Predicting Ion Sequestration in Charged Polymers with the Steepest-Entropy-Ascent Quantum Thermodynamic Framework
Abstract
1. Introduction
2. Methods
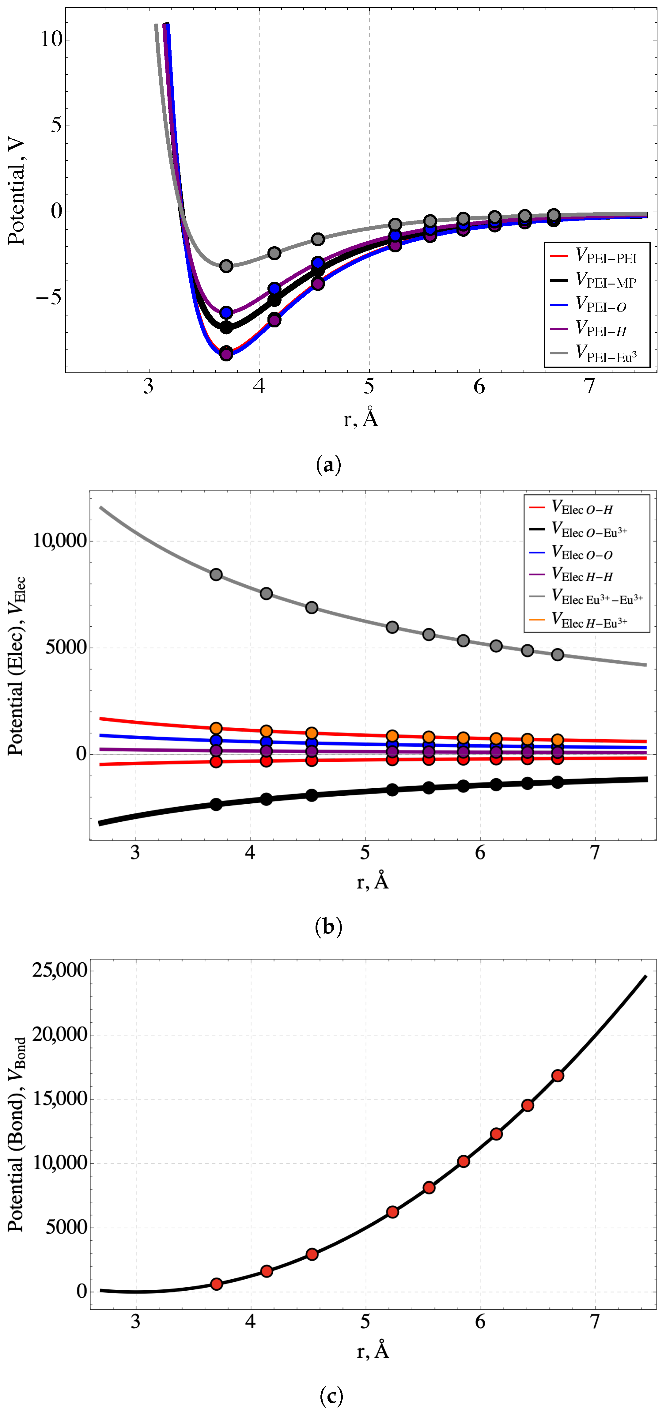
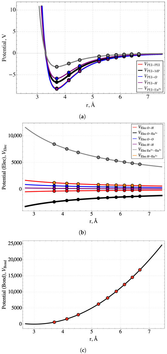
2.1. Energetic Model
2.2. Wang-Landau Algorithm
2.3. SEAQT Equation of Motion
- Select a temperature for the thermal reservoir. The reservoir temperature establishes the canonical probabilities for the stable equilibrium state (the eventual state to which the equation of motion, Equation (9), converges). The final stable equilibrium probabilities also can be found from Equation (11), and they determine the final entropy and energy, and , respectively, via Equations (4) and (6).
- Solve Equation (9) numerically to obtain the unique kinetic path that maximizes entropy production from the initial state, , to the final state, . Energy in a heat interaction can flow in either direction between the reservoir and the sequestration subsystem, A, depending upon the initial state and the reservoir temperature.
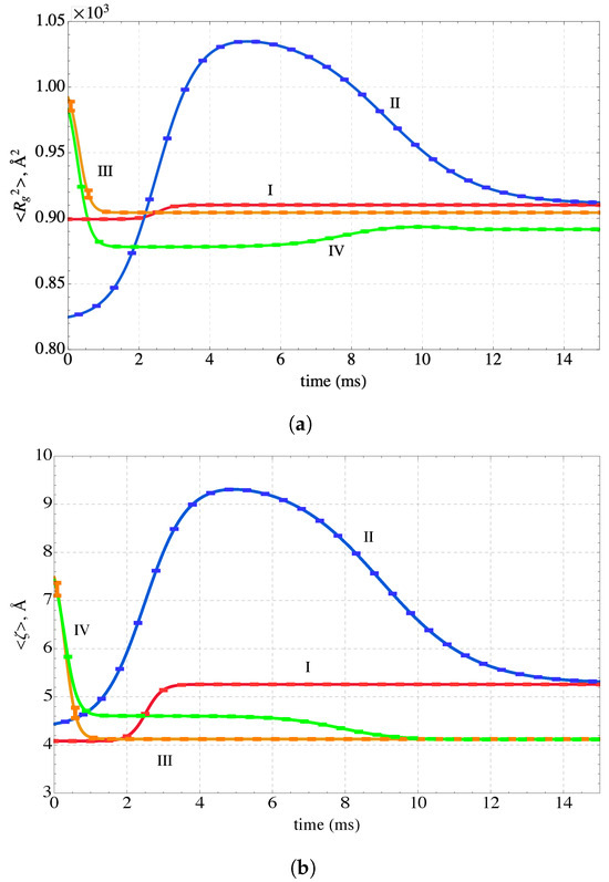
2.4. Non-Equilibrium Thermodynamic Paths
- Path I (red)
- describes gradual heating from a low initial temperature of 5 K (notional temperature). The initial energy, , corresponds to stable equilibrium at this temperature. From this initial state, the reservoir is set to a higher notional temperature (350 K) that corresponds to a final equilibrium energy of .
- Path II (blue)
- reflects initial heating with the same reservoir temperature as for Path I followed by cooling, but from an initial non-equilibrium state. Steepest entropy ascent from the non-equilibrium starting point selects a path that increases the energy more rapidly than along Path I and the energy of the sequestration subsystem “overshoots” before decreasing to the final value corresponding to equilibrium with a reservoir at 350 K (same final state as for Path I).
- Path III (orange)
- corresponds to cooling from an initial non-equilibrium state with a relatively high energy. The final equilibrium state is the same as the initial state of Path I; the reservoir is at 5 K.
- Path IV (green)
- corresponds to cooling from an initial non-equilibrium state that has a higher energy and a higher entropy than those of the initial state of Path III. The final equilibrium state is the same as the initial state of Path I; the reservoir is at 5 K.
2.5. Linking State-Based Evolution to Microstructural Evolution
System Descriptors
3. Results
3.1. Thermodynamic Properties
3.2. Physical Properties
3.3. Sequestration Kinetics
4. Discussion
5. Conclusions
- The fraction of Eu3+ ions sequestered is sensitive to the total energy of the sequestration subsystem. The lower the energy, the higher the fraction of sequestered Eu3+ ions is.
- The number of sequestered Eu3+ ions is sensitive to the system energy. Since the reservoir temperature establishes the final energy of the system, temperature is the most important factor controlling the number of sequestered Eu3+ ions. Because temperature in this study is a notional quantity that includes only bonding energy, it is not the same as the actual, absolute temperature. Nevertheless, as a proxy for system energy, the notional temperature is expected to reflect sequestration trends with actual temperature.
- The steepest-entropy-ascent principle determines whether the thermodynamic path follows a direct route to stable equilibrium or a more convoluted path with multiple stages (as in Paths II and IV). We speculate that paths with multiple stages arise from metastable equilibrium states that lie near the kinetic path taken.
- For the four non-equilibrium thermodynamic paths considered here, Path III captures the most Eu3+ ions in the shortest time. This path starts at an initial high-energy non-equilibrium state not far removed from the locus of stable equilibrium states with energy extracted in a heat interaction to a low-temperature reservoir.
Author Contributions
Funding
Data Availability Statement
Acknowledgments
Conflicts of Interest
References
- Diallo, M.S.; Kotte, M.R.; Chot, M. Mining Critical Metals and Elements from Seawater: Opportunities and Challenges. Environ. Sci. Technol. 2015, 49, 9390–9399. [Google Scholar] [CrossRef] [PubMed]
- Archer, W.R.; Fiorito, A.; Heinz-Kunert, S.L.; MacNicol, P.L.; Winn, S.A.; Schulz, M.D. Synthesis and Rare-Earth-Element Chelation Properties of Linear Poly(ethylenimine methylenephosphonate). Macromolecules 2020, 53, 2061–2068. [Google Scholar] [CrossRef]
- Sener, S.E.C.; Thomas, V.M.; Hogan, D.E.; Maier, R.M.; Carbajales-Dale, M.; Barton, M.D.; Karanfil, T.; Crittenden, J.C.; Amy, G.L. Recovery of Critical Metals from Aqueous Sources. ACS Sustain. Chem. Eng. 2021, 9, 11616–11634. [Google Scholar] [CrossRef] [PubMed]
- Barakat, M.A.; Schmidt, E. Polymer-enhanced ultrafiltration process for heavy metals removal from industrial wastewater. Desalination 2010, 256, 90–93. [Google Scholar] [CrossRef]
- Abderrahim, O.; Didi, M.A.; Moreau, B.; Villemin, D. A new sorbent for selective separation of metal: Polyethylenimine methylenephosphonic acid. Solvent Extr. Ion Exch. 2006, 24, 943–955. [Google Scholar] [CrossRef]
- Archer, W.R.; Thompson, T.N.; Schulz, M.D. Effect of Copolymer Structure on Rare-Earth-Element Chelation Thermodynamics. Macromol. Rapid Commun. 2021, 42, 2000614. [Google Scholar] [CrossRef]
- Archer, W.R.; Iftekhar, N.; Fiorito, A.; Winn, S.A.; Schulz, M.D. Synthesis of Phosphonated Polymer Resins for the Extraction of Rare-Earth Elements. ACS Appl. Polym. Mater. 2022, 4, 2506–2512. [Google Scholar] [CrossRef]
- Hu, Y.; Drouin, E.; Larivière, D.; Kleitz, F.; Fontaine, F.G. Highly Efficient and Selective Recovery of Rare Earth Elements Using Mesoporous Silica Functionalized by Preorganized Chelating Ligands. ACS Appl. Mater. Interfaces 2017, 9, 38584–38593. [Google Scholar] [CrossRef] [PubMed]
- Adel, A.H.A.R.; Ibrahim, E.E.A.; Fadia, Y.A.; Mohammed, F.H. Studies on the Uptake of Rare Earth Elements on Polyacrylamidoxime Resins from Natural Concentrate Leachate Solutions. J. Dispers. Sci. Technol. 2010, 31, 1128–1135. [Google Scholar] [CrossRef]
- Florek, J.; Mushtaq, A.; Larivière, D.; Cantin, G.; Fontaine, F.G.; Kleitz, F. Selective recovery of rare earth elements using chelating ligands grafted on mesoporous surfaces. RSC Adv. 2015, 5, 103782–103789. [Google Scholar] [CrossRef]
- Wang, Z.X.; Olmsted, D.L.; Asta, M.; Laird, B.B. Electric potential calculation in molecular simulation of electric double layer capacitors. J.-Phys.-Condens. Matter 2016, 28, 464006. [Google Scholar] [CrossRef]
- Ketkar, P.M.; Shen, K.H.; Hall, L.M.; Epps, T.H. Charging toward improved lithium-ion polymer electrolytes: Exploiting synergistic experimental and computational approaches to facilitate materials design. Mol. Syst. Des. Eng. 2019, 4, 223–238. [Google Scholar] [CrossRef]
- Zhao, F.; Yang, Z.; Wei, Z.; Spinney, R.; Sillanpää, M.; Tang, J.; Tam, M.; Xiao, R. Polyethylenimine-modified chitosan materials for the recovery of La(III) from leachates of bauxite residue. Chem. Eng. J. 2020, 388, 124307. [Google Scholar] [CrossRef]
- Sun, C.B.; Tang, T.; Uludag, H.; Cuervo, J.E. Molecular Dynamics Simulations of DNA/PEI Complexes: Effect of PEI Branching and Protonation State. Biophys. J. 2011, 100, 2754–2763. [Google Scholar] [CrossRef]
- Andreoli, E.; Suzuki, R.; Orbaek, A.W.; Bhutani, M.S.; Hauge, R.H.; Adams, W.; Fleming, J.B.; Barron, A.R. Preparation and evaluation of polyethyleneimine-single walled carbon nanotube conjugates as vectors for pancreatic cancer treatment. J. Mater. Chem. B 2014, 2, 4740–4747. [Google Scholar] [CrossRef]
- Popwell, S.J.; Schulz, M.D.; Wagener, K.B.; Batich, C.D.; Milner, R.J.; Lagmay, J.; Bolch, W.E. Synthesis of Polymeric Phosphonates for Selective Delivery of Radionuclides to Osteosarcoma. Cancer Biother. Radiopharm. 2014, 29, 273–282. [Google Scholar] [CrossRef] [PubMed]
- Zhu, X.P.; Alexandratos, S.D. Development of a new ion-exchange/coordinating phosphate ligand for the sorption of U(VI) and trivalent ions from phosphoric acid solutions. Chem. Eng. Sci. 2015, 127, 126–132. [Google Scholar] [CrossRef]
- Termühlen, F.; Kuckling, D.; Schönhoff, M. Isothermal Titration Calorimetry to Probe the Coil-to-Globule Transition of Thermoresponsive Polymers. J. Phys. Chem. B 2017, 121, 8611–8618. [Google Scholar] [CrossRef]
- Price, T.L.; Gibson, H.W. Supramolecular Pseudorotaxane Polymers from Biscryptands and Bisparaquats. J. Am. Chem. Soc. 2018, 140, 4455–4465. [Google Scholar] [CrossRef] [PubMed]
- Schmidt, K.F.; Kast, S.M. Hybrid integral equation/Monte Carlo approach to complexation thermodynamics. J. Phys. Chem. B 2002, 106, 6289–6297. [Google Scholar] [CrossRef]
- Vaissier Welborn, V.; Archer, W.R.; Schulz, M.D. Characterizing Ion-Polymer Interactions in Aqueous Environment with Electric Fields. J. Chem. Inf. Model. 2023, 63, 2030–2036. [Google Scholar] [CrossRef] [PubMed]
- Carmesin, I.; Kremer, K. The Bond Fluctuation Method - a New Effective Algorithm for the Dynamics of Polymers in All Spatial Dimensions. Macromolecules 1988, 21, 2819–2823. [Google Scholar] [CrossRef]
- Deutsch, H.P.; Binder, K. Interdiffusion and Self-Diffusion in Polymer Mixtures—A Monte-Carlo Study. J. Chem. Phys. 1991, 94, 2294–2304. [Google Scholar] [CrossRef]
- Chen, C.C.; Dormidontova, E.E. Supramolecular polymer formation by metal-ligand complexation: Monte Carlo simulations and analytical modeling. J. Am. Chem. Soc. 2004, 126, 14972–14978. [Google Scholar] [CrossRef] [PubMed]
- Hagy, M.C.; Chen, C.C.; Dormidontova, E.E. Effect of orientational specificity of complexation on the behavior of supramolecular polymers: Theory and simulation. Macromolecules 2007, 40, 3408–3421. [Google Scholar] [CrossRef][Green Version]
- Wilhelm, E.; Battino, R. Estimation of Lennard-Jones [6,12) Pair Potential Parameters from Gas Solubility Data. J. Chem. Phys. 1971, 55, 4012. [Google Scholar] [CrossRef]
- Poling, B.E.; Prausnitz, J.M.; O’Connell, J.P. Properties of Gases and Liquids, 5th ed.; McGraw-Hill Education: New York, NY, USA, 2001. [Google Scholar]
- Li, P.F.; Song, L.F.; Merz, K.M. Parameterization of Highly Charged Metal Ions Using the 12-6-4 LJ-Type Nonbonded Model in Explicit Water. J. Phys. Chem. B 2015, 119, 883–895. [Google Scholar] [CrossRef]
- Rossi, G.; Monticelli, L.; Puisto, S.R.; Vattulainen, I.; Ala-Nissila, T. Coarse-graining polymers with the MARTINI force-field: Polystyrene as a benchmark case. Soft Matter 2011, 7, 698–708. [Google Scholar] [CrossRef]
- Jorgensen, W.L.; Chandrasekhar, J.; Madura, J.D.; Impey, R.W.; Klein, M.L. Comparison of Simple Potential Functions for Simulating Liquid Water. J. Chem. Phys. 1983, 79, 926–935. [Google Scholar] [CrossRef]
- Laury, M.L.; Wang, L.P.; Pande, V.S.; Head-Gordon, T.; Ponder, J.W. Revised Parameters for the AMOEBA Polarizable Atomic Multipole Water Model. J. Phys. Chem. B 2015, 119, 9423–9437. [Google Scholar] [CrossRef]
- Li, Y.W.; Vogel, T.; Wuest, T.; Landau, D.P. A new paradigm for petascale Monte Carlo simulation: Replica exchange Wang-Landau sampling. In Proceedings of the 25th Iupap Conference on Computational Physics (Ccp2013), Moscow, Russia, 20–24 August 2014; Volume 510. [Google Scholar] [CrossRef]
- Vogel, T.; Li, Y.W.; Wust, T.; Landau, D.P. Generic, Hierarchical Framework for Massively Parallel Wang-Landau Sampling. Phys. Rev. Lett. 2013, 110, 210603. [Google Scholar] [CrossRef] [PubMed]
- Wang, F.; Landau, D.P. Efficient, Multiple-Range Random Walk Algorithm to Calculate the Density of States. Phys. Rev. Lett. 2001, 86, 2050–2053. [Google Scholar] [CrossRef] [PubMed]
- Wang, F.; Landau, D.P. Determining the density of states for classical statistical models: A random walk algorithm to produce a flat histogram. Phys. Rev. E 2001, 64, 056101. [Google Scholar] [CrossRef] [PubMed]
- Wüst, T.; Landau, D.P. Optimized Wang-Landau sampling of lattice polymers: Ground state search and folding thermodynamics of HP model proteins. J. Chem. Phys. 2012, 137, 064903. [Google Scholar] [CrossRef]
- Farris, A.C.K.; Wüst, T.; Landau, D.P. Statistical physics meets biochemistry: Wang-Landau sampling of the HP model of protein folding. Am. J. Phys. 2019, 87, 310–316. [Google Scholar] [CrossRef]
- McDonald, J.; von Spakovsky, M.R.; Reynolds, W.T. Entropy-driven microstructure evolution predicted with the steepest-entropy-ascent quantum thermodynamic framework. Acta Mater. 2022, 237, 118163. [Google Scholar] [CrossRef]
- Younis, A.; Baniasadi, F.; von Spakovsky, M.R.; Reynolds, W.T., Jr. Experimental and Theoretical Study of Defect Stability and Kinetics in Two-Dimensional 1T-PtSe2. J. Phys. Condens. Matter 2022, 35, 075703. [Google Scholar] [CrossRef]
- McDonald, J.; von Spakovsky, M.R.; Reynolds, W.T., Jr. Predicting non-equilibrium folding behavior of polymer chains using the steepest-entropy-ascent quantum thermodynamic framework. J. Chem. Phys. 2023, 158, 104904. [Google Scholar] [CrossRef]
- Landau, D.P.; Tsai, S.H.; Exler, M. A new approach to Monte Carlo simulations in statistical physics: Wang-Landau sampling. Am. J. Phys. 2004, 72, 1294–1302. [Google Scholar] [CrossRef]
- Vogel, T.; Li, Y.W.; Wust, T.; Landau, D.P. Scalable replica-exchange framework for Wang-Landau sampling. Phys. Rev. E 2014, 90, 023302. [Google Scholar] [CrossRef]
- Vogel, T.; Li, Y.W.; Landau, D.P. A practical guide to replica-exchange Wang—Landau simulations. J. Phys. Conf. Ser. 2018, 1012, 012003. [Google Scholar] [CrossRef]
- Farris, A.C.K.; Landau, D.P. Replica exchange Wang-Landau sampling of long HP model sequences. Phys. A Stat. Mech. Its Appl. 2021, 569, 125778–125783. [Google Scholar] [CrossRef]
- Hayashi, T.; Okamoto, Y. Efficient simulation protocol for determining the density of states: Combination of replica- exchange Wang-Landau method and multicanonical replica-exchange method. Phys. Rev. E 2019, 100, 043304–043312. [Google Scholar] [CrossRef]
- Thachuk, C.; Shmygelska, A.; Hoos, H.H. A replica exchange Monte Carlo algorithm for protein folding in the hp model. BMC Bioinform. 2007, 8, 342. [Google Scholar] [CrossRef]
- Swendsen, R.H.; Wang, J.S. Replica Monte Carlo simulation of spin-glasses. Phys. Rev. Lett. 1986, 57, 2607–2609. [Google Scholar] [CrossRef] [PubMed]
- Geyer, C.J. Markov Chain Monte Carlo Maximum Likelihood. In Interface Foundation of North America; University of Minnesota Digital Conservancy: Saint Paul, MN, USA, 1991; Available online: https://hdl.handle.net/11299/58440 (accessed on 9 January 2024).
- Hukushima, K.; Nemoto, K. Replica Monte Carlo simulation of spin-glasses. J. Phys. Soc. Jpn. 1996, 65, 1604–1608. [Google Scholar] [CrossRef]
- Zhou, C.; Su, J. Optimal modification factor and convergence of the Wang-Landau algorithm. Phys. Rev. E 2008, 78, 046705. [Google Scholar] [CrossRef]
- Beretta, G.P.; Gyftopoulos, E.P.; Park, J.L.; Hatsopoulos, G.N. Quantum Thermodynamics—A New Equation of Motion for a Single Constituent of Matter. Nuovo Cimento B 1984, 82.2, 169–191. [Google Scholar] [CrossRef]
- Li, G.; von Spakovsky, M.R. Generalized thermodynamic relations for a system experiencing heat and mass diffusion in the far-from-equilibrium realm based on steepest entropy ascent. Phys. Rev. E 2016, 94, 032117. [Google Scholar] [CrossRef]
- Li, G.; von Spakovsky, M.R.; Hin, C. Steepest entropy ascent quantum thermodynamic model of electron and phonon transport. Phys. Rev. B 2018, 97, 024308. [Google Scholar] [CrossRef]
- Yamada, R.; von Spakovsky, M.R.; Reynolds, W.T., Jr. Kinetic pathways of ordering and phase separation using classical solid state models within the steepest-entropy-ascent quantum thermodynamic framework. Acta Mater. 2020, 182, 87–99. [Google Scholar] [CrossRef]
- Beretta, G.P. Nonlinear model dynamics for closed-system, constrained, maximal-entropy-generation relaxation by energy redistribution. Phys. Rev. E 2006, 73, 026113. [Google Scholar] [CrossRef] [PubMed]
- Beretta, G.P. Nonlinear Quantum Evolution Equations to Model Irreversible Adiabatic Relaxation with Maximal Entropy Production and Other Nonunitary Processes. Rep. Math. Phys. 2009, 64, 139–168. [Google Scholar] [CrossRef]
- Li, G.; von Spakovsky, M.R. Steepest-entropy-ascent quantum thermodynamic modeling of the relaxation process of isolated chemically reactive systems using density of states and the concept of hypoequilibrium state. Phys. Rev. E 2016, 93, 012137. [Google Scholar] [CrossRef] [PubMed]
- Beretta, G.P.; Gyftopoulos, E.P.; Park, J.L. Quantum Thermodynamics—A New Equation of Motion for a General Quantum System. Nuovo C. Della Soc. Ital. Fis. B-Gen. Phys. Relativ. Astron. Math. Phys. Methods 1985, 87, 77–97. [Google Scholar] [CrossRef]
- Gyftopoulos, E.P.; Cubukcu, E. Entropy: Thermodynamic definition and quantum expression. Phys. Rev. E 1997, 55, 3851–3858. [Google Scholar] [CrossRef]
- Worden, J.; von Spakovsky, M.R.; Hin, C. Predicting coupled electron and phonon transport in using steepest-entropy-ascent quantum thermodynamics. arXiv 2023, arXiv:2307.12478. [Google Scholar]
- Montañez Barrera, J.A.; von Spakovsky, M.R.; Damian-Ascencio, C.E.; Cano-Andrade, S. Decoherence predictions in a superconductive quantum device using the steepest-entropy-ascent quantum thermodynamic framework. Phys. Rev. A 2022, 106, 032426. [Google Scholar] [CrossRef]
- McDonald, J.; von Spakovsky, M.R.; Reynolds, W.T., Jr. Predicting Polymer Brush Behavior in Solvents using the Steepest-Entropy-Ascent Quantum Thermodynamic Framework. J. Phys. Chem. B 2023, 127, 10370–10391. [Google Scholar] [CrossRef]
- Karayiannis, N.C.; Mavrantzas, V.G.; Theodorou, D.N. A Novel Monte Carlo Scheme for the Rapid Equilibration of Atomistic Model Polymer Systems of Precisely Defined Molecular Architecture. Phys. Rev. Lett. 2002, 88, 105503. [Google Scholar] [CrossRef]
- Pant, P.K.; Theodorou, D.N. Variable connectivity method for the atomistic Monte Carlo simulation of polydisperse polymer melts. Macromolecules 1995, 28, 7224–7234. [Google Scholar] [CrossRef]
- Folmer, B.J.; Sijbesma, R.P.; Meijer, E.W. Unexpected entropy-driven ring-opening polymerization in a reversible supramolecular system. J. Am. Chem. Soc. 2001, 123, 2093–2094. [Google Scholar] [CrossRef] [PubMed]
- Vermonden, T.; van der Gucht, J.; de Waard, P.; Marcelis, A.T.; Besseling, N.A.; Sudhölter, E.J.; Fleer, G.J.; Cohen Stuart, M.A. Water-soluble reversible coordination polymers: Chains and rings. Macromolecules 2003, 36, 7035–7044. [Google Scholar] [CrossRef]













| Molecule Pair Types | Pair Potential Function | Parameters | |||
|---|---|---|---|---|---|
| van der Waals PEI : MP : Eu : H : O | Å, K K K K K | a,b,c | |||
| intra-chain monomer | Å | d | |||
| Coulomb PEI : MP : Eu : H : O | e | f,g | |||
Disclaimer/Publisher’s Note: The statements, opinions and data contained in all publications are solely those of the individual author(s) and contributor(s) and not of MDPI and/or the editor(s). MDPI and/or the editor(s) disclaim responsibility for any injury to people or property resulting from any ideas, methods, instructions or products referred to in the content. |
© 2024 by the authors. Licensee MDPI, Basel, Switzerland. This article is an open access article distributed under the terms and conditions of the Creative Commons Attribution (CC BY) license (https://creativecommons.org/licenses/by/4.0/).
Share and Cite
McDonald, J.; von Spakovsky, M.R.; Reynolds, W.T. Predicting Ion Sequestration in Charged Polymers with the Steepest-Entropy-Ascent Quantum Thermodynamic Framework. Nanomaterials 2024, 14, 458. https://doi.org/10.3390/nano14050458
McDonald J, von Spakovsky MR, Reynolds WT. Predicting Ion Sequestration in Charged Polymers with the Steepest-Entropy-Ascent Quantum Thermodynamic Framework. Nanomaterials. 2024; 14(5):458. https://doi.org/10.3390/nano14050458
Chicago/Turabian StyleMcDonald, Jared, Michael R. von Spakovsky, and William T. Reynolds. 2024. "Predicting Ion Sequestration in Charged Polymers with the Steepest-Entropy-Ascent Quantum Thermodynamic Framework" Nanomaterials 14, no. 5: 458. https://doi.org/10.3390/nano14050458
APA StyleMcDonald, J., von Spakovsky, M. R., & Reynolds, W. T. (2024). Predicting Ion Sequestration in Charged Polymers with the Steepest-Entropy-Ascent Quantum Thermodynamic Framework. Nanomaterials, 14(5), 458. https://doi.org/10.3390/nano14050458

