Coating of Carbonized Leather Waste with the Conducting Polymer Polyaniline: Bicontinuous Composites for Dye Adsorption
Abstract
1. Introduction
2. Experimental
2.1. Materials
2.2. Carbonization of Leather
2.3. Coating with Polyaniline
2.4. Morphology
2.5. Resistivity
2.6. Dye Adsorption
3. Results and Discussion
3.1. Composite Preparation
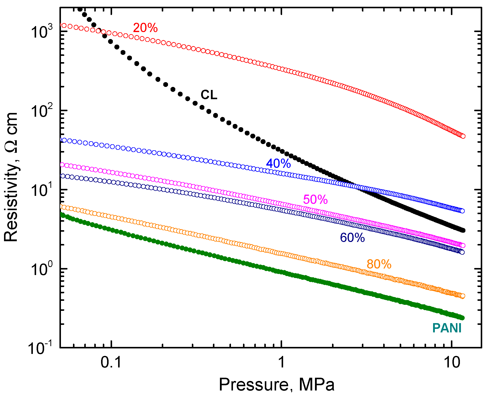
3.2. Resistivity
3.3. Deprotonation
3.4. Dye Adsorption
4. Conclusions and Future Prospects
Author Contributions
Funding
Institutional Review Board Statement
Informed Consent Statement
Data Availability Statement
Conflicts of Interest
References
- Rossi, D.; Cappello, M.; Antognoli, M.; Brunazzi, E.; Seggiani, M. Pyrolyzed tannery sludge as adsorbent of volatile organic compounds from tannery air emissions. Chem. Eng. J. 2023, 454, 140320. [Google Scholar] [CrossRef]
- Ul-Hoque, M.I.; Holze, R. Intrinsically conducting polymer composites as active masses in supercapacitors. Polymers 2023, 15, 730. [Google Scholar] [CrossRef]
- Kuligowski, K.; Cenian, A.; Konkol, I.; Swierczek, L.; Chojnacka, K.; Izydorczyk, G.; Skrzypczak, D.; Bandrow, P. Application of leather waste fractions and their biochars as organic fertilisers for ryegrass growth: Agri-environmental aspects and plants response modelling. Energies 2023, 16, 3883. [Google Scholar] [CrossRef]
- Sivaprakash, K.; Maharaja, P.; Pavithra, S.; Boopathy, R.; Sekaran, G. Preparation of light weight constructional materials from chrome containing buffing dust solid waste generated in leather industry. J. Mater. Cycles Waste Manag. 2017, 19, 928–938. [Google Scholar] [CrossRef]
- Murugan, K.P.; Balaji, M.; Kar, S.S.; Swarnalatha, S.; Sekaran, G. Nano fibrous carbon produced from chromium bearing tannery solid waste as the bitumen modifier. J. Environ. Manag. 2020, 270, 110882. [Google Scholar] [CrossRef] [PubMed]
- Sun, G.; Tang, W.; Gu, Q.B.; Li, L.; Duan, Y.Q.; Chen, Y.Q.; Lu, X.Y.; Sun, Z.K.; Qian, X.D.; Duan, L.B. Reaction mechanisms and N-containing compound formation during shoe manufacturing waste pyrolysis. Fuel Process. Technol. 2023, 244, 107699. [Google Scholar] [CrossRef]
- Stejskal, J.; Gilbert, R.G. Polyaniline. Preparation of a conducting polymer (IUPAC technical report). Pure Appl. Chem. 2002, 74, 857–867. [Google Scholar] [CrossRef]
- Stejskal, J.; Sapurina, I. Polyaniline: Thin films and colloidal dispersions (IUPAC technical report). Pure Appl. Chem. 2005, 77, 815–826. [Google Scholar] [CrossRef]
- Elyashevich, G.K.; Gerasimov, D.I.; Kuryndin, I.S.; Lavrentyev, V.K.; Rosova, E.Y.u.; Vylegzhanina, M.E. Evolution of the surface structure and functional properties of the electroconducting polymer coatings onto porous films. Coatings 2022, 12, 51. [Google Scholar] [CrossRef]
- Gablech, I.; Glowacki, E.D. State-of-the-art electronic materials for thin films in bioelectronics. Adv. Electron. Mater. 2023, 9, 2300258. [Google Scholar] [CrossRef]
- Soukupová, G.; Bautkinová, T.; Mazúr, P.; Vilčáková, J.; Prokeš, J.; Dendisová, M.; Lhotka, M.; Hassouna, F. Enhanced specific capacity and cycling stability of flexible nanocellulose-based pseudocapacitative electrodes by controlled nanostructuring of polyaniline. Electrochim. Acta 2023, 441, 141830. [Google Scholar] [CrossRef]
- Heme, H.N.; Alif, M.S.N.; Rahat, S.M.S.M. Recent progress in polyaniline composites for high capacity energy storage: A review. J. Energy Storage 2021, 42, 103018. [Google Scholar] [CrossRef]
- Stejskal, J. Interaction of conducting polymers, polyaniline and polypyrrole, with organic dyes: Polymer morphology control, dye adsorption and photocatalytic decomposition. Chem. Pap. 2020, 74, 1–54. [Google Scholar] [CrossRef]
- Stejskal, J. Recent advances in the removal of organic dyes from aqueous media with conducting polymers, polyaniline and polypyrrole, and their composites. Polymers 2022, 14, 4243. [Google Scholar] [CrossRef] [PubMed]
- Porri, A.; Baroncelli, R.; Guglielminetti, L.; Sarrocco, S.; Guazzelli, L.; Forti, M.; Catelani, G.; Valentini, G.; Bazzichi, A.; Franceschi, M.; et al. Fusarium oxysporum degradation and detoxification of a new textile-glycoconjugate azo dye (GAD). Fungal Biol. 2011, 115, 30–37. [Google Scholar] [CrossRef]
- Jamal, M.; Awadasseid, A.; Su, X.M. Exploring potential bacterial populations for enhanced anthraquinone dyes biodegradation: A critical review. Biotech. Lett. 2022, 44, 1011–1025. [Google Scholar] [CrossRef] [PubMed]
- Tchmutin, I.A.; Ponomarenko, A.T.; Krinichnaya, E.P.; Kozub, G.I.; Efimov, O.N. Electrical properties of composites based on conjugated polymers and conductive fillers. Carbon 2003, 41, 1391–1395. [Google Scholar] [CrossRef]
- do Nascimento, G.M.; Silva, T.B.; Corio, P. Charge-transfer behavior of polyaniline single wall carbon nanotubes nanocomposites monitored by resonance Raman spectroscopy. J. Raman Spectrosc. 2010, 41, 1587–1593. [Google Scholar] [CrossRef]
- Grycová, B.; Klemencová, K.; Leštinský, P.; Stejskal, J.; Sáha, T.; Trchová, M.; Prokeš, J. Conductivity of carbonized and activated leather waste. Sustain. Chem. Pharm. 2023, 35, 101172. [Google Scholar] [CrossRef]
- Ngwabebhoh, F.A.; Sáha, T.; Stejskal, J.; Prokeš, J.; Kolská, Z.; Trchová, M. Conductivity of leather waste carbonized at various temperature: A challenge to conducting polymers. J. Anal. Appl. Pyrolysis 2023, 173, 106056. [Google Scholar] [CrossRef]
- Stejskal, J.; Ngwabebhoh, F.A.; Sáha, P.; Prokeš, J. Carbonized leather waste: A review and conductivity outlook. Polymers 2023, 15, 1028. [Google Scholar] [CrossRef]
- Stejskal, J.; Vilčáková, J.; Jurča, M.; Fei, H.J.; Trchová, M.; Kolská, Z.; Prokeš, J.; Křivka, I. Polypyrrole-coated melamine sponge as a precursor for conducting macroporous nitrogen nitrogen-containing carbons. Coatings 2022, 12, 324. [Google Scholar] [CrossRef]
- Ngwabebhoh, F.A.; Bazi, M.; Oladipo, A. Adsorptive removal of multi-azo dye from aqueous phase using a semi-IPN superabsorbent chitosan-starch hydrogel. Chem. Eng. Res. Des. 2016, 112, 274–288. [Google Scholar] [CrossRef]
- Ul Haq, A.; Lim, J.; Yun, J.M.; Lee, W.J.; Han, T.H.; Kim, S.O. Direct growth of polyaniline chains from N-doped sites of carbon nanotubes. Small 2013, 9, 3829–3833. [Google Scholar] [CrossRef] [PubMed]
- Shi, A.R.; Song, X.M.; Wei, L.; Ma, H.Y.; Pang, H.J.; Li, W.W.; Liu, X.W.; Tan, L.C. Design of an internal/external bicontinuous conductive network for high-performance asymmetrical supercapacitors. Molecules 2023, 27, 8168. [Google Scholar] [CrossRef] [PubMed]
- Beygisangchin, M.; Rashid, S.A.; Shafie, S.; Sadrolhosseini, A.R.; Lim, H.N. Preparations, properties, and applications of polyaniline and polyaniline thin films—A review. Polymers 2021, 13, 2003. [Google Scholar] [CrossRef]
- Fedorova, S.; Stejskal, J. Surface and precipitation polymerization of aniline. Langmuir 2002, 18, 5630–5632. [Google Scholar] [CrossRef]
- Haque, M.M.; Wong, D.K.Y. Improved dye entrapment-liberation performance at electrochemically synthesized polypyrrole-reduced graphene oxide nanocomposite films. J. Appl. Electrochem. 2017, 47, 777–788. [Google Scholar] [CrossRef]
- Yu, H.B.; Che, M.; Zhao, B.; Lu, Y.; Zhu, S.Y.; Wang, X.H.; Qin, W.C.; Huo, M.X. Enhanced electrosorption of rhodamine B over porous copper-nickel foam electrodes modified with graphene oxide/polypyrrole. Synth. Met. 2021, 262, 116332. [Google Scholar] [CrossRef]
- Pinheiro, N.S.C.; Perez-Lopez, O.W.; Gutterres, M. Solid leather wastes as adsorbents for cationic and anionic dye removal. Environ. Technol. 2022, 43, 1285–1293. [Google Scholar] [CrossRef]
- Yılmaz, O.; Kantarli, I.; Yuksel, M.; Saglam, M.; Yanik, J. Conversion of leather wastes to useful products. Resour. Conserv. Recycl. 2007, 49, 436–448. [Google Scholar] [CrossRef]
- Roy, C.; Chowdhury, D.; Sanfui, M.H.; Roy, J.S.D.; Mitra, M.; Dutta, A.; Chattopadhyay, P.K.; Singha, N.R. Solid waste collagen-associated fabrication of magnetic hematite nanoparticle@collagen nanobiocomposite for emission-adsorption of dyes. Int. J. Biol. Macromol. 2023, 242, 124774. [Google Scholar] [CrossRef]
- Putshak'a, J.D.; Akpabio, I.O. Adsorption performance of activated carbon from leather buffing waste. J. Am. Leather Chem. Assoc. 2010, 105, 313–319. [Google Scholar]
- Oliveira, L.C.A.; Coura, C.V.; Guimaraes, L.R.; Goncalves, M. Removal of organic dyes using Cr-containing activated carbon prepared from leather waste. J. Hazard. Mater. 2011, 192, 1094–1099. [Google Scholar] [CrossRef] [PubMed]
- Putshaka, J.D.; Adamu, K.I.; Jauro, A.; Tanko, S.F. Effect of pyrolysis temperature on adsorbent properties of carbon from leather buffing dust and sawdust. J. Test. Eval. 2014, 42, 593–600. [Google Scholar] [CrossRef]
- Ke, L.; Zhao, K.; Yan, X.Y.; Cao, X.J.; Wu, X.Y.; Zhang, C.; Luo, T.T.; Ding, T.; Yan, N. Facile mineralization and valorization of Cr-containing leather shavings for electrocatalytic H2O2 generation and organic pollutant removal. Chem. Eng. J. 2022, 437, 135036. [Google Scholar] [CrossRef]
- Puchana-Rosero, M.J.; Lima, E.C.; Mella, B.; Da Costa, D.; Poll, E.; Gutterres, M. A coagulation-flocculation process combined with adsorption using activated carbon obtained from sludge for dye removal from tannery wastewater. J. Chilean Chem. Soc. 2018, 63, 3867–3874. [Google Scholar] [CrossRef]
- Arcibar-Orozco, J.A.; Barajas-Elias, B.S.; Caballero-Briones, F.; Nielsen, L.; Rangel-Mendez, J.R. Hybrid carbon nanochromium composites prepared from chrome-tanned leather shavings for dye adsorption. Water Air Soil Pollut. 2019, 230, 142. [Google Scholar] [CrossRef]
- Lyu, W.; Li, J.Q.; Trchová, M.; Wang, G.; Liao, Y.Z.; Bober, P.; Stejskal, J. Fabrication of polyaniline/poly(vinyl alcohol)/montmorillonite hybrid aerogels toward efficient adsorption of organic dye pollutants. J. Hazard. Mater. 2022, 435, 129004. [Google Scholar] [CrossRef]









| Composition, wt% PANI | Carbonized Leather, g | +0.2 M Aniline.HCl, mL | +0.25 APS, mL | Yield, g |
|---|---|---|---|---|
| 20 | 0.8 | 10 | 10 | 1.027 |
| 40 | 0.6 | 20 | 20 | 1.042 |
| 50 | 0.5 | 25 | 25 | 1.088 |
| 60 | 0.4 | 30 | 30 | 1.072 |
| 80 | 0.2 | 40 | 40 | 1.114 |
| 100 | 0 | 50 | 50 | 1.076 |
Disclaimer/Publisher’s Note: The statements, opinions and data contained in all publications are solely those of the individual author(s) and contributor(s) and not of MDPI and/or the editor(s). MDPI and/or the editor(s) disclaim responsibility for any injury to people or property resulting from any ideas, methods, instructions or products referred to in the content. |
© 2023 by the authors. Licensee MDPI, Basel, Switzerland. This article is an open access article distributed under the terms and conditions of the Creative Commons Attribution (CC BY) license (https://creativecommons.org/licenses/by/4.0/).
Share and Cite
Stejskal, J.; Ngwabebhoh, F.A.; Sáha, T.; Prokeš, J. Coating of Carbonized Leather Waste with the Conducting Polymer Polyaniline: Bicontinuous Composites for Dye Adsorption. Coatings 2023, 13, 1419. https://doi.org/10.3390/coatings13081419
Stejskal J, Ngwabebhoh FA, Sáha T, Prokeš J. Coating of Carbonized Leather Waste with the Conducting Polymer Polyaniline: Bicontinuous Composites for Dye Adsorption. Coatings. 2023; 13(8):1419. https://doi.org/10.3390/coatings13081419
Chicago/Turabian StyleStejskal, Jaroslav, Fahanwi Asabuwa Ngwabebhoh, Tomáš Sáha, and Jan Prokeš. 2023. "Coating of Carbonized Leather Waste with the Conducting Polymer Polyaniline: Bicontinuous Composites for Dye Adsorption" Coatings 13, no. 8: 1419. https://doi.org/10.3390/coatings13081419
APA StyleStejskal, J., Ngwabebhoh, F. A., Sáha, T., & Prokeš, J. (2023). Coating of Carbonized Leather Waste with the Conducting Polymer Polyaniline: Bicontinuous Composites for Dye Adsorption. Coatings, 13(8), 1419. https://doi.org/10.3390/coatings13081419

