Precise Layer Control of MoTe2 by Ozone Treatment
Abstract
1. Introduction
2. Materials and Methods
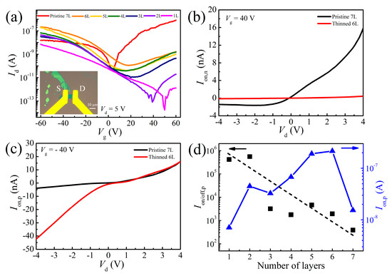
3. Results and Discussion
4. Conclusions
Author Contributions
Funding
Conflicts of Interest
References
- Manzeli, S.; Ovchinnikov, D.; Pasquier, D.; Yazyev, O.V.; Kis, A. 2D Transition Metal Dichalcogenides. Nat. Rev. Mater. 2017, 2, 17033. [Google Scholar] [CrossRef]
- Wang, Q.H.; Kalantar-Zadeh, K.; Kis, A.; Coleman, J.N.; Strano, M.S. Electronics and Optoelectronics of Two-Dimensional Transition Metal Dichalcogenides. Nat. Nanotechnol. 2012, 7, 699–712. [Google Scholar] [CrossRef] [PubMed]
- Mak, K.F.; Shan, J. Photonics and Optoelectronics of 2D Semiconductor Transition Metal Dichalcogenides. Nat. Photonics. 2016, 10, 216–226. [Google Scholar] [CrossRef]
- Mak, K.F.; Lee, C.; Hone, J.; Shan, J.; Heinz, T.F. Atomically Thin MoS2: A New Direct-Gap Semiconductor. Phys. Rev. Lett. 2010, 105, 136805. [Google Scholar] [CrossRef] [PubMed]
- Zhang, Y.; Chang, T.-R.; Zhou, B.; Cui, Y.-T.; Yan, H.; Liu, Z.; Schmitt, F.; Lee, J.; Moore, R.; Chen, Y.; et al. Direct Observation of the Transition from Indirect to Direct Bandgap in Atomically Thin Epitaxial MoSe2. Nat. Nanotechnol. 2014, 9, 111–115. [Google Scholar] [CrossRef]
- Zhao, W.; Ghorannevis, Z.; Chu, L.; Toh, M.; Kloc, C.; Tan, P.-H.; Eda, G. Evolution of Electronic Structure in Atomically Thin Sheets of WS2 and WSe2. ACS Nano 2013, 7, 791–797. [Google Scholar] [CrossRef]
- Di Bartolomeo, A.; Grillo, A.; Urban, F.; Iemmo, L.; Giubileo, F.; Luongo, G.; Amato, G.; Croin, L.; Sun, L.; Liang, S.J.; et al. Asymmetric schottky contacts in bilayer MoS2 field effect transistors. Adv. Funct. Mater. 2018, 28, 1800657. [Google Scholar] [CrossRef]
- Urban, F.; Martucciello, N.; Peters, L.; McEvoy, N.; Di Bartolomeo, A. Environmental effects on the electrical characteristics of back-gated WSe2 field-effect transistors. Nanomaterials 2018, 8, 901. [Google Scholar] [CrossRef]
- Di Bartolomeo, A.; Urban, F.; Passacantando, M.; McEvoy, N.; Peters, L.; Iemmo, L.; Luongo, G.; Romeo, F.; Giubileo, F. A WSe2 vertical field emission transistor. Nanoscale 2019, 11, 1538–1548. [Google Scholar] [CrossRef]
- Ruppert, C.; Aslan, O.B.; Heinz, T.F. Optical Properties and Band Gap of Single- and Few-Layer MoTe2 Crystals. Nano Lett. 2014, 14, 6231–6236. [Google Scholar] [CrossRef]
- Ding, Y.; Wang, Y.; Ni, J.; Shi, L.; Shi, S.; Tang, W. FirstPrinciples Study of Structural, Vibrational and Electronic Properties of Graphene-like MX2 (M = Mo, Nb, W, Ta; X = S, Se, Te) Monolayers. Physica B 2011, 406, 2254–2260. [Google Scholar] [CrossRef]
- Lezama, I.G.; Arora, A.; Ubaldini, A.; Barreteau, C.; Giannini, E.; Potemski, M.; Morpurgo, A.F. Indirect-to-Direct Band Gap Crossover in Few-Layer MoTe2. Nano Lett. 2015, 15, 2336–2342. [Google Scholar] [CrossRef]
- Nakaharai, S.; Yamamoto, M.; Ueno, K.; Tsukagoshi, K. Carrier Polarity Control in α-MoTe2 Schottky Junctions Based on Weak Fermi-Level Pinning. ACS Appl. Mater. Interfaces 2016, 8, 14732–14739. [Google Scholar] [CrossRef]
- Pradhan, N.R.; Rhodes, D.; Feng, S.; Xin, Y.; Memaran, S.; Moon, B.-H.; Terrones, H.; Terrones, M.; Balicas, L. Field-Effect Transistors Based on Few-Layered α-MoTe2. ACS Nano 2014, 8, 5911–5920. [Google Scholar] [CrossRef]
- Luo, W.; Zhu, M.; Peng, G.; Zheng, X.; Miao, F.; Bai, S.; Zhang, A.; Qin, S. Carrier Modulation of Ambipolar Few-Layer MoTe2 Transistors by MgO Surface Charge Transfer Doping. Adv. Funct. Mater. 2018, 28, 1704539. [Google Scholar] [CrossRef]
- Nakaharai, S.; Yamamoto, M.; Ueno, K.; Lin, Y.-F.; Li, S.-L.; Tsukagoshi, K. Electrostatically Reversible Polarity of Ambipolar α-MoTe2 Transistors. ACS Nano 2015, 9, 5976–5983. [Google Scholar] [CrossRef]
- Qu, D.; Liu, X.; Huang, M.; Lee, C.; Ahmed, F.; Kim, H.; Ruoff, S.; Hone, J.; Yoo, J. Carrier-Type Modulation and Mobility Improvement of Thin MoTe2. Adv. Mater. 2017, 29, 1606433. [Google Scholar] [CrossRef]
- Lin, Y.-F.; Xu, Y.; Wang, S.-T.; Li, S.-L.; Yamamoto, M.; Aparecido-Ferreira, A.; Li, W.; Sun, H.; Nakaharai, S.; Jian, W.-B.; et al. Ambipolar MoTe2 Transistors and Their Applications in Logic Circuits. Adv. Mater. 2014, 26, 3263–3269. [Google Scholar] [CrossRef] [PubMed]
- Novoselov, K.S.; Geim, A.K.; Morozov, S.; Jiang, D.; Zhang, Y.; Dubonos, S.V.; Grigorieva, I.V.; Firsov, A.A. Electric Field Effect in Atomically Thin Carbon Films. Science 2004, 306, 666. [Google Scholar] [CrossRef] [PubMed]
- Coleman, J.N.; Lotya, M.; O’Neill, A.; Bergin, S.D.; King, P.J.; Khan, U.; Young, K.; Gaucher, A.; De, S.; Smith, R.J.; et al. Two-Dimensional Nanosheets Produced by Liquid Exfoliation of Layered Materials. Science 2011, 331, 568–571. [Google Scholar] [CrossRef]
- Lee, Y.H.; Zhang, X.Q.; Zhang, W.J.; Chang, M.T.; Lin, C.T.; Chang, K.D.; Yu, Y.C.; Wang, J.T.W.; Chang, C.S.; Li, L.J.; et al. Synthesis of Large-Area MoS2 Atomic Layers with Chemical Vapor Deposition. Adv. Mater. 2012, 24, 2320–2325. [Google Scholar] [CrossRef]
- Castellanos-Gomez, A.; Barkelid, M.; Goossens, A.M.; Calado, V.E.; van der Zant, H.S.J.; Steele, G.A. Laser thinning of MoS2: On demand generation of a single-layer semiconductor. Nano Lett. 2012, 12, 3187–3192. [Google Scholar] [CrossRef]
- Wu, J.; Li, H.; Yin, Z.; Li, H.; Liu, H.; Liu, J.; Cao, X.; Zhang, Q.; Zhang, H. Layer Thinning and Etching of Mechanically Exfoliated MoS2 Nanosheets by Thermal Annealing in Air. Small 2013, 19, 3314–3319. [Google Scholar]
- Liu, Y.; Nan, H.; Wu, X.; Pan, W.; Wang, W.; Bai, J.; Zhao, W.; Sun, L.; Wang, X.; Ni, Z. Layer-by-Layer Thinning of MoS2 by Plasma. ACS Nano 2013, 7, 4202–4209. [Google Scholar] [CrossRef] [PubMed]
- Yamamoto, M.; Dutta, S.; Aikawa, S.; Nakaharai, S.; Wakabayashi, K.; Fuhrer, M.S.; Ueno, K.; Tsukagoshi, K. Self- Limiting Layer-by-Layer Oxidation of Atomically Thin WSe2. Nano Lett. 2015, 15, 2067–2073. [Google Scholar] [CrossRef] [PubMed]
- Kim, S.; Jung, Y.; Lee, J.-Y.; Lee, G.-H.; Kim, J. In situ thickness control of black phosphorus field-effect transistors via ozone treatment. Nano Res. 2016, 9, 3056–3065. [Google Scholar] [CrossRef]
- Su, W.; Kumar, N.; Spencer, S.J.; Dai, N.; Roy, D. Transforming bilayer MoS2 into single-layer with strong photoluminescence using UV-ozone oxidation. Nano Res. 2015, 8, 3878–3886. [Google Scholar] [CrossRef]
- Zheng, X.; Wei, Y.; Deng, C.; Huang, H.; Yu, Y.; Wang, G.; Peng, G.; Zhu, Z.; Zhang, Y.; Jiang, T.; et al. Controlled Layer-by-Layer Oxidation of MoTe2 via O3 Exposure. ACS Appl. Mater. Interfaces 2018, 10, 30045–30050. [Google Scholar] [CrossRef] [PubMed]
- Li, H.; Wu, J.; Huang, X.; Lu, G.; Yang, J.; Lu, X.; Xiong, Q.; Zhang, H. Rapid and Reliable Thickness Identification of Two-Dimensional Nanosheets Using Optical Microscopy. ACS Nano 2013, 7, 10344–10353. [Google Scholar] [CrossRef] [PubMed]
- Puotinen, D.; Newnham, R.E. The Crystal Structure of MoTe2. Acta Crystallogr. 1961, 14, 691–692. [Google Scholar] [CrossRef]
- Gołasa, K.; Grzeszczyk, M.; Molas, M.R.; Zinkiewicz, M.; Bala, Ł.; Nogajewski, K.; Potemski, M.; Wysmołek, A.; Babiński, A. Resonant quenching of Raman scattering due to out-of-plane A1g/A1’ modes in few-layer MoTe2. Nanophotonics 2017, 6, 1281–1288. [Google Scholar] [CrossRef]
- Grzeszczyk, M.; Golasa, K.; Zinkiewicz, M.; Nogajewski, K.; Molas, M.R.; Potemski, M.; Wysmolek, A.; Babinski, A. Raman scattering of few-layers MoTe2. 2D Mater. 2016, 3, 025010. [Google Scholar] [CrossRef]
- Yamamoto, M.; Wang, S.T.; Ni, M.Y.; Lin, Y.F.; Li, S.L.; Aikawa, S.; Jian, W.B.; Ueno, K.; Wakabayashi, K.; Tsukagoshi, K. Strong Enhancement of Raman Scattering from a Bulk-Inactive Vibrational Mode in Few-Layer MoTe2. ACS Nano 2014, 8, 3895–3903. [Google Scholar] [CrossRef]
- Song, Q.J.; Tan, Q.H.; Zhang, X.; Wu, J.B.; Sheng, B.W.; Wan, Y.; Wang, X.Q.; Dai, L.; Tan, P.H. Physical origin of Davydov splitting and resonant Raman spectroscopy of Davydov components in multilayer MoTe2. Phys. Rev. B 2016, 93, 115409. [Google Scholar] [CrossRef]
- Bernède, J.; Amory, C.; Assmann, L.; Spiesser, M. X-Ray Photoelectron Spectroscopy Study of MoTe2 Single Crystals and Thin Films. Appl. Surf. Sci. 2003, 219, 238–248. [Google Scholar] [CrossRef]
- Moulder, J.F.; Chastain, J. Handbook of X-Ray Photoelectron Spectroscopy: A Reference Book of Standard Spectra for Identification and Interpretation of XPS Data; Perkin-Elmer Corporation, Physical Electronics Division: Waltham, MA, USA, 1992. [Google Scholar]
- Zhu, H.; Qin, X.; Cheng, L.; Azcatl, A.; Kim, J.; Wallace, R.M. Remote Plasma Oxidation and Atomic Layer Etching of MoS2. ACS Appl. Mater. Interfaces 2016, 8, 19119–19126. [Google Scholar] [CrossRef]
- Chuang, S.; Battaglia, C.; Azcatl, A.; McDonnell, S.; Kang, J.S.; Yin, X.; Tosun, M.; Kapadia, R.; Fang, H.; Wallace, R.M.; et al. MoS2 P-Type Transistors and Diodes Enabled by High Work Function MoOx Contacts. Nano Lett. 2014, 14, 1337–1342. [Google Scholar] [CrossRef] [PubMed]
- Eda, G.; Yamaguchi, H.; Voiry, D.; Fujita, T.; Chen, M.; Chhowalla, M. Photoluminescence from Chemically Exfoliated MoS2. Nano Lett. 2011, 11, 5111–5116. [Google Scholar] [CrossRef]
- Zhou, L.; Xu, K.; Zubair, A.; Liao, A.D.; Fang, W.; Ouyang, F.; Lee, Y.-H.; Ueno, K.; Saito, R.; Palacios, T.; et al. Large-Area Synthesis of High-Quality Uniform Few-Layer MoTe2. J. Am. Chem. Soc. 2015, 137, 11892–11895. [Google Scholar] [CrossRef]
- Guo, Y.; Liu, D.; Robertson, J. Chalcogen Vacancies in Monolayer Transition Metal Dichalcogenides and Fermi Level Pinning at Contacts. Appl. Phys. Lett. 2015, 106, 173106. [Google Scholar] [CrossRef]
- Di Bartolomeo, A.; Genovese, L.; Giubileo, F.; Iemmo, L.; Luongo, G.; Foller, T.; Schleberger, M. Hysteresis in the transfer characteristics of MoS2 transistors. 2D Mater. 2018, 5, 015014. [Google Scholar] [CrossRef]
- Park, J.W.; Jang, S.K.; Kang, D.H.; Kim, D.S.; Jeon, M.H.; Lee, W.O.; Kim, K.S.; Lee, S.J.; Park, J.-H.; Kim, K.N.; et al. Layer-controlled thinning of black phosphorus by an Ar ion beam. J. Mater. Chem. C 2017, 5, 10888–10893. [Google Scholar] [CrossRef]
- Kim, S.W.; Na, J.H.; Choi, W.L.; Chung, H.-J.; Jhang, S.H. Nonuniform Current Distribution Between Individual Layers of Multilayer MoS2, Experimentally Approached by Using a Laser Thinning Technique. J. Korean Phys. Soc. 2016, 69, 1497–1501. [Google Scholar] [CrossRef]
- Ji, H.; Lee, G.; Joo, M.-K.; Yun, Y.; Yi, H.; Park, J.-H.; Suh, D.; Lim, S.C. Thickness-dependent carrier mobility of ambipolar MoTe2: Interplay between interface trap and coulomb scattering. Appl. Phys. Lett. 2017, 110, 183501. [Google Scholar] [CrossRef]







© 2019 by the authors. Licensee MDPI, Basel, Switzerland. This article is an open access article distributed under the terms and conditions of the Creative Commons Attribution (CC BY) license (http://creativecommons.org/licenses/by/4.0/).
Share and Cite
Wang, Q.; Chen, J.; Zhang, Y.; Hu, L.; Liu, R.; Cong, C.; Qiu, Z.-J. Precise Layer Control of MoTe2 by Ozone Treatment. Nanomaterials 2019, 9, 756. https://doi.org/10.3390/nano9050756
Wang Q, Chen J, Zhang Y, Hu L, Liu R, Cong C, Qiu Z-J. Precise Layer Control of MoTe2 by Ozone Treatment. Nanomaterials. 2019; 9(5):756. https://doi.org/10.3390/nano9050756
Chicago/Turabian StyleWang, Qiyuan, Jing Chen, Youwei Zhang, Laigui Hu, Ran Liu, Chunxiao Cong, and Zhi-Jun Qiu. 2019. "Precise Layer Control of MoTe2 by Ozone Treatment" Nanomaterials 9, no. 5: 756. https://doi.org/10.3390/nano9050756
APA StyleWang, Q., Chen, J., Zhang, Y., Hu, L., Liu, R., Cong, C., & Qiu, Z.-J. (2019). Precise Layer Control of MoTe2 by Ozone Treatment. Nanomaterials, 9(5), 756. https://doi.org/10.3390/nano9050756

