Temperature- and Angle-Dependent Magnetic Properties of Ni Nanotube Arrays Fabricated by Electrodeposition in Polycarbonate Templates
Abstract
:1. Introduction
2. Materials and Methods
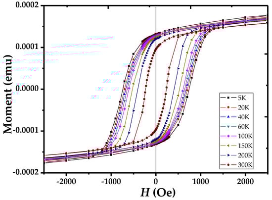
3. Results and Discussion
4. Conclusions
Acknowledgments
Author Contributions
Conflicts of Interest
References
- Cui, Y.; Zhong, Z.H.; Wang, D.L.; Wang, W.U.; Lieber, C.M. High performance silicon nanowire field effect transistors. Nano Lett. 2003, 3, 149–152. [Google Scholar] [CrossRef]
- Maaz, K.; Duan, J.L.; Karim, S.; Chen, Y.H.; Yao, H.J.; Mo, D.; Sun, Y.M.; Liu, J. Fabrication and low temperature magnetic studies of Ni-Co core-shell nanowires. J. Alloys Compd. 2016, 662, 296–301. [Google Scholar] [CrossRef]
- Duan, J.L.; Lei, D.Y.; Chen, F.; Lau, S.P.; Milne, W.I.; Toimil-Molares, M.E.; Trautmann, C.; Liu, J. Vertically-aligned single-crystal nanocone arrays: Controlled fabrication and enhanced field emission. ACS Appl. Mater. Interfaces 2016, 8, 472–479. [Google Scholar] [CrossRef] [PubMed]
- Liu, J.; Duan, J.L.; Toimil-Molares, M.E.; Karim, S.; Cornelius, T.W.; Dobrev, D.; Yao, H.J.; Sun, Y.M.; Hou, M.D.; Mo, D.; et al. Electrochemical fabrication of single-crystalline and polycrystalline Au nanowires: The influence of deposition parameters. Nanotechnology 2006, 17, 1922–1926. [Google Scholar] [CrossRef]
- Arico, A.S.; Bruce, P.; Scrosati, B.; Tarascon, J.M.; Van Schalkwijk, W. Nanostructured materials for advanced energy conversion and storage devices. Nat. Mater. 2005, 4, 366–377. [Google Scholar] [CrossRef] [PubMed]
- Xia, H.; Feng, J.K.; Wang, H.L.; Lai, M.O.; Lu, L. MnO2 nanotube and nanowire arrays by electrochemical deposition for supercapacitors. J. Power Sources 2010, 195, 4410–4413. [Google Scholar] [CrossRef]
- Murphy, A.; McPhillips, J.; Hendren, W.; McClatchey, C.; Atkinson, R.; Wurtz, G.; Zayats, A.V.; Pollard, R.J. The controlled fabrication and geometry tunable optics of gold nanotube arrays. Nanotechnology 2011, 22, 359–362. [Google Scholar] [CrossRef] [PubMed]
- Paramasivam, I.; Nah, Y.C.; Das, C.; Shrestha, N.K.; Schmuki, P. WO3/TiO2 nanotubes with strongly enhanced photocatalytic activity. Chem. Eur. J. 2010, 16, 8993–8997. [Google Scholar] [CrossRef] [PubMed]
- Seabra, A.B.; Duran, N. Biological applications of peptides nanotubes: An overview. Peptides 2013, 39, 47–54. [Google Scholar] [CrossRef] [PubMed]
- Dong, Y.B.; Xiong, C.R.; Zhang, Y.L.; Xing, S.; Jiang, H. Lithium-titanate-nanotube-supported WO3 for enhancing transmittance contrast in electrochromics. Nanotechnology 2016, 27, 105704. [Google Scholar] [CrossRef] [PubMed]
- Son, S.J.; Reichel, J.; He, B.; Schuchman, M.; Lee, S.B. Magnetic nanotubes for magnetic-field-assisted bioseparation, biointeraction, and drug delivery. J. Am. Chem. Soc. 2005, 127, 7316–7317. [Google Scholar] [CrossRef] [PubMed]
- Rozman, K.Z.; Pecko, D.; Sturm, S.; Maver, U.; Nadrah, P.; Bele, M.; Kobe, S. Electrochemical synthesis and characterization of Fe70Pd30 nanotubes for drug-delivery applications. Mater. Chem. Phys. 2012, 133, 218–224. [Google Scholar] [CrossRef]
- Yang, F.; Jin, C.; Yang, D.; Jiang, Y.J.; Li, J.; Di, Y.; Hu, J.H.; Wang, C.C.; Ni, Q.X.; Fu, D.L. Magnetic functionalised carbon nanotubes as drug vehicles for cancer lymph node metastasis treatment. Eur. J. Cancer 2011, 47, 1873–1882. [Google Scholar] [CrossRef] [PubMed]
- Han, X.F.; Shamaila, S.; Sharif, R.; Chen, J.Y.; Liu, H.R.; Liu, D.P. Structural and magnetic properties of various ferromagnetic nanotubes. Adv. Mater. 2009, 21, 4619–4624. [Google Scholar] [CrossRef]
- Rohan, J.F.; Casey, D.P.; Ahern, B.M.; Rhen, F.M.F.; Roy, S.; Fleming, D.; Lawrence, S.E. Coaxial metal and magnetic alloy nanotubes in polycarbonate templates by electroless deposition. Electrochem. Commun. 2008, 10, 1419–1422. [Google Scholar] [CrossRef]
- Tao, F.F.; Gao, C.L.; Xu, Z.; Xue, Z.L. A facile synthesis method of nickel nanotubes assisted by polyethylene glycol. Polym. Eng. Sci. 2010, 50, 43–47. [Google Scholar] [CrossRef]
- Chen, Y.H.; Duan, J.L.; Yao, H.J.; Mo, D.; Liu, T.Q.; Wang, T.S.; Hou, M.D.; Sun, Y.M.; Liu, J. Facile preparation and magnetic properties of Ni nanotubes in polycarbonate ion-track templates. Phys. B Condens. Matter 2014, 441, 1–5. [Google Scholar] [CrossRef]
- Song, G.J.; Li, X.R.; Li, M.J.; Feng, S.Y.; Zhou, C.J. Fabrication and magnetic properties of Fe, Co and Ni nanotube arrays. Mater. Sci. Forum 2016, 852, 369–373. [Google Scholar] [CrossRef]
- Rozman, K.Z.; Pecko, D.; Suhodolcan, L.; McGuiness, P.J.; Kobe, S. Electrochemical syntheses of soft and hard magnetic Fe50Pd50-based nanotubes and their magnetic characterization. J. Alloys Compd. 2011, 509, 551–555. [Google Scholar] [CrossRef]
- Kozlovskiy, A.; Zhanbotin, A.; Zdorovets, M.; Manakova, I.; Ozernoy, A.; Kadyrzhanov, K.; Rusakov, V. Study of Ni/Fe nanotube properties. Nucl. Instrum. Methods Phys. Res. Sect. B 2015, 365, 663–667. [Google Scholar] [CrossRef]
- Proenca, M.P.; Sousa, C.T.; Ventura, J.; Vazquez, M.; Araujo, J.P. Distinguishing nanowire and nanotube formation by the deposition current transients. Nanoscale Res. Lett. 2012, 7, 1–9. [Google Scholar] [CrossRef] [PubMed]
- Schaefer, S.; Felix, E.M.; Muench, F.; Antoni, M.; Lohaus, C.; Brotz, J.; Kunz, U.; Gartner, I.; Ensinger, W. NiCo nanotubes plated on Pd seeds as a designed magnetically recollectable catalyst with high noble metal utilisation. RSC Adv. 2016, 6, 70033–70039. [Google Scholar] [CrossRef]
- Proenca, M.P.; Sousa, C.T.; Ventura, J.; Araujo, J.P.; Escrig, J.; Vazquez, M. Crossover between magnetic reversal modes in ordered Ni and Co nanotube arrays. SPIN World Sci. Publ. Co. 2012, 2, 1250014. [Google Scholar] [CrossRef]
- Li, X.Z.; Wei, X.W.; Ye, Y. A simple method for forming amorphous rare earth-transition metal alloy nanotube arrays. J. Non-Cryst. Solids 2009, 355, 2233–2238. [Google Scholar] [CrossRef]
- Li, X.Z.; Wei, X.W.; Ye, Y. Template electrodeposition to cobalt-based alloys nanotube arrays. Mater. Lett. 2009, 63, 578–580. [Google Scholar] [CrossRef]
- Kamalakar, M.V.; Raychaudhuri, A.K. A novel method of synthesis of dense arrays of aligned single crystalline copper nanotubes using electrodeposition in the presence of a rotating electric field. Adv. Mater. 2008, 20, 149–154. [Google Scholar] [CrossRef]
- Landeros, P.; Allende, S.; Escrig, J.; Salcedo, E.; Altbir, D.; Vogel, E.E. Reversal modes in magnetic nanotubes. Appl. Phys. Lett. 2007, 90, 102501. [Google Scholar] [CrossRef]
- Landeros, P.; Guzman, P.R.; Soto-Garrido, R.; Escrig, J. Magnetostatic fields in tubular nanostructures. J. Phys. D Appl. Phys. 2009, 42, 225002–225008. [Google Scholar] [CrossRef]
- Escrig, J.; Daub, M.; Landeros, P.; Nielsch, K.; Altbir, D. Angular dependence of coercivity in magnetic nanotubes. Nanotechnology 2007, 18, 445706. [Google Scholar] [CrossRef]
- Escrig, J.; Landeros, P.; Altbir, D.; Vogel, E.E.; Vargas, P. Phase diagrams of magnetic nanotubes. J. Magn. Magn. Mater. 2007, 308, 233–237. [Google Scholar] [CrossRef]
- Zhang, X.L.; Zhang, H.M.; Wu, T.S.; Li, Z.Y.; Zhang, Z.J.; Sun, H.Y. Comparative study in fabrication and magnetic properties of FeNi alloy nanowires and nanotubes. J. Magn. Magn. Mater. 2013, 331, 162–167. [Google Scholar] [CrossRef]
- Escrig, J.; Bachmann, J.; Jing, J.; Daub, M.; Altbir, D.; Nielsch, K. Crossover between two different magnetization reversal modes in arrays of iron oxide nanotubes. Phys. Rev. B 2008, 77, 195–200. [Google Scholar] [CrossRef]
- Proenca, M.P.; Sousa, C.T.; Escrig, J.; Ventura, J.; Vazquez, M.; Araujo, J.P. Magnetic interactions and reversal mechanisms in Co nanowire and nanotube arrays. J. Appl. Phys. 2013, 113, 093907. [Google Scholar] [CrossRef]
- Ahmad, N.; Chen, J.Y.; Zhou, W.P.; Liu, D.P.; Han, X.F. Magnetoelastic anisotropy induced effects on field and temperature dependent magnetization reversal of Ni nanowires and nanotubes. J. Supercond. Nov. Magn. 2011, 24, 785–792. [Google Scholar] [CrossRef]
- Ahmad, N.; Chen, J.Y.; Iqbal, J.; Wang, W.X.; Zhou, W.P.; Han, X.F. Temperature dependent magnetic properties of Co nanowires and nanotubes prepared by electrodeposition method. J. Appl. Phys. 2011, 109, 07A331. [Google Scholar] [CrossRef]
- Bloch, F. On the theory of ferromagnetism. Z. Phys. 1930, 61, 206–219. [Google Scholar] [CrossRef]
- Hussain, M.; Khan, M.; Sun, H.Y.; Nairan, A.; Karim, S.; Nisar, A.; Maqbool, M.; Ahmad, M. Fabrication and temperature dependent magnetic properties of Ni–Cu–Co composite nanowires. Phys. B Condens. Matter 2015, 475, 99–104. [Google Scholar] [CrossRef]
- Kneller, E.F.; Luborsky, F.E. Particle size dependence of coercivity and remanence of single-domain particles. J. Appl. Phys. 1963, 34, 656–658. [Google Scholar] [CrossRef]
- Batlle, X.; Delmuro, M.G.; Tejada, J.; Pfeiffer, H.; Gornert, P.; Sinn, E. Magnetic study of M-type doped barium ferrite nanocrystalline powders. J. Appl. Phys. 1993, 74, 3333–3340. [Google Scholar] [CrossRef]
- Maaz, K.; Usman, M.; Karim, S.; Mumtaz, A.; Hasanain, S.K.; Bertino, M.F. Magnetic response of core-shell cobalt ferrite nanoparticles at low temperature. J. Appl. Phys. 2009, 105, 113917. [Google Scholar] [CrossRef]
- Brown, W.F. Thermal fluctuation of a single-domain particle. Phys. Rev. 1963, 130, 1677. [Google Scholar] [CrossRef]
- Neel, L. Théorie du traînage mécanique des ferromagnétiques en grains fins avec applications aux terres cuites. Ann. Geofis. 1949, 5, 99–136. (In French) [Google Scholar]
- Weller, D.; Alvarado, S.F.; Gudat, W.; Schroder, K.; Campagna, M. Observation of surface-enhanced magnetic order and magnetic surface reconstruction on Gd (0001). Phys. Rev. Lett. 1985, 54, 1555–1558. [Google Scholar] [CrossRef] [PubMed]
- Kodama, R.H.; Berkowitz, A.E.; McNiff, E.J.; Foner, S. Surface spin disorder in NiFe2O4 nanoparticles. Phys. Rev. Lett. 1996, 77, 394–397. [Google Scholar] [CrossRef] [PubMed]
- Garanin, D.A.; Kachkachi, H. Surface contribution to the anisotropy of magnetic nanoparticles. Phys. Rev. Lett. 2003, 90, 103–136. [Google Scholar] [CrossRef] [PubMed]
- Wang, D.; Gong, M.L. Surface and shape anisotropy effects in LaFeO3 nanoparticles. J. Appl. Phys. 2011, 109, 114304. [Google Scholar] [CrossRef]







© 2016 by the authors; licensee MDPI, Basel, Switzerland. This article is an open access article distributed under the terms and conditions of the Creative Commons Attribution (CC-BY) license (http://creativecommons.org/licenses/by/4.0/).
Share and Cite
Chen, Y.; Xu, C.; Zhou, Y.; Maaz, K.; Yao, H.; Mo, D.; Lyu, S.; Duan, J.; Liu, J. Temperature- and Angle-Dependent Magnetic Properties of Ni Nanotube Arrays Fabricated by Electrodeposition in Polycarbonate Templates. Nanomaterials 2016, 6, 231. https://doi.org/10.3390/nano6120231
Chen Y, Xu C, Zhou Y, Maaz K, Yao H, Mo D, Lyu S, Duan J, Liu J. Temperature- and Angle-Dependent Magnetic Properties of Ni Nanotube Arrays Fabricated by Electrodeposition in Polycarbonate Templates. Nanomaterials. 2016; 6(12):231. https://doi.org/10.3390/nano6120231
Chicago/Turabian StyleChen, Yonghui, Chen Xu, Yibo Zhou, Khan Maaz, Huijun Yao, Dan Mo, Shuangbao Lyu, Jinglai Duan, and Jie Liu. 2016. "Temperature- and Angle-Dependent Magnetic Properties of Ni Nanotube Arrays Fabricated by Electrodeposition in Polycarbonate Templates" Nanomaterials 6, no. 12: 231. https://doi.org/10.3390/nano6120231
APA StyleChen, Y., Xu, C., Zhou, Y., Maaz, K., Yao, H., Mo, D., Lyu, S., Duan, J., & Liu, J. (2016). Temperature- and Angle-Dependent Magnetic Properties of Ni Nanotube Arrays Fabricated by Electrodeposition in Polycarbonate Templates. Nanomaterials, 6(12), 231. https://doi.org/10.3390/nano6120231
