Next Article in Journal
Gap-Free Tuning of Second and Third Harmonic Generation in Mechanochemically Synthesized Nanocrystalline LiNb1−xTaxO3 (0 ≤ x ≤ 1) Studied with Nonlinear Diffuse Femtosecond-Pulse Reflectometry
Previous Article in Journal
Novel Ag-Bridged Z-Scheme CdS/Ag/Bi2WO6 Heterojunction: Excellent Photocatalytic Performance and Insight into the Underlying Mechanism
Previous Article in Special Issue
Integrated Ozonation Ni-NiO/Carbon/g-C3N4 Nanocomposite-Mediated Catalytic Decomposition of Organic Contaminants in Wastewater under Visible Light
 
 
Font Type:
Arial Georgia Verdana
Font Size:
Aa Aa Aa
Line Spacing:
Column Width:
Background:
Article

Series Solutions of Three-Dimensional Magnetohydrodynamic Hybrid Nanofluid Flow and Heat Transfer

National Key Laboratory of Petroleum Resources and Engineering, China University of Petroleum (Beijing), Beijing 102249, China
*
Author to whom correspondence should be addressed.
Nanomaterials 2024, 14(3), 316; https://doi.org/10.3390/nano14030316
Submission received: 31 December 2023 / Revised: 29 January 2024 / Accepted: 2 February 2024 / Published: 4 February 2024

Abstract

Hybrid nanofluids have many real-world applications. Research has shown that mixed nanofluids facilitate heat transfer better than nanofluids with one type of nanoparticle. New applications for this type of material include microfluidics, dynamic sealing, and heat dissipation. In this study, we began by placing copper into H2O to prepare a Cu-H2O nanofluid. Next, Cu-H2O was combined with Al2O3 to create a Cu-Al2O3-H2O hybrid nanofluid. In this article, we present an analytical study of the estimated flows and heat transfer of incompressible three-dimensional magnetohydrodynamic hybrid nanofluids in the boundary layer. The application of similarity transformations converts the interconnected governing partial differential equations of the problem into a set of ordinary differential equations. Utilizing the homotopy analysis method (HAM), a uniformly effective series solution was obtained for the entire spatial region of 0 < η < ∞. The errors in the HAM calculation are smaller than 1 × 10−9 when compared to the results from the references. The volume fractions of the hybrid nanofluid and magnetic fields have significant impacts on the velocity and temperature profiles. The appearance of magnetic fields can alter the properties of hybrid nanofluids, thereby altering the local reduced friction coefficient and Nusselt numbers. As the volume fractions of nanoparticles increase, the effective viscosity of the hybrid nanofluid typically increases, resulting in an increase in the local skin friction coefficient. The increased interaction between the nanoparticles in the hybrid nanofluid leads to a decrease in the Nusselt number distribution.

1. Introduction

With the rapid development of global industrial technologies, the heat transfer load and intensity of heat exchangers are increasing day by day, and the energy consumed during heat transfers is increasing. Shortages of energy have become a major bottleneck, limiting the continued development of industry. Traditional heat exchangers use water, oil, and other cooling media, which have the disadvantage of low efficiency, and the development of macroscopic-scale-enhanced heat transfer technology has reached a certain height and is close to saturation. Therefore, developing new heat transfer refrigerants with high thermal conductivity and good heat transfer performance has become a major focus of current heat transfer technology [1]. The application of thermal energy in the field of petroleum engineering mainly involves the direct utilization or the direct transfer of thermal energy, which is part of the application problem of thermodynamics. Using the principles of heat transfer to select the casing, cement, and various other materials, various oil and gas production and safety processes, among other things, can be determined. For example, the flow and heat transfer laws of nanofluid drilling fluids in the wellbore can be studied to determine the temperature variation in the drilling fluid with the well depth, further determining the composition of the nanofluid drilling fluid.
Alfvén first introduced the term magnetohydrodynamics (MHD) in 1970 [2]. The study of magnetohydrodynamics involves examining the current generated when conductive fluids are in motion and subjected to a magnetic field. This current then applies forces to the ions within conductive fluids. The design of liquid metal refrigeration systems, MHD generators, accelerators, pumps, and flow meters [3,4] can be utilized in various fields. Nanofluids exhibit some new characteristics in porous extended planes; these can significantly improve the heat exchange characteristics of the original base fluids, including microelectronics, fuel cells, pharmaceutical manufacturing, and hybrid locomotives. Nanoparticles serve as a valuable link connecting granular substances and atomic/molecular formations. The involvement of heat exchange is significant in the realms of physics and engineering, ultimately enhancing fluids’ heat exchange properties and bolstering the efficacy of numerous manufacturing procedures [5,6,7,8]. The investigation of the thermal transfer of MHD nanofluids is significant in the fields of physics and engineering. The magnetic field parameters of magnetic fluids (MHD) are one of the key parameters controlling the cooling rate and product quality [9]. Nanofluids have some applications in the polymer and metallurgical industries, such as in handling the stretching of plastic plates and utilizing hydraulic magnetic technology. Nanofluids are utilized to cool microchips, and other electronic applications of microfluidics are seen in the domains of computers and microelectronics [10,11,12]. As superparamagnetic fluids, nanofluids containing magnetic nanoparticles absorb energy and control high temperatures through the interaction of electromagnetic fields. Nanofluids are used as coolants in small-sized and more properly wired heat sinks. Due to their small size, magnetic nanoparticles exhibit behavior similar to compounds in liquids. The fluid contains micron-sized solid particles; magnetic nanomaterials have many advantages not found in traditional heat transfer fluids, such as stable suspension, a high heat transfer coefficient, and resistance to the erosion and blockage of pipelines. When subjected to external magnetic fields, magnetic nanoparticles experience deviation and alignment in the same direction as these magnetic fields, resulting in the formation of various chain-like structures including dimers, trimers, and short chains. The arrangement of these chain-like formations can create a pathway for the heat transfer of magnetic nanofluids, consequently enhancing their thermal conductivity capabilities [13,14,15,16].
Both domestically and internationally, there is a scarcity of research on the utilization of magnetic nanofluids for improved heat transfer. Regarding magnetic nanofluids, especially those under magnetic excitation, experimental, simulation-based, and theoretical research are, both domestically and internationally, still in an immature stage, and there are even differences in the existing research results. The complexity of turbulent convective heat transfer is not well studied, with limited simulation and experimental research conducted on the subject. Using Fe3O4 nanofluids as the heat transfer medium, Lajvardi et al. [17] studied their heat transfer properties, focusing on convective effects. Furthermore, the concentration of the magnetic nanoparticles and the position of the magnet were analyzed for their effect on heat transfer. The results indicated that increasing the magnetic fields of the fluid concentration could significantly increase the Nusselt number, due to changes in the magnetic field properties; the magnetic fluids changed significantly in terms of their thermal properties. Yarahadi et al. [18] investigated the convective heat transfer of ferromagnetic fluids with concentrations ranging from 1.25% to 2.5%. When the magnetic fields were constant and alternating, a laminar flow (with a Reynolds number ranging from 465 to 1600) was observed. When exposed to magnetic fields, the convective heat transfer coefficient underwent a 12.4% rise.
Raptis and Perdikis [19] investigated the heat transfer of a magnetofluid via laminar convection. They examined the behavior of incompressible viscous conductive fluids under the influence of chemical reactions and magnetic fields. Prasad and Vajravelu [20] conducted a study on the flow of magnetohydrodynamic boundary layers and the heat transfer of power-law fluids on extensional surfaces, specifically focusing on a two-dimensional stable flow on a nonlinear semi-infinite extension plane. Prasad et al. provided numerical solutions [21] for the mixed convective flow of viscous conductive fluids through vertical flat plates in a stable two-dimensional MHD scenario. They assumed that the stretching velocities and transverse magnetic fields were power functions of the distance to the origin. A similar reduction was provided by Hamad et al. [22], who applied a solitary parameter group to address the issue of the magnetic field’s impact on the free convection of semi-infinite flat nanofluids. Using a rotating reference frame, Hamad and Pop [23] investigated the concept of the unsteady magnetohydrodynamic flows of nanofluids on vertical plates that were semi-infinite and experienced permeable oscillation motion, while being subjected to a constant heat source. Hamad [24] obtained analytical solutions for the convection and heat exchange of incompressible viscous nanofluids flowing through a semi-infinite stretching plane under the action of magnetic fields. The Adomian decomposition method (ADM) was employed by Sheikholeslami et al. [25] to examine the impacts of a magnetic field and nanoparticles on Jeffery–Hamel flows. The problem model’s control equations meant that the conventional Navier–Stokes equations and Maxwell electromagnetic equations were simplified into nonlinear ordinary differential equations. Unlike the Runge–Kutta numerical method, this method was able to obtain high-precision results. Using viscous nanofluids, Rosmila et al. [26] studied MHD natural convection and heat transfer flowing through a semi-infinite vertical extension plane, accounting for thermal stratification. The numerical solutions were generated using the Runge–Kutta–Gill method, based on the shooting method. Hamad et al. [27] examined the flow and heat exchange of the boundary layer of a viscous fluid containing metal particles (i.e., a nanofluid) when it flows through a nonlinear stretching plane. This assumes that the rate of stretching is governed by an exponential equation of the distance from the starting point. The problem was numerically solved, obtaining a nonlinear ordinary differential equation.
Farooq et al. [28] analyzed magnetohydrodynamic non-Newtonian Maxwell fluids with nanomaterials that exhibit exponential stretching on the surface. Based on the Buongiorno model, combined with thermal swimming and Brownian motion effects, nonlinear ordinary differential equations were derived from partial differential equations via adequate similarity transformations. BVPh 2.0 was employed to compute local series solutions for extensive control parameters. In the presence of nanoparticles, studies of non-Newtonian Maxwell fluids’ stretching surfaces could be used to obtain the required mass. Xu et al. [29] conducted data analysis using numerical methods on the magnetohydrodynamic (MHD) flows of nanofluids on an extension/contraction wedge. The results indicated that the wedge body only has a unique solution under tension, and, theoretically, there would be no boundary-layer separation. Within a certain range of contraction intensity, there are double solutions, and boundary-layer separation occurs at the wall during the boundary-layer flow. Wall suction could delay boundary-layer separation. The characteristics of the magnetic field had notable effects on the friction coefficient of a stressed wedge, while only slightly influencing the local Nusselt and Sherwood numbers. Numerical simulations were performed by Hao et al. [30], who used the MHD module in Fluent software to conduct convective heat transfer experiments with Fe3O4 water nanofluids diluted by 3%. The nanofluids were examined under non-uniform magnetic excitations to determine their enhanced heat transfer characteristics. Various vertical uniform magnetic fields were examined with varying magnetic field intensities; the magnetic field intensities remained constant in vertical alternating magnetic fields. The findings of the study indicated that, as the frequency increased, there was a decrease in both the Nusselt number and the convective heat transfer coefficient. Nanofluids with lower Reynolds numbers exhibited a more significant response to changes in the magnetic field frequency. The biological conversion phenomenon of MHD Williamson nanofluids flowing on irregularly thick extension sheets was theoretically studied by Wang et al. [31], who accounted for temperature-dependent non-uniform viscosity and thermal conductivity. A uniformly strong magnetic field produced MHD effects. Ali et al. [32] investigated flows of MHD nanofluids on nonlinear stretchable surfaces of different thicknesses in the presence of electric fields. The findings suggested that the speed of the nanoparticles declined as the strength of the magnetic fields increased. However, as the electric field’s values increased, the temperature of the nanomaterials also increased, as did the velocity distribution. There was an enhancement of the temperature field due to the radiation parameters. When the fluid temperatures rose, the spatial and temporal factors associated with heat generation, absorption, and emission became more evident.
Rajesh et al. [33] investigated energy enhancement using hybrid nanofluids. Their goal was to find an accurate analytical solution for a non-stationary mixed nanofluid with the heat transfer flowing through an infinitely flat vertical plate with a time-varying tilted temperature distribution. To investigate whether thermal radiation and non-uniform heat flux affect the flow of hybrid nanofluids, Ali et al. [34] conducted experiments with magnetohydrodynamics characteristics around a cylinder that was being stretched. According to Jaafar et al. [35], the hybrid nanofluids exhibited steady flows and heat transfer characteristics with nonlinear contracting behavior, in a study that considered the effects of magnetohydrodynamics, thermal radiation, and suction. MHD hybrid nanofluids were examined by Khashi’ie et al. [36], who focused on the movement of a plate with Joule heating. In order to accomplish the study’s objectives, water was utilized as the primary liquid medium, in conjunction with nanoparticles made of metal and metal oxide. Rafique et al. [37] studied the flows of three-dimensional mixed nanofluids on stretched sheets with varying viscosities. Furthermore, the impacts of the Smoluchowski temperature and the implementation of Maxwell velocity slip boundary conditions were also taken into account. Prakash et al. [38] studied the magnetohydrodynamic stagnation flows in the direction of the exponential contraction of thin plates. This research was further enhanced by the inclusion of heat dissipation and thermal radiation. Khashi’ie et al. [36] focused on the movement of a plate undergoing Joule heating, along with the heat transfer of MHD hybrid nanofluids. Their analysis involved the utilization of a mixture comprising copper (Cu) and aluminum oxide (Al2O3) nanoparticles, with water (H2O) used as the underlying liquid. By employing similarity transformation, the complexity of the partial differential equations was diminished to systems of ordinary differential equations. Subsequently, functions of bvp4c in MATLAB were utilized to solve various control parameter values via numerical methods. Lone et al. [39] explored the mixed convection of MHD microelectrode mixed nanofluids through fat surfaces. The flows of a hybrid nanofluid consisting of nanoparticles of alumina and silver were made with water as the base fluid. Suction and injection effects were both experienced by the board when it was positioned vertically in the permeable medium. As well as taking into account viscous dissipation, thermal radiation, and Joule heating, the analysis also considered other factors. Model equations were converted into a dimensionless form using specific similarity variables, and they were solved using the homotopy analysis method (HAM). Roy [40] investigated the convective heat transfer of hybrid nanofluids in an outer shell containing multiple heat sources on the bottom wall. In the study, a magnetic field was applied at a specific angle relative to the horizontal axis in order to observe the natural convection phenomenon. Dimensionless variables and parameters were utilized to systematically establish a set of equations, while also defining flow functions based on velocity components. Subsequently, the solution derived from the finite difference technique was verified using both experimental and numerical data, demonstrating a high level of agreement. Using the proposed model, Alghamdi et al. [41] investigated the influence of MHD on the convection patterns of a heat source and a radiator. The nanofluid was able to consistently exit, purify, compress, and enlarge because the edges of the channels were permeable. Suitable modifications were employed to convert and control partial differential equations and boundary conditions that were relevant to the computations. The researchers utilized the sophisticated HAM to obtain analytical approximations for nonlinear differential equation systems. The main area of study was the smooth movement of mixed copper and copper oxide nanoliquids within a rectangular region between two permeable channels, with blood acting as the fluid that carried them. This method could be used to study drug delivery, flow dynamics, and microcirculation mechanisms. A study carried out by Ramzan et al. [42] examined the movement of carbon-nanotube-based hybrid nanofluids and dust particles suspended in oil on slender needles using the Xue model. In addition, this analysis investigated the impacts of varying thicknesses and Hall currents. The temperature equation was modified by incorporating the Cattaneo–Christov theory and considering the impact of thermal slip-on heat generation for the purpose of conducting a heat transfer analysis. Using the Tiwari Das nanofluid model, a hypothetical mathematical equation was developed. A similarity transformation was applied to convert the control equation for flow into ordinary differential equations. It was determined using bvp4c and the Runge–Kutta shooting method. An investigation conducted by Waini et al. [43] found that vertically contracting thin plates will experience magnetohydrodynamic mixed convection due to thermal radiation. In addition, the influence of Cu and Al2O3 nanoparticles and dust particles was considered. The control equation was simplified into a similar equation using similar variables and then numerically solved. An experiment conducted by Revnic et al. [44] compared the effects of a magnetic field and heat transfer on a hybrid nanofluid (Cu-Al2O3–water) inside a square cavity. The walls of the cavity varied in temperature, with the vertical wall being cooler than the middle section of the bottom wall. In the remaining sections of the upper and lower walls, insulation was applied. This study used finite element technology to conduct numerical simulations. The Tiwari Das model was used by Khan et al. [45], who examined how nanoparticles’ shape, viscous dissipation, and nonlinear radiation affect particle behavior. Similarity transformation was used to derive the control equation, and numerical calculations of the flow and temperature fields were performed using MATLAB. The asymptotic tendencies of the high shear strain rate ratio were compared with the numerical solution of the flow field. Ramzan et al. [46] investigated the effect of the flow of a magnetohydrodynamic ternary mixed nanofluid on two different geometric shapes (conical and wedge shaped), taking into account the effects of chemical reactions and thermal radiation. Rafique et al. [47] synthesized ternary hybrid nanoparticles by combining Al2O3, Cu, and TiO2, and then they studied their behavior in the presence of symmetric stretching discs in H2O. They analyzed the effects of many parameters on coolant applications, including the MHD stagnation flow, ternary mixed nanofluids, viscous dissipation, variable viscosity, thermal stratification, and velocity slip conditions.

2. Mathematical Description

Consider steady, three-dimensional mixed convection flows of nanofluids past stretching sheets in the presence of an applied magnetic field. A schematic diagram of a physical model and a coordinate system is shown in Figure 1. Here, consider three different types of nanoparticles: Cu and Al2O3 are shown in Table 1. Assuming that hybrid nanofluids are incompressible and the flows are laminar, the velocities of the stretching sheets are u w = a x in x and v w = b y in y, and a uniform external magnetic field B is applied in z. The surface temperature has a constant value of T w and the ambient temperature is T , where T w > T . Using the hybrid nanofluid model proposed by Wainia et al. [48] and referring to Xu and Zhao et al. [49,50], the governing equations are given as follows:
u x + v y + w z = 0 ,
u u x + v u y + w u z = μ h n f ρ h n f 2 u z 2 σ h n f B 2 u ρ h n f ,
u v x + v v y + w v z = μ h n f ρ h n f 2 v z 2 σ h n f B 2 v ρ h n f ,
u T x + v T y + w T z = α h n f 2 T z 2 .
They are subject to the following boundary conditions:
u x , y , 0 = u w = a x , v x , y , 0 = v w = b y , w x , y , 0 = 0 ,
u x , y , = v x , y , = 0 , T x , y , 0 = T w , T x , y , = T ,
where u , v , w are the velocity components in axes x , y , z , T is the temperature of the hybrid nanofluid, σ is the electrical conductivity, and a , b , B represent positive constants. μ h n f , ρ h n f , α h n f are the effective hybrid nanofluid viscosity, and they are defined as follows:
μ h n f = μ f 1 ϕ 1 2.5 1 ϕ 2 2.5 , α h n f = k h n f ρ C p h n f ,
ρ h n f = ( 1 ϕ 2 ) [ ( 1 ϕ 1 ) ρ f + ϕ 1 ρ n 1 ] + ϕ 2 ρ n 2 ,
( ρ C p ) h n f = ( 1 ϕ 2 ) [ ( 1 ϕ 1 ) ( ρ C p ) f + ϕ 1 ( ρ C p ) n 1 ] + ϕ 2 ( ρ C p ) n 2 ,
k h n f k n f = k n 2 + 2 k n f 2 ϕ 2 k n f k n 2 k n 2 + 2 k n f + ϕ 2 k n f k n 2 , k n f k f = k n 1 + 2 k f 2 ϕ 1 k f k n 1 k n 1 + 2 k f + ϕ 1 k f k n 1 ,
σ h n f σ n f = σ n 2 + 2 σ n f 2 ϕ 2 σ n f σ n 2 σ n 2 + 2 σ n f + ϕ 2 σ n f σ n 2 , σ n f σ f = σ n 1 + 2 σ f 2 ϕ 1 σ f σ n 1 σ n 1 + 2 σ f + ϕ 1 σ f σ n 1 .
μ t n f = μ f 1 ϕ 1 2.5 1 ϕ 2 2.5 1 ϕ 3 2.5 , α t n f = k t n f ρ C p t n f ,
ρ t n f = ( 1 ϕ 3 ) ( 1 ϕ 2 ) [ ( 1 ϕ 1 ) ρ f + ϕ 1 ρ n 1 ] + ϕ 2 ρ n 2 + ϕ 3 ρ n 3 ,
( ρ C p ) t n f = ( 1 ϕ 3 ) ( 1 ϕ 2 ) [ ( 1 ϕ 1 ) ( ρ C p ) f + ϕ 1 ( ρ C p ) n 1 ] + ϕ 2 ( ρ C p ) n 2 + ϕ 3 ( ρ C p ) n 3 ,
k t n f k h n f = k n 3 + 2 k h n f 2 ϕ 3 k h n f k n 3 k n 3 + 2 k h n f + ϕ 3 k h n f k n 3 ,
k h n f k n f = k n 2 + 2 k n f 2 ϕ 2 k n f k n 2 k n 2 + 2 k n f + ϕ 2 k n f k n 2 , k n f k f = k n 1 + 2 k f 2 ϕ 1 k f k n 1 k n 1 + 2 k f + ϕ 1 k f k n 1 ,
σ t n f σ h n f = σ n 3 + 2 σ h n f 2 ϕ 3 σ h n f σ n 3 σ n 3 + 2 σ h n f + ϕ 3 σ h n f σ n 3 ,
σ h n f σ n f = σ n 2 + 2 σ n f 2 ϕ 2 σ n f σ n 2 σ n 2 + 2 σ n f + ϕ 2 σ n f σ n 2 , σ n f σ f = σ n 1 + 2 σ f 2 ϕ 1 σ f σ n 1 σ n 1 + 2 σ f + ϕ 1 σ f σ n 1 .
where μ f is the base fluid viscosity, ϕ 1 , ϕ 2 , ϕ 3 are the hybrid nanofluid volume fractions of Cu-Al2O3-TiO2-H2O, ρ is the density, k is the thermal conductivity, ρ C p is the heat capacitance, σ h n f is the electrical conductivity of hybrid nanofluid [40], σ t n f is the electrical conductivity of the ternary hybrid nanofluid [46,47], the subscript t n f means ternary hybrid nanofluid, h n f means hybrid nanofluid, n f means nanofluid, f means base fluid, and n means nanoparticle. μ n f in Equation (6) is obtained from [52], Equation (7) is obtained from [46,47], and k n f is assumed by the Maxwell–Garnett model [53]. Additionally, only spherical nanoparticles are considered in terms of their shape.
The subsequent similarity conversions are as follows:
η = z a ν f , u x , y , z = a x f η , v x , y , z = a y g η ,
w x , y , z = a ν f f + g , T x , y , z = T + T w T s η .
Equations (2)–(4) are simplified accordingly:
ζ 1 f η + f η f η + g η f η 2 M f η = 0 ,
ζ 1 g η + g η f η + g η g η 2 M g η = 0 ,
ζ 2 Pr s η + s η f η + g η = 0 .
The dimensionless boundary conditions are as follows:
f 0 = 0 , f 0 = 1 , f = 0 ,
g 0 = 0 , g 0 = c , g = 0 ,
s 0 = 1 , s = 0 ,
where
M = σ h n f B 2 ρ h n f a , Pr = ν f α h n f , c = b a 0 ,
ζ 1 = 1 1 ϕ 1 2.5 1 ϕ 2 2.5 ρ h n f / ρ f , ζ 2 = k h n f / k f ρ C p h n f / ρ C p f .
Skin friction coefficients along x and y and the Nusselt number can be expressed as follows:
C f x = τ x ρ f u w 2 , C f y = τ y ρ f u w 2 , N u = x q w k f T w T ,
where τ x , τ y refer to the shear stresses in the x, y directions, and q is the heat flux from the stretching sheets, which is given by
τ x = μ h n f u z z = 0 , τ y = μ h n f v z z = 0 , q w = k h n f T z z = 0 .
Using (8), (17) and (18), we obtain the following:
C f x = Re x 1 / 2 1 ϕ 1 2.5 1 ϕ 2 2.5 f 0 , C f y = Re y 1 / 2 c 1.5 1 ϕ 1 2.5 1 ϕ 2 2.5 g 0 ,
N u x = Re x 1 / 2 k h n f k f s 0 , N u y = Re y 1 / 2 k h n f c 0.5 k f s 0 ,
in which Re x = u w x / ν f and Re y = v w y / ν f are local Reynolds numbers.

3. Asymptotic Analysis and Results

Following Takhar [54], we investigate the asymptotic behavior of f , g , and s at infinity. For large η , f 0 , g 0 , s 0 , and the boundary conditions of (12)–(14), we obtain
lim η f α 1 , lim η g α 2 .
For large η , suppose that F , G , S are small, and f , g , s are expressed as
f = α 1 + F , g = α 2 + G , s = S ,
and
α 3 = α 1 + α 2 .
By linearizing Equations (9)–(11), we obtain
ζ 1 F + α 3 F M F = 0 ,
ζ 1 G + α 3 G M G = 0 ,
ζ 2 Pr S + α 3 S = 0 .
Due to (21), the boundary conditions are given by
F = G = S = 0 a s η .
Combined with the boundary conditions (26), we obtain
F = G = B 1 exp λ 1 η , S = B 2 exp λ 2 η ,
where λ 1 = α 3 + α 3 2 + 4 ε 1 M 2 ζ 1 , λ 2 = α 3 Pr ζ 2 , and B 1 and B 2 are some arbitrary constants. If α 3 > 0 , F , G , S (or f , g , s ), there is exponential decay to zero as η .
Using the homotopy analysis method (HAM) [55], Equations (9)–(11) can be solved with the boundary conditions (12)–(14). There is extensive literature introducing the analytical technique and its applications; hence, we provide only the necessary information regarding the HAM process. From a physics perspective, f , g , and s represent the reduced velocity and temperature; therefore, α 3 > 0 always holds. It is known that most of the boundary-layer problems decay exponentially. Therefore, the solution should contain the term exp n η , n 1 . f η , g η , and s η can be expressed as follows:
η m e n λ η m 0 , n 0 ,
f η = m = 0 + n = 0 + a m , n η m e n λ η , g η = m = 0 + n = 0 + b m , n η m e n λ η ,
s η = m = 0 + n = 0 + c m , n η m e n λ η ,
where a m , n , b m , n , and c m , n are coefficients, and λ is a spatial-scale parameter. Based on the rules of the solution expressions and the boundary conditions (12)–(14), we select the following as initial approximations:
f 0 η = 1 e λ η λ , g 0 η = c 1 e λ η λ ,
s 0 η = e λ η .
Auxiliary linear operators are chosen in the following manner:
L f ϕ = 3 ϕ η 3 λ 2 ϕ η , L g γ = 3 γ η 3 λ 2 γ η ,
L s θ = 2 θ η 2 λ 2 θ ,
with the definition of three residual error functions as follows:
E r r 1 = 0 ζ 1 f + f + g f f 2 M f 2 d η ,
E r r 2 = 0 ζ 1 g + f + g g g 2 M g 2 d η ,
E r r 3 = 0 ζ 2 Pr s + f + g s 2 d η .
The advantages of HAM technology over other methods are as follows [46,56,57]: HAM methods are used for weak and strong nonlinear problems. Moreover, HAM technology is independent of size constraints. Using HAM, any nonlinear partial differential equation system can be solved without linearization and discretization. By using HAM technology, the convergence solution and series solution of the system were obtained. In order to obtain a series solution, the homotopy analysis method was used; it is uniformly effective across the entire spatial region 0 < η < ∞. When ϕ 1 = ϕ 2 = 0 of the hybrid nanofluid Cu-Al2O3-H2O, M = 0 , Pr = 1 , the comparison of the 20th-order HAM determined the parameters λ = 1 , = 0.7 with reference to Wang’s data [58]; the results are shown in Table 2. In this special case of the Newtonian fluid of water, we observe the three-dimensional fluid motion caused by the stretching of the plane boundary. The series solution obtained using the homotopy analysis method compares favorably with the results from the literature. The HAM residual errors are less than 1 × 10−7. As the volume fractions of the nanoparticles ϕ 1 , ϕ 2 , ϕ 3 increase, the series solutions of the velocity profiles and temperature distributions are impacted. The shapes of nanoparticles also affect the calculation results, and only spherical particles are considered in this study.
As shown in Figure 2, when ϕ 1 = 0.1 , ϕ 2 = 0 of the hybrid nanofluid Cu-Al2O3-H2O, with Pr = 1 , c = 0.5 , and the determined parameters λ = 0.6 , = 0.35 , the series solution obtained is uniformly effective in the various orders of HAM computation. Residual errors for the mth-order HAM computation and CPU times (Lenovo P720) are shown in Table 3. For the first-order HAM, the residual errors are E r r 1 = 0.15849, E r r 2 = 0.15849, and E r r 3 = 0.00251. As the mth order of the HAM-approximated analytical solution increases, the residual errors gradually decrease. When m < 15, the relationship of the three residual errors is E r r 1 > E r r 2 > E r r 3 . For the fifteenth-order HAM, the residual errors are between 3.98107 × 10−5 and 7.94328 × 10−6, with CPU times of 127.641 s. Then, E r r 3 begins to exceed E r r 2 . When m > 25, the relationship of the three residual errors is E r r 3 > E r r 1 > E r r 2 . Compared with the hybrid nanofluid flow equations, the convergence speed of the coupled temperature equation is slower. For the 30th-order HAM, the residual errors are between 1.62181 × 10−8 and 3.98107 × 10−9, with CPU times of 4006.94 s (more than 30 times the 15th-order calculation). ϕ 1 , ϕ 2 describe the physical quantity of the volume fraction of the solid Cu and Al2O3 nanoparticles in the hybrid nanofluid Cu-Al2O3-H2O. ϕ 1 = ϕ 2 = 0 represents the Newtonian fluid of water, and ϕ 1 , ϕ 2 ≥ 0 represents hybrid nanofluids. An analysis of the influence of the nanoparticle volume fraction ϕ 1 , ϕ 2 on the velocity profiles of f η , g η and temperature distributions s η is shown in Figure 3. The solid lines represent velocity profiles f η , the dashed lines show the velocity profiles g η , and the dashed dots show the temperature profiles s η . When ϕ 1 , ϕ 2 increases from 0 to 0.1, the velocity profiles f η , g η decrease. As the concentration of nanoparticles increases, a decrease in velocity can be observed. As shown in Figure 4, when ϕ 1 , ϕ 2 increases from 0 to 0.1, the temperature profile s η increases. Changes in velocity follow a similar trend; the increase in s η monotonically decreases along with η . The larger the volume fraction of the nanoparticles ϕ 1 , ϕ 2 , the higher the temperature distribution s η . This can be attributed to the hybrid nanofluids, which possess better thermal conductivity than the base fluid (water). Consequently, the fluid’s heat transfer capacity is significantly enhanced, resulting in an improved distribution of temperature. The findings suggest that, with an increase in the proportion of nanoparticles in the hybrid nanofluid Cu-Al2O3-H2O, there is a decrease in the velocity distribution, an increase in the temperature distribution, and the boundary layer’s thickness becomes noticeably more prominent. The calculation results indicate that, as the volume percentage increases, the velocity profile shows a downward trend, and the temperature curve shows an upward trend. A larger volume fraction is responsible for the increased viscosity of the nanofluids.
Figure 5 considers the effects of the nanoparticle volume fraction on the ϕ 1 , ϕ 2 of the local skin friction coefficient and the local Nusselt number. As the ϕ 1 , ϕ 2 of the hybrid nanofluid Cu-Al2O3-H2O shifts from 0 to 0.3, the reduced local skin friction coefficients Re x 1 / 2 C f x and Re y 1 / 2 C f y both decrease monotonically. As the volume fractions of the nanoparticles ϕ 1 , ϕ 2 increase, the local skin friction coefficients decrease, while the heat transfer increases. Notably, the nanoparticles exhibit a greater amount of kinetic energy when their concentrations are higher, resulting in an enhancement of their heat transfer ability through increased kinetic energy. Similarly to the variation trend of the local skin friction coefficients, the local Nusselt numbers Re x 1 / 2 N u x and Re y 1 / 2 N u y vary with ϕ 1 , ϕ 2 . Figure 6 shows that the local Nusselt numbers experience a gradual decrease and evolve at a slower pace than the local skin friction coefficients. This can be attributed to the volume fraction of the nanoparticles ϕ 1 , ϕ 2 of the hybrid nanofluid Cu-Al2O3-H2O. The convective and conductive heat transfer ratios across the boundary can be increased by enhancing the heat transfer. Given the superior thermal conductivity and heat transfer abilities of nanofluids over pure fluids, this phenomenon once again proves that nanofluids are superior to pure fluids.
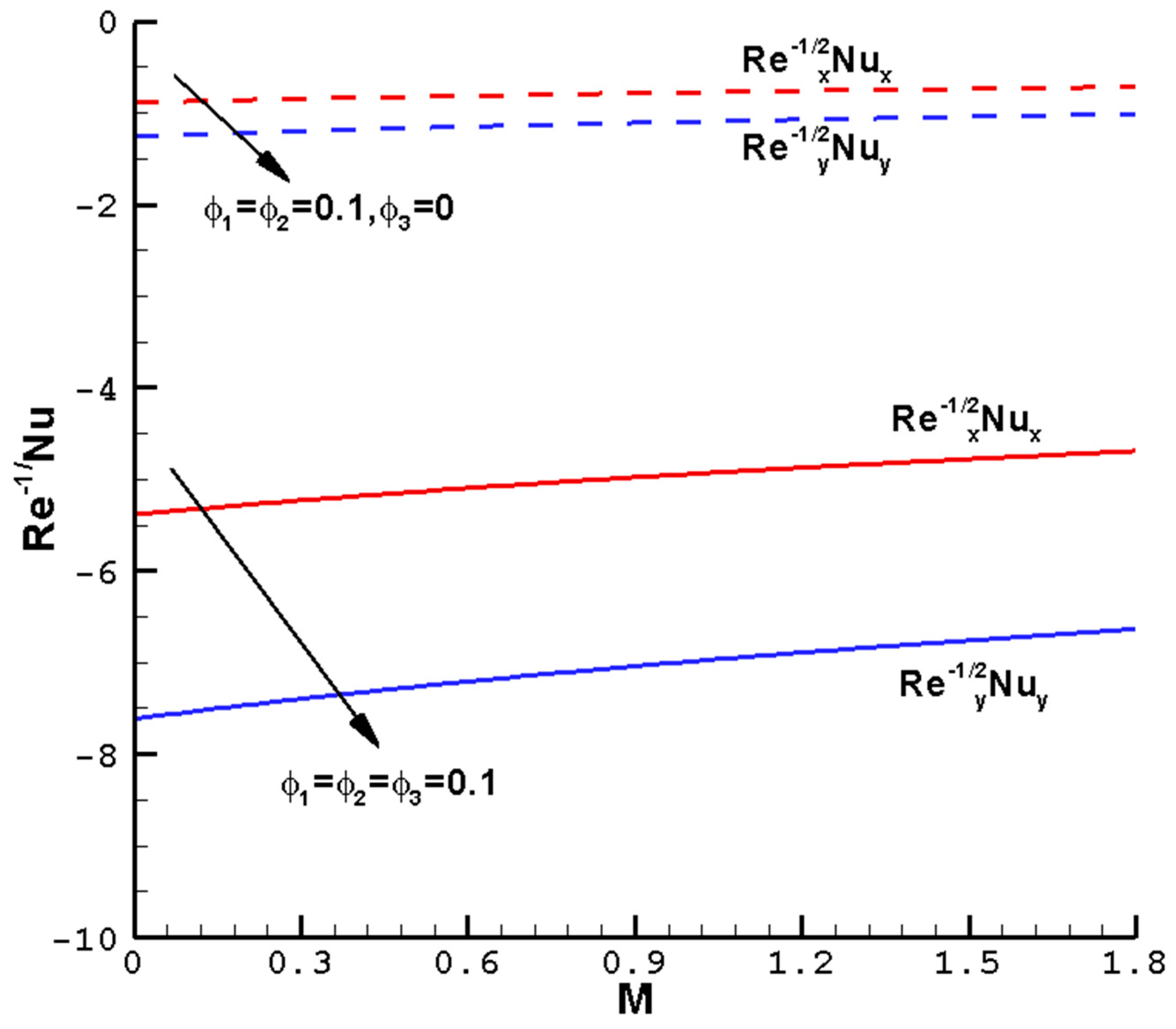
Figure 7, Figure 8, Figure 9 and Figure 10 show the effects of the different parameters ϕ 1 , ϕ 2 , ϕ 3 , M on physical measurements, such as the skin damage and heat transfer rates at specific locations. The most important industrial parameters are the local reduced friction coefficients Re x 1 / 2 C f x , Re y 1 / 2 C f y and the Nusselt numbers Re x 1 / 2 N u x and Re y 1 / 2 N u y . When a fluid flows on a surface, the distribution of the frictional force applied to the surface is called the skin friction profile of the fluid. The ratio of these frictional forces to the fluid dynamic pressure should reflect the skin friction coefficient. By applying a magnetic field to a fluid, magnetohydrodynamic (MHD) effects can be induced in the fluid. The appearance of magnetic fields can alter the properties of hybrid nanofluids, thereby altering the local reduced friction coefficient and the Nusselt numbers. Figure 7 illustrates the effect of the magnetic parameter M of the ternary hybrid nanofluid Cu-Al2O3-TiO2-H2O on Re x 1 / 2 C f x and Re y 1 / 2 C f y when ϕ 1 = ϕ 2 = ϕ 3 = 0.1, Pr = 1 , and c = 0.5 , and the determined parameters λ = 1 and = 0.8 . As M increases from 0 to 1.8, Re x 1 / 2 C f x increases by 54.89%, and Re y 1 / 2 C f y increases by 71.10%. As the magnetic parameters increase, the arranged nanoparticles interact with the boundary layer in a more robust manner. Due to this contact, the shear stress may increase; therefore, the skin friction profile of the hybrid nanofluids increases with the increase in the magnetic parameter values. Figure 8 shows the effect of the magnetic parameter M of the ternary hybrid nanofluid Cu-Al2O3-TiO2-H2O on Re x 1 / 2 N u x and Re y 1 / 2 N u y when ϕ 1 = ϕ 2 = ϕ 3 = 0.1, Pr = 1 , c = 0.5 , and the determined parameters λ = 1 and = 0.8 . As M increases from 0 to 1.8, Re x 1 / 2 N u x and Re y 1 / 2 N u y decrease by 12.87%. Figure 9 illustrates the effects of the magnetic parameter M and the volume fractions ϕ 1 , ϕ 2 , ϕ 3 on Re x 1 / 2 C f x and Re y 1 / 2 C f y when Pr = 1 , c = 0.5 , and the determined parameters λ = 1 and = 0.8 . As ϕ 3 increases from 0 to 0.1, Re x 1 / 2 C f x and Re y 1 / 2 C f y increase significantly. Figure 10 shows the effect of the magnetic parameter M and volume fractions ϕ 1 , ϕ 2 , ϕ 3 on Re x 1 / 2 N u x and Re y 1 / 2 N u y when Pr = 1 , Re x 1 / 2 N u x , and Re y 1 / 2 N u y increase slowly. When nanoparticles are added to the base fluid, the effective viscosity of the hybrid nanofluid usually increases. Therefore, as the volume fractions of the nanoparticles increase, the skin friction curve increases. On the other hand, as the volume fractions of nanoparticles in the hybrid nanofluid increase, there are more interactions between the nanoparticles inside the hybrid nanofluid, resulting in a decrease in the distribution of the Nusselt number.

4. Conclusions

This article investigated the boundary-layer flows and heat transfer of three-dimensional viscous magnetohydrodynamic hybrid nanofluids using the homotopy analysis method. Similarity transformations were used to convert the interconnected governing PDEs of the problem into ODEs. The homotopy analysis method was utilized to obtain a series solution that is uniformly effective across the entire spatial region of 0 < η < ∞. The errors in the HAM calculation are smaller than 1 × 10−9 when compared to the results from the references. The volume fractions of the hybrid nanofluid and magnetic fields have significant impacts on the velocity and temperature profiles. This leads us to conclude that the appearance of magnetic fields can alter the properties of hybrid nanofluids, thereby altering the local reduced friction coefficient and Nusselt numbers. As the volume fractions of the nanoparticles increase, the effective viscosity of the hybrid nanofluid also typically increases, resulting in an increase in the local skin friction coefficient. The increased interactions between the nanoparticles in the hybrid nanofluid lead to a decrease in the distribution of the Nusselt number. In the future, the existing models can be extended and studied in different ways. Non-similarity transformation can be used to transform the governing equations into PDEs for the homotopy analysis method and compared with different numerical techniques, for example, the integrated simulation approach. The findings of this study may promote the development of effective heat transfer technologies and methods for using hybrid nanofluids, such as electronic cooling, energy systems, and aerospace engineering applications.

Author Contributions

Conceptualization, X.Y.; methodology, X.Y.; writing—review and editing, X.Y. and Y.W.; supervision, Y.W.; project administration, Y.W. All authors have read and agreed to the published version of the manuscript.

Funding

This study received funding from the National Natural Science Foundation of China (grant numbers: 52394255, 52394253, and 12002390).

Data Availability Statement

All of the data produced during this study are contained within the article.

Conflicts of Interest

The authors declare no conflict of interest.

Nomenclature

u , v , w velocity components
T temperature of the hybrid nanofluids
a , b positive constants
T ambient temperature
T w surface temperature
B a uniform external magnetic field
k thermal conductivity
ρ C p heat capacitance
C f x , C f y coefficients of skin friction
N u x , N u y Nusselt number
τ x , τ y shear stress
Pr Prandtl number
Re x , Re y local Reynolds numbers
ρ fluid density
μ f dynamic viscosity of the base fluid
ϕ , ϕ 1 , ϕ 2 volume fraction of the hybrid nanofluids
ν f kinematic viscosity of the base fluid
k h n f thermal conductivity of the hybrid nanofluid
σ h n f electrical conductivity of the hybrid nanofluid

References

  1. Liu, H.; Li, M.D. The heat transfer enhancement techniques of nanofluids. Appl. Energy Tech. 2007, 10, 32–36. [Google Scholar]
  2. Bansal, L. Magnetofluiddynamics of Viscous Fluids, 1st ed.; Jaipur Publishing House: Jaipur, India, 1994; pp. 50–90. [Google Scholar]
  3. Tendler, M. Confinement and related transport in extrap geometry. Nucl. Instrum. Methods Phys. Res. 1983, 207, 233–240. [Google Scholar] [CrossRef]
  4. Cha, J.E.; Ahn, Y.C.; Moo-Hwan, K. Flow measurement with an electromagnetic flowmeter in two-phase bubbly and slug flow regimes. Flow Meas. Instrum. 2002, 12, 329–339. [Google Scholar] [CrossRef]
  5. Li, J.H.; Zhang, X.L.; Xu, B.; Yuan, M.Y. Nanofluid research and applications: A review. Int. Commun. Heat Mass Transf. 2021, 127, 105543. [Google Scholar] [CrossRef]
  6. Wang, J.; Yang, X.; Klemeš, J.J.; Tian, K.; Ma, T.; Sunden, B. A review on nanofluid stability: Preparation and application. Renew. Sust. Energ. Rev. 2023, 188, 113854. [Google Scholar] [CrossRef]
  7. You, X.C.; Cui, J.F. Spherical hybrid nanoparticles for Homann stagnation-point flow in porous media via Homotopy Analysis Method. Nanomaterials 2023, 13, 1000. [Google Scholar] [CrossRef]
  8. Kanwal, S.; Shah, S.; Bariq, A.; Ali, B.; Ragab, A.E.; Emad, A.A. Insight into the dynamics of heat and mass transfer in nanofluid flow with linear/nonlinear mixed convection, thermal radiation, and activation energy effects over the rotating disk. Sci. Rep. 2023, 13, 23031. [Google Scholar] [CrossRef] [PubMed]
  9. Mukhopadhyay, S.; Chandra, M.I. Magnetohydrodynamic (MHD) mixed convection slip flow and heat transfer over a vertical porous plate. Eng. Sci. Technol. J. 2015, 18, 98–105. [Google Scholar] [CrossRef]
  10. Ijam, A.; Rahman, S. Nanofluid as a coolant for electronic devices (cooling of electronic devices). Appl. Therm. Eng. 2012, 32, 76–82. [Google Scholar] [CrossRef]
  11. Bahiraei, M.; Heshmatian, S. Electronics cooling with nanofluids: A critical review. Energy Convers. Manag. 2018, 172, 438–456. [Google Scholar] [CrossRef]
  12. Tahir, M.T.; Anwar, S.; Ahmad, N.; Sattar, M.; Qazi, U.W.; Ghafoor, U.; Bhutta, M.R. Thermal management of microelectronic devices using nanofluid with metal foam heat sink. Micromachines 2023, 14, 1475. [Google Scholar] [CrossRef]
  13. Xiong, Q.; Abohamzeh, E.; Ali, J.A.; Hamad, S.M.; Tlili, I.; Shafee, A.; Habibeh, H.; Nguyen, T.K. Influences of nanoparticles with various shapes on MHD flow inside wavy porous space in appearance of radiation. J. Mol. Liq. 2019, 292, 111386. [Google Scholar] [CrossRef]
  14. Rashid, U.; Baleanu, D.; Iqbal, A.; Abbas, M. Shape effect of nanosize particles on magnetohydrodynamic nanofluid flow and heat transfer over a stretching sheet with entropy generation. Entropy 2020, 22, 1171. [Google Scholar] [CrossRef]
  15. Zhou, S.; Almarashi, A.; Dara, R.N.; Issakhov, A.; Hu, G.; Selim, M.M.; Hajizadeh, M.R. Effect of permeability and MHD on nanoparticle transportation. J. Mol. Liq. 2021, 335, 116137. [Google Scholar] [CrossRef]
  16. Abd-Alla, A.M.; Abo-Dahab, S.M.; Thabet, E.N.; Abdelhafez, M.A. Heat and mass transfer for MHD peristaltic flow in a micropolar nanofluid: Mathematical model with thermophysical features. Sci. Rep. 2022, 12, 21540. [Google Scholar] [CrossRef]
  17. Lajvardi, M.; Moghimi-Rad, J.; Hadi, I.; Gavili, A.; Isfahani, T.D.; Zabihi, F.; Sabbaghzadeh, J. Experimental investigation for enhanced ferrofluid heat transfer under magnetic field effect. J. Magn. Magn. Mater. 2010, 322, 3508–3513. [Google Scholar] [CrossRef]
  18. Yarahmadi, M.; Goudarzi, H.M.; Shafii, M.B. Experimental investigation into laminar forced convective heat transfer of ferrofluids under constant and oscillating magnetic field with different magnetic field arrangements and oscillation modes. Exp. Therm. Fluid. Sci. 2015, 68, 601–611. [Google Scholar] [CrossRef]
  19. Raptis, A.; Perdikis, C. Viscous flow over a non-linearly stretching sheet in the presence of a chemical reaction and magnetic field. Int. J. Nonlinear Mech. 2006, 41, 527–529. [Google Scholar] [CrossRef]
  20. Prasad, K.V.; Vajravelu, K. Heat transfer in the MHD flow of a power law fluid over a non-isothermal stretching sheet. Int. J. Heat Mass Transf. 2009, 52, 4956–4965. [Google Scholar] [CrossRef]
  21. Prasad, K.V.; Vajravelu, K.; Datti, P.S. Mixed convection heat transfer over a non-linear stretching surface with variable fluid properties. Int. J. Nonlinear Mech. 2010, 45, 320–330. [Google Scholar] [CrossRef]
  22. Hamad, M.A.A.; Pop, I.; Ismail, A.I. Magnetic field effects on free convection flow of a nanofluid past a vertical semi-infinite flat plate. Nonlinear Anal. Real World Appl. 2011, 12, 1338–1346. [Google Scholar] [CrossRef]
  23. Hamad, M.A.A.; Pop, I. Unsteady MHD free convection flow past a vertical permeable flat plate in a rotating frame of reference with constant heat source in a nanofluid. Heat Mass Transf. 2011, 47, 1517–1524. [Google Scholar] [CrossRef]
  24. Hamad, M.A.A. Analytical solution of natural convection flow of a nanofluid over a linearly stretching sheet in the presence of magnetic field. Int. Commun. Heat Mass Transf. 2011, 38, 487–492. [Google Scholar] [CrossRef]
  25. Sheikholeslami, M.; Ganji, D.D.; Ashorynejad, H.R.; Rokni, H.B. Analytical investigation of Jeffery-Hamel flow with high magnetic field and nano particle by Adomian Decomposition Method. Appl. Math. Mech. 2012, 33, 24–34. [Google Scholar] [CrossRef]
  26. Rosmila, A.; Kandasamy, R.; Muhaimin, I. Lie symmetry group transformation for MHD natural convection flow of a nanofluid over a linearly porous stretching sheet in the presence of thermal stratification. Appl. Math. Mech. 2012, 33, 562–573. [Google Scholar] [CrossRef]
  27. Hamad, M.A.A.; Ferdows, M. On similarity solutions to the viscous flow and heat transfer of nanofluid over nonlinearly stretching sheet. Appl. Math. Mech. 2012, 33, 868–876. [Google Scholar] [CrossRef]
  28. Farooq, U.; Lu, D.; Munir, S.; Ramzan, M.; Suleman, M.; Hussain, S. MHD flow of Maxwell fluid with nanomaterials due to an exponentially stretching surface. Sci. Rep. 2019, 9, 7312. [Google Scholar] [CrossRef] [PubMed]
  29. Xu, X.; Chen, S.; Lin, S. Numerical study on MHD flow of a nanofluid over a stretching/shrinking wedge. Chin. J. Comput. Mech. 2020, 37, 233–240. [Google Scholar]
  30. Hao, Y.; Zhang, X.; Lin, R. Numerical simulation of convective heat transfer of Fe3O4-water nanofluids under magnetic excitation. Refrigeration 2020, 48, 68–72. [Google Scholar]
  31. Wang, F.; Asjad, M.I.; Rehman, S.U.; Ali, B.; Hussain, S.; Gia, T.N.; Muhammad, T. MHD Williamson nanofluid flow over a slender elastic sheet of irregular thickness in the presence of bioconvection. J. Magn. Magn. Mater. 2010, 322, 3508–3513. [Google Scholar] [CrossRef]
  32. Ali, A.; Khan, H.S.; Saleem, S.; Hussan, M. EMHD nanofluid flow with radiation and variable heat flux effects along a slandering stretching sheet. Nanomaterials 2022, 12, 3872. [Google Scholar] [CrossRef]
  33. Rajesh, V.; Sheremet, M.A.; Öztop, H.F. Impact of hybrid nanofluids on MHD flow and heat transfer near a vertical plate with ramped wall temperature. Case Stud. Therm. Eng. 2021, 28, 101557. [Google Scholar] [CrossRef]
  34. Ali, A.; Kanwal, T.; Awais, M.; Shah, Z.; Kumam, P.; Thounthong, P. Impact of thermal radiation and non-uniform heat flux on MHD hybrid nanofluid along a stretching cylinder. Sci. Rep. 2021, 11, 20262. [Google Scholar] [CrossRef]
  35. Jaafar, A.; Waini, I.; Jamaludin, A.; Nazar, R.; Pop, I. MHD flow and heat transfer of a hybrid nanofluid past a nonlinear surface stretching/shrinking with effects of thermal radiation and suction. Chin. J. Phys. 2022, 79, 13–27. [Google Scholar] [CrossRef]
  36. Khashi’ie, N.S.; Arifin, N.M.; Pop, I. Magnetohydrodynamics (MHD) boundary layer flow of hybrid nanofluid over a moving plate with Joule heating. Alex. Eng. J. 2022, 61, 1938–1945. [Google Scholar] [CrossRef]
  37. Rafique, K.; Mahmood, Z.; Khan, U. Mathematical analysis of MHD hybrid nanofluid flow with variable viscosity and slip conditions over a stretching surface. Mater. Today Commun. 2023, 36, 106692. [Google Scholar] [CrossRef]
  38. Prakash, O.; Rao, P.R.; Sharma, R.P.; Mishra, S.R. Hybrid nanofluid MHD motion towards an exponentially stretching/shrinking sheet with the effect of thermal radiation, heat source and viscous dissipation. Pramana 2023, 97, 64. [Google Scholar] [CrossRef]
  39. Lone, S.A.; Alyami, M.A.; Saeed, A.; Dawar, A.; Kumam, P.; Kumam, W. MHD micropolar hybrid nanofluid flow over a flat surface subject to mixed convection and thermal radiation. Sci. Rep. 2022, 12, 17283. [Google Scholar] [CrossRef]
  40. Roy, N.C. MHD natural convection of a hybrid nanofluid in an enclosure with multiple heat sources. Alex. Eng. J. 2022, 61, 1679–1694. [Google Scholar] [CrossRef]
  41. Alghamdi, W.; Alsubie, A.; Kumam, P.; Saeed, A.; Gul, T. MHD hybrid nanofluid flow comprising the medication through a blood artery. Sci. Rep. 2021, 11, 11621. [Google Scholar] [CrossRef]
  42. Ramzan, M.; Alotaibi, H. Variable viscosity effects on the flow of MHD hybrid nanofluid containing dust particles over a needle with Hall current—A Xue model exploration. Commun. Theor. Phys. 2022, 74, 055801. [Google Scholar] [CrossRef]
  43. Waini, I.; Ishak, A.; Pop, I. Magnetohydrodynamic flow past a shrinking vertical sheet in a dusty hybrid nanofluid with thermal radiation. Appl. Math. Mech. Engl. Ed. 2022, 43, 127–140. [Google Scholar] [CrossRef]
  44. Revnic, C.; Grosan, T.; Sheremet, M.; Pop, I. Numerical simulation of MHD natural convection flow in a wavy cavity filled by a hybrid Cu-Al2O3-water nanofluid with discrete heating. Appl. Math. Mech. Engl. Ed. 2020, 41, 1345–1358. [Google Scholar] [CrossRef]
  45. Khan, M.; Ahmed, J.; Sultana, F.; Sarfraz, M. Non-axisymmetric Homann MHD stagnation point flow of Al2O3-Cu/water hybrid nanofluid with shape factor impact. Appl. Math. Mech. Engl. Ed. 2020, 41, 1125–1138. [Google Scholar] [CrossRef]
  46. Khan, M.; Kumam, P.; Lone, S.A.; Seangwattana, T.; Saeed, A.; Galal, A.M. A theoretical analysis of the ternary hybrid nanofluid flows over a non-isothermal and non-isosolutal multiple geometries. Heliyon 2023, 9, e14875. [Google Scholar]
  47. Rafique, K.; Mahmood, Z.; Khan, U.; Eldin, S.M.; Oreijah, M.; Guedri, K.; Khalifa, H.A.E. Investigation of thermal stratification with velocity slip and variable viscosity on MHD flow of Al2O3-Cu-TiO2/H2O nanofluid over disk. Case Stud. Therm. Eng. 2023, 49, 103292. [Google Scholar] [CrossRef]
  48. Wainia, I.; Ishakb, A.; Grosan, T.; Pop, I. Mixed convection of a hybrid nanofluid flow along a vertical surface embedded in a porous medium. Int. Commun. Heat Mass Transf. 2020, 114, 104565. [Google Scholar] [CrossRef]
  49. Xu, H.; Liao, S.J.; Pop, I. Series solutions of unsteady three-dimensional MHD flow and heat transfer in the boundary layer over an impulsively stretching plate. Eur. J. Mech. B Fluids 2007, 26, 15–27. [Google Scholar] [CrossRef]
  50. Zhao, Q.; Xu, H.; Fan, T. Analysis of three-dimensional boundary-layer nanofluid flow and heat transfer over a stretching surface by means of the homotopy analysis method. Bound. Value Probl. 2015, 2015, 64. [Google Scholar] [CrossRef][Green Version]
  51. Oztop, H.F.; Abu-Nada, E. Numerical study of natural convection in partially heated rectangular enclosures filled with nanofluids. Int. J. Heat Fluid Flow 2008, 29, 1326–1336. [Google Scholar] [CrossRef]
  52. Brinkman, H.C. The viscosity of concentrated suspensions and solutions. J. Chem. Phys. 1952, 20, 571–581. [Google Scholar] [CrossRef]
  53. Maiga, S.E.B.; Palm, S.J.; Nguyen, C.T.; Roy, G.; Galanis, N. Heat transfer enhancement by using nanofluids in forced convection flows. Int. J. Heat Fluid Flow 2005, 26, 530–546. [Google Scholar] [CrossRef]
  54. Takhar, H.S.; Chamkha, A.J.; Nath, G. Unsteady three-dimensional MHD-boundarylayer flow due to the impulsive motion of a stretching surface. Acta Mech. 2001, 146, 59–71. [Google Scholar] [CrossRef]
  55. Liao, S.J. Perturbation: Introduction to the Homotopy Analysis Method, 1st ed.; Chapman & Hall/CRC Press: Boca Raton, FL, USA, 2003; pp. 54–96. [Google Scholar]
  56. Ramzan, M.; Khan, N.S.; Kumam, P. Mechanical analysis of non-Newtonian nanofluid past a thin needle with dipole effect and entropic characteristics. Sci. Rep. 2021, 11, 19378. [Google Scholar] [CrossRef]
  57. Dawar, A.; Shah, Z.; Tassaddiq, A.; Kumam, P.; Islam, S.; Khan, W. A convective flow of Williamson nanofluid through cone and wedge with non-isothermal and non-isosolutal conditions: A revised Buongiorno model. Case Stud. Therm. Eng. 2021, 24, 100869. [Google Scholar] [CrossRef]
  58. Wang, C.Y. The three-dimensional flow due to a stretching flat surface. Phys. Fluids 1984, 27, 1915–1917. [Google Scholar] [CrossRef]
Figure 1. Coordinate system.
Figure 1. Coordinate system.
Nanomaterials 14 00316 g001
Figure 2. The HAM residual errors of ϕ 1 = 0.1 , ϕ 2 = 0 of the hybrid nanofluid Cu-Al2O3-H2O; M = 1 , Pr = 1 , c = 0.5 , determined parameters λ = 0.6 , = 0.35 . Err1—solid line; Err2—dashed line; Err3—dashed dotted line.
Figure 2. The HAM residual errors of ϕ 1 = 0.1 , ϕ 2 = 0 of the hybrid nanofluid Cu-Al2O3-H2O; M = 1 , Pr = 1 , c = 0.5 , determined parameters λ = 0.6 , = 0.35 . Err1—solid line; Err2—dashed line; Err3—dashed dotted line.
Nanomaterials 14 00316 g002
Figure 3. Twentieth-order HAM results of the hybrid nanofluid Cu-Al2O3-H2O when ϕ 1 = ϕ 2 = 0, 0.1, M = 1 , Pr = 1 , c = 0.5 , determined parameters λ = 1 , = 0.8 . f η —solid line; g η —dashed line; s η —dashed dots line.
Figure 3. Twentieth-order HAM results of the hybrid nanofluid Cu-Al2O3-H2O when ϕ 1 = ϕ 2 = 0, 0.1, M = 1 , Pr = 1 , c = 0.5 , determined parameters λ = 1 , = 0.8 . f η —solid line; g η —dashed line; s η —dashed dots line.
Nanomaterials 14 00316 g003
Figure 4. Twentieth-order HAM temperature profiles s η of the hybrid nanofluid Cu-Al2O3-H2O when ϕ 1 = ϕ 2 = 0, 0.1, 0.3, M = 1 , Pr = 1 , c = 0.5 , determined parameters λ = 1 , = 0.8 .
Figure 4. Twentieth-order HAM temperature profiles s η of the hybrid nanofluid Cu-Al2O3-H2O when ϕ 1 = ϕ 2 = 0, 0.1, 0.3, M = 1 , Pr = 1 , c = 0.5 , determined parameters λ = 1 , = 0.8 .
Nanomaterials 14 00316 g004
Figure 5. The local reduced friction coefficient Re x 1 / 2 C f x , Re y 1 / 2 C f y varies with the ϕ 1 , ϕ 2 of the hybrid nanofluid Cu-Al2O3-H2O when M = 1 , Pr = 1 , c = 0.5 , and the determined parameters λ = 1 , = 0.8 .
Figure 5. The local reduced friction coefficient Re x 1 / 2 C f x , Re y 1 / 2 C f y varies with the ϕ 1 , ϕ 2 of the hybrid nanofluid Cu-Al2O3-H2O when M = 1 , Pr = 1 , c = 0.5 , and the determined parameters λ = 1 , = 0.8 .
Nanomaterials 14 00316 g005
Figure 6. The local reduced Nusselt number Re x 1 / 2 N u x , Re y 1 / 2 N u y vary with the ϕ 1 , ϕ 2 of the hybrid nanofluid Cu-Al2O3-H2O when M = 1 , Pr = 1 , c = 0.5 , and the determined parameters λ = 1 , = 0.8 .
Figure 6. The local reduced Nusselt number Re x 1 / 2 N u x , Re y 1 / 2 N u y vary with the ϕ 1 , ϕ 2 of the hybrid nanofluid Cu-Al2O3-H2O when M = 1 , Pr = 1 , c = 0.5 , and the determined parameters λ = 1 , = 0.8 .
Nanomaterials 14 00316 g006
Figure 7. The local reduced friction coefficient Re x 1 / 2 C f x , Re y 1 / 2 C f y varies with the M of ternary hybrid nanofluid Cu-Al2O3-TiO2-H2O when ϕ 1 = ϕ 2 = ϕ 3 = 0.1, Pr = 1 , c = 0.5 , and the determined parameters λ = 1 , = 0.8 .
Figure 7. The local reduced friction coefficient Re x 1 / 2 C f x , Re y 1 / 2 C f y varies with the M of ternary hybrid nanofluid Cu-Al2O3-TiO2-H2O when ϕ 1 = ϕ 2 = ϕ 3 = 0.1, Pr = 1 , c = 0.5 , and the determined parameters λ = 1 , = 0.8 .
Nanomaterials 14 00316 g007
Figure 8. The local reduced Nusselt numbers Re x 1 / 2 N u x , Re y 1 / 2 N u y vary with the M of the ternary hybrid nanofluid Cu-Al2O3-TiO2-H2O when ϕ 1 = ϕ 2 = ϕ 3 = 0.1, Pr = 1 , c = 0.5 , and the determined parameters λ = 1 , = 0.8 .
Figure 8. The local reduced Nusselt numbers Re x 1 / 2 N u x , Re y 1 / 2 N u y vary with the M of the ternary hybrid nanofluid Cu-Al2O3-TiO2-H2O when ϕ 1 = ϕ 2 = ϕ 3 = 0.1, Pr = 1 , c = 0.5 , and the determined parameters λ = 1 , = 0.8 .
Nanomaterials 14 00316 g008
Figure 9. The local reduced friction coefficient Re x 1 / 2 C f x , Re y 1 / 2 C f y varies with the M of the ternary hybrid nanofluid Cu-Al2O3-TiO2-H2O when Pr = 1 , c = 0.5 , and the determined parameters are λ = 1 , = 0.8 .
Figure 9. The local reduced friction coefficient Re x 1 / 2 C f x , Re y 1 / 2 C f y varies with the M of the ternary hybrid nanofluid Cu-Al2O3-TiO2-H2O when Pr = 1 , c = 0.5 , and the determined parameters are λ = 1 , = 0.8 .
Nanomaterials 14 00316 g009
Figure 10. The local reduced Nusselt numbers Re x 1 / 2 N u x , Re y 1 / 2 N u y vary with the M of the ternary hybrid nanofluid Cu-Al2O3-TiO2-H2O when Pr = 1 , c = 0.5 , and the determined parameters are λ = 1 , = 0.8 .
Figure 10. The local reduced Nusselt numbers Re x 1 / 2 N u x , Re y 1 / 2 N u y vary with the M of the ternary hybrid nanofluid Cu-Al2O3-TiO2-H2O when Pr = 1 , c = 0.5 , and the determined parameters are λ = 1 , = 0.8 .
Nanomaterials 14 00316 g010
Table 1. Thermophysical properties of H2O and nanoparticles [46,47,51].
Table 1. Thermophysical properties of H2O and nanoparticles [46,47,51].
PropertiesH2O Cu   ( ϕ 1 ) Al 2 O 3   ( ϕ 2 ) TiO 2   ( ϕ 3 )
C p   J / KgK 4179385765686.2
ρ   Kg / m 3 997.1893339704250
σ   S / m 5.5 × 10−63.69 × 1075.96 × 1071 × 10−18
k   W / mk 0.613400408.9538
Table 2. A comparison of the 20th-order HAM-determined parameters λ = 1 , = 0.7 when ϕ 1 = ϕ 2 = ϕ 3 = 0 , M = 0 , and Pr = 1 , with Wang’s data [58].
Table 2. A comparison of the 20th-order HAM-determined parameters λ = 1 , = 0.7 when ϕ 1 = ϕ 2 = ϕ 3 = 0 , M = 0 , and Pr = 1 , with Wang’s data [58].
c f 0 f 0 [58] g 0 g 0 [58] f f [58] g g [58]
0−1−1 001100
0.25−1.04881−1.04881−0.19456−0.194560.907150.907080.257990.25799
0.50−1.09310−1.09310−0.46521−0.465210.842390.842360.451680.45167
0.75−1.13449−1.13449−0.79462−0.794620.792300.792310.612140.61205
1−1.17372−1.17372−1.17372−1.173720.751500.751530.751500.75153
Table 3. HAM computations of various orders of the residual errors with ϕ 1 = 0.1 , ϕ 2 = 0 of the hybrid nanofluid Cu-Al2O3-H2O, when M = 1 , Pr = 1 , and c = 0.5 ; determined parameters λ = 0.6 , = 0.35 .
Table 3. HAM computations of various orders of the residual errors with ϕ 1 = 0.1 , ϕ 2 = 0 of the hybrid nanofluid Cu-Al2O3-H2O, when M = 1 , Pr = 1 , and c = 0.5 ; determined parameters λ = 0.6 , = 0.35 .
Mth-Order E r r 1 E r r 2 E r r 3 CPU Time (s)
10.158490.031620.002510.20313
50.010000.002500.000404.90625
100.000790.000150.0000633.5156
153.98107 × 10−57.94328 × 10−66.30957 × 10−6127.641
202.51189 × 10−67.94328 × 10−71.58489 × 10−6325.484
252.51188 × 10−73.98107 × 10−82.51185 × 10−7871.109
301.62181 × 10−83.98107 × 10−96.30957 × 10−84006.94
Disclaimer/Publisher’s Note: The statements, opinions and data contained in all publications are solely those of the individual author(s) and contributor(s) and not of MDPI and/or the editor(s). MDPI and/or the editor(s) disclaim responsibility for any injury to people or property resulting from any ideas, methods, instructions or products referred to in the content.

Share and Cite

MDPI and ACS Style

You, X.; Wang, Y. Series Solutions of Three-Dimensional Magnetohydrodynamic Hybrid Nanofluid Flow and Heat Transfer. Nanomaterials 2024, 14, 316. https://doi.org/10.3390/nano14030316

AMA Style

You X, Wang Y. Series Solutions of Three-Dimensional Magnetohydrodynamic Hybrid Nanofluid Flow and Heat Transfer. Nanomaterials. 2024; 14(3):316. https://doi.org/10.3390/nano14030316

Chicago/Turabian Style

You, Xiangcheng, and Yanbin Wang. 2024. "Series Solutions of Three-Dimensional Magnetohydrodynamic Hybrid Nanofluid Flow and Heat Transfer" Nanomaterials 14, no. 3: 316. https://doi.org/10.3390/nano14030316

APA Style

You, X., & Wang, Y. (2024). Series Solutions of Three-Dimensional Magnetohydrodynamic Hybrid Nanofluid Flow and Heat Transfer. Nanomaterials, 14(3), 316. https://doi.org/10.3390/nano14030316

Note that from the first issue of 2016, this journal uses article numbers instead of page numbers. See further details here.

Article Metrics

Back to TopTop