Skip Content
You are currently on the new version of our website. Access the old version .
NanomaterialsNanomaterials
  • This is an early access version, the complete PDF, HTML, and XML versions will be available soon.
  • Article
  • Open Access

29 January 2026

Spinel-Encapsulated Ni-Rich Cathodes for Enhanced Thermal Safety: Unraveling the Decomposition Kinetics and Interfacial Reconstruction

,
,
,
and
1
School of Safety Science and Engineering, Changzhou University, Changzhou 213164, China
2
College of Safety Science and Engineering, Nanjing Tech University, Nanjing 211816, China
3
State Key Laboratory of Fire Science, University of Science and Technology of China, Hefei 230026, China
*
Authors to whom correspondence should be addressed.
This article belongs to the Topic Emerging Materials and Interfaces for Batteries and Supercapacitors

Abstract

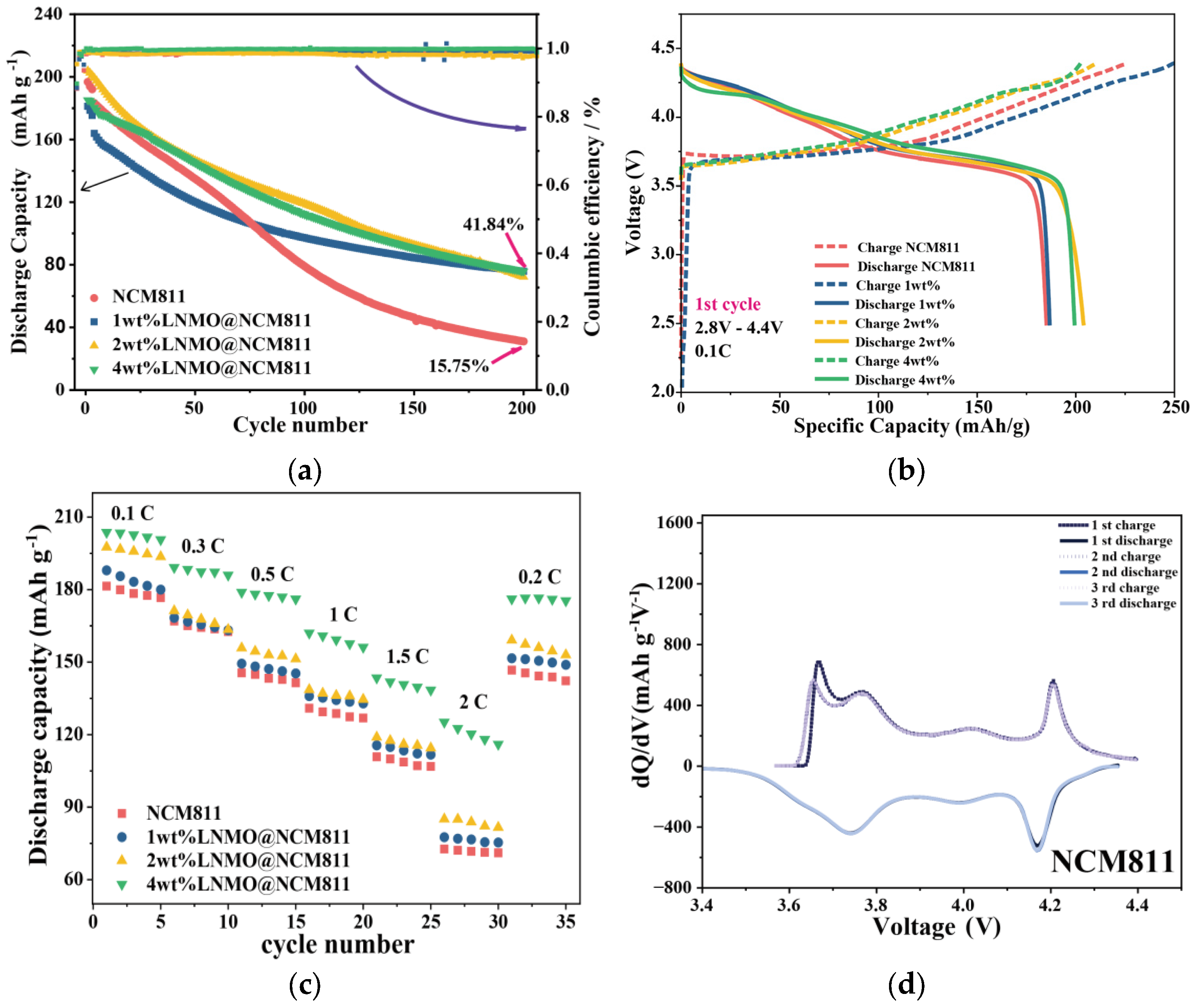
High-energy Ni-rich layered cathodes are critical for next-generation lithium-ion batteries yet remain limited by severe interfacial degradation and thermal vulnerability under high-voltage operation. In this work, a robust spinel-layered heterostructure is constructed by encapsulating LiNi0.8Co0.1Mn0.1O2 (NCM811) with a LiNi0.5Mn1.5O4 (LNMO) spinel shell via a scalable sol–gel route. Structural characterizations confirm that the coating maintains the secondary-particle architecture, while X-ray photoelectron spectroscopy reveals a chemically reconditioned interface, achieved by the scavenging residual lithium species and suppressing of rock-salt-like surface reconstruction. Consequently, the optimized 4 wt% LNMO@NCM811 electrode demonstrates significantly enhanced high-voltage (2.8–4.4 V) stability, maintaining 41.84% of its initial capacity after 200 cycles compared to only 15.75% for the pristine sample. Crucially, thermogravimetric-differential scanning calorimetry (TG-DSC) uncovers the kinetic origin of this safety improvement: the spinel shell alters the thermal decomposition pathway, delaying the 10% mass loss temperature (T10%) from 515.2 °C to 716.6 °C and suppressing the total exothermic heat release from 208.3 J g−1 to 81.5 J g−1. Collectively, these results demonstrate that the co-free spinel encapsulation is a dual-functional strategy to simultaneously stabilize surficial chemistry and intrinsically enhance the thermal safety of Ni-rich cathodes for carbon-neutral energy storage applications.

Article Metrics

Citations

Article Access Statistics

Article metric data becomes available approximately 24 hours after publication online.