Study of a Broadband Difference Interferometer Based on Low-Cost Polymer Slab Waveguides
Abstract
1. Introduction
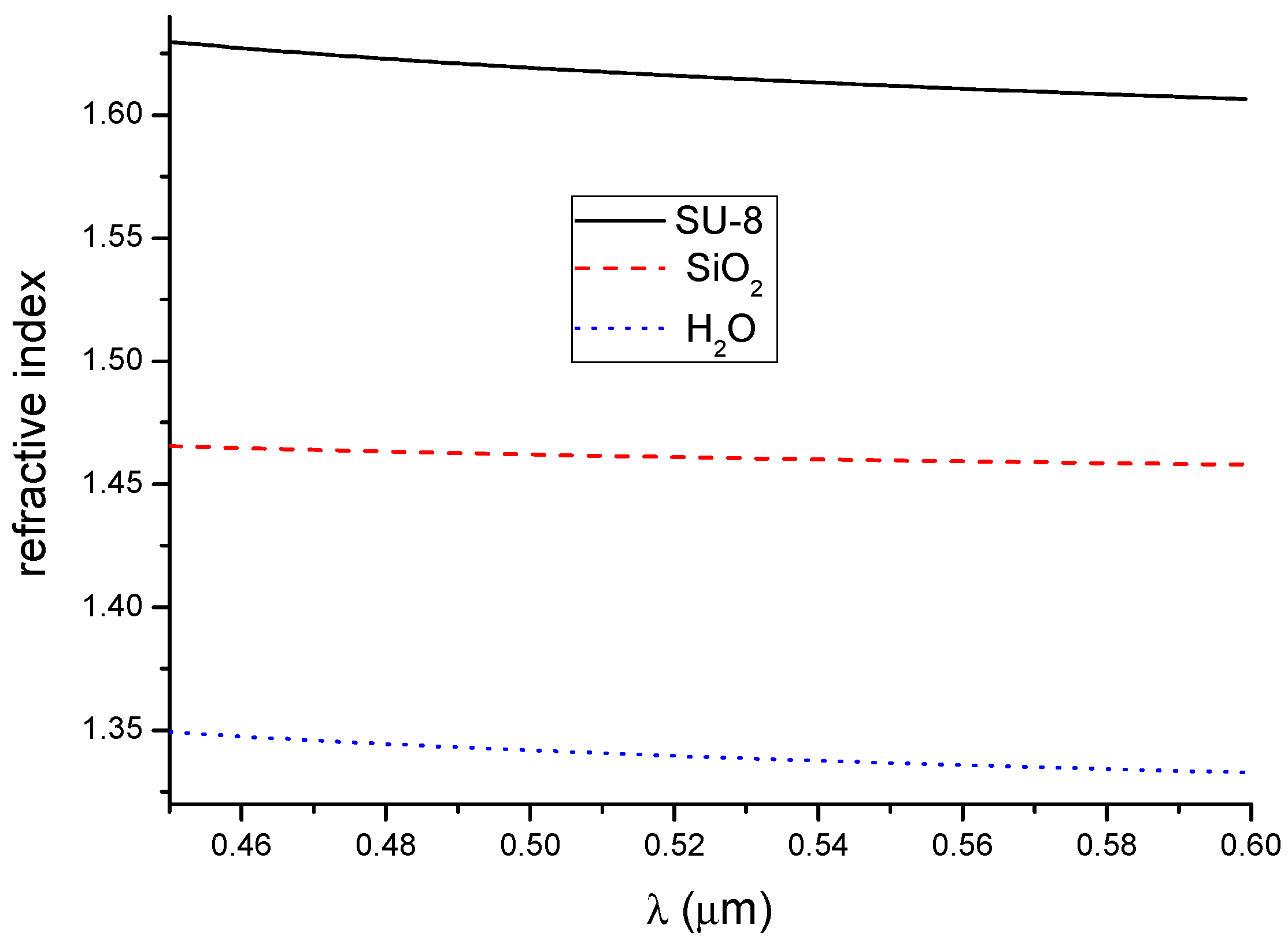
2. Materials and Interferometer System
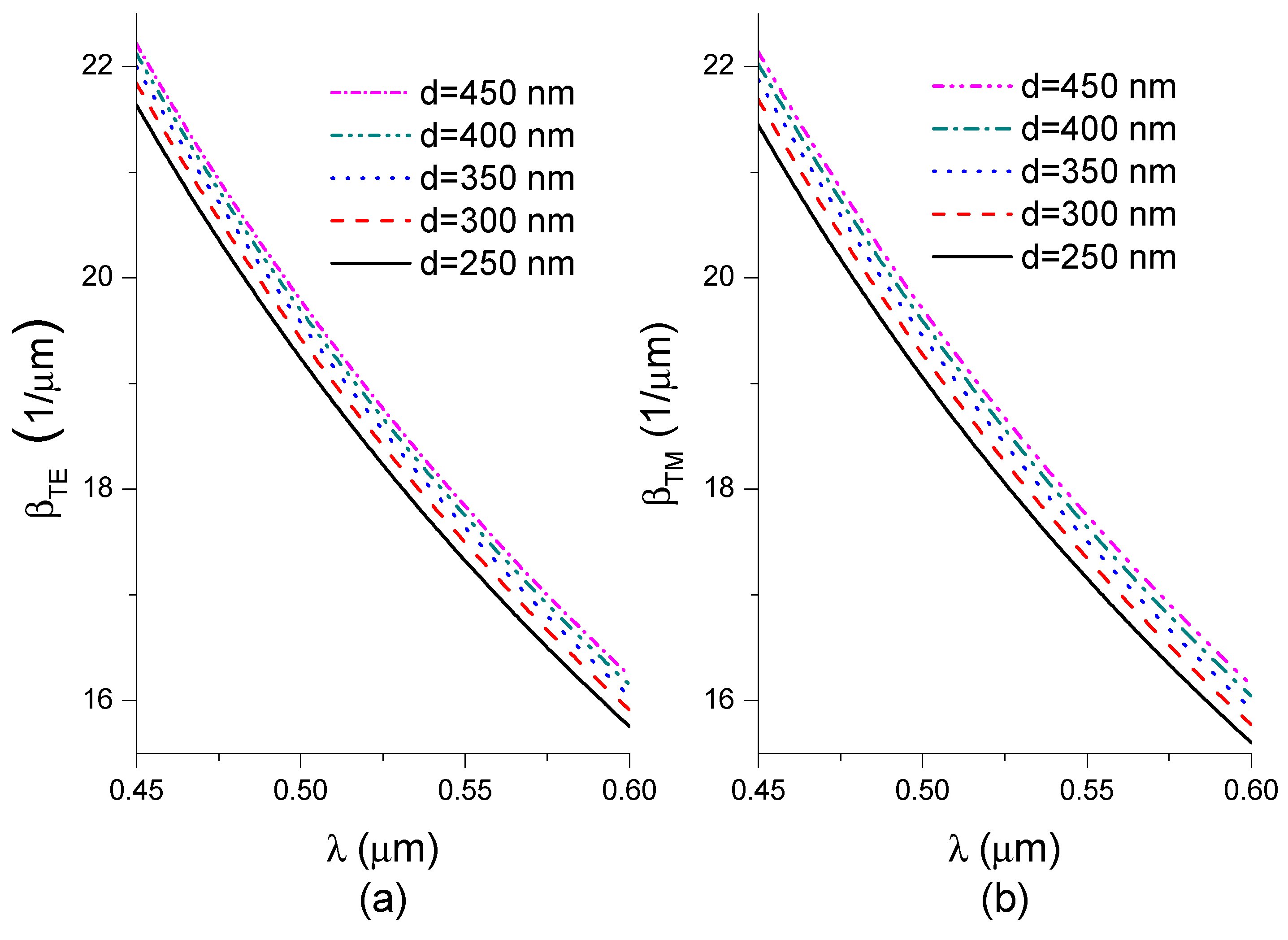
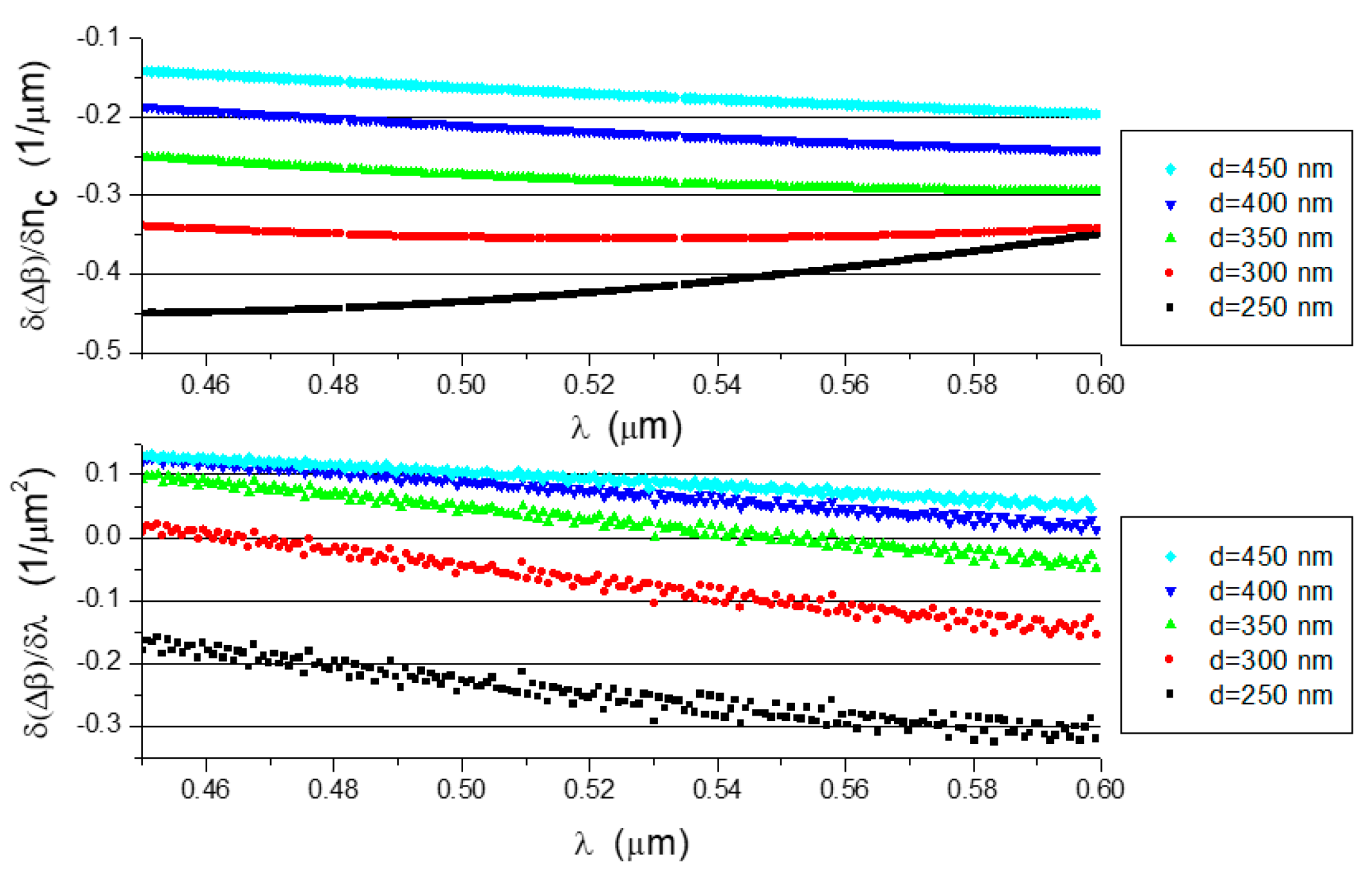
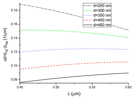
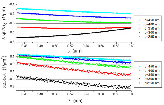
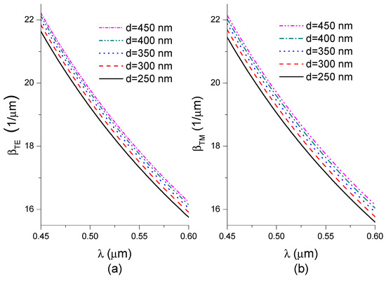
3. Results and Discussions
4. Conclusions
Funding
Conflicts of Interest
References
- Makarona, E.; Petrou, P.; Kakabakos, S.; Misiakos, K.; Raptis, I. Point-of-need based on planar optical interferometry. Botechnol. Adv. 2016, 34, 209–233. [Google Scholar] [CrossRef]
- Estevez, M.C.; Alvarez, M.; Lechuga, L.M. Integrated optical devces for lab-on-a-chip biosensing applications. Laser Photonics Rev. 2012, 6, 463–487. [Google Scholar] [CrossRef]
- McDonagh, C.; Burke, C.S.; Maccraith, B.D. Optical chemical sensors. Chem. Rev. 2008, 108, 400–422. [Google Scholar] [CrossRef] [PubMed]
- Kozma, P.; Kehl, F.; Ehrentreich-Forster, E.; Stamm, C.; Bier, F.F. Integrated planar optical waveguide interferometer biosensors: A comparative review. Biosens. Bioelectron. 2014, 58, 287–307. [Google Scholar] [CrossRef]
- Kitsara, M.; Misiakos, K.; Raptis, I.; Makarona, E. Integrated optical frequency-resolved Mach-Zehnder interferometers for label-free affinity sensing. Opt. Express 2010, 18, 8193–8206. [Google Scholar] [CrossRef]
- Campbell, D. Interferometric Biosensors. In Principles of Bacterial Detection; Zourob, M., Elwary, S., Turner, A., Eds.; Springer: Montreal, QC, Canada, 2008; pp. 169–211. ISBN 978-0-387-75112-2. [Google Scholar]
- Lukosz, W. Integrated optical chemical and direct biochemical sensors. Sens. Actuators B-Chem. 1995, 29, 37–50. [Google Scholar] [CrossRef]
- Stamm, C.; Lukosz, W. Integrated optical difference interferometer as immunosensor. Sens. Actuators B-Chem. B 1996, 31, 203–207. [Google Scholar] [CrossRef]
- Lukosz, W.; Stamm, C.; Moser, H.R.; Ryf, R.; Dübendorfer, J. Difference interferometer with new phase-measurement method as integrated-optical refractometer, humidity sensor and biosensor. Sens. Actuators B-Chem. 1997, 39, 316–323. [Google Scholar] [CrossRef]
- Stamm, C.; Dangel, R.; Lukosz, W. Biosensing with the integrated-optical difference interferometer: Dual-wavelength operation. Opt. Commun. 1998, 153, 347–359. [Google Scholar] [CrossRef]
- Qi, Z.; Itoh, K.; Murabayashi, M.; Yangi, H.A. Composite Optical Waveguide-Based Polarimetric Interferometer for Chemical and Biological Sensing Applications. J. Lightw. Technol. 2000, 18, 1106–1110. [Google Scholar] [CrossRef]
- Tyszkiewicz, C.; Pustelny, T. Differential interferometry in planar waveguide structures with ferronematic layer. Opt. Appl. 2004, 34, 507–514. [Google Scholar]
- Zinoviev, K.E.; González-Guerrero, A.B.; Domínguez, C.; Lechuga, L.M. Integrated Bimodal Waveguide Interferometric Biosensor for Label-Free Analysis. J. Lightw. Technol. 2011, 29, 1926–1930. [Google Scholar] [CrossRef]
- Gut, K. A suggestion of utilizing bimodal layers of the polymer SU8 for the purpose of monitoring the changes in the refractive index. Opt. Appl. 2012, 42, 407–416. [Google Scholar] [CrossRef]
- Gut, K.; Karasiński, P.; Wójcik, W.; Rogoziński, R.; Opilski, Z.; Opilski, A. Applicability of interference TE0-TM0 modes and TE0-TE1 modes to the construction of waveguide sensors. Opt. Appl. 1999, 29, 101–110. [Google Scholar]
- Misiakos, K.; Raptis, I.; Salapatas, A.; Makarona, E.; Bostials, A.; Hoekman, M.; Stoffer, R.; Jobst, G. Broad-band Mach-Zehnder interferometers as high performance refractive index sensors: Theory and monolithic implementation. Opt. Express 2014, 22, 8856–8870. [Google Scholar] [CrossRef]
- Misiakos, K.; Raptis, I.; Makarona, E.; Botsialas, A.; Salapatas, A.; Oikonomou, P.; Psarouli, A.; Petrou, P.S.; Kakabakos, S.E.; Tukkiniemi, K.; et al. All-silicon monolithic Mach-Zehnder interferometer as a refractive index and bio-chemical sensor. Opt. Express 2014, 22, 26803–26813. [Google Scholar] [CrossRef]
- Gajos, K.; Angelopoulou, M.; Petrou, P.; Awsiuk, K.; Kakabakos, S.; Haasnoot, W.; Bernasik, A.; Rysz, J.; Marzec, M.M.; Misiakos, K.; et al. Imaging and chemical surface analysis of biomolecular functionalization of monolithically integrated on silicon Mach-Zehnder interferometric immunosensors. Appl. Surf. Sci. 2016, 385, 529–542. [Google Scholar] [CrossRef]
- Gajos, K.; Budkowski, A.; Petrou, P.; Pagkali, V.; Awsiuk, K.; Bernasik, A.; Misiakos, K.; Raptis, I.; Kakabakos, S. Protein adsorption/desorption and antibody binding stoichiometry on silicon interferometric biosensors examined with TOF-SIMS. Appl. Surf. Sci. 2018, 444, 187–196. [Google Scholar] [CrossRef]
- Anastasopoulou, M.; Malainou, A.; Salapatas, A.; Chronis, N.; Raptis, I.; Misiakos, K. Label-free detection of the IL-6 and IL-8 interleukines through monolithic silicon photonic chips and simultaneous dual polarization optics. Sens. Actuators B-Chem. 2018, 256, 304–309. [Google Scholar] [CrossRef]
- Gajos, K.; Budkowski, A.; Tsialla, Z.; Petrou, P.; Awsiuk, K.; Dąbczyński, P.; Bernasik, A.; Rysz, J.; Misiakos, K.; Raptis, I.; et al. Contact pin-printing of albumin-fungicide conjugate for silicon nitride-based sensors biofunctionalization: Multi-technique surface analysis for optimum immunoassay performance. Appl. Surf. Sci. 2017, 401, 79–86. [Google Scholar] [CrossRef]
- Psarouli, A.; Botsialas, A.; Salapatas, A.; Stefanitsis, G.; Nikita, D.; Jobst, G.; Chaniotakis, N.; Goustouridis, D.; Makarona, E.; Petrou, P.S.; et al. Fast label-free detection of C-reactive protein using broad-band Mach-Zehnder interferometers integrated on silicon chip. Talanta 2017, 165, 458–465. [Google Scholar] [CrossRef]
- Pagkali, V.; Petrou, P.S.; Salapatas, A.; Makarona, E.; Peters, J.; Haasnoot, W.; Jobst, G.; Economou, A.; Misiakos, K.; Raptis, I.; et al. Detection of ochratoxin A in beer samples with a label-free monolithically integrated optoelectronic biosensor. J. Hazard. Mater. 2017, 323, 75–83. [Google Scholar] [CrossRef]
- Gajos, K.; Budkowski, A.; Pagkali, V.; Petrou, P.S.; Biernat, M.; Awsiuk, K.; Rysz, J.; Bernasik, A.; Misiakos, K.; Raptis, I.; et al. Indirect immunoassay on functionalized silicon surface: Molecular arrangement, composition and orientation examined step-by-step with multi-technique and multivariate analysis. Colloids Surf. B 2017, 150, 437–444. [Google Scholar] [CrossRef]
- Psarouli, A.; Salapatas, A.; Botsialas, A.; Petrou, P.S.; Raptis, I.; Makarona, E.; Jobst, G.; Tukkiniemi, K.; Sopanen, M.; Stoffer, R.; et al. Monolithically integrated broad-band Mach-Zehnder interferometers for highly sensitive label-free detection of biomolecules through dual polarization optics. Sci. Rep. 2015, 5, 17600. [Google Scholar] [CrossRef]
- Angelopoulou, Μ.; Botsialas, A.; Salapatas, A.; Petrou, P.S.; Haasnoot, W.; Makarona, E.; Jobst, G.; Goustouridis, D.; Siafaka-Kapadai, A.; Raptis, I.; et al. Assessment of goat milk adulteration with a label-free monolithically integrated optoelectronic biosensor. Anal. Bioanal. Chem. 2015, 407, 3995–4004. [Google Scholar] [CrossRef]
- Makarona, E.; Salapatas, A.; Raptis, I.; Petrou, P.; Kakabakos, S.; Stavra, E.; Malainou, A.; Misiakos, K. Broadband Young interferometry for simultaneous dual polarization bioanalytics. J. Opt. Soc. Am. B 2017, 34, 1691–1698. [Google Scholar] [CrossRef]
- Stavra, E.; Malainou, A.; Salapatas, A.; Botsialas, A.; Petrou, P.; Raptis, I.; Makarona, E.; Kakabakos, S.E.; Misiakos, K. Monolithically-integrated Young interferometers for label-free and multiplexed detection of biomolecules. In Proceedings of the Silicon Photonics XI (SPIE), San Francisco, CA, USA, 13–18 February 2016; Reed, G.T., Kinghts, A.P., Eds.; International Society for Optics and Photonics: Orlando, FL, USA, 2016; Volume 9752, p. 97520N. [Google Scholar] [CrossRef]
- Gut, K. Broad-band difference interferometer as a refractive index sensor. Opt. Express 2017, 25, 31111–31121. [Google Scholar] [CrossRef]
- Gut, K.; Opilski, Z. Spectropolarimetric analyses of optical single mode SU8 waveguide layers. Bull. Pol. Acad. Sci. Tech. 2015, 63, 349–352. [Google Scholar] [CrossRef][Green Version]
- Dangel, R.; Hofrichter, J.; Horst, F.; Jubin, D.; La Porta, A.; Meier, N.; Soganci, I.M.; Weiss, J.; Offrein, B.J. Polymer waveguides for electro-optical integration in data centers and high-performance computers. Opt. Express 2015, 23, 4736–4750. [Google Scholar] [CrossRef]
- Azuelos, P.; Girault, P.; Lorrain, N.; Poffo, L.; Guendouz, M.; Thual, M.; Lemaître, J.; Pirasteh, P.; Hardy, I.; Charrier, J. High sensitivity optical biosensor based on polymer materials and using the Vernier effect. Opt. Express 2017, 25, 30799–30806. [Google Scholar] [CrossRef]
- Shew, B.Y.; Cheng, Y.C.; Tsai, Y.H. Monolithic SU-8 micro-interferometer for biochemical detection. Sens. Actuators A-Phys. 2008, 141, 299–306. [Google Scholar] [CrossRef]
- Bêche, B.; Pelletier, N.; Gaviot, E. Single-mode TE00–TM00 optical waveguides on SU-8 polymer. Opt. Commun. 2004, 230, 91–94. [Google Scholar] [CrossRef]
- Sameoto, D.; Tsang, S.H.; Parameswaran, M. Polymer MEMS processing for multi-user applications. Sens. Actuators A-Phys. 2007, 134, 457–464. [Google Scholar] [CrossRef]
- Wang, X.B.; Sun, J.; Chen, C.M.; Sun, X.Q.; Wang, F.; Zhang, D.M. Thermal UV treatment on SU-8 polymer for integrated optics. Opt. Mater. Express 2014, 4, 509–517. [Google Scholar] [CrossRef]
- Ramirez, J.C.; Schianti, J.N.; Souto, D.E.P.; Kubota, L.T.; Hernandez-Figueroa, H.E.; Gabrielli, L.H. Dielectric barrier discharge plasma treatment of modified SU-8 for biosensing applications. Biomed. Opt. Express 2018, 9, 2168–2175. [Google Scholar] [CrossRef]
- Ramirez, J.C.; Schianti, J.N.; Almeida, M.G.; Pavani, A.; Panepucci, R.R.; Hernandez-Figueroa, H.E.; Gabrielli, L.H. Low-loss modified SU-8 waveguides by direct laser writing at 405 nm. Opt. Mater. Express 2017, 7, 2651–2659. [Google Scholar] [CrossRef]
- Marinins, A.; Knudde, N.; Popov, S. Air-Suspended SU-8 Strip Waveguides with High Refractive Index Contrast. IEEE Photonics Technol. Lett. 2016, 28, 1862–1865. [Google Scholar] [CrossRef]
- Daimon, M.; Masumura, A. Measurement of the refractive index of distilled water from the near-infrared region to the ultraviolet region. Appl. Opt. 2007, 46, 3811–3820. [Google Scholar] [CrossRef]
- Boudrioua, A. Photonic Waveguides; ISTE Ltd.: London, UK; John Wiley & Sons: Hoboken, NJ, USA, 2009; ISBN 978-1-84821-027-1. [Google Scholar]
- Jennings, B.D.; McCloskey, D.; Gough, J.J.; Hoang, T.; Abadía, N.; Zhong, C.; Karademir, E.; Bradley, A.L.; Donegan, J.F. Characterisation of multi-mode propagation in silicon nitride slab waveguides. J. Opt.-UK 2017, 19, 015604. [Google Scholar] [CrossRef]
- Gut, K. Method of determining the beat length of planar waveguides. Acta Phys. Pol. A 2013, 124, 425–427. [Google Scholar] [CrossRef]
- Qi, Z.; Xia, S.; Matsuda, N. Spectropolarimetric interferometer based on single-mode glass waveguides. Opt. Express 2008, 16, 2245–2251. [Google Scholar] [CrossRef] [PubMed]













© 2019 by the author. Licensee MDPI, Basel, Switzerland. This article is an open access article distributed under the terms and conditions of the Creative Commons Attribution (CC BY) license (http://creativecommons.org/licenses/by/4.0/).
Share and Cite
Gut, K. Study of a Broadband Difference Interferometer Based on Low-Cost Polymer Slab Waveguides. Nanomaterials 2019, 9, 729. https://doi.org/10.3390/nano9050729
Gut K. Study of a Broadband Difference Interferometer Based on Low-Cost Polymer Slab Waveguides. Nanomaterials. 2019; 9(5):729. https://doi.org/10.3390/nano9050729
Chicago/Turabian StyleGut, Kazimierz. 2019. "Study of a Broadband Difference Interferometer Based on Low-Cost Polymer Slab Waveguides" Nanomaterials 9, no. 5: 729. https://doi.org/10.3390/nano9050729
APA StyleGut, K. (2019). Study of a Broadband Difference Interferometer Based on Low-Cost Polymer Slab Waveguides. Nanomaterials, 9(5), 729. https://doi.org/10.3390/nano9050729

