Preparation of Cold Sprayed Titanium TA2 Coating by Irregular Powder and Evaluation of Its Corrosion Resistance
Abstract
:1. Introduction
2. Materials and Methods
2.1. Materials
2.2. Preparation of Cold Sprayed Titanium Coatings
2.3. Characterization of Cold Sprayed Titanium Coatings
2.4. Assessment of Service Performance
3. Results and Discussion
3.1. Changes in the Microstructure of Cold Sprayed Titanium Coatings
3.2. Properties of Cold Sprayed Titanium Coatings
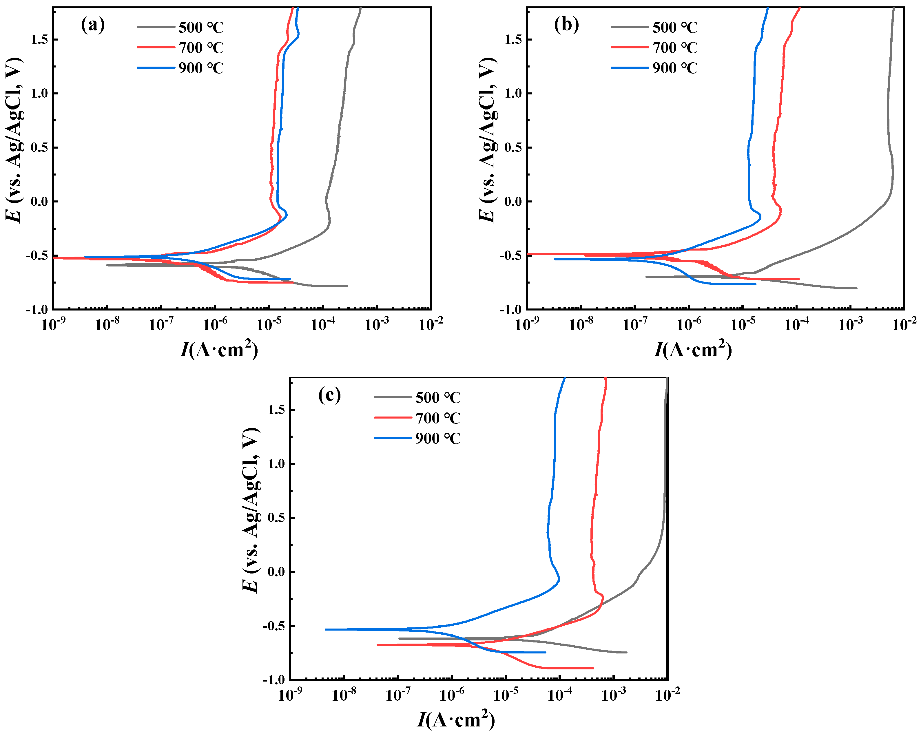
3.3. Simulation of Corrosion Resistance of Cold Sprayed Titanium Coatings in the Seawater Medium
3.4. Corrosion Resistance of Cold Sprayed Titanium Coating in the Simulated Deep Sea Environment
4. Conclusions
Author Contributions
Funding
Institutional Review Board Statement
Informed Consent Statement
Data Availability Statement
Acknowledgments
Conflicts of Interest
References
- Liu, L.; Cui, Y.; Li, Y.; Zhang, T.; Wang, F. Failure behavior of nano-SiO2 fillers epoxy coating under hydrostatic pressure. Electrochim. Acta 2012, 62, 42–50. [Google Scholar] [CrossRef]
- Liu, Y.; Wang, J.; Liu, L.; Li, Y.; Wang, F. Study of the failure mechanism of an epoxy coating system under high hydrostatic pressure. Corros. Sci. 2013, 74, 59–70. [Google Scholar] [CrossRef]
- Liu, B.; Fang, Z.G.; Wang, H.B.; Wang, T. Effect of cross linking degree and adhesion force on the anti-corrosion performance of epoxy coatings under simulated deep sea environment. Prog. Org. Coat. 2013, 76, 1814–1828. [Google Scholar] [CrossRef]
- Wang, C.; Li, J.; Wang, T.; Chai, L.; Deng, C.; Wang, Y.; Huang, Y. Microstructure and properties of pure titanium coating on Ti-6Al-4V alloy by laser cladding. Surf. Coat. Technol. 2021, 416, 127137–127145. [Google Scholar] [CrossRef]
- Song, W.W.; Feng, C.; Zhu, L.J.; Zhang, F.F. Progress of laser cladding wear resistant coating on titanium alloy surface: A review. Mater. Sci. Forum 2021, 1035, 521–527. [Google Scholar] [CrossRef]
- Panteleenko, F.I.; Sarantsev, V.V.; Stolin, A.M.; Bazhin, P.M.; Azarenko, E.L. Formation of composite coatings based on titanium carbide via electrospark alloying. Surf. Eng. Appl. Electrochem. 2011, 4, 106–115. [Google Scholar] [CrossRef]
- Winnicki, M.; Małachowska, A.; Baszczuk, A.; Rutkowska-Gorczyca, M.; Kukla, D.; Lachowicz, M.; Ambroziak, A. Corrosion protection and electrical conductivity of copper coatings deposited by low-pressure cold spraying. Surf. Coat. Technol. 2017, 318, 90–98. [Google Scholar] [CrossRef]
- Wang, H.R.; Li, W.Y.; Ma, L.; Wang, J.; Wang, Q. Corrosion behavior of cold sprayed titanium protective coating on 1Cr13 substrate in seawater. Surf. Coat. Technol. 2007, 201, 5203–5216. [Google Scholar] [CrossRef]
- DeForce, B.S.; Eden, T.J.; Potter, J.K. Cold spray Al-5% Mg coatings for the corrosion protection of magnesium alloys. J. Therm. Spray Technol. 2011, 20, 1352–1358. [Google Scholar] [CrossRef]
- Poza, P.; Garrido-Maneiro, M.Á. Cold-sprayed coatings: Microstructure, mechanical properties, and wear behaviour. Prog. Mater. Sci. 2022, 123, 100839–100842. [Google Scholar] [CrossRef]
- Fardan, A.; Berndt, C.C.; Ahmed, R. Numerical modelling of particle impact and residual stresses in cold sprayed coatings: A review. Surf. Coat. Technol. 2021, 409, 126835–126843. [Google Scholar] [CrossRef]
- Klinkov, S.V.; Kosarev, V.F.; Rein, M. Cold spray deposition: Significance of particle impact phenomena. Aerosp. Sci. Technol. 2005, 9, 582–591. [Google Scholar] [CrossRef]
- Ishikawa, K.; Suzuki, T.; Kitamura, Y.; Tobe, S. Corrosion resistance of thermal sprayed titanium coatings in chloride solution. J. Therm. Spray Technol. 1999, 8, 273–288. [Google Scholar] [CrossRef]
- Kinos, T.; Chen, S.L.; Siitonen, P.; Kettunen, P. Densification of plasma-sprayed titanium and tantalum coatings. J. Therm. Spray Technol. 1996, 5, 439–444. [Google Scholar] [CrossRef]
- Kinos, T.; Chen, S.L.; Siitonen, P.; Kettunen, P. Corrosion properties of shrouded plasma sprayed titanium coatings. Therm. Spray.-Curr. Status Future Trends 1995, 127, 573–586. [Google Scholar]
- Gilmore, D.L.; Dykhuizen, R.C.; Neiser, R.A.; Smith, M.F.; Roemer, T.J. Particle velocity and deposition efficiency in the cold spray process. J. Therm. Spray Technol. 1999, 8, 576–582. [Google Scholar] [CrossRef]
- Dang, X.; Zhang, B.; Zhang, Z.; Hao, P.; Xu, Y.; Xie, Y.; Huang, R.; Wang, K.; Wang, W.; Wang, Q. Microstructural evolutions and mechanical properties of multilayered 1060Al/Al-Al2O3 composites fabricated by cold spraying and accumulative roll bonding. J. Mater. Res. Technol. 2021, 15, 3895–3907. [Google Scholar] [CrossRef]
- Lu, X.; Wang, S.; Xiong, T.; Wen, D.; Wang, G.; Du, H. Anticorrosion properties of Zn-Al-Mg-ZnO composite coating prepared by cold spraying. Surf. Rev. Lett. 2020, 27, 1950211–1950221. [Google Scholar] [CrossRef]
- Wang, K.; Wang, S.; Xiong, T.; Wen, D.; Wang, G.; Liu, W.; Du, H. Properties of Zn-Al-Mg-TiO2 coating prepared by cold spraying. Surf. Coat. Technol. 2020, 387, 125549–125553. [Google Scholar] [CrossRef]
- Tillmann, W.; Hagen, L.; Kensy, M.D.; Abdulgader, M.; Paulus, M. Microstructural and Tribological Characteristics of Sn-Sb-Cu-Based Composite Coatings Deposited by Cold Spraying. J. Therm. Spray Technol. 2020, 29, 1027–1039. [Google Scholar] [CrossRef]
- Wang, X.; Zhang, L.; Zhou, X.; Wu, W.; Jie, X. Corrosion behavior of Al2O3-reinforced graphene encapsulated Al composite coating fabricated by low pressure cold spraying. Surf. Coat. Technol. 2020, 386, 125486–125494. [Google Scholar] [CrossRef]
- Winnicki, M. Advanced functional metal-ceramic and ceramic coatings deposited by low-pressure cold spraying: A Review. Coatings 2021, 11, 1044–1051. [Google Scholar] [CrossRef]
- Wong, W.; Rezaeian, A.; Irissou, E.; Legoux, J.G.; Yue, S. Cold spray characteristics of commercially pure Ti and Ti-6Al-4V. Adv. Mater. Res. 2010, 89, 639–644. [Google Scholar] [CrossRef]
- Meng, X.; Zhang, J.; Zhao, J.; Liang, Y.; Zhang, Y. Influence of gas Temperature on microstructure and properties of cold spray 304SS coating. J. Mater. Sci. Technol. 2011, 27, 809–815. [Google Scholar] [CrossRef]
- Yin, S.; Suo, X.; Su, J.; Guo, Z.; Liao, H.; Wang, X. Effects of substrate hardness and spray angle on the deposition behavior of cold-sprayed Ti particles. J. Therm. Spray Technol. 2013, 23, 76–83. [Google Scholar] [CrossRef]
- Ganesan, A.; Affi, J.; Yamada, M.; Fukumoto, M. Bonding Behavior Studies of Cold Sprayed Copper Coating on the PVC Polymer Substrate. Surf. Coat. Techno-Logy 2012, 207, 262–269. [Google Scholar] [CrossRef]
- Zhou, H.; Li, C.; Li, C. Research progress of titanium and titanium alloy coatings prepared by cold spraying. China Surf. Eng. 2020, 33, 1–14. [Google Scholar]
- Wong, W.; Vo, P.; Irissou, E.; Ryabinin, A.N.; Legoux, J.G.; Yue, S. Effect of particle morphology and size distribution on cold-sprayed pure titanium coatings. J. Therm. Spray Technol. 2013, 22, 1140–1153. [Google Scholar] [CrossRef]
- Zybała, R.; Bucholc, B.; Kaszyca, K.; Kowiorski, K.; Soboń, D.; Żórawski, W.; Moszczyńska, D.; Molak, R.; Pakieła, Z. Properties of Cold Sprayed Titanium and Titanium Alloy Coatings after Laser Surface Treatment. Materials 2022, 15, 9014. [Google Scholar] [CrossRef]
- Boruah, D.; Zhang, X. Effect of post-deposition solution treatment and ageing on improving interfacial adhesion strength of cold sprayed Ti6Al4V coatings. Metals 2021, 11, 2038. [Google Scholar] [CrossRef]
- Boruah, D.; McNutt, P.; Sharma, D.; Begg, H.; Zhang, X. Understanding the Effect of Substrate Preheating Temperature and Track Spacing on Laser Assisted Cold Spraying of Ti6Al4V. Metals 2023, 13, 1640. [Google Scholar] [CrossRef]
- Tan, A.W.Y.; Sun, W.; Phang, Y.P.; Dai, M.; Marinescu, I.; Dong, Z.; Liu, E. Effects of traverse scanning speed of spray nozzle on the microstructure and mechanical properties of cold-sprayed Ti6Al4V coatings. J. Therm. Spray Technol. 2017, 26, 1484–1497. [Google Scholar] [CrossRef]
- Tan, A.W.Y.; Sun, W.; Bhowmik, A.; Lek, J.Y.; Marinescu, I.; Li, F.; Khun, N.W.; Dong, Z.; Liu, E. Effect of coating thickness on microstructure, mechanical properties and fracture behaviour of cold-sprayed Ti6Al4V coatings on Ti6Al4V substrates. Surf. Coat. Technol. 2018, 349, 303–317. [Google Scholar] [CrossRef]
- Sun, W.; Tan, A.W.Y.; Khun, N.W.; Marinescu, I.; Liu, E. Effect of substrate surface condition on fatigue behavior of cold sprayed Ti6Al4V coatings. Surf. Coat. Technol. 2016, 320, 452–457. [Google Scholar] [CrossRef]
- Munagala, V.N.V.; Akinyi, V.; Vo, P.; Chromik, R.R. Influence of powder morphology and microstructure on the cold spray and mechanical properties of Ti6Al4V coatings. J. Therm. Spray Technol. 2018, 27, 827–842. [Google Scholar] [CrossRef]
- Khun, N.W.; Tan, A.W.Y.; Bi, K.J.W.; Liu, E. Effects of working gas on wear and corrosion resistances of cold sprayed Ti-6Al-4V coatings. Surf. Coat. Technol. 2016, 302, 1–12. [Google Scholar] [CrossRef]
- Lei, J.; Hui, P.; Wenya, L.; Xiangzhong, C.; Gang, Y. Effect of Cold Spray Parameters on Properties of TC4 Coatings. Aerosp. Mater. Technol. 2018, 48, 62–66. [Google Scholar]
- Sun, W.; Tan, A.W.Y.; Marinescu, I.; Toh, W.Q.; Liu, E. Adhesion tribological and corrosion properties of cold sprayed CoCrMo and Ti6Al4V coating on 6061-T651 Al alloy. Surf. Coat. Technol. 2017, 326, 291–298. [Google Scholar] [CrossRef]
- Khun, N.W.; Tan, A.W.Y.; Sun, W.; Liu, E. Wear and corrosion resistance of thick Ti-6Al-4V coating deposited on Ti-6Al-4V substrate via high-pressure cold spray. J. Therm. Spray Technol. 2017, 26, 1393–1407. [Google Scholar] [CrossRef]
- Hao, L.; Cheng, B.R. Sealing processes of anodic coatings-Past, present, and future. Met. Finish. 2000, 98, 8–18. [Google Scholar] [CrossRef]
- ASTM C633-01; Standard Test Method for Adhesion or Cohesion Strength of Thermal Spray Coatings. ASTM: West Conshohocken, PA, USA, 2010.
- Li, C.J.; Li, W.Y. Deposition characteristics of titanium coating in cold spraying. Surf. Coat. Technol. 2003, 167, 278–283. [Google Scholar] [CrossRef]
- Tushinsky, L.I.; Alkhimov, A.P.; Kosarev, V.F.; Plokhov, A.V.; Mochalina, N.S. Structure and properties of aluminum coatings obtained by the cold gas-dynamic spraying method. Thermophys. Aeromech. 2006, 13, 125–139. [Google Scholar] [CrossRef]
- Van Steenkiste, T.H.; Smith, J.R.; Teets, R.E. Aluminum coatings via kinetic spray with relatively large powder particles. Surf. Coat. Technol. 2002, 154, 237–252. [Google Scholar] [CrossRef]
- Hussain, T.; McCartney, D.G.; Shipway, P.H.; Marrocco, T. Corrosion behavior of cold sprayed titanium coatings and free standing deposits. J. Therm. Spray Technol. 2011, 20, 260–274. [Google Scholar] [CrossRef]
- Zečević, S.; Dražić, D.M.; Gojković, S. Oxygen reduction on iron: Part III. An analysis of the rotating disk-ring electrode measurements in near neutral solutions. J. Electroanal. Chem. Interfacial Electrochem. 1989, 265, 179–193. [Google Scholar] [CrossRef]
- Bolelli, G.; Lusvarghi, L.; Barletta, M. Heat treatment effects on the corrosion resistance of some HVOF-sprayed metal alloy coatings. Surf. Coat. Technol. 2008, 202, 4839–4847. [Google Scholar] [CrossRef]
- Chidambaram, D.; Clayton, C.R.; Dorfman, M.R. Evaluation of the electrochemical behavior of HVOF-sprayed alloy coatings-II. Sur. Coat. Technol. 2005, 192, 278–283. [Google Scholar] [CrossRef]
- Ahmed, N.; Bakare, M.S.; McCartney, D.G.; Voisey, K.T. The effects of microstructural features on the performance gap in corrosion resistance between bulk and HVOF sprayed Inconel 625. Sur. Coat. Technol. 2010, 204, 2294–2301. [Google Scholar] [CrossRef]
- Kawakita, J.; Katanoda, H.; Watanabe, M.; Yokoyama, K.; Kuroda, S. Warm spraying: An improved spray process to deposit novel coatings. Surf. Coat. Technol. 2008, 202, 4369–4373. [Google Scholar] [CrossRef]
- Yang, X.; Liu, Z.; Zhang, D.; Du, C.; Li, X. Stress Corrosion Cracking Behavior of Industrial Pure Titanium TA2 in Sulfide Containing Deep Seawater Environment. China Surf. Eng. 2019, 32, 17–26. [Google Scholar]












| Element | C | Mn | Cr | Mo | Cu | Ni | Si | Nb | Al | Fe |
|---|---|---|---|---|---|---|---|---|---|---|
| X80 steel | 0.065 | 2.041 | 0.329 | 0.229 | 0.229 | 0.184 | 0.148 | 0.084 | 0.024 | Bal. |
| Element | C | N | H | Fe | O | Ti | ||||
| TA2 titanium powder | 0.069 | 0.025 | 0.012 | 0.330 | 0.213 | Bal. | ||||
| Specimen | Temperature, °C | Gas | Pressure, MPa | Velocity, m/s | Swing Speed, cm/s | Powder Feed Rate, g/min |
|---|---|---|---|---|---|---|
| C1 | 300 | N2 | 4.5 | 681 | 1 | 20 |
| C2 | 500 | N2 | 4.5 | 753 | 1 | 20 |
| C3 | 700 | N2 | 4.5 | 812 | 1 | 20 |
| C4 | 900 | N2 | 4.5 | 862 | 1 | 20 |
| Sample | Icorr, A·cm−2 | Ecorr, (V) | Ipassive, (A·cm−2) |
|---|---|---|---|
| Sealed C1 coating | 1.23 × 10−6 | −0.672 | 4.13 × 10−4 |
| Sealed C2 coating | 2.75 × 10−7 | −0.612 | 1.75 × 10−4 |
| Sealed C3 coating | 4.78 × 10−7 | −0.506 | 1.20 × 10−5 |
| Sealed C4 coating | 1.21 × 10−7 | −0.502 | 8.52 × 10−6 |
| Icorr, A·cm−2 | 10 MPa | 20 MPa | 40 MPa |
|---|---|---|---|
| Sealed C2 coating | 3.25 × 10−6 | 9.84 × 10−6 | 2.57 × 10−5 |
| Sealed C3 coating | 2.62 × 10−7 | 8.39 × 10−7 | 4.31 × 10−6 |
| Sealed C4 coating | 2.15 × 10−7 | 2.81 × 10−7 | 4.53 × 10−7 |
Disclaimer/Publisher’s Note: The statements, opinions and data contained in all publications are solely those of the individual author(s) and contributor(s) and not of MDPI and/or the editor(s). MDPI and/or the editor(s) disclaim responsibility for any injury to people or property resulting from any ideas, methods, instructions or products referred to in the content. |
© 2023 by the authors. Licensee MDPI, Basel, Switzerland. This article is an open access article distributed under the terms and conditions of the Creative Commons Attribution (CC BY) license (https://creativecommons.org/licenses/by/4.0/).
Share and Cite
Li, Z.; Wang, N.; Li, S.; Wen, L.; Xu, C.; Sun, D. Preparation of Cold Sprayed Titanium TA2 Coating by Irregular Powder and Evaluation of Its Corrosion Resistance. Coatings 2023, 13, 1894. https://doi.org/10.3390/coatings13111894
Li Z, Wang N, Li S, Wen L, Xu C, Sun D. Preparation of Cold Sprayed Titanium TA2 Coating by Irregular Powder and Evaluation of Its Corrosion Resistance. Coatings. 2023; 13(11):1894. https://doi.org/10.3390/coatings13111894
Chicago/Turabian StyleLi, Zhengyi, Na Wang, Shuhua Li, Lei Wen, Chengcheng Xu, and Dongbai Sun. 2023. "Preparation of Cold Sprayed Titanium TA2 Coating by Irregular Powder and Evaluation of Its Corrosion Resistance" Coatings 13, no. 11: 1894. https://doi.org/10.3390/coatings13111894
APA StyleLi, Z., Wang, N., Li, S., Wen, L., Xu, C., & Sun, D. (2023). Preparation of Cold Sprayed Titanium TA2 Coating by Irregular Powder and Evaluation of Its Corrosion Resistance. Coatings, 13(11), 1894. https://doi.org/10.3390/coatings13111894

