Characterization of Ultra-Thin Diamond-Like Carbon Films by SEM/EDX
Abstract
1. Introduction
2. Materials and Methods
2.1. DLC Films
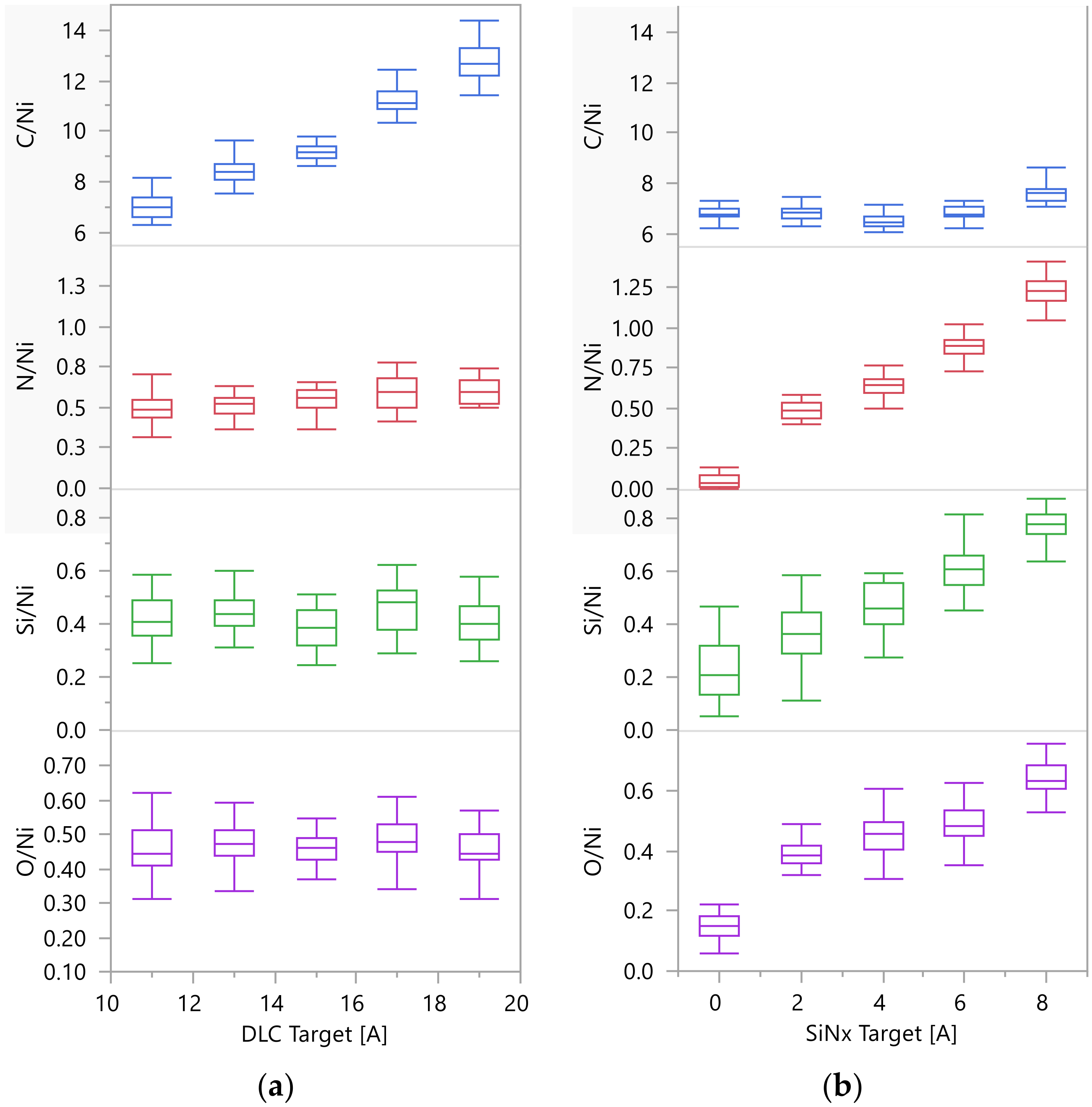
- DLC thickness ladder: Film thicknesses were targeted within the 10–20 Å regime, with a 2 Å step size, forming a DLC thickness ladder. Prior to DLC deposition, a (fixed) 2 Å silicon nitride (seed) layer was reactively sputtered, i.e., Si target and nitrogen gas. Since the sputtered silicon nitride on that thickness scale is generally non-stoichiometric [27], we will refer to it as SiNx throughout the text.
- Seed thickness ladder: The DLC thickness was fixed at the lowest target thickness used in the DLC ladder, whereas SiNx seed thickness was varied between 0 and 8 Å, with 2 Å step size.
- Films with a wider variation of total thickness: Additional films were produced with various DLC and SiNx levels, in order to enable a wide relative compositional range to enable thickness correlation between SEM/EDX and TEM. Film thicknesses, as measured by TEM, were varied between 10 and 30 Å, which at the higher end of thickness are up to 10 Å thicker than those of the ladder samples.
- Films with varying oxygen contamination levels: In addition to DLC and SiNx, some depositions varied oxygen levels by intentionally varying the vacuum condition from 10−5 to 10−7 Torr—the higher the vacuum, the lower the oxygen partial pressure in the chamber. This was intended to demonstrate the sensitivity of the technique to oxygen detection.
2.2. Analytical Methods
2.3. Wear Analysis
3. Results
3.1. Compositional Sensitivity
3.2. Thickness Model, Correlation with TEM, and Gauge Capability
3.3. Wear Analysis
4. Discussion
5. Conclusions
Author Contributions
Funding
Institutional Review Board Statement
Informed Consent Statement
Data Availability Statement
Acknowledgments
Conflicts of Interest
References
- Bogy, D.B.; Yun, X.H.; Knapp, B.J. Enhancement of head-disk interface durability by use of diamond like carbon overcoats on the slider’s rails. IEEE Trans. Magn. 1994, 30, 369–374. [Google Scholar] [CrossRef]
- Yasui, N.; Inaba, H.; Furusawa, K.; Saito, M.; Ohtake, N. Characterization of head overcoat for 1 Tb/In2 magnetic recording. IEEE Trans. Magn. 2009, 45, 805–809. [Google Scholar] [CrossRef]
- Avalos-Borja, M.; Hirata, G.A.; Contreras, O.; Ning, X.G.; Duarte-Moller, A.; Barna, A. TEM and PEELS characterization of diamond films grown on Si substrates. Diam. Relat. Mater. 1996, 5, 1249–1253. [Google Scholar] [CrossRef]
- Yan, X.; Tao, X.; Chen, G.; Yang, S.; Liu, H. Study of structure, tribological properties and growth mechanism of DLC and nitrogen-doped DLC films deposited by electrochemical technique. Appl. Surf. Sci. 2004, 48, 2665–2681. [Google Scholar] [CrossRef]
- Gayathri, S.; Kumar, N.; Krishnan, R.; Ravindran, T.; Dash, S.; Tyagi, A.; Raj, B.; Sridharan, M. Tribological properties of pulsed laser deposited DLC/TM (TM = Cr, Ag, Ti, and Ni) multilayers. Tribol. Int. 2012, 53, 87–97. [Google Scholar] [CrossRef]
- Nöthe, M.; Breuer, U.; Koch, F.; Penkalla, H.; Rehbach, W.; Bolt, H. Investigation of the structure and properties of a-C:H coatings with metal and silicon containing inter layers. Appl. Surf. Sci. 2001, 179, 122–128. [Google Scholar] [CrossRef]
- Wei, C.; Wang, Y.S.; Tai, F.C. The role of metal interlayer on thermal stress. Film structure, wettability and hydrogen content for diamond like carbon films on different substrate. Diam. Relat. Mater. 2009, 18, 407–412. [Google Scholar] [CrossRef]
- Cui, Y.X.; Shen, B.; Sun, F.H. Influence of amorphous ceramic interlayers on tribological properties of CVD diamond films. Appl. Surf. Sci. 2014, 313, 918–925. [Google Scholar] [CrossRef]
- Polini, R.; Barletta, M. On the use of CrN/Cr and CrN interlayers in hot filament chemical vapour deposition (HF-CVD) of diamond films onto WC–Co substrates. Diam. Relat. Mater. 2008, 17, 325–335. [Google Scholar] [CrossRef]
- Endler, I.; Leonhardt, A.; Scheibe, H.J.; Born, R. Interlayers for diamond deposition on tool materials. Diam. Relat. Mater. 1996, 5, 299–303. [Google Scholar] [CrossRef]
- Li, Y.; Tang, Y.; Yang, Q.; Xiao, C.; Hirose, A. Growth and adhesion failure of diamond thin films deposited on stainless steel with ultra-thin dual metal interlayers. Appl. Surf. Sci. 2010, 256, 7653–7657. [Google Scholar] [CrossRef]
- Dwivedi, N.; Rismani-Yazdi, E.; Yeo, R.J.; Goohpattader, P.S.; Satyanarayana, N.; Srinivasan, N.; Druz, B.; Tripathy, S.; Bhatia, C. Probing the role of an atomically thin SiNx interlayer on the structure of ultrathin carbon films. Sci. Rep. 2014, 4, 1–10. [Google Scholar] [CrossRef] [PubMed]
- Chen, Q.; Shih, K.; Shen, Y.; Luo, Y.; Li, R. Effects of SiNx interlayer on characterization of amorphous diamond-like carbon films. Mater. Sci. Technol. 2015, 31, 703–708. [Google Scholar] [CrossRef]
- Shahsavari, F.; Ehteshamzadeh, M.; Naimi-Jamal, M.R.; Irannejad, A. Nanoindentation and nanoscratch behaviors of DLC films growth on different thickness of Cr nanolayers. Diam. Relat. Mater. 2016, 70, 76–82. [Google Scholar] [CrossRef]
- Wienss, A.; Persch-Schuy, G.; Hartmann, R.; Joeris, P.; Hartmann, H. Subnanometer scale tribological properties of nitrogen containing carbon coatings used in magnetic storage devices. J. Vac. Sci. Technol. A 2003, 18, 2023–2026. [Google Scholar] [CrossRef]
- Wienss, A.; Persch-Schuy, G.; Hartmann, R.; Joeris, P.; Hartmann, H. Scratching resistance of diamond-like carbon coatings in the subnanometer regime. Appl. Phys. Lett. 1999, 75, 1077. [Google Scholar] [CrossRef]
- Li, Y.; Yan, X.; Wei, J.; Zhang, G.; Feng, H.; Chen, Y.; Xie, Y. Dependence of optimum thickness of ultrathin diamond-like carbon coatings over carbon nanotubes on geometric field enhancement factor. ACS Appl. Electron. Mater. 2020, 2, 84–92. [Google Scholar] [CrossRef]
- Souza, G.P.; Ruthe, K.C.; Chen, L.; Hong, L.; Wang, H. Materials selection for ultra-thin diamond-like carbon film metrology and structural characterization by TEM. Microsc. Microanal. 2015, 21, 827–828. [Google Scholar] [CrossRef]
- Galvana, D.; Peia, P.Y.; Hossona, D.M.J.T.; Cavaleiro, A. Determination of the sp3 C content of a-C films through EELS analysis in the TEM. Surf. Coat. Technol. 2005, 200, 739–743. [Google Scholar] [CrossRef]
- Zhoa, J.M.; Yang, P. A method for determining ultrathin DLC film thickness by spectroscopic ellipsometry. Microsyst. Technol. 2012, 18, 1455–1461. [Google Scholar] [CrossRef]
- Jiang, Z.C.; Li, S.D.; Kam, Y.K.; Liu, Y.W. Method of Nano Thin Film Thickness Measurement by Auger Electron Spectroscopy. U.S. Patent No. U.S. 7,582,868 B2, 1 September 2009. [Google Scholar]
- Kumari, K.; Banerjee, S.; Chini, T.K.; Ray, N.R. Preparation of diamond like carbon thin film on stainless steel and its SEM characterization. Mater. Sci. 2009, 31, 563–567. [Google Scholar] [CrossRef]
- Safari, R.; Sohbatzadeh, F.; Mohsenpour, T. Optical and electrical properties of N-DLC films deposited by atmospheric pressure DBD plasma: Effect of deposition time. Surf. Interfaces 2020, 21, 100795. [Google Scholar] [CrossRef]
- Burgess, S.; Sagar, J.; Holland, J.; Li, S.; Bauer, F. Ultra-Low kV EDS—A new approach to improved spatial resolution, surface sensitivity, and light element compositional imaging and analysis in the SEM. Microsc. Today 2017, 25, 20–29. [Google Scholar] [CrossRef]
- Goldstein, J.I.; Newbury, D.E.; Michael, J.R.; Ritchie, N.W.; Scott, J.H.J.; Joy, D.C. Scanning Electron Microscopy and X-ray Microanalysis, 2nd ed.; Plenum: New York, NY, USA, 1992; pp. 69–84. [Google Scholar]
- Robertson, J. Diamond-like amorphous carbon. Mater. Sci. Eng. 2002, 37, 129. [Google Scholar] [CrossRef]
- Souza, G.P.; Ruthe, K.C.; Leary, S.P. Si diffusion in ultra-thin tetrahedral amorphous diamond-like carbon. In Proceedings of the 19th International Microscopy Congress (IMC 19), Sydney, Australia, 9–14 September 2018; p. 1345. [Google Scholar]
- Wallash, A.; Zhu, H.; Chen, D. A dynamic scratch test to study read/write head degradation due to head-disk interactions. IEEE Trans. Magn. 2008, 44, 3629–3632. [Google Scholar] [CrossRef]
- Riley, F.L. Silicon Nitride and Related Materials. J. Am. Ceram. Soc. 2000, 83, 245–265. [Google Scholar] [CrossRef]
- Swinehart, D.F. The beer-lambert law. J. Chem. Educ. 1962, 39, 333–335. [Google Scholar] [CrossRef]
- Henke, B.L.; Gullikson, E.M.; Davis, J.C. X-ray interactions: Photoabsorption, scattering, transmission, and reflection at E = 50–30,000 eV, Z = 1–92. At. Data Nucl. Data Tables 1993, 54, 181–342. [Google Scholar] [CrossRef]
- Piramanayagam, S.N. Perpendicular recording media for hard disk drives. J. App. Phys. 2007, 102, 011301. [Google Scholar] [CrossRef]
- Mejia, S.; Leary, S.P.; Souza, G.P.; Ruthe, K.C. Conductive atomic force microscopy characterization of ultra-thin diamond-like carbon films on magnetic recording heads. Microsc. Microanal. 2015, 21, 1613. [Google Scholar] [CrossRef]
- Leary, S.P.; Ruthe, K.C. Detecting Thickness Variation and Quantitative Depth Utilizing Scanning Electron Microscopy with a Surface Profiler. U.S. Patent 20160265908, 15 September 2016. [Google Scholar]











| Parameter | C/Ni | N/Ni | Si/Ni | O/Ni | Acceptable Criteria |
|---|---|---|---|---|---|
| Total GR&R Sigma | 0.260 | 0.042 | 0.034 | 0.045 | - |
| Contribution [%] | 0.49 | 2.10 | 7.12 | 5.17 | <7.7 |
| GRR [%] | 6.99 | 14.49 | 26.68 | 23.90 | <30 |
| Number of Distinct Categories | 20 | 9 | 5 | 5 | ≥5 |
Publisher’s Note: MDPI stays neutral with regard to jurisdictional claims in published maps and institutional affiliations. |
© 2021 by the authors. Licensee MDPI, Basel, Switzerland. This article is an open access article distributed under the terms and conditions of the Creative Commons Attribution (CC BY) license (https://creativecommons.org/licenses/by/4.0/).
Share and Cite
Puttichaem, C.; Souza, G.P.; Ruthe, K.C.; Chainok, K. Characterization of Ultra-Thin Diamond-Like Carbon Films by SEM/EDX. Coatings 2021, 11, 729. https://doi.org/10.3390/coatings11060729
Puttichaem C, Souza GP, Ruthe KC, Chainok K. Characterization of Ultra-Thin Diamond-Like Carbon Films by SEM/EDX. Coatings. 2021; 11(6):729. https://doi.org/10.3390/coatings11060729
Chicago/Turabian StylePuttichaem, Chanida, Guilherme P. Souza, Kurt C. Ruthe, and Kittipong Chainok. 2021. "Characterization of Ultra-Thin Diamond-Like Carbon Films by SEM/EDX" Coatings 11, no. 6: 729. https://doi.org/10.3390/coatings11060729
APA StylePuttichaem, C., Souza, G. P., Ruthe, K. C., & Chainok, K. (2021). Characterization of Ultra-Thin Diamond-Like Carbon Films by SEM/EDX. Coatings, 11(6), 729. https://doi.org/10.3390/coatings11060729

