You are currently viewing a new version of our website. To view the old version click .
Coatings
  • Article
  • Open Access

24 November 2024

Design and Experimental Characterization of a Microfluidic Piezoelectric Pump Utilizing P(VDF-TrFE) Film

,
,
and
1
School of Physics and New Energy, Xi’an Jiaotong University City College, Xi’an 710018, China
2
The Key Laboratory of Biomedical Information Engineering of Ministry of Education, School of Life Science and Technology, Xi’an Jiaotong University, Xi’an 710049, China
3
Bioinspired Engineering and Biomechanics Center (BEBC), Xi’an Jiaotong University, Xi’an 710049, China
4
Engineering Research Center of Photovoltaic Technologies and Systems, Universities of Shaanxi Province, Xi’an 710049, China

Abstract

Advancements in wearable technology and lab-on-chip devices necessitate improved integrated microflow pumps with lower driving voltages. This study examines a piezoelectric pump using a flexible β-phase copolymer poly(vinylidene fluoride-trifluoroethylene) (P(VDF-TrFE)) film. Six samples (S1–S6) were fabricated and subjected to a three-step annealing process to optimize their properties. Characterization was conducted via atomic force microscopy, X-ray diffraction, Fourier transform infrared spectroscopy, impedance analysis, and polarization hysteresis loop measurements. The results show that annealing at approximately 135 degrees Celsius produces a β-phase structure with uniform “rice grain”-like crystallites. A microfluidic pump with a nozzle/diffuser structure, using S4 film as the drive layer, was designed and manufactured. Diaphragm deformation and pump performance were assessed, showing a maximum water flow rate of 25 µL/min at 60 Hz with a peak-to-peak voltage (Vpp) of 60 V. The flow rate could be precisely controlled within 0–25 µL/min by adjusting the Vpp and frequency. This study effectively reduced the driving voltage of the piezoelectric pump, showing that it has significant implications for smart wearable devices.

1. Introduction

Microfluidics encompasses the manipulation and control of fluids at the micrometer scale, facilitating the miniaturization of sample reactions, separations, and tests on a single chip. Microfluidic technology has been extensively employed in diverse sectors due to its advantages of high integration density, portability, and ease of use. Notably, its enhanced resolution and sensitivity have rendered it the preferred methodology [1,2,3,4,5,6]. Microfluidic technology enables cost-effective and high-throughput control studies, attributable to its diminutive size and rapidity. Over the past three decades, microfluidic technologies have garnered significant attention in bioscience research. In drug testing, microfluidic devices offer several advantages by permitting the manipulation of small sample volumes while retaining rare disease-causing cells [7,8,9,10,11,12,13,14,15,16,17,18,19,20]. Microfluidic technology is considered a promising alternative to traditional experimental procedures due to its rapid detection capabilities and precise control of fluids. Micropumps are essential components of microfluidic devices and have garnered significant attention from researchers. A variety of methods have been proposed and investigated for implementing micropumps [21,22,23,24,25,26]. These devices are classified as either active or passive based on their operational principles. Microfluidic pumps are typically categorized as active if they require an external power source to function, such as an electric current or pressure [25,27,28]. In contrast, passive microfluidic pumps do not require an external power source and rely on physical principles, such as capillary action or surface tension, to transport fluids [29,30]. For instance, syringes and peristaltic pumps possess several advantageous characteristics, including consistent fluid flow, directionality, and a wide range of flow rates [30,31]. However, these pumps are typically large, which limits their application in miniaturized devices. Although some novel pumps have been developed, such as self-powered [21] and capillary pumps [32], they do not possess the desired pump qualities, including a compact size, ease of integration, ease of manufacturing, and environmental compatibility. Therefore, it is imperative to explore and implement an optimal pump to advance microfluidic technology.
Selecting an appropriate material for a pump presents a significant challenge [33]. It is imperative that the chosen material exhibits robust fluid driving capabilities, is readily controllable, and can be effectively integrated during the construction process. Piezoelectric materials are considered promising candidates due to their facile transition between electrical and stress states [34,35]. Furthermore, the magnitude and frequency of the applied voltage to the piezoelectric material facilitate precise control. Semiconductor manufacturing processes enable the utilization of these materials in microscale applications that necessitate mechanical and electric field transduction. Piezoelectric ceramics and piezoelectric films based on micro-electromechanical systems (MEMS) technology have previously been evaluated in actuators with large displacements and applied forces; however, their widespread adoption is limited due to complex manufacturing processes and challenging manipulation [36,37,38,39,40]. The implementation of organic piezoelectric films presents an effective solution to this issue. In such instances, electrically generated stress can be directly transmitted to the fluid within the channel, resulting in pumping action without the requirement for mechanical components [41,42,43]. Consequently, the criteria for a lab-on-a-chip system that regulates pumps can be integrated into microsystems.
Previously, an innovative integrated pump utilizing a β-phase piezoelectric polymer, poly(vinylidene fluoride) (PVDF), was introduced. This pump exhibits several advantageous characteristics, including softness, ease of fabrication, chemical stability, compatibility with microfluidic devices, and a wide range of flow rates, which can attain up to 300 µL/min. Notwithstanding these advantages, the pump necessitates a high voltage of 3 kV, which constrains its practical applicability. To address this limitation, it is imperative to identify alternative materials that can supplant PVDF and reduce the requisite driving voltage [43].
Poly(vinylidene fluoride-trifluoroethylene) (P(VDF-TrFE)) has attracted considerable attention for its application in electromechanical sensors and actuators due to its exceptional piezoelectric properties, mechanical flexibility, controllability, shock resistance, and low acoustic impedance [44,45,46,47,48,49,50]. The 70/30 mol% P(VDF-TrFE) copolymer exhibited a planar zigzag structure analogous to that of PVDF’s β-phase. It is an organic ferroelectric polymer and a desirable material for fabricating the piezoelectric layer of medical micropumps owing to its biocompatibility and flexibility. Feng Xia et al. developed a group of P(VDF-TrFE) polymers that exhibit exceptionally high strain levels and energy densities. The longitudinal and transverse strains of these materials reached approximately 7% and 4.5%, respectively. The researchers demonstrated a valveless microfluidic pump utilizing electrostrictive P(VDF-TrFE) to pump methanol with a backpressure of 350 Pa. For the 20 μm thick P(VDF-TrFE) film, a voltage of up to 1800 V was required for actuation. By employing thinner active polymer films (1–2 μm), the applied voltage could be significantly reduced to 100 V. Keigo Shikat et al. fabricated P(VDF/TrFE) thin-film piezoelectric actuators sealed with Parylene C, which possess excellent biocompatibility, chemical resistance, and flexibility, rendering them suitable for application in medical micropumps. The researchers successfully reduced the applied voltage and achieved deformation as large as 1 mm at a DC voltage of 160 V. Microfluidic piezoelectric pumps based on P(VDF-TrFE) have continued to demonstrate significant potential [41,51,52]. This study encompasses a comprehensive investigation of the manufacturing, morphology, dielectric, and ferroelectric properties of these copolymers. The copolymer film was fabricated via spin-coating and applied to microfluidic pumps. The driving voltage was effectively reduced from 3 kV (for PVDF, with a flow rate of 300 µL/min for water) to 60 V at a flow rate of 25 µL/min for water, demonstrating its significant potential for utilization in microfluidic applications.

2. Materials and Methods

2.1. Materials

The P(VDF-TrFE) (70/30) powder was obtained from Piezotech ARKEMA (Pierre-Benite, France) with an average molecular weight of 450,000. The organic solvent N,N-dimethylformamide (DMF) (99.0%) was acquired from Sinopharm Chemical Reagent Co., Ltd. (Shanghai, China). Polymethyl methacrylate (PMMA) plates with thicknesses of 1 mm and 2 mm were procured from local suppliers. A double-sided adhesive with a thickness of 50 µm was obtained from 3M (St. Paul, MN, USA).

2.2. The Preparation of the P(VDF-TrFE) Film

The fabrication process of the P(VDF-TrFE) film is illustrated in Figure 1, and the spin-coating method was employed to produce the film. Subsequent to thermal treatment, the crystalline structure of the sample was analyzed using X-ray diffraction (XRD) and Fourier transform infrared spectroscopy (FTIR). A gold layer was deposited on both sides of the film via sputtering to function as an electrode, after which the film was utilized as the active layer in the piezoelectric pump. Polymethyl methacrylate (PMMA) was employed as the channel layer and substrate. A characteristic diffuser/nozzle element was specifically designed to facilitate directional fluid flow. Figure 1 schematically illustrates the synthesis process for preparing P(VDF-TrFE) thin films. Initially, P(VDF-TrFE) (70/30) powder was dissolved in N,N-dimethylformamide (DMF) at a concentration of 15 wt. % with magnetic stirring for 3 h at room temperature to ensure the complete dissolution of P(VDF-TrFE) within the DMF solvent, resulting in a homogeneous solution. Subsequently, the solution was filtered using a syringe-driven filter with apertures of 5 µm and 1 µm to obtain a uniform solution and reduce surface roughness. The P(VDF-TrFE) solution was spin-coated onto a glass substrate at 1500 rpm for 40 s. The film was then subjected to four steps to determine the β-phase crystallinity of the P(VDF-TrFE) film. In Step 1, the glass substrate was placed on a hot plate at “temperature 1” for 10 min. In Step 2, the film was annealed at “temperature 2” for varying durations to remove the residual solvent and facilitate crystallization. Step 3 involved increasing the temperature to “temperature 3” to achieve high crystallinity. The final step entailed removing the film from the substrate by immersion in distilled water. Step 1 (temperature 1) primarily involved solvent evaporation, while Step 2 (temperature 2) and Step 3 (temperature 3) constituted the film crystallization process. P(VDF-TrFE) exhibits a Curie temperature (Tc) of 112 °C and a metallization temperature (Tm) of 156 °C. Thermal treatment of the film at temperatures between these values results in enhanced crystallization outcomes. Therefore, multiple heat treatment conditions were selected to prepare the films in order to analyze and determine the optimal conditions. Six different annealing conditions were employed (Table 1); during the experimental procedure, S1 was excluded from Step 3 and removed from the substrate subsequent to Step 2.
Figure 1. A schematic representation of the fabrication process of P(VDF-TrFE) films.
Table 1. Annealing conditions for the samples.

2.3. The Design of the Microfluidic Pump Based on P(VDF-TrFE)

The operational principle and structure of the pump are illustrated in Figure 2a; the structure comprises a bottom substrate layer, channel layer, piezoelectric diaphragm layer, and top substrate layer. The substrate and channel layers were fabricated using PMMA plates, while the electrode was formed through the deposition of Au film. Upon the application of an AC voltage, the piezoelectric diaphragm oscillated in the flexural vibration mode. Consequently, the volume of the chamber underwent continuous alteration. The fluid flowed into or out of the pump chamber corresponding to the volume increase during the supply mode or the decrease during the pump mode, respectively. In the supply mode of operation, the pump exhibited superior efficiency in fluid intake into its chamber ( i n ) compared to the fluid output from its chamber ( o u t ), resulting in a net inflow. In contrast, in the pump mode of operation, the pump exhibited superior efficiency in the fluid output from its chamber ( o u t ) compared with the fluid intake into its chamber ( i n ), resulting in a net outflow. An appropriate structure must be designed to ensure that the pump’s inflow capacity exceeds its outflow capacity during a complete pumping process, which is essential for the pump to transport the liquid in the channel in a predetermined direction. The nozzle-diffuser efficiency η is determined by the nozzle/diffuser structure, fluid viscosity, and fluid flow rates on the narrow sides of the nozzle and diffuser.
Figure 2. The principle of the nozzle/diffuser pump with a single diaphragm, supply mode and pump mode (a) as the pump (b) fabricated by the process flow (c).

2.4. The Fabrication of the Microfluidic Pump Based on P(VDF-TrFE)

A β-phase P(VDF-TrFE) film was utilized for the fabrication of the microfluidic pump. Figure 2c shows a photographic representation of the piezoelectric pump based on P(VDF-TrFE), which was constructed following the process illustrated in Figure 2b. Au electrodes measuring 100 nm in thickness and 5 mm in diameter were deposited on both surfaces of the film via direct current sputtering deposition. Polymethyl methacrylate (PMMA) with thicknesses of 1 mm and 0.25 mm (Legend Technology, Guangzhou, China) and double-sided adhesive (Haixinbao Technology, Shenzhen, China) were employed as the substrate and channel layer, respectively, to encapsulate the microfluidic pump. All components were manufactured using a laser cutting machine (Universal VLS 2.30, Scottsdale, AZ, USA). Subsequently, the pump was assembled.

2.5. Characterization Setup

The microstructure of the P(VDF-TrFE) film was examined utilizing atomic force microscopy (AFM) in tapping mode. The crystalline structure of the P(VDF-TrFE) film was analyzed using X-ray diffraction (XRD) and Fourier transform infrared (FTIR) spectroscopy (Bruker, Ettlingen, Germany). The dielectric properties were determined over a frequency range of 1 kHz to 1 MHz using an impedance analyzer (Agilent 4294A, Santa Clara, CA, USA). A polarization hysteresis loop was obtained at room temperature utilizing a ferroelectric test system. The flow rate of the pump was measured using a signal generator (ROGOL, Shenzhen, China). The morphology of the diaphragm for the resonance was investigated using a scanning laser Doppler vibrometer (PSV-400, PolyTec, Waldbronn, Germany).

3. Results and Discussion

3.1. The Characterization of the P(VDF-TrFE) Film

Six distinct annealing conditions were employed to treat the P(VDF-TrFE) films, resulting in the production of six films. The properties of these films were subsequently analyzed and compared to ascertain the optimal annealing conditions.

3.1.1. Morphological Structures

Atomic force microscopy (AFM) was utilized to analyze the samples’ morphology. Figure 3 presents the AFM images of various films under different annealing conditions, elucidating their distinct morphological structures. The film annealed at 100 °C exhibited an undefined crystalline structure, as illustrated in S1 in Figure 3. Uniform “rice grain”-like crystallites with smooth surfaces were observed at annealing temperatures in the range of 110–135 °C, as depicted in S2–S5 in Figure 3; the chain preferentially arranged parallel to the substrate plate, and the root mean square surface roughness was approximately 30 nm for S4. The length of the granular grains notably increased with an increase in the annealing temperature from 200 nm to several micrometers, as demonstrated in S2–S5 in Figure 3. However, the film annealed at the sixth temperature (145 °C for T2; 155 °C for T3) deviated from this trend and exhibited smaller crystals, as shown in S6 in Figure 3. This phenomenon occurred because the molecular chain was disrupted, partially fused, and recrystallized, whereas the chain arranged perpendicular to the substrate plate at a temperature approaching the melting temperature. Concurrently, a substantial number of pits on the surface increased the surface roughness due to the escape of air bubbles in the film at temperatures exceeding the melting temperature. This decreased the electrical properties of the film, as elucidated in the subsequent analysis. In conclusion, the film exhibited a crystalline structure between 110 °C and 145 °C.
Figure 3. Surface morphology AFM images of P(VDF-TrFE) film with different annealing conditions.
AFM serves primarily to examine film crystallization and surface smoothness. At lower heat treatment temperatures, the film exhibits an uncrystallized granular morphology, devoid of piezoelectric properties. As thermal energy increases, rice-shaped microcrystals emerge, with longitudinal growth outpacing lateral expansion, resulting in a densely packed arrangement and a comparatively even surface. This stage marks the crystallization of the film into the β-phase, conferring piezoelectric characteristics. The dimensions of microcrystals progressively enlarge with rising temperatures, intensifying β-phase manifestation and piezoelectric performance, thereby enhancing the piezoelectric film’s fluid-driving capabilities. At elevated temperatures, crystalline grains adopt an elongated, stripe-like configuration, forming a reticulated structure. This arrangement is less compact, causing the film to have increased surface roughness.

3.1.2. Crystalline Phases

Figure 4a presents the XRD spectra of the P(VDF-TrFE) (70/30) as-spun film deposited on glass slides at various annealing temperatures to determine the optimal crystallization temperature for these films. The copolymer is a semicrystalline polymer comprising crystalline and noncrystalline regions. In the XRD pattern, the diffraction peaks at 2θ = 19.9° were attributed to the (110) and (200) orientations, which experimentally confirmed the crystallization of the polymer into the β-phase. The films only exhibit significant piezoelectric properties when the crystalline phase is β-phase, whereas in other phase structures such as α and γ phases, the piezoelectric properties are considerably weaker and unsuitable for application in the fabrication of microfluidic piezoelectric pumps. A lower peak intensity was observed at an annealing temperature of 100 °C compared to other annealing conditions. Narrower and more pronounced peak intensities were evident at annealing temperatures above 100 °C. The maximum full width at half maximum (FWHM) value, which is directly correlated with the degree of crystallinity, corresponds to S4, indicating an enhancement of the β-phase content in the film.
Figure 4. The XRD spectra (a) and FTIR spectra (b) of the P(VDF-TrFE) film.
Polarized FTIR was employed to characterize the localized chain orientation and configuration to further investigate the crystallization of the P(VDF-TrFE) film, as illustrated in Figure 4b. We utilized the differential responses of various P(VDF-TrFE) phases to the external electromagnetic field associated with FTIR. Figure 4b presents the FTIR results (from 400 cm−1 to 1600 cm−1) for the P(VDF-TrFE) film under varying annealing conditions. IR, with an electric field component parallel to the plane of the substrate, was utilized for this measurement. The peaks at 510 cm−1, 850 cm−1, 1288 cm−1, and 1397 cm−1 were attributed to the CF2 symmetric stretching characteristics of the β-phase, exhibiting three or more trans isomers. The FTIR spectra indicate the presence of β-phase P(VDF-TrFE) for S2~S6, which is consistent with the XRD results.

3.1.3. Electrical and Piezoelectric Properties

Dielectric properties were determined, and polarization electric field (P-E) hysteresis loop measurements were performed to investigate the effect of annealing conditions. Figure 5 presents the dielectric constant and loss of the six P(VDF-TrFE) copolymer films over a wide frequency range (1 kHz to 1 MHz) under a bias field of 1 V.
Figure 5. The dielectric constant and loss of the six samples of P(VDF-TrFE) films.
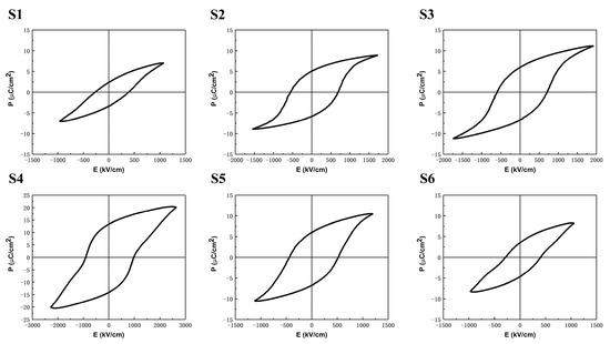
The results indicate that εr is approximately 8.5 at 1 kHz and the loss is only 1%, which is consistent with previous reports. The P-E hysteresis loops (1 Hz) for the films measured at room temperature are illustrated in Figure 6. S2–S5 exhibit complete P-E loops. S1 exhibits an uncrystallized granular morphology according to the AFM image, the attainment of saturated hysteresis loops is not feasible, and the ferroelectric characteristics exhibit inadequate performance. As the heat treatment temperature increases, the grain size enlarges and the grains become tightly arranged, the film’s β-phase becomes more pronounced, and the coercive field (Ec) and remnant polarization (Pr) increase according to S2–S4. With a further elevation in temperature, the grains elongate and the surface roughness of the film increases, the film becomes susceptible to breakdown as the electric field increases, and the ferroelectric properties deteriorate according to S5–S6. The results for S4 demonstrate corresponding Pr and Ps values of approximately 13.3 μC/cm2 and 20.3 μC/cm2, respectively, with an Ec value of approximately 990 kV/cm. These data correspond to an electric field range of 3000 kV/cm to 3000 kV/cm. Sample 6 experienced dielectric breakdown under a voltage of 1200 V, as determined by an analysis of the film’s surface topography.
Figure 6. P-E hysteresis loops (1 Hz) for the six P(VDF-TrFE) film samples.

3.2. Characterization of Pump

For a nozzle/diffuser-type micropump, the volume flow rate can be expressed as follows:
Q = 2 V f η 1 2 1 η 1 2 + 1 = 2 Δ V f C
V—the volume change in the chamber during one period.
f—the frequency of the alternating voltage.
η—the nozzle/diffuser efficiency.
C—constant.
As demonstrated by the aforementioned equation, the flow rate is correlated with the volumetric change in the chamber during a single period of the diaphragm (∆V), which is determined by the displacement of the diaphragm and the frequency (f) of the alternating voltage when the nozzle diffuser efficiency remains constant.

3.2.1. Deformations

The deformation of the diaphragm induces alterations in the chamber volume during one period of vibration, which significantly influences the flow rate of the pump. Based on this phenomenon, we conducted an investigation on the deformation of the diaphragm under various voltages and examined the relationship between the deformation and pump flow rate.
Diaphragm vibration modes are simulated utilizing the finite element method, and the deformation of the diaphragm in different vibration modes is obtained from a theoretical perspective. The first-order and second-order vibration modes are illustrated in Figure 7a,b. Furthermore, the Doppler principle and the schematic are shown in Figure 7c, where “S” is the wave source and “Vs” is the velocity of the wave. The deformation of the diaphragm is determined through an analysis of the acoustic signals generated by the propagation of vibrations in the air during diaphragm vibration, as shown in a schematic diagram in Figure 7d. The Doppler effect manifests as a variation in the frequency of a wave detected by an observer when relative motion occurs between the wave source and the observer. This phenomenon is characterized by an increase in the perceived frequency as the wave source approaches the observer and a decrease in the perceived frequency as the wave source moves away [53]. In the context of laser Doppler vibrometry, a laser beam is projected onto the surface of the object under examination. The object’s vibration induces a shift in the frequency of the reflected light. Through the measurement of this frequency shift, researchers can compute the vibration velocity and displacement of the object, subsequently deriving information about its surface deformation.
Figure 7. Research on diaphragm deformation. The diaphragm vibration modes based on the ANSYS simulation, (a) first-order and (b) second-order vibration modes, (c) a schematic of the Doppler principle, (d) a schematic diagram of the diaphragm deformation test system, (e) the deformation of the diaphragm for the first-order vibration mode, and (f) the relationship between deformations of the diaphragm and Vpp.
During the first-order diaphragm vibration, the center of the diaphragm served as the test point to obtain the maximum diaphragm deformation. Concurrently, multiple test points were uniformly distributed across the diaphragm area, and the deformation of each point was measured independently to simulate the deformation of the entire diaphragm area and the vibrational morphology of the diaphragm. Utilizing a circular diaphragm as an exemplar, it is postulated that the diaphragm area constitutes a regular circle. The deployment principles of the test points are as follows: all test points extend from the center of the circle to the periphery along the diaphragm’s diameter; points on the same diameter are equidistantly distributed from the center to the periphery; and the angles between the diameters on which all test points are located are equal, resulting in an even angular distribution of diameters. This methodology enables the application of diverse driving signals to experimentally obtain the deformation of diaphragms with varying vibration modes. Figure 7e illustrates the deformation of the diaphragm operating in the first-order vibration mode. Furthermore, a comparative analysis of the experimental and simulation results can provide a theoretical foundation for the structural design of microfluidic piezoelectric pumps.
The diaphragm generates the most significant change in the pump chamber volume during the first-order vibration mode; consequently, the piezoelectric diaphragm pump must operate in this mode. In accordance with the aforementioned experimental methodology, the volume change at the center position was measured in the first-order vibration mode. In this section, the relationship between deformations of the diaphragm and Vpp was researched with a fixed frequency of 5 Hz when the chamber was filled with water, and the results are presented in Figure 7f. The diaphragm deformation increases with Vpp, exhibiting a non-linear relationship due to the influence of the diaphragm surface mass load and diaphragm stress on the deformation process. The displacement of the diaphragm increased from 1.5 μm to approximately 6.1 μm, corresponding to Vpp values ranging from 10 V to 100 V. The displacement of the diaphragm was 4.4 μm at a Vpp of 60 V. The film morphology variable exhibits a direct correlation with the volumetric alteration in the pump chamber during a single cycle, subsequently influencing the velocity of the piezoelectric pump-driven fluid at a constant frequency.

3.2.2. Flow Rate Measurements of the Pump

The flow rate was investigated in this section as the primary performance indicator for microfluidic pumps. A signal generator was utilized to provide a sinusoidal alternating current signal as the excitation signal to actuate the pump; a food-colored water solution was employed as the test fluid to measure the fluid flow rate. To characterize the pump’s performance, the flow rates at various Vpp and f values for water were quantified, as illustrated in Figure 8.
Figure 8. Schematic diagram of performance test system for P(VDF-TrFE) piezoelectric pump.
The displacement of the diaphragm remains relatively constant with frequency in the low-frequency range but decreases rapidly with frequency in the high-frequency range due to the increased fluid loading on the diaphragm, as shown in Figure 9a. Under fixed voltage conditions, the volumetric change within the pump chamber per cycle remains invariant. In theory, increasing the frequency should lead to a proportional rise in the fluid velocity driven by the piezoelectric pump. However, experimental observations reveal that the flow rate at a constant voltage does not monotonically increase with frequency; rather, it reaches its peak at 60 Hz. Consequently, the flow rate increases linearly with f in the low-frequency range (from 10 Hz to 60 Hz) and decreases rapidly in the high-frequency range due to the reduction in ∆V. This phenomenon can be elucidated by the augmented mass load imposed on the piezoelectric diaphragm’s surface at higher frequencies, which impedes its deformation. A comprehensive analysis of this effect was conducted in a prior investigation [43]. The maximum fluid flow rate achieved by the P(VDF-TrFE) piezoelectric pump was obtained at a frequency of 60 Hz, which can be considered as the resonant frequency of the system. The maximum flow rate for water was 25.1 µL/min at the peak-to-peak voltage (Vpp) of 60 V. The pump could also be operated at Vpp of 50 V, yielding a maximum fluid flow rate of 15.6 µL/min. This flow rate is sufficient to meet the requirements of certain microfluidic devices.
Figure 9. Properties of piezoelectric pump. (a) Relationship between fluid flow rate and frequency under different Vpp values for water. (b) Relationship between fluid flow rate and Vpp at frequency of 60 Hz.
The flow rate for water pumped by the P(VDF-TrFE) piezoelectric pump was measured by maintaining the frequency of the electrical signal at the resonant frequency of the system at 60 Hz and varying the value of Vpp from 50 V to 100 V. The results demonstrate a nearly linear relationship between the fluid flow rate and Vpp at a fixed frequency, as illustrated in Figure 9b. This observation is in accordance with the aforementioned relationship between diaphragm morphology and Vpp. This phenomenon also corresponds to the relationship between the fluid flow rate and the nozzle/diffuser structure micropump described in Equation (1).
The aforementioned measurements determined the diaphragm vibration frequency corresponding to the maximum flow rate of the P(VDF-TrFE) piezoelectric pump, and then the stability of the P(VDF-TrFE) piezoelectric pump was evaluated at this frequency. Two aspects of stability were assessed: performance during continuous operation and performance during long-term intermittent operation. For continuous operation, Vpp was set to 60 V, the frequency was maintained at the system resonant frequency of 60 Hz, and water was pumped continuously for 10 h as the working fluid, with the fluid flow rate being measured hourly. The results are shown in Figure 10a, indicating that the pumping rate of the piezoelectric pump was maintained at 25.0 ± 2.0 µL/min with a maximum deviation of approximately 8%. For long-term intermittent operation, the pumping performance of the P(VDF-TrFE) piezoelectric pump was monitored and tested over one month (31 days) using water as the working fluid under the aforementioned electrical signal conditions. The fluid flow rate was measured every three days for a total of 11 measurements. The results are shown in Figure 10b, demonstrating that the pumping speed of the piezoelectric pump was maintained at 25.0 ± 1.2 µL/min with a maximum deviation of approximately 5%. These findings suggest that the pumping performance of the P(VDF-TrFE) piezoelectric pump is robust, exhibiting no degradation in pumping performance during both continuous long-term operation and long-term intermittent operation.
Figure 10. The stability of the P(VDF-TrFE) piezoelectric pump (a) in continuous operation and (b) long-term intermittent operation.

3.2.3. Application of Pump in Bio-Detection

Through the characterization and analysis of diaphragm vibration and pumping capacity in the piezoelectric pump, it was observed that the diaphragm operates in distinct vibration modes to achieve various effects. When the diaphragm functions in the first-order vibration mode, the volume change in the pump chamber is maximized within a single vibration cycle, enabling fluid transfer and thus realizing the pumping function. In contrast, when operating in the second- or third-order vibration mode, the diaphragm deformation exhibits symmetry, resulting in minimal change to the pump cavity volume over the vibration cycle, thereby precluding the pumping function. Nevertheless, in the latter scenario, diaphragm vibration induces the oscillation of the fluid within the pump cavity. Oscillation can facilitate molecular mixing by modulating the frequency and voltage of vibration to adjust oscillation characteristics, thereby achieving comprehensive mixing.
The piezoelectric pump structure facilitates integration by incorporating multiple piezoelectric pumps on a single chip, with multiple piezoelectric pumps sharing a unified bottom substrate layer, channel layer, piezoelectric diaphragm layer, and top substrate layer. Microfluidic chips employ piezoelectric thin-film pumps, and multiple functions can be realized by applying diverse drive signals, encompassing cell biology [8,10] and disease diagnosis using nucleic acid detection methodologies [11,43]. Various fluids can be transported to a predetermined position, and the oscillating effect can be utilized to thoroughly mix the molecules for subsequent detection. Two or three piezoelectric pumps are employed to achieve the droplet generator function: one or two piezoelectric pumps are responsible for delivering the solution required for the droplet generator device, such as dimethyl silicone oil, while the other is responsible for delivering the solution to be tested. Droplets are generated under the effect of shear force at the interface where the two types of fluids meet, as illustrated in Figure 11.
Figure 11. The structure of the droplet generator for (a) cross type and (b) T type.

4. Conclusions

A piezoelectric P(VDF-TrFE) (70/30) copolymer film was synthesized utilizing a solution process and the spin-coating method. Six samples were produced under varying annealing conditions and subsequently analyzed using multiple characterization techniques. The microstructures and morphologies of the films were examined using AFM and XRD. The XRD and FTIR analyses revealed that the film exhibited a β-phase, which is associated with favorable piezoelectric properties. Optimal electrical performance was observed in the S4 film, which was annealed at 135 °C for 1.5 h and further enhanced at 145 °C, resulting in a high εr value of 8.5, a Pr value of approximately 13.3 μC/cm2, and a Ps value of 20.3 μC/cm2, respectively, with a coercive field (Ec) of approximately 990 kV/cm.
A nozzle/diffuser piezoelectric pump was designed, fabricated, and investigated utilizing P(VDF-TrFE) (70/30) film. The deformation of the diaphragm was characterized, and its displacement increased with Vpp. The flow rates of the pump for water were measured, and a correlation between the flow rate, frequency, and Vpp was established. The maximum fluid rate for water was 25 µL/min, which occurred at a frequency of 60 Hz and a Vpp of 60 V. The drive voltage of the microfluidic piezoelectric pump based on the P(VDF-TrFE) thin film was successfully reduced to several tens of volts, significantly enhancing the performance of piezoelectric pumps that have been substantially limited by high drive voltages in the field of wearable microfluidics. This advancement enables the microfluidic chip to transition from laboratory applications to practical use. Furthermore, it can be integrated with photovoltaic technology to facilitate passive drive mechanisms, allowing for research on fully integrated microfluidic piezoelectric pumps and the practical realization of wearable microfluidic chips for rapid detection. This investigation contributes to the advancement of microfluidic chips for the development of portable detection technologies.

Author Contributions

Conceptualization, B.Z. and J.S.; methodology, X.L.; software, H.L.; formal analysis, X.L.; investigation, B.Z.; resources, B.Z. and J.S.; data curation, B.Z.; writing—original draft preparation, B.Z.; writing—review and editing, X.L.; visualization, H.L.; project administration, X.L.; funding acquisition, B.Z. and J.S. All authors have read and agreed to the published version of the manuscript.

Funding

This research was funded by The Potential Cultivation Project of Xi’an Jiaotong University City College, grant number 2023PY01 and The Youth Innovation Team of Shaanxi Universities, grant number 2023091.

Institutional Review Board Statement

Not applicable.

Data Availability Statement

The authors confirm that the data supporting the findings of this study are available within the article.

Acknowledgments

We thankfully acknowledge technical support at the preliminary stage of this research by Electronic Materials Research Laboratory of Xi’an Jiaotong University.

Conflicts of Interest

The authors declare no conflicts of interest.

References

  1. Bazyar, H. On the Application of Microfluidic-Based Technologies in Forensics: A Review. Sensors 2023, 23, 5856. [Google Scholar] [CrossRef] [PubMed]
  2. Wu, B.D.; Liu, Y.; Yang, J.H.; Guo, Y.Y.; Han, K.; Wang, F.; Zhang, Z.Z.; An, C.W.; Wang, J.Y. Preparing HNS/n-Al heat-resistant microspheres with enhanced combustion performance using droplet microfluidic technology. Energetic Mater. Front. 2024, 5, 81–89. [Google Scholar] [CrossRef]
  3. Jin, F.; Zhang, Y.; Qi, Y.; Liu, W.; Yang, J.; Varfolomeev, M.A.; Yuan, C. Research on the blocking mechanism of oily sewage reinjection based on microfluidic technology. Geoenergy Sci. Eng. 2024, 240, 213031. [Google Scholar] [CrossRef]
  4. Li, X.; Zhang, X.; Zhou, X.; Zhao, Y.; Nguyen, L.V.; Zhang, Y.; Warren-Smith, S.C. Label Free hCG Concentration Biosensor Based on Suspension Core Fiber Microfluidic Technology. J. Light. Technol. 2024, 42, 2985–2990. [Google Scholar] [CrossRef]
  5. Liu, Z.; Ma, X.; Ge, Y.; Hei, X.; Zhang, X.; Hu, H.; Zhu, J.; Adhari, B.; Wang, Q.; Shi, A. Preparation and Regulation of Natural Amphiphilic Zein Nanoparticles by Microfluidic Technology. Foods 2024, 13, 1730. [Google Scholar] [CrossRef]
  6. Rohal, A.; Garg, R.; Prakash, B.; Choudhury, S.; Jyoti Panda, J.; Manolata Devi, M.; Pandey, A. Exploiting flow manipulation to engineer the electroactive phase for improved piezo response in size tunable PVDF microspheres via microfluidic technology. Chem. Eng. J. 2024, 491, 151986. [Google Scholar] [CrossRef]
  7. Lin, J.; Chen, S.; Zhang, C.; Liao, J.; Chen, Y.; Deng, S.; Mao, Z.; Zhang, T.; Tian, N.; Song, Y.; et al. Recent advances in microfluidic technology of arterial thrombosis investigations. Platelets 2024, 35, 2316743. [Google Scholar] [CrossRef]
  8. Li, C.; He, W.; Song, Y.; Zhang, X.; Sun, J.; Zhou, Z. Advances of 3D Cell Co-Culture Technology Based on Microfluidic Chips. Biosensors 2024, 14, 336. [Google Scholar] [CrossRef]
  9. Ma, J.; Xie, Q.; Zhang, Y.; Xiao, Q.; Liu, X.; Qiao, C.; Tian, Y. Advances in microfluidic technology for sperm screening and in vitro fertilization. Anal. Bioanal. Chem. 2024, 416, 3717–3735. [Google Scholar] [CrossRef]
  10. Mukherjee, J.; Chaturvedi, D.; Mishra, S.; Jain, R.; Dandekar, P. Microfluidic technology for cell biology–related applications: A review. J. Biol. Phys. 2024, 50, 1–27. [Google Scholar] [CrossRef]
  11. Wang, Y.; Chen, J.; Yang, Z.; Wang, X.; Zhang, Y.; Chen, M.; Ming, Z.; Zhang, K.; Zhang, D.; Zheng, L. Advances in Nucleic Acid Assays for Infectious Disease: The Role of Microfluidic Technology. Molecules 2024, 29, 2417. [Google Scholar] [CrossRef]
  12. Braunger, M.L.; Fier, I.; Shimizu, F.M.; de Barros, A.; Rodrigues, V.; Riul, A., Jr. Influence of the Flow Rate in an Automated Microfluidic Electronic Tongue Tested for Sucralose Differentiation. Sensors 2020, 20, 6194. [Google Scholar] [CrossRef] [PubMed]
  13. Uddin, S.M.; Sayad, A.; Chan, J.; Huynh, D.H.; Skafidas, E.; Kwan, P. Heater Integrated Lab-on-a-Chip Device for Rapid HLA Alleles Amplification towards Prevention of Drug Hypersensitivity. Sensors 2021, 21, 3413. [Google Scholar] [CrossRef] [PubMed]
  14. Acosta-Cuevas, J.M.; García-Ramírez, M.A.; Hinojosa-Ventura, G.; Martínez-Gómez, Á.J.; Pérez-Luna, V.H.; González-Reynoso, O. Surface Roughness Analysis of Microchannels Featuring Microfluidic Devices Fabricated by Three Different Materials and Methods. Coatings 2023, 13, 1676. [Google Scholar] [CrossRef]
  15. Bezrukov, A.; Galyametdinov, Y. Orientation Behavior of Nematic Liquid Crystals at Flow-Wall Interfaces in Microfluidic Channels. Coatings 2023, 13, 169. [Google Scholar] [CrossRef]
  16. Chiang, C.-C.; Immanuel, P.N.; Chiu, Y.-H.; Huang, S.-J. Heterogeneous Bonding of PMMA and Double-Sided Polished Silicon Wafers through H2O Plasma Treatment for Microfluidic Devices. Coatings 2021, 11, 580. [Google Scholar] [CrossRef]
  17. Huang, S.-J.; Chiang, C.-C.; Immanuel, P.N.; Subramania, M. Point-of-Care Testing Blood Coagulation Detectors Using a Bio-Microfluidic Device Accompanied by Raman Spectroscopy. Coatings 2022, 12, 893. [Google Scholar] [CrossRef]
  18. Immanuel, P.N.; Chiu, Y.-H.; Huang, S.-J. Microfluidic Simulation and Optimization of Blood Coagulation Factors and Anticoagulants in Polymethyl Methacrylate Microchannels. Coatings 2021, 11, 1394. [Google Scholar] [CrossRef]
  19. Song, Y.; Wang, Q.; Ying, Y.; You, Z.; Wang, S.; Chun, J.; Ma, X.; Wen, R. Droplet Spreading Characteristics on Ultra-Slippery Solid Hydrophilic Surfaces with Ultra-Low Contact Angle Hysteresis. Coatings 2022, 12, 755. [Google Scholar] [CrossRef]
  20. Toikka, A.; Ilin, M.; Kamanina, N. Perspective Coatings Based on Structured Conducting ITO Thin Films for General Optoelectronic Applications. Coatings 2024, 14, 178. [Google Scholar] [CrossRef]
  21. Iwai, K.; Shih, K.C.; Lin, X.; Brubaker, T.A.; Sochol, R.D.; Lin, L. Finger-powered microfluidic systems using multilayer soft lithography and injection molding processes. Lab Chip 2014, 14, 3790–3799. [Google Scholar] [CrossRef] [PubMed]
  22. Mohith, S.; Karanth, P.N.; Kulkarni, S.M. Recent trends in mechanical micropumps and their applications: A review. Mechatronics 2019, 60, 34–55. [Google Scholar] [CrossRef]
  23. Zhang, J.-H.; Wang, Y.; Huang, J. Advances in Valveless Piezoelectric Pump with Cone-shaped Tubes. Chin. J. Mech. Eng. 2017, 30, 766–781. [Google Scholar] [CrossRef]
  24. Bai, Y.; Yu, X.; Han, X.; Liu, Y.; Li, G. A handheld, wide-range pressure pump for portable microfluidic applications. Sens. Actuators A Phys. 2024, 377, 115683. [Google Scholar] [CrossRef]
  25. Nico, V.; Dalton, E. Modelling and experimental characterisation of a magnetic shuttle pump for microfluidic applications. Sens. Actuators A Phys. 2021, 331, 112910. [Google Scholar] [CrossRef]
  26. Saleem, N.; Munawar, S. Significance of Synthetic Cilia and Arrhenius Energy on Double Diffusive Stream of Radiated Hybrid Nanofluid in Microfluidic Pump under Ohmic Heating: An Entropic Analysis. Coatings 2021, 11, 1292. [Google Scholar] [CrossRef]
  27. Ozkayar, G.; Wang, Z.; Lotters, J.; Tichem, M.; Ghatkesar, M.K. Flow Ripple Reduction in Reciprocating Pumps by Multi-Phase Rectification. Sensors 2023, 23, 6967. [Google Scholar] [CrossRef] [PubMed]
  28. Zhang, Z.; Kan, J.; Wang, S.; Wang, H.; Wen, J.; Ma, Z. Flow rate self-sensing of a pump with double piezoelectric actuators. Mech. Syst. Signal Process. 2013, 41, 639–648. [Google Scholar] [CrossRef]
  29. Ren, K.; Chen, Y.; Wu, H. New materials for microfluidics in biology. Curr. Opin. Biotechnol. 2014, 25, 78–85. [Google Scholar] [CrossRef]
  30. Yobas, L.; Tang, K.C.; Yong, S.E.; Ong, E.K.Z. A disposable planar peristaltic pump for lab-on-a-chip. Lab A Chip 2008, 8, 660–662. [Google Scholar] [CrossRef]
  31. Li, Z.; Mak, S.Y.; Sauret, A.; Shum, H.C. Syringe-pump-induced fluctuation in all-aqueous microfluidic system implications for flow rate accuracy. Lab A Chip 2014, 14, 744–749. [Google Scholar] [CrossRef] [PubMed]
  32. Elizalde, E.; Urteaga, R.; Berli, C.L.A. Rational design of capillary-driven flows for paper-based microfluidics. Lab A Chip 2015, 15, 2173–2180. [Google Scholar] [CrossRef] [PubMed]
  33. Sideris, E.A.; de Lange, H.C. Pumps operated by solid-state electromechanical smart material actuators—A review. Sens. Actuators A Phys. 2020, 307, 111915. [Google Scholar] [CrossRef]
  34. Chen, S.; Xie, X.; Kan, J.; Ji, J.; Zhang, Z.; Li, J. A hydraulic-driven piezoelectric pump with separable channel for drug delivery. Sens. Actuators A Phys. 2019, 295, 210–216. [Google Scholar] [CrossRef]
  35. de Lima, C.R.; Vatanabe, S.L.; Choi, A.; Nakasone, P.H.; Pires, R.F.; Nelli Silva, E.C. A biomimetic piezoelectric pump: Computational and experimental characterization. Sens. Actuators A Phys. 2009, 152, 110–118. [Google Scholar] [CrossRef]
  36. Cazorla, P.H.; Fuchs, O.; Cochet, M.; Maubert, S.; Le Rhun, G.; Robert, P.; Fouillet, Y.; Defay, E. Piezoelectric Micro-pump with PZT Thin Film for Low Consumption Microfluidic Devices. Procedia Eng. 2014, 87, 488–491. [Google Scholar] [CrossRef]
  37. Kaviani, S.; Bahrami, M.; Esfahani, A.M.; Parsi, B. A modeling and vibration analysis of a piezoelectric micro-pump diaphragm. Comptes Rendus Mécanique 2014, 342, 692–699. [Google Scholar] [CrossRef]
  38. Thomas, S.K.; Muruganandam, T.M. A review of acoustic compressors and pumps from fluidics perspective. Sens. Actuators A Phys. 2018, 283, 42–53. [Google Scholar] [CrossRef]
  39. Wang, J.; Liu, Y.; Shen, Y.; Chen, S.; Yang, Z. A Resonant Piezoelectric Diaphragm Pump Transferring Gas with Compact Structure. Micromachines 2016, 7, 219. [Google Scholar] [CrossRef]
  40. Jin, W.; Guan, Y.; Wang, Q.; Huang, P.; Zhou, Q.; Wang, K.; Liu, D. A Smart Active Phase-Change Micropump Based on CMOS-MEMS Technology. Sensors 2023, 23, 5207. [Google Scholar] [CrossRef]
  41. Shikata, K.; Koshiba, Y.; Horike, S.; Ishida, K. P(VDF/TrFE) Thin-Film Piezoelectric Actuators Sealed Parylene C for Medical Micropumps. Phys. Status Solidi (A) 2023, 220, 2300250. [Google Scholar] [CrossRef]
  42. Thalhofer, T.; Keck, M.; Kibler, S.; Hayden, O. Capacitive Sensor and Alternating Drive Mixing for Microfluidic Applications Using Micro Diaphragm Pumps. Sensors 2022, 22, 1273. [Google Scholar] [CrossRef]
  43. Zhao, B.; Cui, X.; Ren, W.; Xu, F.; Liu, M.; Ye, Z.G. A Controllable and Integrated Pump-enabled Microfluidic Chip and Its Application in Droplets Generating. Sci. Rep. 2017, 7, 11319. [Google Scholar] [CrossRef] [PubMed]
  44. Li, B.; Cai, C.; Liu, Y.; Wang, F.; Yang, B.; Li, Q.; Zhang, P.; Deng, B.; Hou, P.; Liu, W. Ultrasensitive mechanical/thermal response of a P(VDF-TrFE) sensor with a tailored network interconnection interface. Nat. Commun. 2023, 14, 4000. [Google Scholar] [CrossRef] [PubMed]
  45. Meira, R.M.; Ribeiro, S.; Irastorza, I.; Silvan, U.; Lanceros-Mendez, S.; Ribeiro, C. Electroactive poly(vinylidene fluoride-trifluoroethylene)/graphene composites for cardiac tissue engineering applications. J. Colloid. Interface Sci. 2024, 663, 73–81. [Google Scholar] [CrossRef]
  46. Panwar, V.; Khanduri, P.; Ansari, M.U.; Anoop, G.; Park, S. P(VDF-TrFE)/PVP/ionic liquid-based piezo-ionic polymer blend for touch sensing applications. Sens. Actuators A Phys. 2023, 362, 114680. [Google Scholar] [CrossRef]
  47. Hu, X.; Jiang, Z.; Yan, L.; Yang, G.; Xie, J.; Liu, S.; Zhang, Q.; Xiang, Y.; Min, H.; Peng, X. Real-time visualized battery health monitoring sensor with piezoelectric/pyroelectric poly (vinylidene fluoride-trifluoroethylene) and thin film transistor array by in-situ poling. J. Power Sources 2020, 467, 228367. [Google Scholar] [CrossRef]
  48. Taleb, S.; Badillo, M.; Flores-Ruiz, F.J.; Acuautla, M. From synthesis to application: High-quality flexible piezoelectric sensors fabricated from tetragonal BaTiO3/ P(VDF-TrFE) composites. Sens. Actuators A Phys. 2023, 361, 114585. [Google Scholar] [CrossRef]
  49. Revenant, C.; Minot, S.; Toinet, S.; Lawrence Bright, E.; Ramos, R.; Benwadih, M. Spatially-resolved in-situ/operando structural study of screen-printed BaTiO3/P(VDF-TrFE) flexible piezoelectric device. Sens. Actuators A Phys. 2024, 377, 115738. [Google Scholar] [CrossRef]
  50. Luo, Q.; He, X.; Duan, X.; Liu, H.; Zhou, Z.; Cheng, K. A Facile Synthesis of P(VDF-TrFE)-Coated-PMMA Janus Membranes for Guided Bone Regeneration. Coatings 2022, 12, 1947. [Google Scholar] [CrossRef]
  51. Xia, F.; Klein, R.; Bauer, F.; Zhang, Q.M. High Performance P(VDF-TrFE-CFE) Terpolymer for BioMEMs and Microfluidic Devices. MRS Online Proc. Libr. 2003, 785, D5–D8. [Google Scholar] [CrossRef]
  52. Xia, F.; Tadigadapa, S.; Zhang, Q.M. Electroactive polymer based microfluidic pump. Sens. Actuators A Phys. 2006, 125, 346–352. [Google Scholar] [CrossRef]
  53. The Doppler Effect. OYLA Magazine, October 2024; pp. 10–13.
Disclaimer/Publisher’s Note: The statements, opinions and data contained in all publications are solely those of the individual author(s) and contributor(s) and not of MDPI and/or the editor(s). MDPI and/or the editor(s) disclaim responsibility for any injury to people or property resulting from any ideas, methods, instructions or products referred to in the content.

Article Metrics

Citations

Article Access Statistics

Multiple requests from the same IP address are counted as one view.