] [CrossRef] [PubMed]
- Ahmad, R.S.; Hussain, M.B.; Sultan, M.T.; Arshad, M.S.; Waheed, M.; Shariati, M.A.; Plygun, S.; Hashempur, M.H. Biochemistry, safety, pharmacological activities, and clinical applications of turmeric: A mechanistic review. eCAM 2020, 2020, 7656919. [Google Scholar] [CrossRef] [PubMed]
- Amalraj, A.; Pius, A.; Gopi, S.; Gopi, S. Biological activities of curcuminoids, other biomolecules from turmeric and their derivatives–A review. J. Tradit. Complement. Med. 2017, 7, 205–233. [Google Scholar] [CrossRef] [PubMed]
- Lykidou, S.; Pashou, M.; Vouvoudi, E.; Nikolaidis, N. Study on the dyeing properties of curcumin on natural and synthetic fibers and antioxidant and antibacterial activities. Fibers Polym. 2021, 22, 3336–3342. [Google Scholar] [CrossRef]
- Priyadarsini, K.I. The chemistry of curcumin: From extraction to therapeutic agent. Molecules 2014, 19, 20091–20112. [Google Scholar] [CrossRef] [PubMed]
- Jiang, T.; Ghosh, R.; Charcosset, C. Extraction, purification and applications of curcumin from plant materials-A comprehensive review. Trends Food Sci. Technol. 2021, 112, 419–430. [Google Scholar] [CrossRef]
- Paulucci, V.P.; Couto, R.O.; Teixeira, C.C.; Freitas, L.A.P. Optimization of the extraction of curcumin from Curcuma longa rhizomes. Rev. Bras. Farmacogn. 2013, 23, 94–100. [Google Scholar] [CrossRef]
- Takenaka, M.; Ohkubo, T.; Okadome, H.; Sotome, I.; Itoh, T.; Isobe, S. Effective extraction of curcuminoids by grinding turmeric (Curcuma longa) with medium-chain triacylglycerols. Food Sci. Technol. Res. 2013, 19, 655–659. [Google Scholar] [CrossRef]
- Ali, I.; Haque, A.; Saleem, K. Separation and identification of curcuminoids in turmeric powder by HPLC using phenyl column. Anal. Methods 2014, 6, 2526–2536. [Google Scholar] [CrossRef]
- Popuri, A.K.; Pagala, B. Extraction of curcumin from turmeric roots. Int. J. Innov. Res. Stud. 2013, 2, 289–299. [Google Scholar]
- Horosanskaia, E.; Yuan, L.; Seidel-Morgenstern, A.; Lorenz, H. Purification of curcumin from ternary extract-similar mixtures of curcuminoids in a single crystallization step. Crystals 2020, 10, 206. [Google Scholar] [CrossRef]
- Pan, Y.; Ju, R.; Cao, X.; Pei, H.; Zheng, T.; Wang, W. Optimization extraction and purification of biological activity curcumin from Curcuma longa L by high-performance counter-current chromatography. J. Sep. Sci. 2020, 43, 1586–1592. [Google Scholar] [CrossRef] [PubMed]
- Li, M.; Ngadi, M.O.; Ma, Y. Optimisation of pulsed ultrasonic and microwave-assisted extraction for curcuminoids by response surface methodology and kinetic study. Food Chem. 2014, 165, 29–34. [Google Scholar] [CrossRef] [PubMed]
- Kim, Y.-J.; Lee, H.J.; Shin, Y. Optimization and validation of high-performance liquid chromatography method for individual curcuminoids in turmeric by heat-refluxed extraction. J. Agric. Food Chem. 2013, 61, 10911–10918. [Google Scholar] [CrossRef] [PubMed]
- Lee, K.-J.; Ma, J.-Y.; Kim, Y.-S.; Kim, D.-S.; Jin, Y. High purity extraction and simultaneous high-performance liquid chromatography analysis of curcuminoids in turmeric. J. Appl. Biol. Chem. 2012, 55, 61–65. [Google Scholar] [CrossRef]
- Lampe, V.; Milobedzka, J. Studien über curcumin. Ber. Dtsch. Chem. Ges. 1913, 46, 2235–2240. [Google Scholar] [CrossRef]
- Venkateswarlu, S.; Ramachandra, M.S.; Subbaraju, G.V. Synthesis and biological evaluation of polyhydroxycurcuminoids. Bioorg. Med. Chem. 2005, 13, 6374–6380. [Google Scholar] [CrossRef] [PubMed]
- Rao, E.V.; Sudheer, P. Revisiting curcumin chemistry part I: A new strategy for the synthesis of curcuminoids. Indian J. Pharm. Sci. 2011, 73, 262. [Google Scholar] [PubMed]
- Balatinecz, J.J.; Kretschmann, D.E.; Leclercq, A. Achievements in the utilization of poplar wood–guideposts for the future. For. Chron. 2001, 77, 265–269. [Google Scholar] [CrossRef]
- Balatinecz, J.J.; Kretschmann, D.E. Properties and utilization of poplar wood. In Poplar Culture in North America; NRC Research Press: Ottawa, ON, Canada, 2001; pp. 277–291. ISBN 978-0-660-18145-5. [Google Scholar]
- ASTM D523-14; Standard Test Method for Specular Gloss. ASTM International: West Conshohocken, PA, USA, 2014; pp. 1–12.
- ASTM D4060; Standard Test Method for Abrasion Resistance of Organic Coatings by the Taber Abraser. ASTM International: West Conshohocken, PA, USA, 2010; pp. 1–13.
- Calovi, M.; Rossi, S. Olive pit powder as multifunctional pigment for waterborne paint: Influence of the bio-based filler on the aesthetics, durability and mechanical features of the polymer matrix. Ind. Crop. Prod. 2023, 194, 116326. [Google Scholar] [CrossRef]
- Federici, M.; Gialanella, S.; Leonardi, M.; Perricone, G.; Straffelini, G. A preliminary investigation on the use of the pin-on-disc test to simulate off-brake friction and wear characteristics of friction materials. Wear 2018, 410, 202–209. [Google Scholar] [CrossRef]
- ISO 2815-2000; Determinazione Della Durezza con il Metodo di Penetrazione Buchholz. UNI–Ente Nazionale Italiano di Unificazione: Roma, Italy, 2000; pp. 1–10.
- ASTM D4587-11(2019)e1; Standard Practice for Fluorescent UV-Condensation Exposures of Paint and Related Coatings. ASTM International: West Conshohocken, PA, USA, 2019; pp. 1–6.
- UNI EN 12720-14; Assessment of Surface Resistance to Cold Liquids. European Committee for Standardization: Brussels, Belgium, 2014; pp. 1–4.
- EN927-05; Paints and Varnishes–Coating Materials and Coating Systems for Exterior Wood–Part 5: Assessment of the Liquid Water Permeability. European Standard: Brussels, Belgium, 2005; pp. 1–18.
- ASTM-E308-18; Standard Practice for Computing the Colors of Objectives by Using the CIE System. ASTM International: West Conshohocken, PA, USA, 2018; pp. 1–45.
- Mokrzycki, W.; Tatol, M. Colour difference ∆E–A survey. Mach. Graph. Vis. 2011, 20, 383–411. [Google Scholar]
- Calovi, M.; Russo, F.; Rossi, S. Esthetic performance of thermochromic pigments in cataphoretic and sprayed coatings for outdoor applications. J. Appl. Polym. Sci. 2021, 138, 50622. [Google Scholar] [CrossRef]
- Kawada, J.; Kitou, M.; Mouri, M.; Mitsuoka, T.; Araki, T.; Lee, C.-H.; Ario, T.; Kitou, O.; Usuki, A. Morphology controlled PA11 bio-alloys with excellent impact strength. ACS Sustain. Chem. Eng. 2016, 4, 2158–2164. [Google Scholar] [CrossRef]
- Rajesh, J.J.; Bijwe, J.; Tewari, U. Abrasive wear performance of various polyamides. Wear 2002, 252, 769–776. [Google Scholar] [CrossRef]
- Calovi, M.; Rossi, S. The impact of stainless steel flakes as a novel multifunctional pigment for wood coatings. J. Coat. Technol. Res. 2024, 21, 1031–1047. [Google Scholar] [CrossRef]
- Sbardella, F.; Pronti, L.; Santarelli, M.L.; Asua Gonzàlez, J.M.; Bracciale, M.P. Waterborne acrylate-based hybrid coatings with enhanced resistance properties on stone surfaces. Coatings 2018, 8, 283. [Google Scholar] [CrossRef]
- Sahu, P.; Mahanwar, P.; Bambole, V. Effect of hollow glass microspheres and cenospheres on insulation properties of coatings. Pigm. Resin Technol. 2013, 42, 223–230. [Google Scholar] [CrossRef]
- Rabinowicz, E.; Tanner, R. Friction and wear of materials. J. Appl. Mech. 1966, 33, 479. [Google Scholar] [CrossRef]
- Hutchings, I.; Shipway, P. Tribology: Friction and Wear of Engineering Materials; Butterworth-Heinemann: Oxford, UK, 2017. [Google Scholar]
- Straffelini, G. A simplified approach to the adhesive theory of friction. Wear 2001, 249, 78–84. [Google Scholar] [CrossRef]
- Calovi, M.; Rossi, S. Evaluating the versatility of stainless steel flakes and magnetite powder as polyvalent additives for wood paints. J. Mater. Res. Technol. 2024, 29, 1010–1024. [Google Scholar] [CrossRef]
- Priyadarsini, K.I. Photophysics, photochemistry and photobiology of curcumin: Studies from organic solutions, bio-mimetics and living cells. J. Photochem. Photobiol. C Photochem. 2009, 10, 81–95. [Google Scholar] [CrossRef]
- Nardo, L.; Andreoni, A.; Masson, M.; Haukvik, T.; Tønnesen, H.H. Studies on curcumin and curcuminoids. XXXIX. Photophysical properties of bisdemethoxycurcumin. J. Fluoresc. 2011, 21, 627–635. [Google Scholar] [CrossRef] [PubMed]
- Jung, Y.N.; Hong, J. Changes in chemical properties and bioactivities of turmeric pigments by photo-degradation. AIMS Agric. Food 2021, 6, 754–767. [Google Scholar] [CrossRef]
- Groeneveld, I.; Kanelli, M.; Ariese, F.; van Bommel, M.R. Parameters that affect the photodegradation of dyes and pigments in solution and on substrate—An overview. Dyes Pigm. 2023, 210, 110999. [Google Scholar] [CrossRef]
- Calovi, M.; Rossi, S. From wood waste to wood protection: New application of black bio renewable water-based dispersions as pigment for bio-based wood paint. Prog. Org. Coat. 2023, 180, 107577. [Google Scholar] [CrossRef]
- Teacă, C.-A.; Roşu, D.; Bodîrlău, R.; Roşu, L. Structural Changes in Wood under Artificial UV Light Irradiation Determined by FTIR Spectroscopy and Color Measurements--A Brief Review. BioResources 2013, 8, 1478–1507. [Google Scholar] [CrossRef]
- Brischke, C.; Bayerbach, R.; Otto Rapp, A. Decay-influencing factors: A basis for service life prediction of wood and wood-based products. Wood Mater. Sci. Eng. 2006, 1, 91–107. [Google Scholar] [CrossRef]
- Chiantore, O.; Trossarelli, L.; Lazzari, M. Photooxidative degradation of acrylic and methacrylic polymers. Polymer 2000, 41, 1657–1668. [Google Scholar] [CrossRef]
- Kaczmarek, H.; Kamińska, A.; van Herk, A. Photooxidative degradation of poly(alkyl methacrylate)s. Eur. Polym. J. 2000, 36, 767–777. [Google Scholar] [CrossRef]
- Kropat, M.; Hubbe, M.A.; Laleicke, F. Natural, accelerated, and simulated weathering of wood: A review. BioResources 2020, 15, 9998. [Google Scholar] [CrossRef]
- Calovi, M.; Coroneo, V.; Palanti, S.; Rossi, S. Colloidal silver as innovative multifunctional pigment: The effect of Ag concentration on the durability and biocidal activity of wood paints. Prog. Org. Coat. 2023, 175, 107354. [Google Scholar] [CrossRef]
- Khurana, A.; Ho, C.-T. High performance liquid chromatographic analysis of curcuminoids and their photo-oxidative decomposition compounds in Curcuma longa L. J. Liq. Chromatogr. 1988, 11, 2295–2304. [Google Scholar] [CrossRef]
- Jitoe-Masuda, A.; Fujimoto, A.; Masuda, T. Curcumin: From chemistry to chemistry-based functions. Curr. Pharm. Des. 2013, 19, 2084–2092. [Google Scholar] [PubMed]
- Wulandari, A.; Sunarti, T.C.; Fahma, F.; Enomae, T. The potential of bioactives as biosensors for detection of pH. IOP Conf. Ser. Earth Environ. Sci. 2019, 460, 012034. [Google Scholar] [CrossRef]
- Pourreza, N.; Golmohammadi, H. Application of curcumin nanoparticles in a lab-on-paper device as a simple and green pH probe. Talanta 2015, 131, 136–141. [Google Scholar] [CrossRef] [PubMed]
- Anand, P.; Kunnumakkara, A.B.; Newman, R.A.; Aggarwal, B.B. Bioavailability of curcumin: Problems and promises. Mol. Pharm. 2007, 4, 807–818. [Google Scholar] [CrossRef] [PubMed]
- Tønnesen, H.H.; Másson, M.; Loftsson, T. Studies of curcumin and curcuminoids. XXVII. Cyclodextrin complexation: Solubility, chemical and photochemical stability. Int. J. Pharm. 2002, 244, 127–135. [Google Scholar] [CrossRef] [PubMed]
- Stankovic, I. Curcumin Chemical and TechnicalAssessment (CTA), 61st JECFA; Joint FAO/WHO Expert Committee on Food Additives (JECFA), Nfao: Rome, Italy, 2004.
- Zhou, M.; LI, F.; Chen, J.; Wu, Q.; Zou, Z. Research progress on natural bio-based encapsulation system of curcumin and its stabilization mechanism. Food Sci. Technol. 2022, 42, e78422. [Google Scholar] [CrossRef]
- Zhang, Y.; Jin, J.; Wang, S. Effects of resin and wax on the water uptake behavior of wood strands. Wood Fiber Sci. 2007, 39, 271–278. [Google Scholar]
- Yang, C.; Tartaglino, U.; Persson, B. Influence of surface roughness on superhydrophobicity. Phys. Rev. Lett. 2006, 97, 116103. [Google Scholar] [CrossRef] [PubMed]
- Maghsoudy-Louyeh, S.; Ju, H.; Tittmann, B. Surface roughness study in relation with hydrophilicity/hydrophobicity of materials using atomic force microscopy. AIP Conf. Proc. 2010, 1211, 1487–1492. [Google Scholar]

















| Samples Nomenclature | Additives (4 wt.%) Introduced in the Paint Formulation |
|---|---|
| R | / |
| C | Turmeric powder |
| P | PA11 powder |
| PC | Colored PA11 powder |
Disclaimer/Publisher’s Note: The statements, opinions and data contained in all publications are solely those of the individual author(s) and contributor(s) and not of MDPI and/or the editor(s). MDPI and/or the editor(s) disclaim responsibility for any injury to people or property resulting from any ideas, methods, instructions or products referred to in the content. |
© 2024 by the authors. Licensee MDPI, Basel, Switzerland. This article is an open access article distributed under the terms and conditions of the Creative Commons Attribution (CC BY) license (https://creativecommons.org/licenses/by/4.0/).
Share and Cite
Calovi, M.; Rossi, S. Exploiting Turmeric’s Coloring Capability to Develop a Functional Pigment for Wood Paints: Sustainable Coloring Process of Polyamide 11 Powders and Their Strengthening Performance. Coatings 2024, 14, 858. https://doi.org/10.3390/coatings14070858
Calovi M, Rossi S. Exploiting Turmeric’s Coloring Capability to Develop a Functional Pigment for Wood Paints: Sustainable Coloring Process of Polyamide 11 Powders and Their Strengthening Performance. Coatings. 2024; 14(7):858. https://doi.org/10.3390/coatings14070858
Chicago/Turabian StyleCalovi, Massimo, and Stefano Rossi. 2024. "Exploiting Turmeric’s Coloring Capability to Develop a Functional Pigment for Wood Paints: Sustainable Coloring Process of Polyamide 11 Powders and Their Strengthening Performance" Coatings 14, no. 7: 858. https://doi.org/10.3390/coatings14070858
APA StyleCalovi, M., & Rossi, S. (2024). Exploiting Turmeric’s Coloring Capability to Develop a Functional Pigment for Wood Paints: Sustainable Coloring Process of Polyamide 11 Powders and Their Strengthening Performance. Coatings, 14(7), 858. https://doi.org/10.3390/coatings14070858
