Interface-Engineered Copper–Barium Strontium Titanate Composites with Tunable Optical and Dielectric Properties
Abstract
1. Introduction
- Enhanced Dielectric Response: The introduction of a highly conductive metallic phase (Cu) into the insulating BST matrix creates numerous internal boundaries. This heterogeneous structure leads to a buildup of charge carriers at the interfaces when subjected to an external electric field, a phenomenon known as Maxwell–Wagner (MW) interfacial polarization. This MW effect is known to dramatically increase the effective relative permittivity of the composite far beyond the intrinsic value of the BST matrix itself.
- Extended Optical Absorption: The presence of metallic Cu provides a distinct mechanism for visible light interaction. Cu nanoparticles are renowned for generating Localized Surface Plasmon Resonance (LSPR), which results in strong, tunable light absorption across the visible spectrum. By utilizing both the LSPR effect and the formation of new electronic interface states at the BST/Cu boundary, the composite system is expected to exhibit a significant reduction in its effective optical band gap and enhanced absorption in the solar spectrum.
2. Materials and Methods
2.1. Synthesis of Ba1−xSrxTiO3 Ceramics
2.2. Preparation of BST-Cu and the Spark Plasma Sintering Process
3. Results and Discussion
3.1. Phase Analysis Using XRD
3.2. FT-IR Analysis
3.3. SEM Investigation
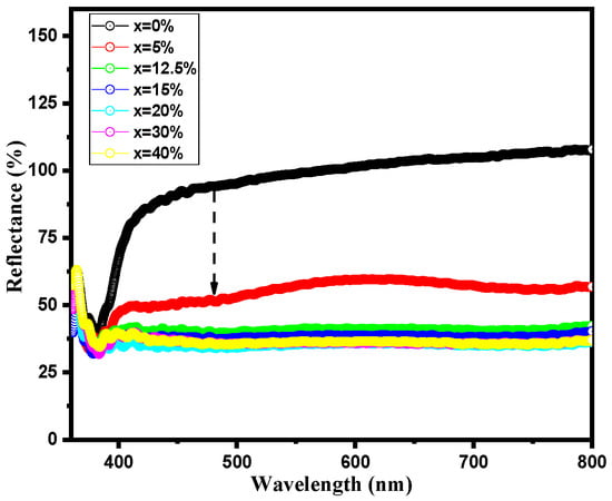
3.4. Optical Characteristics
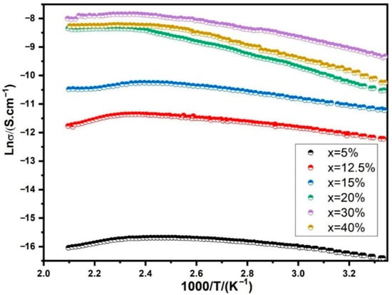
3.5. Electrical Conduction Mechanism in BaTiO3–Cu Composites
4. Conclusions
Author Contributions
Funding
Institutional Review Board Statement
Informed Consent Statement
Data Availability Statement
Conflicts of Interest
References
- Haertling, G.H. Ferroelectric ceramics: History and technology. J. Am. Ceram. Soc. 1999, 82, 797–818. [Google Scholar] [CrossRef]
- Tihtih, M. Innovative Development and Investigation of Doped and Cu-Composite BaTiO3 Materials for Advanced Multilayer Ceramic Capacitors. Ph.D. Thesis, University of Miskolc, Miskolc, Hungary, 2024. [Google Scholar] [CrossRef]
- Moulson, A.J.; Herbert, J.M. Electroceramics: Materials, Properties, Applications; John Wiley & Sons: Hoboken, NJ, USA, 2003. [Google Scholar]
- Park, B.H.; Kang, B.S.; Bu, S.D.; Noh, T.W.; Lee, J.; Jo, W. Lanthanum-substituted bismuth titanate for use in non-volatile memories. Nature 1999, 401, 682–684. [Google Scholar] [CrossRef]
- Scott, J.F. Applications of modern ferroelectrics. Science 2007, 315, 954–959. [Google Scholar] [CrossRef]
- Zhang, S.; Li, F. High performance ferroelectric relaxor-PbTiO3 single crystals: Status and perspective. J. Appl. Phys. 2012, 111, 031301. [Google Scholar] [CrossRef]
- Wang, Z.L.; Song, J. Piezoelectric nanogenerators based on zinc oxide nanowire arrays. Science 2006, 312, 242–246. [Google Scholar] [CrossRef] [PubMed]
- Wang, X.; Zhuang, J.; Peng, Q.; Li, Y. A general strategy for nanocrystal synthesis. Nature 2005, 437, 121–124. [Google Scholar] [CrossRef]
- Lu, Y.J.; Meng, X.S.; Sun, Q.A.; Wang, J.; Song, J.J.; Wang, P.F.; Wang, G.R.; Yu, C.X.; Zhang, Y.S.; Mao, L.B.; et al. Scalable and shapable nacre-like ceramic-metal composites based on deformable microspheres. Natl. Sci. Rev. 2025, 12, nwaf006. [Google Scholar] [CrossRef] [PubMed]
- Singh, A.; Al-Ketan, O.; Karathanasopoulos, N. Hybrid manufacturing and mechanical properties of architected interpenetrating phase metal-ceramic and metal-metal composites. Mater. Sci. Eng. A 2024, 897, 146322. [Google Scholar] [CrossRef]
- Choi, K.J.; Biegalski, M.; Li, Y.L.; Sharan, A.; Schubert, J.; Uecker, R.; Reiche, P.; Chen, Y.B.; Pan, X.Q.; Gopalan, V.; et al. Enhancement of ferroelectricity in strained BaTiO3 thin films. Science 2004, 306, 1005–1009. [Google Scholar] [CrossRef]
- Zheng, H.; Wang, J.; Lofland, S.E.; Ma, Z.; Mohaddes-Ardabili, L.; Zhao, T.; Salamanca-Riba, L.; Shinde, S.R.; Ogale, S.B.; Bai, F.; et al. Multiferroic BaTiO3-CoFe2O4 nanostructures. Science 2004, 303, 661–663. [Google Scholar] [CrossRef] [PubMed]
- Munir, Z.A.; Anselmi-Tamburini, U.; Ohyanagi, M. The effect of electric field and pressure on the synthesis and consolidation of materials: A review of the spark plasma sintering method. J. Mater. Sci. 2006, 41, 763–777. [Google Scholar] [CrossRef]
- Naveed-Ul-Haq, M. Exploring Ba(Ti, Sn)O3: An experimental and theoretical study of structural, ferroelectric, electronic, and optical properties. Mater. Today Commun. 2021, 28, 102494. [Google Scholar] [CrossRef]
- Pastor, H. Metallic Borides: Preparation of Solid Bodies—Sintering Methods and Properties of Solid Bodies. Boron Refract. Borides 1977, 457–493. [Google Scholar] [CrossRef]
- Oberkampf, W.L.; Trucano, T.G. Verification and validation in computational fluid dynamics. Prog. Aerosp. Sci. 2002, 38, 209–272. [Google Scholar] [CrossRef]
- Panchal, J.H.; Kalidindi, S.R.; McDowell, D.L. Key computational modeling issues in Integrated Computational Materials Engineering. Comput.-Aided Des. 2013, 45, 4–25. [Google Scholar] [CrossRef]
- Widodo, R.D.; Anis, S.; Fitriyana, D.F.; Manawan, M.; Sah, J.; Santiko, A.; Bin Mamat, R.; Yusuf, A.A.; Ammarullah, M.I. Crystallite size and phase purity in Pb1−xSrxTiO3 ferroelectric perovskites for biomedical applications via controlled sintering. J. Asian Ceram. Soc. 2024, 12, 332–343. [Google Scholar] [CrossRef]
- Dharmalingam, G. Deciphering interfacial properties and intermediaries via probing lattice deformations: Growth solution chemistry for mixed/pure phase metal oxide/perovskites. Colloids Surf. A Physicochem. Eng. Asp. 2024, 691, 133804. [Google Scholar] [CrossRef]
- Guan, D.; Shi, C.; Xu, H.; Gu, Y.; Zhong, J.; Sha, Y.; Hu, Z.; Ni, M.; Shao, Z. Simultaneously mastering operando strain and reconstruction effects via phase-segregation strategy for enhanced oxygen-evolving electrocatalysis. J. Energy Chem. 2023, 82, 572–580. [Google Scholar] [CrossRef]
- Wang, X.; Ren, P.; Wang, Q.; Fan, H.; Zhao, G. Dielectric, piezoelectric and conduction properties of yttrium acceptor-doped BaTiO3 ceramics. J. Mater. Sci. Mater. Electron. 2016, 27, 11762–11769. [Google Scholar] [CrossRef]
- Sun, Q.; Hu, J.; Gu, Q.; Bian, K.; Wang, J.; Xiong, K.; Zhu, K. Sol-hydrothermal synthesis, crystal structures and excellent dielectric stability of yttrium doped BaTiO3 ceramics. Mater. Technol. 2016, 31, 854–859. [Google Scholar] [CrossRef]
- Ganguly, M.; Rout, S.; Ahn, C.; Kim, I.; Kar, M. Structural, electrical and optical properties of Ba(Ti1−xYb4x/3)O3 ceramics. Ceram. Int. 2013, 39, 9511–9524. [Google Scholar] [CrossRef]
- Tian, H.Y.; Luo, W.G.; Pu, X.H.; He, X.Y.; Qiu, P.S.; Ding, A.L.; Yang, S.H.; Mo, D. Determination of the optical properties of sol-gel-derived BaxSr1−xTiO3 thin film by spectroscopic ellipsometry. J. Phys. Condens. Matter 2001, 13, 4065. [Google Scholar] [CrossRef]
- Choi, J.S.; Sheeraz, M.; Bae, J.S.; Lee, J.H.; Lee, J.; Lee, J.; Lee, S.; Jeen, H.; Oh, Y.S.; Ahn, C.W.; et al. Effect of ceramic-target crystallinity on metal-to-insulator transition of epitaxial rare-earth nickelate films grown by pulsed laser deposition. ACS Appl. Electron. Mater. 2019, 1, 1952–1958. [Google Scholar] [CrossRef]
- Sheeraz, M.; Rashid, M.U.; Ali, A.; Akram, F.; Lee, H.J.; San Choi, J.; Bae, J.S.; Kim, Y.S.; Shin, Y.H.; Ahn, C.W.; et al. Stabilization of 6H-hexagonal SrMnO3 polymorph by Al2O3 insertion. J. Eur. Ceram. Soc. 2021, 41, 5155–5162. [Google Scholar] [CrossRef]
- Tihtih, M.; Ibrahim, J.E.F.; Basyooni, M.A.; Kurovics, E.; Belaid, W.; Hussainova, I.; Kocserha, I. Role of A-site (Sr), B-site (Y), and A, B sites (Sr, Y) substitution in lead-free BaTiO3 ceramic compounds: Structural, optical, microstructure, mechanical, and thermal conductivity properties. Ceram. Int. 2023, 49, 1947–1959. [Google Scholar] [CrossRef]
- Qi, J.; Li, L.; Wang, Y.; Fan, Y.; Gui, Z. Yttrium doping behavior in BaTiO3 ceramics at different sintered temperature. Mater. Chem. Phys. 2003, 82, 423–427. [Google Scholar] [CrossRef]
- Reda, M.; El-Dek, S.I.; Arman, M.M. Improvement of ferroelectric properties via Zr doping in barium titanate nanoparticles. J. Mater. Sci. Mater. Electron. 2022, 33, 16753–16776. [Google Scholar] [CrossRef]
- Hannachi, E.; Almessiere, M.; Slimani, Y.; Alshamrani, R.B.; Yasin, G.; Ben Azzouz, F. Preparation and characterization of high-Tc (YBa2Cu3O7−δ)1−x/(CNTs)x superconductors with highly boosted superconducting performances. Ceram. Int. 2021, 47, 23539–23548. [Google Scholar] [CrossRef]
- Choi, W.J.; Yang, D.; Jeon, S.C.; Moon, K.S. Effect of charge compensation change on the crystal structure, grain growth behavior, and dielectric properties in the La2O3-doped BaTiO3 system with MnCO3 addition. J. Alloys. Compd. 2022, 916, 165388. [Google Scholar] [CrossRef]
- Hannachi, E.; Sayyed, M.I.; Mahmoud, K.A.; Slimani, Y.; Akhtar, S.; Albarzan, B.; Almuqrin, A.H. Impact of tin oxide on the structural features and radiation shielding response of some ABO3 perovskites ceramics (A = Ca, Sr, Ba; B = Ti). Appl. Phys. A 2021, 127, 970. [Google Scholar] [CrossRef]
- Bell, J.G.; Huangfu, S.; Artiglia, L.; Graule, T.; Stuer, M. Hydrogen spillover drives room temperature sensing on spark plasma sintered BaTiO3 with Pt electrodes. J. Mater. Chem. A 2024, 12, 31993–32013. [Google Scholar] [CrossRef]
- Zhang, H.; Guan, D.; Gu, Y.; Xu, H.; Wang, C.; Shao, Z.; Guo, Y. Tuning synergy between nickel and iron in Ruddlesden–Popper perovskites through controllable crystal dimensionalities towards enhanced oxygen-evolving activity and stability. Carbon Energy 2024, 6, e465. [Google Scholar] [CrossRef]
- Parida, S.; Satapathy, A.; Sinha, E.; Bisen, A.; Rout, S.K. Effect of Neodymium on Optical Bandgap and Microwave Dielectric Properties of Barium Zirconate Ceramic. Met. Mater. Trans. A Phys. Metall. Mater. Sci. 2015, 46, 1277–1286. [Google Scholar] [CrossRef]
- Khan, T.T.; Ur, S.C. Thermoelectric properties of the yttrium-doped ceramic oxide SrTiO3. J. Korean Phys. Soc. 2017, 70, 93–97. [Google Scholar] [CrossRef]
- Muta, H.; Kurosaki, K.; Yamanaka, S. Thermoelectric properties of rare earth doped SrTiO3. J. Alloys Compd. 2003, 350, 292–295. [Google Scholar] [CrossRef]
- Liu, J.; Wang, C.L.; Li, Y.; Su, W.B.; Zhu, Y.H.; Li, J.C.; Mei, L.M. Influence of rare earth doping on thermoelectric properties of SrTiO3 ceramics. J. Appl. Phys. 2013, 114, 223714. [Google Scholar] [CrossRef]
- Xiao, C.J. A study on the damping capacity of BaTiO3-reinforced Al-matrix composites. Bull. Mater. Sci. 2016, 39, 463–467. [Google Scholar] [CrossRef][Green Version]
- Lee, H.-Y.; Kim, J.-S.; Hwang, N.-M.; Kim, D.-Y. Effect of sintering temperature on the secondary abnormal grain growth of BaTiO3. J. Eur. Ceram. Soc. 2000, 20, 731–737. [Google Scholar] [CrossRef]
- Xu, N.; Pu, Y.-P.; Wang, B.; Wu, H.-D.; Chen, K. Microstructure and electrical properties of BaTiO3/Cu ceramic composite sintered in nitrogen atmosphere. Ceram. Int. 2012, 38, S249–S253. [Google Scholar] [CrossRef]
- Yang, Z.; Gao, F.; Du, H.; Jin, L.; Yan, L.; Hu, Q.; Yu, Y.; Qu, S.; Wei, X.; Xu, Z.; et al. Grain size engineered lead-free ceramics with both large energy storage density and ultrahigh mechanical properties. Nano Energy 2019, 58, 768–777. [Google Scholar] [CrossRef]
- Qiao, L.; Bi, X. Dielectric behavior of BaTiO3–Ni composite ferroic films. Appl. Phys. A 2009, 95, 733–738. [Google Scholar] [CrossRef]
- Herner, S.B.; Selmi, F.A.; Varadan, V.V.; Varadan, V.K. The effect of various dopants on the dielectric properties of barium strontium titanate. Mater. Lett. 1993, 15, 317–324. [Google Scholar] [CrossRef]
- Padmini, P.; Taylor, T.R.; Lefevre, M.J.; Nagra, A.S.; York, R.A.; Speck, J.S. Realization of high tunability barium strontium titanate thin films by rf magnetron sputtering. Appl. Phys. Lett. 1999, 75, 3186–3188. [Google Scholar] [CrossRef]











| Chemical | Chemical Formula | Company | Purity (%) |
|---|---|---|---|
| Barium acetate | (CH3COO)2Ba | Sigma–Aldrich | ≥99.00 |
| Strontium acetate | (CH3COO)2Sr | Sigma–Aldrich | ≥99.00 |
| Titanium (IV) isopropoxide | Ti [OCH(CH3)2]4 | Sigma–Aldrich | ≥97.00 |
| Acetic acid | CH3COOH | Sigma–Aldrich | ≥99.50 |
| Acetyl–acetone | CH3COCH2COCH3 | Sigma–Aldrich | ≥99.30 |
| Distilled water | H2O |
| Samples | Grain Size (µm) |
|---|---|
| BST | 3.1 |
| BST-Cu5% | 3.4 |
| BST-Cu12.5% | 3.9 |
| BST-Cu15% | 4.1 |
| BST-Cu20% | 4.5 |
| BST-Cu30% | 4.7 |
| BST-Cu40% | 5.2 |
| Specimen | Ba (at.%) | Sr (at.%) | Ti (at.%) | A-Site Sum (Ba + Sr) | O (at.%) | Cu (at.%) | O/Ti Ratio |
|---|---|---|---|---|---|---|---|
| Pure BST | 16.98 ± 0.1 | 3.02 ± 0.1 | 20.02 ± 0.2 | 20.00 | 59.98 ± 0.5 | — | 2.99 |
| BST–Cu15% | 14.16 ± 0.2 | 2.51 ± 0.1 | 16.68 ± 0.3 | 16.67 | 50.01 ± 0.6 | 16.64 ± 0.4 | 3.00 |
| BST–Cu40% | 10.11 ± 0.2 | 1.80 ± 0.1 | 11.92 ± 0.3 | 11.91 | 35.79 ± 0.7 | 40.38 ± 0.5 | 3.01 |
| Sample (% wt.) | Band Gap Value (eV) |
|---|---|
| x = 0.00 | 3.10 |
| x = 5 | 2.93 |
| x = 12.5 | 2.85 |
| x = 15 | 2.72 |
| x = 20 | 2.31 |
| x = 30 | 2.21 |
| x = 40 | 2.01 |
| Material System | Permittivity (ϵr) | Loss (tan δ) | Polarization Mechanism | Primary Application |
|---|---|---|---|---|
| Pure BST (This study) | ~1200 | 0.02 | Dipolar | Standard MLCCs |
| BST–Cu30% (This study) | ~120,000 | 0.80 | Maxwell–Wagner | High-C Decoupling |
| BaTiO3–Ni [43] | ~10,000–50,000 | 0.5–1.0 | Percolation/Interfacial | Energy Storage |
| BST Bulk [44] | ~1500–3000 | 0.01–0.05 | Dipolar | Capacitors/Sensors |
| BST Thin Films [45] | ~500–1000 | <0.01 | Intrinsic/Domain | Microwave Tunable |
Disclaimer/Publisher’s Note: The statements, opinions and data contained in all publications are solely those of the individual author(s) and contributor(s) and not of MDPI and/or the editor(s). MDPI and/or the editor(s) disclaim responsibility for any injury to people or property resulting from any ideas, methods, instructions or products referred to in the content. |
© 2026 by the authors. Licensee MDPI, Basel, Switzerland. This article is an open access article distributed under the terms and conditions of the Creative Commons Attribution (CC BY) license.
Share and Cite
Tihtih, M.; Basyooni-M. Kabatas, M.A.; En-nadir, R.; Kocserha, I. Interface-Engineered Copper–Barium Strontium Titanate Composites with Tunable Optical and Dielectric Properties. Nanomaterials 2026, 16, 96. https://doi.org/10.3390/nano16020096
Tihtih M, Basyooni-M. Kabatas MA, En-nadir R, Kocserha I. Interface-Engineered Copper–Barium Strontium Titanate Composites with Tunable Optical and Dielectric Properties. Nanomaterials. 2026; 16(2):96. https://doi.org/10.3390/nano16020096
Chicago/Turabian StyleTihtih, Mohammed, M. A. Basyooni-M. Kabatas, Redouane En-nadir, and István Kocserha. 2026. "Interface-Engineered Copper–Barium Strontium Titanate Composites with Tunable Optical and Dielectric Properties" Nanomaterials 16, no. 2: 96. https://doi.org/10.3390/nano16020096
APA StyleTihtih, M., Basyooni-M. Kabatas, M. A., En-nadir, R., & Kocserha, I. (2026). Interface-Engineered Copper–Barium Strontium Titanate Composites with Tunable Optical and Dielectric Properties. Nanomaterials, 16(2), 96. https://doi.org/10.3390/nano16020096

