You are currently on the new version of our website. Access the old version .
NanomaterialsNanomaterials
  • Correction
  • Open Access

14 January 2026

Correction: Zhang et al. Modulation of Ferroelectric and Optical Properties of La/Co-Doped KNbO3 Ceramics. Nanomaterials 2021, 11, 2273

,
,
,
,
,
,
,
,
and
1
Key Laboratory of Polar Materials and Devices (MOE), Department of Electronic Sciences, East China Normal University, Shanghai 200241, China
2
School of Electronic and Information Engineering, Changshu Institute of Technology, Changshu 215500, China
3
National Laboratory of Infrared Physics, Shanghai Institute of Technical Physics, Shanghai 200083, China
*
Authors to whom correspondence should be addressed.
This article belongs to the Special Issue State-of-the-Art Nanophotonics Materials and Devices in China

Error in Figure

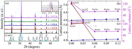
In the original publication [1], there was an error in Figure 1 as it was published. The lattice cell volume in Figure 1b was marked incorrectly, and the lattice parameter and volume of x = 0.03 with different phases (Amm2 or Pm3m) to make a comparison were missing. The corrected Figure 1 appears below.
Figure 1. (a) XRD patterns of xKLNCO ceramics. The inset shows magnified patterns around 2θ~31.5°. The cyan lines at the bottom are indexed from JCPDS No. 32-0822, space group Amm2. (b) Lattice parameters (a—black, b—red, c—blue) and unit cell volume (V—pink) of xKLNCO (with Amm2 phase for x = 0 and Pm3m phase for x = 0.03~0.12). (c) The calculated values of x = 0.03 are obtained by considering the mixed phase as the Amm2 phase to make a comparison. Assuming V = a × b × c.
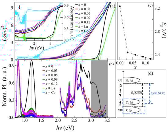
In the original publication [1], there was an error in Figure 4 as it was published. The curve color of x = 0.09 and x = 0.12 in the inset in Figure 4a was reversed. The corrected Figure 4 appears below.
Figure 4. (a) Plots of (αhv)2 versus hv for the absorption. Insets (i) shows absorption spectra of xKLNCO ceramics; (b) normalized PL spectra excited at the 325 nm and 405 nm, respectively; (c) the change in band gap with doping amount x; (d) the schematic diagram of the energy band structure change principle of xKLNCO ceramics.

Text Correction

There was an error in the original publication [1], which involved a lack of instrument details provided. A correction has been made to 2. Materials and Methods, Paragraph 2, and should read:
The XRD (Bruker D8 Advance, Karlsruhe, Germany) patterns and Raman (Horiba LabRam 800, Kyoto, Japan) spectra were used to investigate the crystalline structure characteristics of the prepared ceramics. The surface morphologies were observed by SEM (Zeiss Gemini 450, Oberkochen, Germany). The optical absorption was measured with an ultraviolet-visible-near infrared spectrophotometer (Varian Cary500, Palo Alto, CA, USA) equipped with an integrating sphere. The photoluminescence spectra were recorded on a Bruker Vertex 80v (Karlsruhe, Germany) for the near infrared waveband and PerkinElmer LS55 (Waltham, MA, USA) for the UV–Vis waveband, with the excitation wavelengths of 532 nm and 325 nm, respectively. The hysteresis loops were measured by a ferroelectric tester (Radiant Precision Premier II, Albuquerque, NM, USA) at an alternating frequency f = 1 kHz.

Missing Citation

In the original publication, Reference [21] “MOSS, T.S. Theory of the Spectral Distribution of Recombination Radiation from InSb. Proc. Phys. Soc. Sect. B 1957, 70, 247–250” was wrongly cited. This reference has been replaced with reference [14] “Zhou, W.; Deng, H.; Yang, P.; Chu, J. Structural phase transition, narrow band gap, and room-temperature ferromagnetism in [KNbO3]1−x[BaNi1/2Nb1/2O3−δ]x ferroelectrics. Appl. Phys. Lett. 2014, 105, 111904” in 3. Results and Discussion, 3.1. Structure, Paragraph 3, and should read:
Raman spectra are further measured for confirming the local lattice distortion by analyzing the structural and lattice vibration. From the group theory analysis [17], it exhibits 12 optical modes of 4A1 + 4B1 + 3B2 + A2 symmetries for space group C 2 v 14 (Amm2). In these 12 models, A2 is Raman-active, and the rest of the models are both Raman- and infrared-active. Figure 3 shows the room-temperature Raman spectra of xKLNCO (0.0 ≤ x ≤ 0.12) ceramics, where nine characteristic vibration modes appear. Among them, TO1, TO3, TO4, LO3 and LO4 are the transverse/longitudinal optical (TO/LO) phonon modes, reflecting the NbO6 octahedral polarization lattice vibration. The A1(TO1) mode is at ∼281 cm−1, of which the shoulders on both sides are the B1(TO1) and A1(TO4, LO4) modes. The A1(TO3) mode appears at ∼602 cm−1, the A1(LO3) mode is found at ∼834 cm−1 with a low intensity and the (B1 + B2)(TO3) mixed mode at ∼535 cm−1 is associated with the vibration of the octahedral [18]. Two modes (B1, B2)(TO2) degenerated at ∼195 cm−1 are associated with the vibration of the Nb-O bonds in the octahedral. In the Raman spectrum of KNO, the low-wavenumber region below ~500 cm−1 is mainly related to the BO6 bending vibration mode A1(TO1) and the two spike modes TO2 and TO4, which confirm the orderly existence of long-range polarization [19]. Beyond ~500 cm−1, the vibration mode at ~834 cm−1 is related to the perovskite structure of KNO [20]. For the Raman spectrum of xKLNCO, it is observed that the vibration mode in the high-wavenumber range (>500 cm−1) red-shifts, and the relative intensity of the vibration peak increases. With the increase in the doping level, a vibration at ~163 cm−1 appears, which is related to the vibrational change in the Nb-O bond in the oxygen octahedron. This indicates that excess cations appear in the nano-regional lattice, replacing K+ with La3+, which is equivalent to adding two +1 valent ions at the A site [14]. In addition, a weaker vibration appeared at ~879 cm−1, the A1(TO1) mode gradually expanded and the two modes at 263 cm−1 and 296 cm−1 gradually disappeared. The relative intensity of the vibration modes at 535 cm−1 and 602 cm−1 also changed, and the (B1 + B2)(TO3) mode gradually increased. These modes are all related to the expansion and flexural vibration of the NbO6 octahedron. Theoretically, the vibration of the NbO6 octahedron consists of 1A1g (υ1) + 1Eg (υ2) + 2F1u (υ3, υ4) + F2g (υ5) + F2u (υ6) modes. Among them, 1A1g (υ1) + 1Eg (υ2) + 2F1u (υ3) is the stretching vibration mode, and the rest are bending modes [21]. Therefore, based on the changes in the υ1, υ2, and υ5 modes, it is inferred that the increase in the doping level will reduce the degree of distortion along the polar axis; that is, the ferroelectric polarization strength of xKLNCO ceramics will be weakened.

References

With this correction, the order of some references has been adjusted accordingly. The authors state that the scientific conclusions are unaffected. This correction was approved by the Academic Editor. The original publication has also been updated.

Reference

  1. Zhang, X.; Qi, R.; Dong, S.; Yang, S.; Jing, C.; Sun, L.; Chen, Y.; Hong, X.; Yang, P.; Yue, F.; et al. Modulation of Ferroelectric and Optical Properties of La/Co-Doped KNbO3 Ceramics. Nanomaterials 2021, 11, 2273. [Google Scholar] [CrossRef] [PubMed]
Disclaimer/Publisher’s Note: The statements, opinions and data contained in all publications are solely those of the individual author(s) and contributor(s) and not of MDPI and/or the editor(s). MDPI and/or the editor(s) disclaim responsibility for any injury to people or property resulting from any ideas, methods, instructions or products referred to in the content.

Article Metrics

Citations

Article Access Statistics

Multiple requests from the same IP address are counted as one view.