You are currently on the new version of our website. Access the old version .
CoatingsCoatings
  • Editor’s Choice
  • Article
  • Open Access

26 July 2023

Improving the Technical Characteristics of Untreated and Heat-Treated Ayous Wood against Accelerating Ageing by Testing Two Application Modalities of an Innovative Polyurethane Coating for Outdoor Uses

,
,
and
1
Department of Economics, Engineering, Society and Business Organization, University of Tuscia, Largo dell’Università, 01100 Viterbo, Italy
2
Department of Agriculture and Forest Science, University of Tuscia, Via San Camillo del Lellis, 01100 Viterbo, Italy
*
Author to whom correspondence should be addressed.
This article belongs to the Special Issue Advances in Surface Modification and Coatings of Wood and Wood Composites

Abstract

This paper presents the results of tests of a new mono-component polyurethane coating for wood with the aim of evaluating its effect on Ayous (Triplochiton scleroxylon K. Schum), which is a wood species used in Europe for various applications, especially outdoors, after being heat treated. The coating was tested on both untreated and thermally treated samples, as the latter procedure is commonly used in the wood industry to modify the material’s characteristics. Moreover, two kinds of coating application were tested: coatings applied via brushing and coatings applied via spraying; in this test, we also verified the most suitable and effective modality. Samples were investigated using the following techniques: colour measurement, roughness mapping, contact angle measurement, surface micro-hardness and the wearing test; these techniques were applied before and after a period of artificial ageing under simulated solar irradiation. Upon synthesizing the main results, we identified the following results: (i) the polyurethane coating reduced the colour variation as a result of artificial aging of the untreated Ayous wood; in contrast, heat-treated wood underwent large colour changes; (ii) the coating acted effectively as a hydrophobic agent on the surface of the wood in each case examined, though even a short aging time altered the initial wettability characteristics; and (iii) the application of the coating caused a decrease in the roughness of both untreated and heat-treated surfaces, though this trend was much more evident in the case of the spray modality of application; however, aging always induced an increase in roughness, which was mainly observed in uncoated wood samples.

1. Introduction

Wood is essentially made up of biopolymers such as cellulose, hemicelluloses, lignin and extractives. Due to its technological properties, it is commonly used as an engineering and structural material. Its aesthetic qualities, which are derived from the colour and anatomical characteristics of the woody products, greatly vary between wood types of different botanical species. Due to its aesthetic qualities, it is widely used in either solid form or as a derivative, such as plywood and veneers, both indoors and outdoors.
Wood is a highly sustainable material that is derived from properly managed forests and plantations. The management of wood can be certified according to schemes that testify to its sustainability. Wood and its derived products are, therefore, interesting alternatives that can be used in construction, as they are of biological origin, renewable, low cost and energy efficient and have highly appreciated aesthetic characteristics. In addition, the dry matter of the wood contains approximately 50% carbon by mass, which is derived from the atmospheric CO2 that the source tree absorbed and stored during its growth phases; therefore, using wood products presents an opportunity to combat climate change. However, wood and wooden products undergo biological degradation by both organisms and abiotic factors, such as light radiation and atmospheric precipitation, which can synergically impoverish the surfaces [1,2,3,4]. Thermal modification is a valid alternative that can be used to achieve controlled degradation to improve dimensional stability and prolong the original durability of the wood [5,6,7]. In this case, the surface of the wood is affected by atmospheric agents; this process generally occurs more in treated wood than in untreated wood [8]. Accordingly, interventions that can adequately preserve the surface of the heat-treated wood are considered favourable by its users. It is, therefore, necessary to analyze coatings that can be both eco-sustainable and harmless to operators, users and the environment [9,10,11].
This study deals with Ayous wood, which is derived from the species Triplochiton scleroxylon K. Schum. This species is widely distributed in tropical areas of central–western Africa that have uneven annual rainfall distribution [12,13]. The major exporting countries are Cameroon, Ghana, Ivory Coast, Niger and Nigeria [14]. Ayous wood is very popular and widely used in the Western market [15]. This wood is mainly used in outdoor coverings of buildings, especially in Northern and Central Europe, which exposes Ayous to degradation agents, such as UV, moisture, and biological attacks [16,17]. Moreover, Ayous may be considered a low durable wood, the durability of which could be improved by applying different kinds of coatings or via thermal treatment, which represents a valid alternative to the use of chemical preservatives [18,19]. Thermal treatment is widely used in the wood industry to increase the stability of the material by reducing the water adsorption due to the resulting decrease in available free hydroxyl groups of carbohydrates [20,21]. The reduction in hygroscopicity contributes to the dimensional stability of the material, as swelling and shrinkage are mainly related to water absorption and desorption processes [22,23]. Further, the treatment with heat causes physical–chemical alteration of wood surfaces, making the material appear darker in colour [5,18,19,20,21,24,25]. This change is generally well-appreciated by consumers in Western markets, who prefer it to the original light-yellow colour of Ayous wood [21,25].
Thermal treatment also causes a reduction in the wood’s mechanical characteristics, such as compression strength, static bending and Brinell hardness, as well as in some physical characteristics (dry density and basic density), as discussed in the paper of Gennari et al. [26].
Moreover, previous works showed that thermally treated samples exhibited great variations in colour and chemical properties because of artificial ageing [27]. For this reason, surface protection could also be necessary in the case of thermally treated Ayous wood, leading us to test the protective affect a new mono-component polyurethane coating, which we applied to both untreated and heat-treated samples. This kind of protective agent and its possible application modalities have never been studied before in relation to Ayous wood; thus, this study constitutes a novel experiment in the field of wood coating studies.
Polyurethane-based coatings are widely used as protective agents for wood and other materials thanks to their high versatility, which allows manufacturers to produce different kinds of products with a wide range of properties that can be further modified by additives or nanomaterials [28,29,30].
Generally, polyurethanes are made up of two components mixed at the time of use to allow the polymerisation and formation of the coating [31,32]. Mono-component polyurethane coatings, the hardening process of which occurs in line with the environment’s humidity, are less frequently used, and no study of their application on wood was found in the literature. For this reason, the objective of the present study is to investigate the effect of a new mono-component polyurethane coating on the surface properties of Ayous wood using both untreated and thermally treated, with the latter procedure usually being applied at an industrial level. To evaluate the effect of the coating, colour, wettability, roughness, micro-hardness and wearing are measured on each wood typology. All of these surface properties are considered relevant to the practical evaluation of wood’s performance when it is exposed to outdoor conditions.

2. Materials and Methods

2.1. Sample Preparation and Coating Application

The Ayous planks were taken from timber grown in a natural forest, which was certified by the FSC (Forest Stewardship Council) for forest management and chain of custody, located in the Cameroonian Department of Boumba-et-Ngoko. The thermal treatment was industrially performed on Ayous planks in an autoclave (Model TVS 6000 WDE Maspell srl, Terni, Italy) at a temperature of 215 °C for 3 h with a slight initial vacuum.
The samples were preserved in laboratory conditions at 65% relative humidity and 20 °C.
After cutting, specimens (10 × 5 × 1 cm) were stored in the laboratory in darkness. The following specimens were prepared for the various tests (Figure 1): untreated without coating (NTNC), thermally treated without coating (TTNC), untreated with coating applied via brushing (NTBC), thermally treated with coating applied via brushing (TTBC), untreated with coating applied via spraying (NTSC), and thermally treated with coating applied via spraying (TTSC).
Figure 1. Photographs of specimen details for each typology: untreated without coating (NTNC); untreated and coated via brushing (NTBC); untreated and coated via spraying (NTSC); thermally treated without coating (TTNC); thermally treated and coated via brushing (TTBC); and thermally treated and coated via spraying (TTSC).
The polyurethane coating (named GLOBALPUR MC 10/120), which was produced by Globalchimica s.r.l (Torino, Italy), was applied following the instructions detailed in the technical data sheet, which recommends applying it without dilution via brushing or spraying. The mass variations in samples after the coating application were as follows: 0.52 ± 0.02 g for NTBC wood, 0.62 ± 0.02 g for TTBC, 1.40 ± 0.02 g for NTSC, and 1.35 ± 0.02 g for TTSC.
According to the technical data sheet, the characteristics of the product, which were measured at 20 °C and 60% RH, are shown in the Table 1.
Table 1. Main characteristics of the mono-component polyurethane coating, which were obtained from the technical data sheet of the product.
For each specimen typology, three replicas were used.
Artificial ageing of the specimens was performed via a Model 1500E Solar Box (Erichsen Instruments) to simulate the exposure to solar radiation under the following conditions: 550 W/m2 and 55 °C for 168 h.
The relative humidity inside of the Solar Box was monitored via a Testo H2-175 digital datalogger that was constant and equal to 50%.
Colour, contact angle, roughness, micro-hardness and wearing were measured before and after artificial ageing and the date were processed using Origin 2018 to compare the different treatments in the same graph.

2.2. Coating Characterisation via Fourier Transform Infrared Spectroscopy (FTIR)

FTIR spectroscopy was used to characterize the commercial coating and verify its composition. The hardened coating was mixed with potassium bromide (KBr spectrophotometric grade) in an agate mortar (10 mg of coating in 340 mg of KBr). The mixture was pressed using one of the two sample holders of the FTIR spectrometer, which was a Nicolet Avatar 360 instrument equipped with a diffuse reflectance accessory (DRIFT), and the other pure KBr was pressed to be used as the background. The instrument operated in the MIR region of the infrared from 400 cm−1 to 4000 cm−1, having a resolution of 4 cm−1. A total of 128 scans were acquired for the background and the sample via the DRIFT modality. In this way, the spectrum was reported as the reflectance percentage as a function of the wavenumber expressed in cm−1.

2.3. Colour Measurements

The colour was monitored using an EOPTIS CLM 19x (EOPTIS SRL, Trento, Italy) colorimeter under the following conditions, which were determined according to the CIELAB colour system: an illuminant D65, a standard observer of 10°, a geometry of measurement of 45°/0°, a measurement diameter of 6 mm, and a white reference supplied with the instrument. The points of colour measurement were 30 for each specimen.

2.4. Contact Angle Measurements

The contact angle was measured to study the characteristics of wettability of the uncoated and polyurethane-coated wood, of which both untreated and thermally modified Ayous wood surface samples were used. According to the direct observation method, the values were obtained by measuring the angle in the liquid phase, which was generated via the tangent to water drop profile and the wood solid surface. The measurement was performed by observing the drop using a FireWire camera with telecentric optics and a 55-millimeter focus length. The measurements were taken for 90 s because the contact angle varies during the time following drop application. The software One Attension directly elaborated the visual data by supplying the values of contact angles every 0.72 s.

2.5. Roughness

Roughness measurements were performed using a Taylor–Hobson TalySurf CLI 2000 (Taylor-Hobson, Leicester, UK) apparatus.
The 3D morphology of the different samples was measured via a contact gauge surface. In total, 101 profiles were stored for each sample, each with a resolution of 1 μm along the measurement direction and 2 μm along the perpendicular direction, over an area of 15 × 2 mm2. TalyMap software Release 3.1 was used to perform data analysis and evaluate the roughness parameters. This measure allowed the main roughness parameters to be evaluated. In particular, average roughness Ra and ISO10 points height Rz were measures of the amplitude parameters of the roughness profile. Spacing RSm was a measure of the characteristic wavelength of the roughness profile. The hybrid parameters slope RΔq, RSk and RKu account for the average slope of the roughness profile and its distribution and symmetry around the center line. Three-dimensional morphological maps were also stored, using a resolution of 3 μm along both the measurement and perpendicular directions, over an area of 4 × 4 mm2.

2.6. Micro-Hardness Test

Micro-hardness measurements were performed using a depth-sensing micro-indentation (Micro-Combi, CSM Instruments, Peseaux, Switzerland). Standard micro-hardness tests (micro-Vickers indenter) were performed on substrate by applying a load of 15 N to evaluate the polyurethane coating’s influence on hardness. For each sample typology, 40 measurements were taken.

2.7. Wearing Test

Wearing tests were performed using a standard tribometer (Tribometer, C.S.M. Instruments, Peseaux, Switzerland) that operated at 25 °C and relative humidity of 40%. The ball tip was made of 100Cr6, and the track formed had a length of 6 mm and a speed of 8 cm/min. The applied force was 7 N and the wear length, i.e., the distance travelled by the linear tribometer, was 100 m.

3. Results and Discussion

3.1. FTIR Spectrum of the Coating Product

The commercial products are often unknown from a composition point of view because the technical data sheet does not include detailed information about the chemicals and the additives. For this reason, we used FTIR spectroscopy to obtain information on the composition of the commercial polyurethane coating. The Fourier infrared spectrum of the product is shown in Figure 2. The main signatures that are typical of polyurethane are directly indicated in the spectrum [33]. The presence of the characteristic free N=C=O band at 2271 cm−1 is the result of the isocyanate group of unpolymerised material, which is still present in the coating [34]. The C=O stretching region shows the signature of free carbonyl at 1768 cm−1, as well as that of the hydrogen-bonded group at 1687 cm−1 [35]. Indeed, the hydrogen bonding elongates the carbonyl bond length, leading to the reduction in the stretching vibration frequency and, consequently, to a lower wavenumber than that of the free C=O [35]. The absence, in the FTIR spectrum, of the broad band at about 1000 cm−1 (due to the C-O-C bond in ethers) suggests that the product is a polyester-based copolymer, rather than a polyether-based polyurethane [33]. The changes in polyurethane composition are made to improve the characteristics of the kind of polymers that generally suffered from photodegradation if exposed to ultraviolet radiation [34,35,36,37].
Figure 2. FTIR spectrum in the diffuse reflectance modality of the polyurethane product.
Other signatures reported in the spectrum can be attributed to the stretching of the C-O bond of urethane (around 1072 cm−1); the N-H bending of amide IV, V and VI in the region at lower wavenumbers (666 and 581 cm−1); and the CH methyl bending (at 1366 cm−1) [33].

3.2. Colour Data

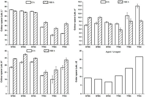
The first investigated surface parameter was colour, the data related to which were synthesised, as shown in Figure 3. The first observation concerned the effect of the polyurethane coating on the sample colour. In the case of thermally untreated specimens, little changes could be observed for L* and a* coordinates, whereas the b* coordinate underwent a more pronounced variation (increase) that corresponded to the yellowing of the surface.
Figure 3. Chromatic coordinates L*, a* and b* values, along with the standard deviation bars, and calculations of ΔE* for the different samples and modalities of coating application, both before and after ageing in Solar Box chamber. Untreated and uncoated wood (NTNC); untreated wood coated via brushing (NTBC); untreated wood coated via spraying (NTSC); thermally treated and uncoated wood (TTNC); thermally treated wood coated via brushing (TTBC); thermally treated wood coated via spraying (TTSC).
The case of heat-treated specimens is very different, as the application of the coating instead caused a considerable variation in colour, especially in the case of application via spraying.
Specifically, L* decreases, while b* and, in particular, a* coordinates increase. This effect can be explained based on the colour inhomogeneity of the wood surface caused by the heat treatment.
Ageing causes the following changes in the chromatic coordinates: a little decrease in lightness (both in uncoated and coated samples), an appreciable increase in a* in the case of uncoated samples and coating applied via brushing, a little decrease in the case of the spray modality, and an increase in b* that is particularly evident in the case of coating applied via brushing. By observing the values of the chromatic coordinates and the total colour difference expressed by ΔE*, we can determine that, in the case of thermally untreated samples, the variations are higher in the uncoated samples than in the coated samples, and the spray application mode has the lowest colour variation. On the other hand, thermally treated samples exhibit a very different situation that reflects the variability in these samples [27]. The application of the polyurethane coating highly reduces the lightness of the samples (from about 39 to 20–23) and increase the values of a* and b*, especially in the case of spray application, as shown in Figure 3. This result is particularly evident in TT wood samples, probably due to the absorption of the hydrophobic coating by the thermally treated surfaces that became hydrophobic because of heat treatment. The ageing in Solar Box causes different colour changes in samples depending on the type of application [38,39]. The most relevant variations occur in thermally treated samples with the polyurethane coating applied via spraying having a great increase in L* (from 23.7 to 44.0), a decrease in a* (from 14.9 to 9.2) and an increase in b* (from 25.7 to 33.2), thus producing a total colour difference of 21.6 that may be associated with variations in both wood and coating. In the cases of thermally treated samples without coating and with coating applied via brushing, the values of ΔE* are 9.97 and 14.9, respectively, further demonstrating that the application of the polyurethane protective agent via brushing does not produce a homogeneous layer on the surface of the samples; instead, the colour variations are mainly due to the wood material and only partially due to the coating.
In brief, colour data of coated and uncoated samples, whether untreated or heat treated, showed that untreated Ayous wood is protected by the polyurethane coating, especially when it is applied via spraying, with reduced variation being a consequence of artificial ageing; in contrast, thermally treated wood experienced great colour changes due to ageing, with a great increase in L*, a decrease in a* and a decrease in b*, with changes being particularly notable in the case of samples treated via spraying. Thus, we can confirm that in the case of heat-treated samples, this coating has no effect in terms of protecting the wood surface colour. As colour is an important property, especially from an aesthetic point of view, the practical implications of this result are relevant to the potential uses of Ayous wood outdoors. It is clear that if, on one hand, the thermal treatment highly darkens the wood surface, making it more pleasant for the market, then, on the other hand, the dark brown colour produced via heat treatment is not stable under solar irradiation and rapidly lightens, even in the presence of the coating.

3.3. Contact Angle Data

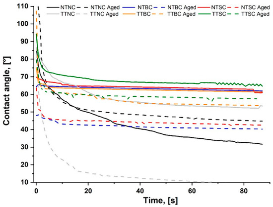
The contact angle is an important parameter that is directly correlated with the wettability of surfaces and particularly relevant in case of materials that could be exposed to outdoor conditions [40,41]. In Figure 4, the trends of this parameter are reported for all sample typologies as a function of time.
Figure 4. Contact angle trends for all samples: untreated wood that is uncoated (NTNC) and either unaged or aged; untreated wood that is coated via brushing (NTBC) and either unaged or aged; untreated wood that is coated via spraying (NTSC) and either unaged or aged; thermally treated wood that is uncoated (TTNC) and either unaged or aged; thermally treated wood that is coated via brushing (TTBC) and either unaged or aged; thermally treated wood that is coated via spraying (TTSC).
The trends in Figure 4 show the effect of the coating on the wood surface: in each case, the polyurethane coating increases the surface hydrophobicity, allowing us to maintain as quite constant the contact angle in unaged samples (solid lines: green, red, yellow and blue colours). These observations highlight the fact that the polyurethane coating acts well as a hydrophobic agent on the wood surface.
Thermally treated wood, without coating (light grey solid line in Figure 4), has an obviously higher contact angle than the untreated and uncoated sample (black line in Figure 4) due to the hydrophobicity produced via the heat treatment [42,43,44,45,46]. The ageing of samples in the Solar box chamber has, in each case, an influence on the contact angle trend. The most relevant effect of ageing on the contact angle values can be observed in the thermally treated samples without coating (dashed light grey line). Compared to the unaged samples, the contact angle values are much lower and decrease to zero in a short time, suggesting that a complete change in the nature of the wood surface from hydrophobic (due to heat treatment) to hydrophilic (due to solar radiation) occurs. This result again demonstrates the instability of heat-treated wood because short-period ageing can completely change its wettability characteristics for both structural and chemical reasons [47].
The formation of cracks on wood surface, which occurs due to heat treatment and solar irradiation, facilitates water penetration into wood, and this process leads to an increase in wettability. From a chemical point of view, the artificial ageing could cause an increase in the hydroxylic group on the surface due to the formation of amorphous cellulose, increasing the interactions between water and wood and, consequently, the wettability, as proposed by Huang et al. [46]. On the contrary, the untreated uncoated wood experiences little variation in surface contact angle, which exhibits an increase in this parameter that leads to a decrease in wettability [46]. This result is consistent with those of other works found in the literature [48,49,50,51], and it was demonstrated to be associated with a decrease in the polarity of the wood surface due to an increase in carbon and a decrease in the oxygen percentage, which points towards greater hydrophobicity [49,52,53].
The change in the wettability of the coated samples mainly depends on the thermal treatment, depending less considerably on application modality, though, in all cases, a decrease in the contact angle can be observed because of artificial ageing. In the case of untreated wood, the decrease is more evident than that of heat-treated wood. The decrease in the contact angle in coated samples can be associated with the degradation of the polyurethane coating as it loses its hydrophobic function. On the other hand, in the case of heat-treated samples, the degradation of the coating is mitigated by the hydrophobic characteristics in the wood surface that is maintained thanks to the presence of the protective agent.
From the contact angle measurements, the main results that can be derived are related to the thermally treated uncoated samples. In this case, the short-term ageing determined via Solar Box completely changes the hydrophobic characteristics of the wood surface affected by the heat treatment, leading to the formation of a hydrophilic material. Once again, thermal treatment at 215 °C produces a material that originally has a good resistance to water penetration, though after solar irradiation exposure, it losses this property, thus becoming prone to water absorption. From a practical point of view, this result demonstrates, on one hand, the need to change the temperature of thermal treatment and, om the other hand, the need to protect the heat-treated wood exposed to outdoor conditions.

3.4. Roughness Data

The surface characteristics of the different samples were also evaluated by measuring the roughness parameters that exhibit the values, as shown in Figure 5.
Figure 5. Roughness parameters obtained for measurements taken perpendicular to wood grain: untreated wood that was uncoated (NTNC) and either unaged or aged; untreated wood that was coated via brushing (NTBC) and either unaged or aged; untreated wood that was spray coated (NTSC) and either unaged or aged; thermally treated wood that was uncoated (TTNC) and either unaged or aged; thermally treated wood that was coated via brushing (TTBC) and either unaged or aged; and thermally treated wood spray coated (TTSC).
The values of the parameters Ra and Rz, in the case of the uncoated samples, show a clear increase following thermal treatment compared to the untreated wood, indicating that the heat caused the increase in the average roughness and maximum profile height, as previously observed for other wood species and explained based on the degradation of wood components [25,54,55,56]. The application of the coating, in all cases, causes a decrease in roughness that is more evident if the product is applied via spraying (see values of Ra and Rz in Figure 5). This result suggests that application via spraying allows us to obtain a more homogeneous surface layer than that obtained via brushing because, in this case, the polyurethane solution is not uniformly distributed on the entire surface. Moreover, the coating layer is probably thicker in the case of spray application due to the higher mass variation (1.40 g for NTSC and 1.35 g for TTSC) compared to application via brushing (0.52 g for NTBC and 0.62 g for TTBC).
To better support this assessment, roughness maps were obtained by comparing the effects of the two different application modalities (Figure 6). Using the maps shown in Figure 6, it is possible to observe a clear increase in roughness because of thermal treatment. The heat-treated surface, in fact, exhibits deep and evident cracks compared to the untreated sample. The application of the coating causes a decrease in roughness in both untreated and heat-treated surfaces, though this trend is much more evident in the case of application via spraying.
Figure 6. Roughness maps obtained for untreated (NT) and thermally treated (TT) samples uncoated (NC) and coated with the polyurethane product via brushing (BC) and spraying (SC).
The ageing measured in the Solar Box chamber always produces an increase in roughness that is more evident in uncoated samples (Figure 5), whether untreated or heat treated, as reported in the literature [57,58]. This increase in roughness has been attributed to the erosion of the wood surface caused by weathering [59,60,61,62]. The increased roughness can be related to the degradation of the wood polymers, especially lignin, which mainly occurred in the early wood due to thin-walled cells and lower density [63]. The coating, particularly when applied via spraying, reduces the roughness variation by protecting wood surfaces against weathering in the Solar Box chamber.

3.5. Micro-Hardness Data

The average Vickers micro-hardness data are reported in Figure 7, along with the relative standard deviation. The evidence shows that the application modality of the coating affects the values of micro-hardness. In fact, in the case of application via spraying, a great increase in hardness is observed for both untreated and heat-treated samples. On the other hand, application via brushing does not change the hardness of untreated samples and causes only little increases in that of thermally treated wood. In all cases, artificial ageing causes only a little decrease in hardness. This result again demonstrates the superior performance of application via spraying because it probably allows us to obtain a thicker and more homogenous layer of coating product distributed on the sample surface, which was derived from both the roughness data and the mass variation measurements.
Figure 7. Micro-hardness average values for untreated (NT) and thermally treated (TT) samples, which were uncoated (NC) and coated with the polyurethane product via either brushing (BC) or spraying (SC), before and after 168 h of artificial ageing in Solar Box.
The most relevant result obtained from the micro-hardness measurements has an important implication for the modality for coating application. In fact, the spray modality give raise to a notably increase in hardness and, even if no thickness measurements were obtained, this result suggests that the polyurethane coating is better distributed on the surface and its layer is thicker due to the greater quantity of product used.

3.6. Wearing Test Data

One of the most relevant parameters used to evaluate the effectiveness of a coating layer, from a practical point of view, is the wearing resistance, which has been measured under three conditions of applied force (Figure 8).
Figure 8. Wear volume average values for untreated (NT) and thermally treated (TT) samples, which were uncoated (NC) and coated with the polyurethane product via either brushing (BC) or spraying (SC), before and after 168 h of artificial ageing in Solar Box.
The highest wear volumes are observed for TTNC and TTNC aged samples at the sites of the three applied forces, further demonstrating that the heat-treated wood suffered degradation of its components, meaning that the surface became much rougher and more susceptible to wearing [64].
High values of wear volume can also be observed in the aged NTNC samples, indicating that the unprotected untreated wood undergoes degradation during the simulated solar irradiation, which is mainly related to lignin modification, as reported in the literature [1,65].
The application of the coating completely changes the responses of the surfaces to the wearing test. In fact, in all cases, the wear volume notably decreases, especially for the samples coated via spraying. This result demonstrates that the polyurethane coating has a great protective ability against wearing in both untreated and thermally treated samples, especially if applied via spraying.
The practical implications of the wearing test results are that the polyurethane coating has, in general, a great protective effect on Ayous wood surface in regard to abrasion, and this effect is maintained after artificial weathering. If combined with the micro-hardness data, this result shows that the coating has a good performance in terms of improving the mechanical resistance of the wood surface, especially if applied via spraying.

4. Conclusions

The results of testing a new mono-component polyurethane applied to Ayous wood in both its natural form and after being industrially heat-treated at 215 °C were shown. The coating performance was evaluated by applying the product via brushing and spraying, which allowed us to study the effect of the application modality. Colour, contact angle, roughness, micro-hardness and wearing were measured on the different samples before and after short-term artificial ageing was carried out under simulated solar irradiation. Untreated and thermally treated samples were used, and they were uncoated and coated with the polyurethane product, which was applied via brushing and spraying.
The obtained results showed that the industrial thermal treatment applied at this temperature drastically changed the surface and mechanical characteristics of wood to the extent that the materials became fragile and were not resistant to outdoor exposure. In the future, it will be useful to test the treatment at a temperature lower than 215 °C to determine if it could maintain the mechanical characteristics of the wood, as shown in a previous paper.
The polyurethane coating demonstrated effectiveness in protecting the wood surface (increase in wearing resistance) and maintaining its hydrophobic characteristic, as well as having little effect on the colour, in the case of untreated wood. The spray-based application was superior because it allowed for the production of a more homogeneous protective layer, and it was probably thicker due to the higher mass variation, which meaningfully reduced the roughness on the wood surface and increased the micro-hardness and the wear resistance.
This work supplied valid information about the short-term ageing of a commercial polyurethane mono-component coating, giving a practical indication of the maintenance planning required for the surface treated with this product.
Regarding the future perspectives of the research into Ayous wood protective agents, it will be useful to investigate the use of lower temperatures for thermal treatment and other possible coating products, given the differences between untreated and heat-treated wood. Indeed, given the different characteristics induced via thermal treatment, which mainly concerned hydrophobicity, the untreated wood will probably require a different kind of coating that is able to protect the surfaces from weathering for as long as possible.

Author Contributions

Conceptualisation, C.P. and A.L.M.; methodology, G.R. and C.P.; software, G.R. and L.L.; validation, A.L.M., C.P. and G.R.; formal analysis, L.L. and G.R.; investigation, G.R. and L.L.; resources, A.L.M. and C.P.; data curation, C.P. and G.R.; writing—original draft preparation, C.P.; writing—review and editing, A.L.M., G.R. and L.L.; visualisation, G.R. and L.L.; supervision, C.P.; project administration, A.L.M.; funding acquisition, A.L.M. All authors have read and agreed to the published version of the manuscript.

Funding

This research received no external funding.

Institutional Review Board Statement

Not applicable.

Data Availability Statement

Not applicable.

Acknowledgments

The authors are grateful to Vasto Legno S.p.A., which supplied the industrially heat-treated and non-treated wood planks. This work was financially supported by the Italian Ministry of Education, University and Research (MIUR) (Law 232/2016, Italian University Departments of excellence 2023–2027) project “Digitali, Intelligenti, Verdi e Sostenibili” (D.I.Ver.So)—UNITUS-DAFNE WP3.

Conflicts of Interest

The authors declare no conflict of interest.

References

  1. Bonifazi, G.; Calienno, L.; Capobianco, G.; Lo Monaco, A.; Pelosi, C.; Picchio, R.; Serranti, S. A new approach for the modelling of chestnut wood photo-degradation monitored by different spectroscopic techniques. Environ. Sci. Pollut. Res. 2017, 24, 13874–13884. [Google Scholar] [CrossRef] [PubMed]
  2. Pandey, K.K. Study of the effect of photo-irradiation on the surface chemistry of wood. Polym. Degrad. Stab. 2005, 90, 9–20. [Google Scholar] [CrossRef]
  3. Blanchet, P.; Pepin, S. Trends in Chemical Wood Surface Improvements and Modifications: A Review of the Last Five Years. Coatings 2021, 11, 1514. [Google Scholar] [CrossRef]
  4. Oberhofnerová, E.; Šimůnková, K.; Dvořák, O.; Štěrbová, I.; Hiziroglu, S.; Šedivka, P.; Pánek, M. Comparison of Exterior Coatings Applied to Oak Wood as a Function of Natural and Artificial Weathering Exposure. Coatings 2019, 9, 864. [Google Scholar] [CrossRef]
  5. Jones, D.; Sandberg, D.; Goli, G.; Todaro, L. Wood Modification in Europe: A State-of-the-Art about Processes, Products and Applications; Content CC BY-SA 4.0 International, Metadata CC0 1.0 Universal; Firenze University Press: Firenze, Italy, 2019. [Google Scholar]
  6. Cao, S.; Cheng, S.; Cai, J. Research Progress and Prospects of Wood High-temperature Heat Treatment Technology. BioResources 2022, 17, 3702–3717. [Google Scholar] [CrossRef]
  7. Cirule, D.; Sansonetti, E.; Andersone, I.; Kuka, E.; Andersons, B. Enhancing Thermally Modified Wood Stability against Discoloration. Coatings 2021, 11, 81. [Google Scholar] [CrossRef]
  8. Varga, D.; Tolvaj, L.; Molnar, Z.; Pasztory, Z. Leaching effect of water on photodegraded hardwood species monitored by IR spectroscopy. Wood Sci. Technol. 2020, 54, 1407–1421. [Google Scholar] [CrossRef]
  9. Bahrami, A.; Hornborg, A.; Persson, S.; Norén, J.; Asplin, B.B. Evaluation of Untreated and Surface-Treated Wooden Facades of Buildings in Sweden. Coatings 2023, 13, 746. [Google Scholar] [CrossRef]
  10. Evans, P.D.; Haase, J.G.; Seman, A.S.B.M.; Kiguchi, M. The search for durable exterior clear coatings for wood. Coatings 2015, 5, 830–864. [Google Scholar] [CrossRef]
  11. Vidholdová, Z.; Slabejová, G.; Šmidriaková, M. Quality of Oil- and Wax-Based Surface Finishes on Thermally Modified Oak Wood. Coatings 2021, 11, 143. [Google Scholar] [CrossRef]
  12. Palla, F.; Louppe, D. Obeché. Forafri, Libreville, Gabon & Cirad-Forȇt; CIRAD: Montpellier, France, 2002; Volume 3, pp. 1–6. [Google Scholar]
  13. Hall, J.B.; Bada, S.O. The Distribution and Ecology of Obeche (Triplochiton scleroxylon). J. Ecol. 1979, 67, 543–564. [Google Scholar] [CrossRef]
  14. ITTO (International Tropical Timber Organization). Status of Tropical Forest Management 2005; ITTO Technical Series 24; International Tropical Timber Organization: Yokohama, Japan, 2006; 302p. [Google Scholar]
  15. Gennari, E.; Picchio, R.; Lo Monaco, A. Ayous wood: Main uses and selected physical and mechanical properties of an increasingly interesting material originating from Cameroon. Drewno 2022, 65, 209. [Google Scholar]
  16. Brischke, C.; Meyer, L.; Alfredsen, G.; Humar, M.; Francis, L.; Flate, P.-O.; Larsson-Brelid, P. Natural Durability of Timber Exposed Above Ground—A Survey. Drv. Ind. 2013, 64, 113–129. [Google Scholar] [CrossRef]
  17. Humar, M.; Kržišnik, D.; Lesar, B.; Brischke, C. The performance of wood decking after five years of exposure: Verification of the combined effect of wetting ability and durability. Forests 2019, 10, 903. [Google Scholar] [CrossRef]
  18. Gennari, E.; Picchio, R.; Tocci, D.; Lo Monaco, A. Modifications of Physical and Mechanical Characteristics Induced by Heat Treatment: Case Study on Ayous Wood (Triplochiton sleroxylon K. Schum). Environ. Sci. Proc. 2021, 3, 27. [Google Scholar]
  19. Hill, C.A.S. Wood Modification: Chemical, Thermal and Other Processes; John Wiley and Sons: Hoboken, NJ, USA, 2006. [Google Scholar]
  20. Esteves, B.M.; Pereira, H.M. Wood modification by heat treatment: A review. BioResources 2009, 4, 370–404. [Google Scholar] [CrossRef]
  21. Candelier, K.; Thevenon, M.-F.; Petrissans, A.; Dumarcay, S.; Gerardin, P.; Petrissans, M. Control of wood thermal treatment and its effects on decay resistance: A review. Ann. For. Sci. 2016, 73, 571–583. [Google Scholar] [CrossRef]
  22. Enjily, V.; Jones, D. The potential for modified materials in the panel products industry. In Proceedings of the Wood Resources and Panel Properties Conference, Valencia, Spain, 12–14 June 2006. COST Action E44/E49. [Google Scholar]
  23. Korkut, S.; Kocaefe, D. Effect of heat treatment on wood properties, Düzce University. J. For. 2009, 5, 11–34. [Google Scholar]
  24. Ayadi, N.; Lejeune, F.; Charrier, F.; Charrier, B.; Merlin, A. Color stability of heat-treated wood during artificial weathering. Holz Roh Werkst. 2003, 61, 221–226. [Google Scholar] [CrossRef]
  25. Lo Monaco, A.; Pelosi, C.; Agresti, G.; Picchio, R.; Rubino, G. Influence of thermal treatment on selected properties of chestnut wood and full range of its visual features. Drewno 2020, 23, 5–24. [Google Scholar]
  26. Gennari, E.; Picchio, R.; Lo Monaco, A. Industrial Heat Treatment of Wood: Study of Induced Effects on Ayous Wood (Triplochiton scleroxylon K. Schum). Forests 2021, 12, 730. [Google Scholar] [CrossRef]
  27. Pelosi, C.; Agresti, G.; Lanteri, L.; Picchio, R.; Gennari, E.; Lo Monaco, A. Artificial Weathering Effect on Surface of Heat-Treated Wood of Ayous (Triplochiton scleroxylon K. Shum). Environ. Sci. Proc. 2021, 3, 15. [Google Scholar]
  28. Das, A.; Mahanwar, P. A brief discussion on advances in polyurethane applications. Adv. Ind. Eng. Polym. Res. 2020, 3, 93–101. [Google Scholar] [CrossRef]
  29. Nikolic, M.; Lawther, J.M.; Sanadi, A.R. Use of nanofillers in wood coatings: A scientific review. J. Coat. Technol. Res. 2015, 12, 445–461. [Google Scholar] [CrossRef]
  30. Scrinzi, E.; Rossi, S.; Deflorian, F.; Zanella, C. Evaluation of aesthetic durability of waterborne polyurethane coatings applied on wood for interior applications. Prog. Org. Coat. 2011, 72, 81–87. [Google Scholar] [CrossRef]
  31. Akindoyo, J.O.; Beg, M.D.H.; Ghazali, S.; Islam, M.R.; Jeyaratnama, N.; Yuvarajc, A.R. Polyurethane types, synthesis and applications—A review. RSC Adv. 2016, 6, 114453. [Google Scholar] [CrossRef]
  32. Somarathna, H.M.C.C.; Raman, S.N.; Mohotti, D.; Mutalib, A.A.; Badri, K.H. The use of polyurethane for structural and infrastructural engineering applications: A state-of-the-art review. Constr. Build. Mater. 2018, 190, 995–1014. [Google Scholar] [CrossRef]
  33. Delpech, M.C.; Miranda, G.S. Waterborne polyurethanes: Influence of chain extender in ftir spectra profiles. Cent. Eur. J. Eng. 2012, 2, 231–238. [Google Scholar] [CrossRef]
  34. Defeyt, C.; Langenbacher, J.; Rivenc, R. Polyurethane coatings used in twentieth century outdoor painted sculptures. Part I: Comparative study of various systems by means of ATR-FTIR spectroscopy. Herit. Sci. 2017, 5, 11. [Google Scholar] [CrossRef]
  35. Mishra, A.K.; Chattopadhyay, D.K.; Sreedhar, B.; Raju, K.V.S.N. FT-IR and XPS studies of polyurethane-urea-imide coatings. Prog. Org. Coat. 2006, 55, 231–243. [Google Scholar] [CrossRef]
  36. Ludwick, A.; Aglan, H.; Abdalla, M.O.; Calhoun, M. Degradation behavior of an ultraviolet and hygrothermally aged polyurethane elastomer: Fourier transform infrared and differential scanning calorimetry studies. J. Appl. Polym. Sci. 2008, 110, 712–718. [Google Scholar] [CrossRef]
  37. Bhargava, S.; Kubota, M.; Lewis, R.D.; Advani, S.G.; Prasad, A.K.; Deitzel, J.M. Ultraviolet, water, and thermal aging studies of a waterborne polyurethane elastomer-based high reflectivity coating. Prog. Org. Coat. 2015, 79, 75–82. [Google Scholar] [CrossRef]
  38. Davis, K.; Leavengood, S.; Morrell, J.J. Effects of Climate on Exterior Wood Coating Performance: A Comparison of Three Industrial Coatings in a Warm-Summer Mediterranean and a Semi-Arid Climate in Oregon, USA. Coatings 2022, 12, 85. [Google Scholar] [CrossRef]
  39. Davis, K.; Leavengood, S.; Morrell, J. Performance of exterior wood coatings in temperate climates. Coatings 2021, 11, 325. [Google Scholar] [CrossRef]
  40. Papp, E.A.; Csiba, C. Contact angle as function of surface roughness of different wood species. Surf. Interfaces 2017, 8, 54–59. [Google Scholar] [CrossRef]
  41. Benkreif, R.; Brahmia, F.Z.; Csiha, C. Influence of moisture content on the contact angle and surface tension measured on birch wood surfaces. Eur. J. Wood Prod. 2021, 79, 907–913. [Google Scholar] [CrossRef]
  42. Pétrissans, M.; Gérardin, P.; El bakali, I.; Serraj, M. Wettability of Heat-Treated Wood. Holzforschung 2003, 57, 301–307. [Google Scholar] [CrossRef]
  43. Herrera, R.; Krystofiak, T.; Labidi, J.; Llano-Ponte, R. Characterization of thermally modified wood at different industrial conditions. Drewno 2010, 59, 197. [Google Scholar]
  44. Altgen, D.; Altgen, M.; Kyyrö, S.; Rautkari, L.; Mai, C. Time-dependent wettability changes on plasma-treated surfaces of unmodified and thermally modified European beech wood. Eur. J. Wood Prod. 2020, 78, 417–420. [Google Scholar] [CrossRef]
  45. de Oliveira Lopes, J.; Aparecida Garcia, R.; do Nascimento, A.M. Wettability of the surface of heat-treated juvenile teak wood assessed by drop shape analyzer. Maderas. Cienc. Tecnol. 2018, 20, 249–256. [Google Scholar]
  46. Huang, X.; Kocaefe, D.; Kocaefe, Y.; Boluk, Y.; Pichette, A. Changes in Wettability of Heat-Treated Wood due to Artificial Weathering. Wood Sci. Technol. 2012, 46, 1215–1237. [Google Scholar] [CrossRef]
  47. Kúdela, J.; Strbová, M.; Jas, F. Influence of accelerated ageing on morphology and wetting of wood surface treated with a modified water-based coating system. Acta Fac. Xylologiae Zvolen Publica Slovaca 2017, 59, 27–39. [Google Scholar]
  48. Nguyen, T.; Johns, W.E. The effects of aging and extraction on the surface free energy of Douglas-Fir and Redwood. Wood Sci. Technol. 1979, 13, 29–40. [Google Scholar] [CrossRef]
  49. Gardner, D.J.; Generalla, N.C.; Gunnells, D.W.; Wolcott, M.C. Dynamic wetting of wood. Langmuir 1991, 7, 2498–2502. [Google Scholar] [CrossRef]
  50. Liu, F.P.; Gardner, J.D.; Wolcott, M.P. A model for the description of polymer surface dynamic behaviour. Contact angle vs. polymers surface properties. Langmuir 1995, 11, 2674–2681. [Google Scholar] [CrossRef]
  51. Nussbaum, R.M. Natural surface inactivation of Scots pine and Norway spruce evaluated by contact angle measurements. Holz Roh Werkst. 1999, 57, 419–424. [Google Scholar] [CrossRef]
  52. Gindl, M.; Reiterer, A.; Sinn, G.; Stanzl-Tschegg, S.E. Effects of surface ageing on wettability, surface chemistry, and adhesion of wood. Holz Roh Werkst. 2004, 62, 273–280. [Google Scholar] [CrossRef]
  53. Hanifah, N.P.; Martha, R.; Rahayu, I.S.; Darmawan, W.; George, B.; Gérardin, P. Surface characterization and paint bonding quality on chemically and thermally modified short rotation teak wood. Int. Wood Prod. J. 2023, 14, 13–20. [Google Scholar] [CrossRef]
  54. Herrera, R.; Sandak, J.; Robles, E.; Krystofiak, T.; Labidi, J. Weathering resistance of thermally modified wood finished with coatings of diverse formulations. Prog. Org. Coat. 2018, 119, 145–154. [Google Scholar] [CrossRef]
  55. Tomak, E.D.; Ustaomer, D.; Ermeydan, M.A.; Yildiz, S. An investigation of surface properties of thermally modified wood during natural weathering for 48 months. Measurement 2018, 127, 187–197. [Google Scholar] [CrossRef]
  56. Keržič, E.; Lesar, B.; Humar, M. Influence of weathering on surface roughness of thermally modified wood. BioResources 2021, 16, 4675–4692. [Google Scholar] [CrossRef]
  57. Godinho, D.; Araújo, S.d.O.; Quilhó, T.; Diamantino, T.; Gominho, J. Thermally Modified Wood Exposed to Different Weathering Conditions: A Review. Forests 2021, 12, 1400. [Google Scholar] [CrossRef]
  58. Mitani, A.; Ntalos, G.; Koutsianitis, D.; Ninikas, K. Aging effect of some varnish coated wood species on color difference and surface roughness. Proligno 2019, 15, 173–178. [Google Scholar]
  59. Nzokou, P.; Kamdem, D.P.; Temiz, A. Effect of accelerated weathering on discoloration and roughness of finished ash wood surfaces in comparison with red oak and hard maple. Prog. Org. Coat. 2011, 71, 350–354. [Google Scholar] [CrossRef]
  60. Tolvaj, L.; Molnar, Z.; Magoss, E. Measurement of photodegradation-caused roughness of wood using a new optical method. J. Photoch. Photobio. B 2014, 134, 23–26. [Google Scholar] [CrossRef]
  61. Mohebby, B.; Saei, A.M. Effects of geographical directions and climatological parameters on natural weathering of fir wood. Constr. Build. Mater. 2015, 94, 684–690. [Google Scholar] [CrossRef]
  62. Oberhofnerová, E.; Pánek, M.; García-Cimarras, A. The effect of natural weathering on untreated wood surface. Maderas-Cienc. Technol. 2017, 19, 173–184. [Google Scholar] [CrossRef]
  63. Williams, R.S.; Knaebe, M.T.; Feist, W.C. Erosion rates of wood during natural weathering. Part II. Earlywood and latewood erosion rates. Wood Fiber Sci. 2001, 33, 43–49. [Google Scholar]
  64. Nejad, M.; Shafaghi, R.; Ali, H.; Cooper, P. Coating performance on oil-heat treated wood for flooring. BioResources 2013, 8, 1881–1892. [Google Scholar] [CrossRef]
  65. Capobianco, G.; Calienno, L.; Pelosi, C.; Scacchi, M.; Bonifazi, G.; Agresti, G.; Picchio, R.; Santamaria, U.; Serranti, S.; Lo Monaco, A. Protective behaviour monitoring on wood photo-degradation by spectroscopic techniques coupled with chemometrics. Spectroch. Acta A 2017, 172, 34–42. [Google Scholar] [CrossRef]
Disclaimer/Publisher’s Note: The statements, opinions and data contained in all publications are solely those of the individual author(s) and contributor(s) and not of MDPI and/or the editor(s). MDPI and/or the editor(s) disclaim responsibility for any injury to people or property resulting from any ideas, methods, instructions or products referred to in the content.

Article Metrics

Citations

Article Access Statistics

Multiple requests from the same IP address are counted as one view.