Abstract
CO2 injection in shale reservoirs is more suitable than the conventional recovering methods due to its easier injectivity and higher sweep efficiency. In this work, Grand Canonical Monte Carlo (GCMC) simulation is employed to investigate the adsorption/desorption behavior of CH4-C4H10 and CH4-C4H10-CO2 mixtures in organic and inorganic nanopores during pressure drawdown and CO2 huff and puff processes. The huff and puff process involves injecting CO2 into the micro- and mesopores, where the system pressure is increased during the huffing process and decreased during the puffing process. The fundamental mechanism of shale gas recovery using the CO2 injection method is thereby revealed from the nanopore-scale perspective. During primary gas production, CH4 is more likely to be produced as the reservoir pressure drops. On the contrary, C4H10 tends to be trapped in these organic nanopores and is hard to extract, especially from micropores and inorganic pores. During the CO2 huffing period, the adsorbed CH4 and C4H10 are recovered efficiently from the inorganic mesopores. On the contrary, the adsorbed C4H10 is slightly extracted from the inorganic micropores during the CO2 puffing period. During the CO2 puff process, the adsorbed CH4 desorbs from the pore surface and is thus heavily recovered, while the adsorbed C4H10 cannot be readily produced. During CO2 huff and puff, the recovery efficiency of CH4 is higher in the organic pores than that in the inorganic pores. More importantly, the recovery efficiency of C4H10 reaches the highest levels in both the inorganic and organic pores during the CO2 huff and puff process, suggesting that the CO2 huff and puff method is more advanced for heavier hydrocarbon recovery compared to the pressure drawdown method. In addition to CO2 storage, CO2 sequestration in the adsorbed state is safer than that in the free state. In our work, it was found that the high content of organic matter, high pressure, and small pores are beneficial factors for CO2 sequestration transforming into adsorbed state storage.
1. Introduction
The potential for shale oil resources in China’s saline lake sediments is huge [1], which makes shale oil an important energy type, as the output of traditional fuels is declining sharply [2,3,4,5]. Although the original reserves of shale oil are abundant all over the world, commercially recoverable shale is quite limited due to its distinctive characteristics, such as extremely low permeability, etc. [6,7]. In recent years, horizontal drilling and multi-staged hydraulic fracturing have been widely recognized as the main technologies for shale oil production [8]. Although shale oil can be recovered at the initial stage after employing these developing methods, large amounts of shale resources are still left in shale reservoirs, up to 80% [9,10]. More advanced technologies should be developed to enhance shale oil recovery. There is a strong motivation for developing advanced extraction technologies in that even a 1.0% increase in oil recovery results in the production of an extra 1.6–9.0 billion barrels of oil [11].
Gas injection is accepted as being more advanced than traditional technologies for shale recovery. Gas is superior at entering the nanopores and therein has a higher sweep efficiency in shale reservoirs. Commonly used gases in oilfields are N2, CO2, natural gas, etc., of which CO2 possesses the lowest minimum miscibility pressure (MMP) compared to other gases [12,13]. The basic mechanism of CO2 for oil recovery includes oil swelling and considerable oil viscosity reduction [14,15,16,17,18]. When injected, CO2 can become miscible with the crude oil when the pressure is higher than the MMP. However, the miscible conditions are not easy to achieve in shale reservoirs. In fact, the light and intermediate hydrocarbons are readily recovered by CO2, while the heavy components remain in nanopores and are hard to recover [19].
Recently, methane, propane, butane, etc., have been proposed as cosolvents to assist CO2 for oil recovery, through which the performance of CO2 is reinforced [20,21,22,23]. With the assistance of a cosolvent, the miscibility performance of CO2 is greatly improved in the in situ oil; in addition, a cosolvent can also dissolve and reduce the viscosity of crude oil, which is beneficial for oil recovery. Methanol is used with CO2 to remove the liquid blockage in unconventional condensate reservoirs [24,25]. Liu et al. (2022) proposed dimethyl ether to assist CO2 flooding for oil recovery, as well as carbon sequestration, so-called storage-driven CO2 enhanced oil recovery (EOR) [26,27]. In order to improve shale oil recovery, more advanced technologies need to be developed. Hydrochloric saline lake shale formations are dominated by inorganic pores and have a low incidence of organic pores [28], which is of great significance for the design of CO2 injection wells. In order to improve the design of CO2 injection, it is critical to have a basic understanding of the fundamental mechanisms of shale hydrocarbon recovery during CO2 injection [29,30,31,32,33,34,35,36,37,38,39]. Advanced heating technologies like radio frequency and microwave heating can enhance carbon dioxide removal and recovery, improving energy efficiency and environmental sustainability. J.F. et al. demonstrated that radiofrequency(RF)-heated fixed-bed reactors utilizing CaCO3 sorbent can enhance CO2 capture from flue gas [40], while T.C. et al. found that Microwave Swing Desorption (MSD) accelerates CO2 desorption from microporous activated carbon fourfold compared to Temperature Swing Desorption (TSD) [41], together, showcasing innovative approaches to improving CO2 management and emissions reduction.
In this work, the Grand Canonical Monte Carlo (GCMC) simulation method is employed to investigate the adsorption/desorption behavior of CH4-C4H10 and CH4-C4H10-CO2 mixtures in organic and inorganic nanopores during pressure drawdown and CO2 huff and puff processes. Specifically, the influence of pore size, mineral types of nanopores, and pressure on adsorption and desorption behavior are thoroughly evaluated. The fundamental mechanism of shale gas recovery using the CO2 injection method is thereby revealed from the nanopore-scale perspective. This study enhances the understanding of CO2 injection in shale oil and gas recovery, offering a theoretical foundation for optimizing extraction technologies. By examining adsorption and desorption behaviors in nanopores, the research improves recovery efficiency and promotes sustainability. Additionally, the findings contribute to emission reduction, carbon sequestration, and the global energy crisis, supporting energy transition. Overall, the research holds significant academic value and potential applications, benefiting national energy security and environmental protection.
2. Molecular Models and Simulations
The mineral analysis indicates that Chang 7 shale is rich in organic kerogen and K-illite. The surface morphology of Chang 7 shale suggests that the shape morphology of the nanopores can be simplified as slit-shaped in the molecular models. The organic pore is usually represented by the carbon-based pore. In this molecular model, the carbon-slit pore is employed to represent the kerogen nanopore for simplicity, i.e., organic pores; the K-illite nanopore is used to represent the inorganic nanopore. In this study, the inorganic characteristics of the pores are predominantly influenced by the structural features of K-illite, known for its stable crystal framework and high thermal resistance. Conversely, the organic pores are derived from the organic kerogen-rich Chang 7 shale, which demonstrates excellent adsorption capacity and chemical reactivity. Consequently, both the inorganic and organic pores possess distinct advantages in terms of functionality and properties, collectively impacting the physicochemical performance of the shale. It should be noted that the K-illite has one Al-O octahedral sheet lying between each of the two Si-O tetrahedral sheets, i.e., one typical 2:1 clay mineral for Chang 7 shale [42]. The K-illite has the unit cell formula Kx[AlxSi(8-x)][AlyMg4-y]O20(OH)4 [43], in which the x and y represent 1 and 4, respectively. The clay sheet is negatively charged because one Si4+ cation is usually replaced by one Al3+ cation in every unit cell. Meanwhile, in the interlayers, the K+ cations are distributed randomly, counterbalancing the negative charges in the unit cell. It is noted that we investigate the recovery mechanism of shale gas in organic and inorganic nanopores with two sizes, i.e., 1 nm and 3 nm, representing micropores and mesopores, respectively.
The force field is used for the potential models of adsorbed gas [44]. The clay models are obtained from the CLAYFF force field. The C and H atoms in the alkanes are regarded as a united atom, while the partial charge of the C atom and O atoms in the CO2 molecule are taken as +0.7e and −0.35e, respectively. The following potential model is used to describe the Lennard-Jones (LJ) potential and the electrostatic terms for the nonbonded interactions:
where is the well depth of the LJ potential, and the is the LJ radius; rij is the distance between atoms i and j; and q represents the atrial atom charge, which is employed to calculate the Coulomb interactions.
The cross interactions between two different atoms are calculated by the Lorentz–Berthelot combining rules as follows [45]:
The Ewald summation method is used to estimate the long-range electrostatic interactions by placing a vacuum slab in the z direction in the simulation cell [46,47].
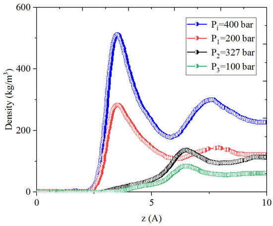
In this study, the adsorption and desorption behavior of alkane/CO2 mixtures is investigated by the GCMC simulation method. The grand canonical μVT ensemble is employed in this work, where μ, V, and T represent the chemical potentials, volume, and temperature, respectively; within such an ensemble, μ, V, and T are regarded as constants [48]. Within the molecular simulation, gas molecules in nanopores can exchange with a fictitious bulk reservoir with a fixed chemical potential. At the beginning of constructing the GCMC simulation, we set the starting point of the simulation by selecting a certain number of C4H10 and CO2 molecules and randomly distributing them in the nanopores to represent the initial state. This initial configuration undergoes multiple cycles of energy minimization to ensure the thermodynamic stability of the system. A configurational-biased GCMC algorithm is used to insert and remove C4H10 molecules from nanopores [48]. The chemical potentials of bulk CH4 and C4H10 molecules in the canonical ensemble are calculated using Widom’s insertion method [49]. During GCMC simulations, the nanopore structure is fixed. The transitional move is implemented with CH4 molecules, which removes them from or inserts them into the simulation box randomly, with equal probability. As for CO2 and C4H10, in addition to the transitional move, a rotational move is implemented [48]. The Peng–Robinson equation of state (PR-EOS) is used to calculate the bulk densities [50]. The gas molecules are endowed with an equal probability; according to the chemical potential of the bulk reservoir, the gas molecules can be inserted or removed from the nanopores. The bulk reservoir has a given pressure and temperature. In order to initiate gas production, the bulk pressure is lowered from the initial pressure (Pi = 400 bar) to P1 = 200 bar and P3 = 100 bar. The equilibrium pressure (P2) in the nanopores after gas injection is calculated using the PR-EOS [50]. The equilibrium fluid composition is calculated based on the chemical potentials in and out of the nanopores.
As for the depressurization and CO2 huff-n-puff processes performed by GCMC, the primary pressure drawdown is first performed to initiate shale hydrocarbon production by lowering the bulk pressure from Pi = 400 bar to P1 = 200 bar. Subsequently, CO2 is introduced into the bulk volume. The PR-EOS is used to calculate the equilibrium pressure after CO2 injection, i.e., P2 [50]. After reaching equilibrium, the puffing process, i.e., a pressure drawdown process, is applied, starting from P2 to P3 = 100 bar. In order to achieve equilibrium, 0.3 million cycles are required for each molecule and 0.7 million cycles are required for sampling. This timescale ensures the stability and accuracy of the simulation process.
Through statistical analysis and comparison of the simulation results, we validated the effectiveness of the GCMC simulation method, which provides a solid theoretical foundation and an experimental basis for a deeper understanding of the adsorption and desorption behaviors of alkane/CO2 mixtures.
3. Results and Discussion
3.1. Primary Production during Depressurization
3.1.1. Organic Nanopores
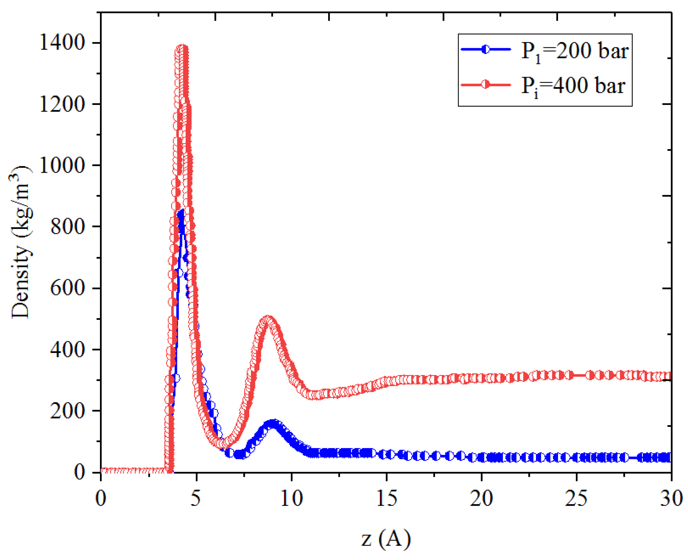
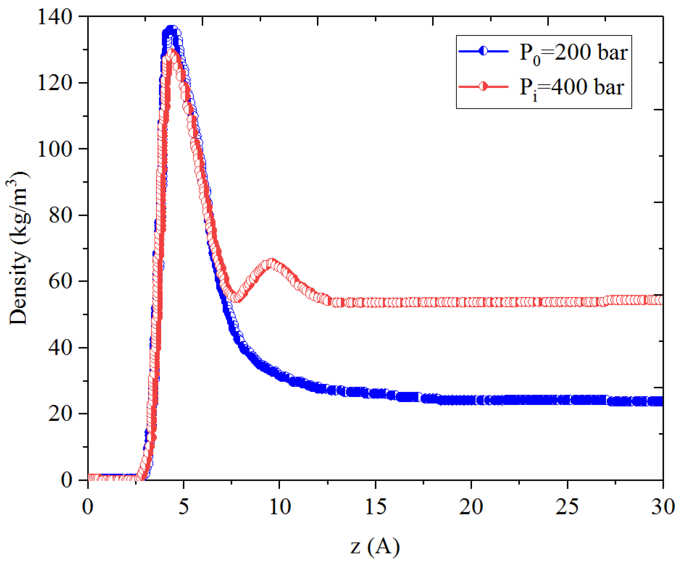
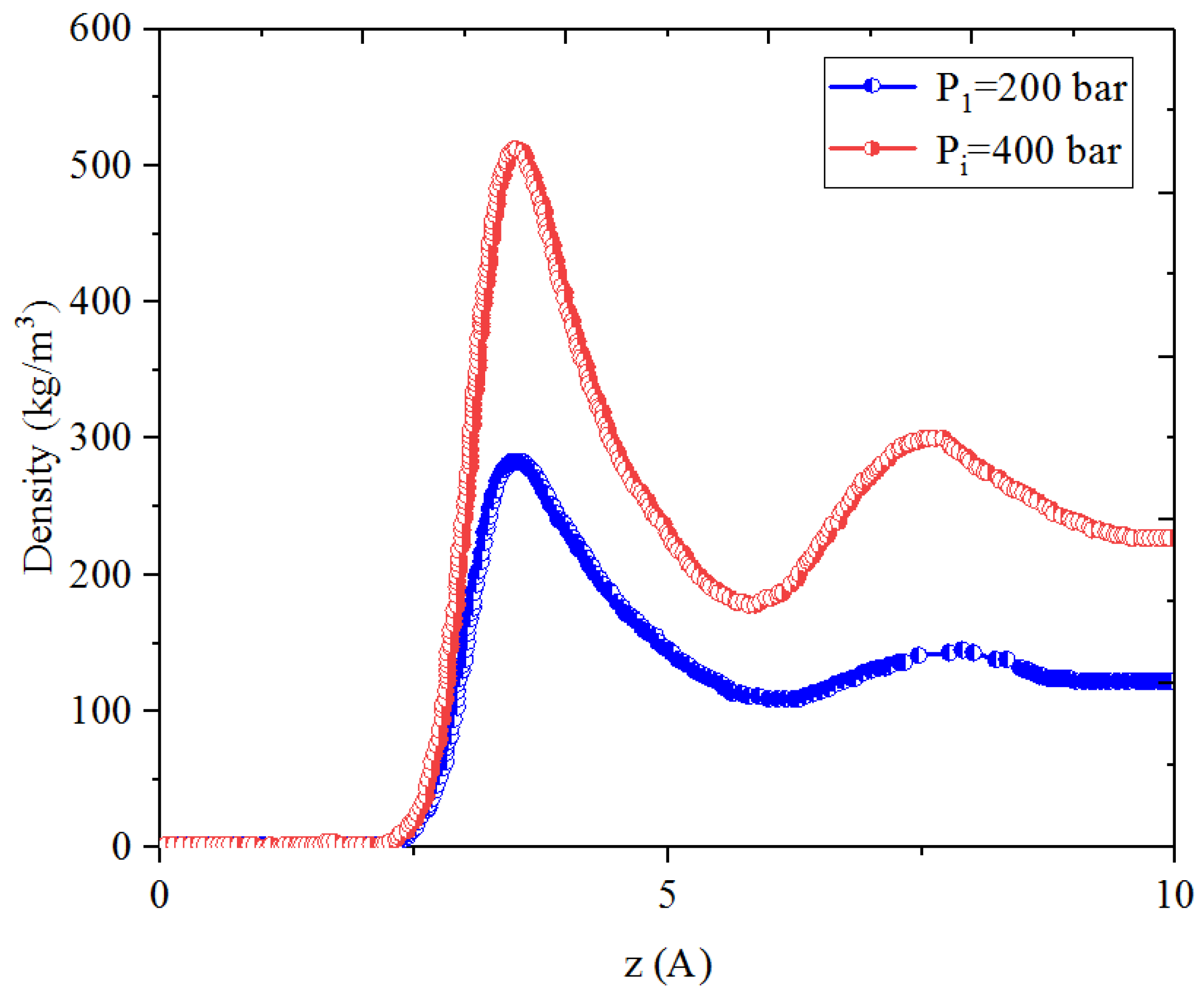
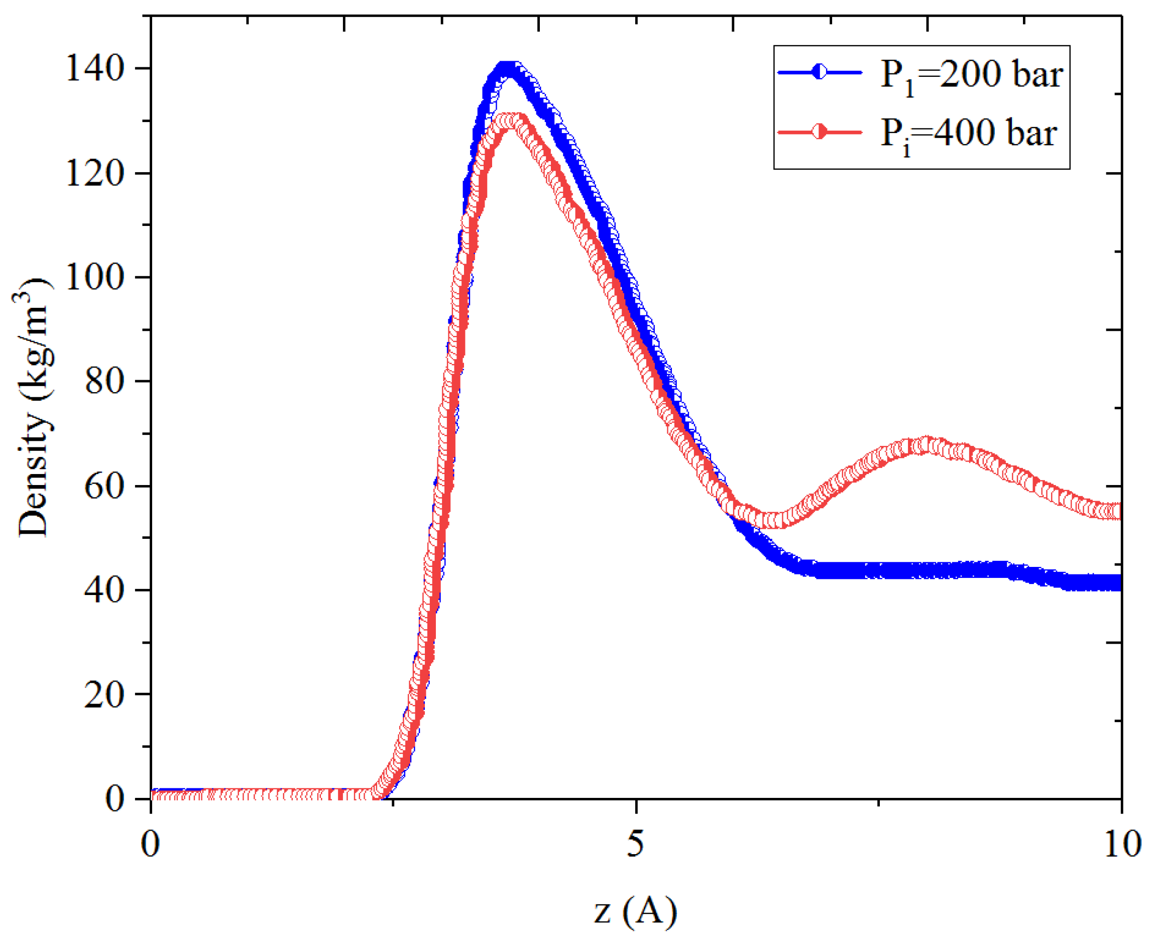
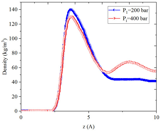
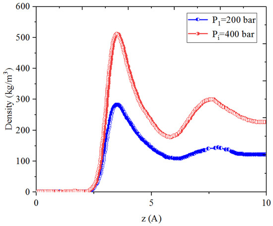
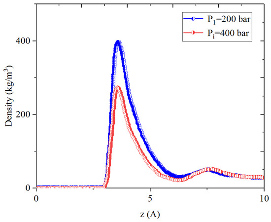
Figure 1, Figure 2, Figure 3 and Figure 4 present the density distribution of CH4, C4H10, and CH4-C4H10 mixtures in the micropores and mesopores at Pi and P1, respectively. It is noted that carbon slit pores were employed to represent the organic pores in shale, considering that carbon slit has similar physical properties to that of the organic matter in shale. In the micropores and mesopores, the density of hydrocarbons near the surface was significantly higher than that in the pore center, indicating that hydrocarbons form adsorption layers on the pore surface, while hydrocarbon molecules tended to stay in a free-gas state due to the relatively weak surface attraction. In addition, the density of hydrocarbons in the adsorption layers was remarkably higher than that in the mesopores due to the coupling effect of surface attraction from both sides of the nanopores. The density at the pore center of mesopores approached the bulk density, indicating that the gas readily formed free gas in the mesopores. However, the density at the pore center of the micropores did not converge with the bulk density, suggesting that there was no free-gas region.
Figure 1.
Density profiles of CH4 in CH4-C4H10 mixture in organic mesopores at 353.15 K.
Figure 2.
Density profiles of C4H10 in CH4-C4H10 mixture in organic mesopores at 353.15 K.
Figure 3.
Density profiles of CH4 in CH4-C4H10 mixture in organic micropores at 353.15 K.
Figure 4.
Density profiles of C4H10 in CH4-C4H10 mixture in organic micropores at 353.15 K.
As shown in Figure 1 and Figure 2, the density of CH4 decreases both in the adsorption layers and at the center of nanopores as the pressure declines. However, there is no obvious density change for C4H10 whether in the micropores or in the mesopores. In addition, for CH4-C4H10 mixtures, the density of CH4 drops in the first adsorption layer as pressure decreases, while C4H10 shows enrichment near the pore surface during pressure drawdown, indicated by increasing density at a lower pressure. During the primary gas production, the lighter hydrocarbons are more likely desorbed from the pore surface and more easily produced as the reservoir pressure drops, like CH4. On the contrary, due to the stronger interaction with the pore surface, the heavier components tend to be trapped in these organic nanopores, especially in micropores. This behavior is similar to that found in other adsorbents, such as zeolites [51] and graphene [52,53].
3.1.2. Inorganic Nanopores
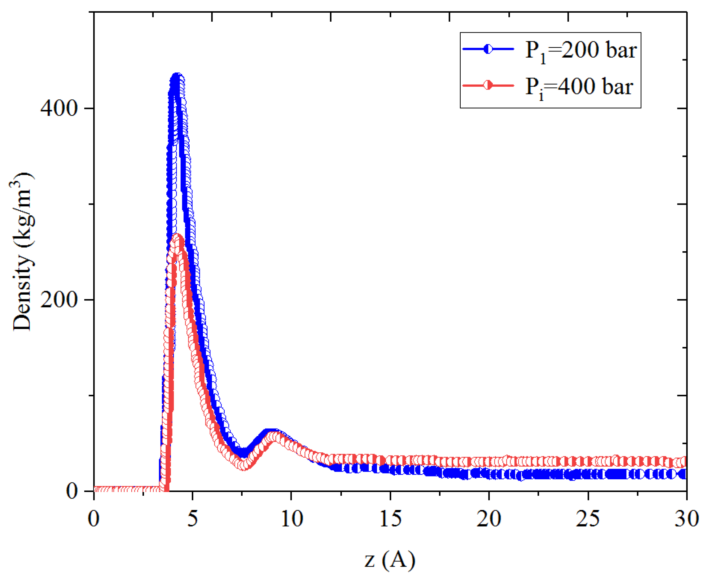
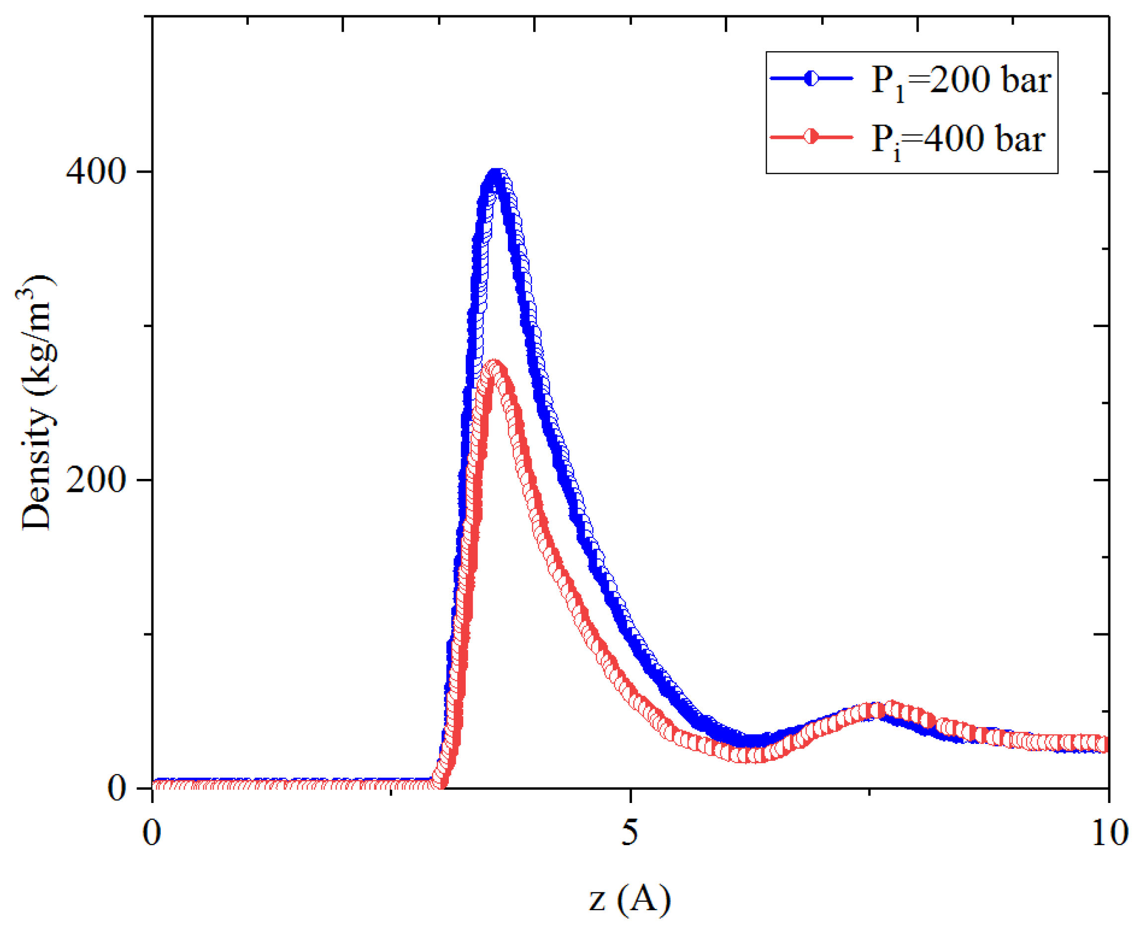
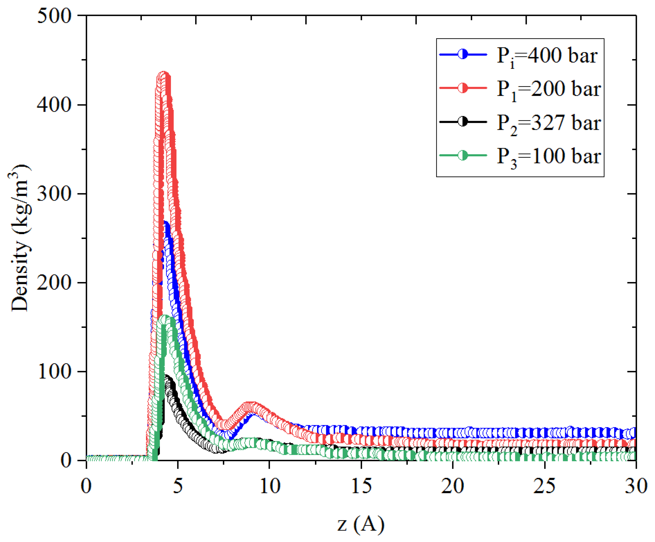
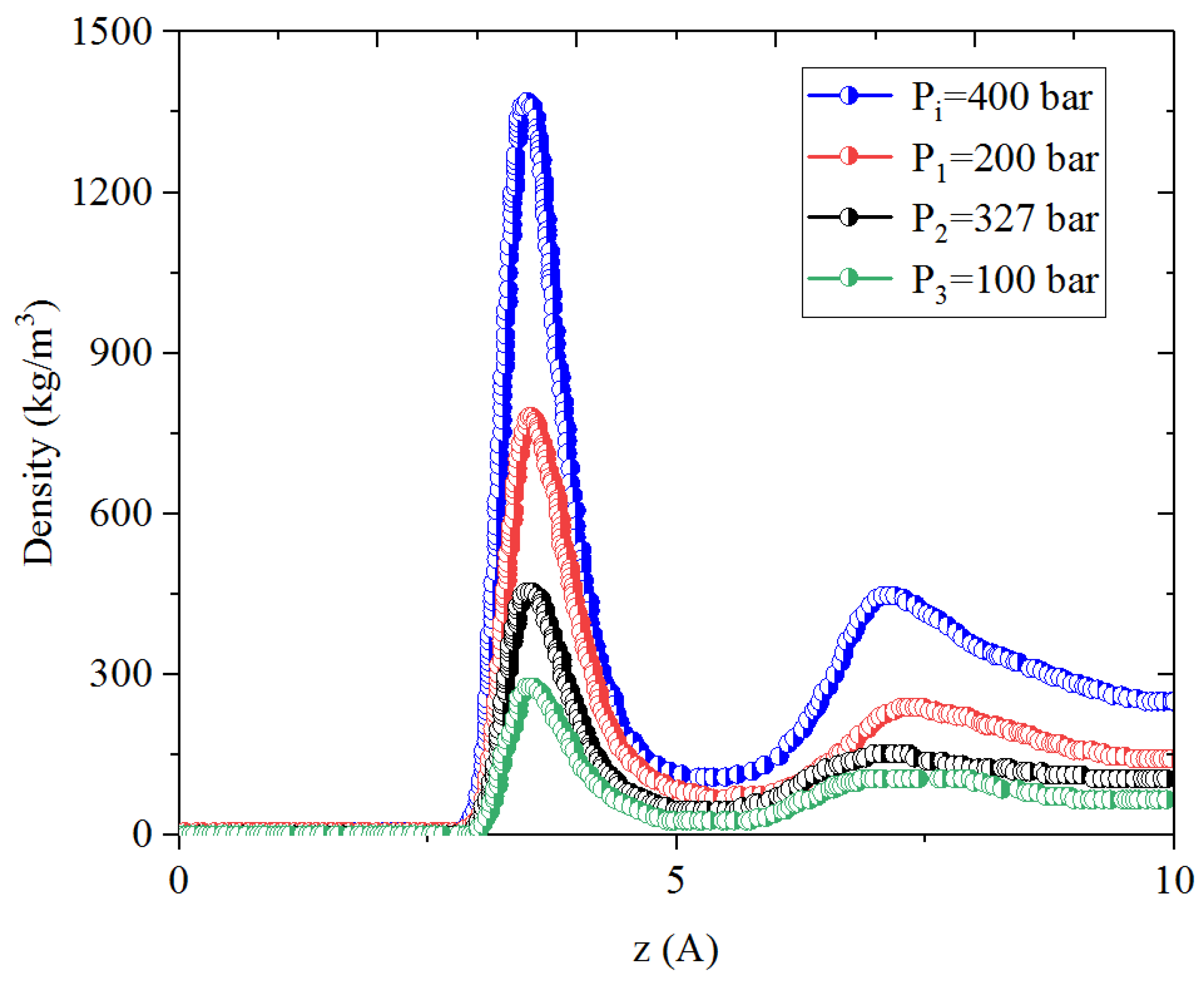
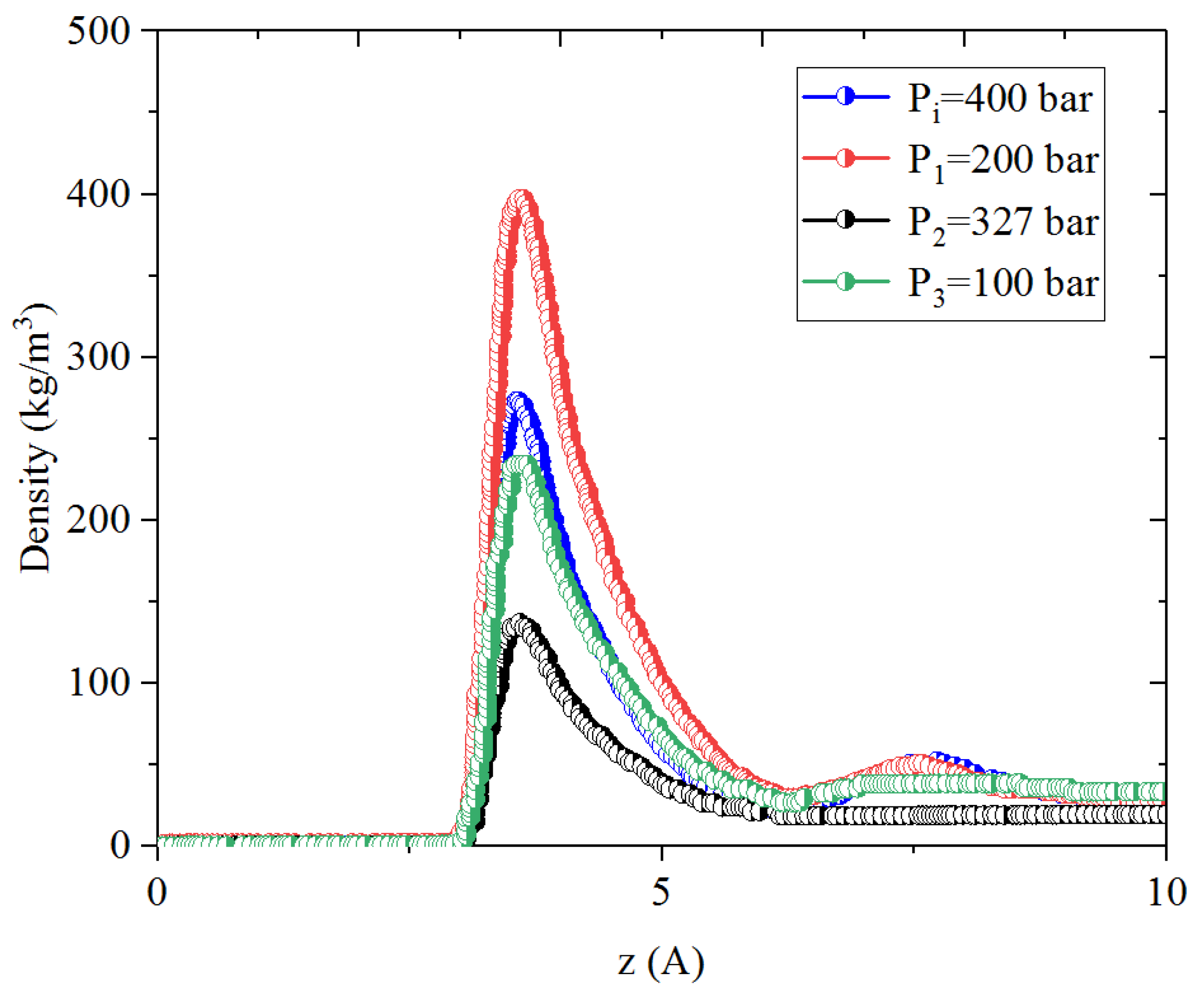
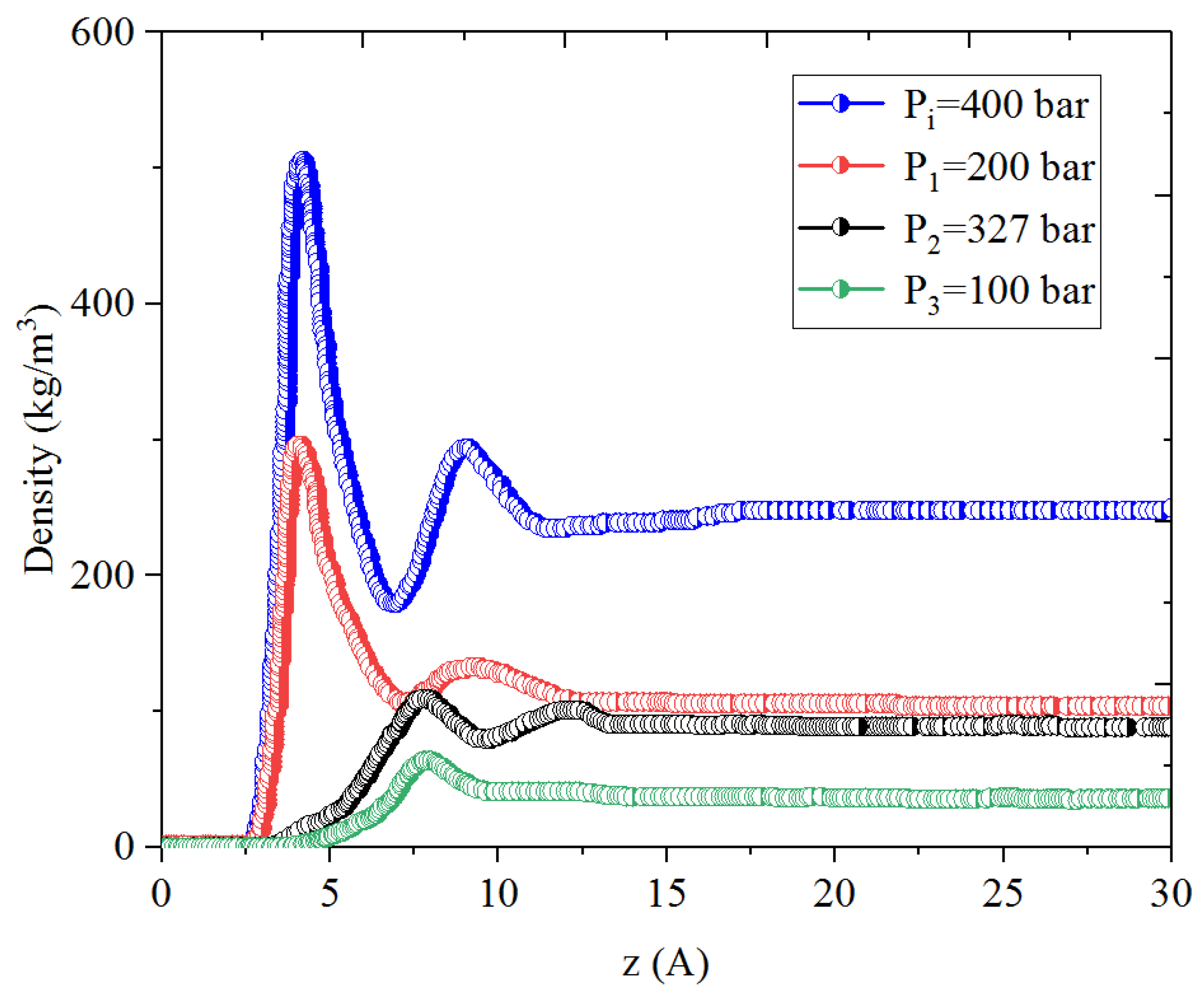
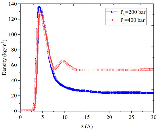
Figure 5, Figure 6, Figure 7 and Figure 8 present the density distribution of CH4 and C4H10 in a CH4-C4H10 mixture in the inorganic micropores and mesopores at Pi and P1, respectively. In this work, the inorganic nanopores are represented by K-illite pores. Similarly to that in the organic pores, CH4 and C4H10 molecules form an adsorption layer near the pore surface and free-gas region at the pore center in mesopores, while there is no free gas in the micropores. Comparatively, the density in the adsorption layers in the inorganic pores is much smaller than that in the organic pores, demonstrating relatively weaker molecule–surface interactions in the inorganic pores. As the pressure drops, the density of CH4 in the adsorption layer decreases, while the adsorption layer of C4H10 cannot be recovered during pressure drawdown. Specifically, as with the CH4-C4H10 mixture, the density of C4H10 increases in the first adsorption layer, and the increase is remarkably more significant in the inorganic pores than that of the organic nanopores. In other words, it is more difficult to recover the heavier hydrocarbons from the inorganic pores, such as C4H10.
Figure 5.
Density profiles of CH4 in CH4-C4H10 mixture in inorganic mesopores at 353.15 K.
Figure 6.
Density profiles of C4H10 in CH4-C4H10 mixture in inorganic mesopores at 353.15 K.
Figure 7.
Density profiles of CH4 in CH4-C4H10 mixture in inorganic micropores at 353.15 K.
Figure 8.
Density profiles of C4H10 in CH4-C4H10 mixture in inorganic micropores at 353.15 K.
3.2. Improved Gas Production during CO2 Huff-n-Puff Process
3.2.1. Organic Nanopores
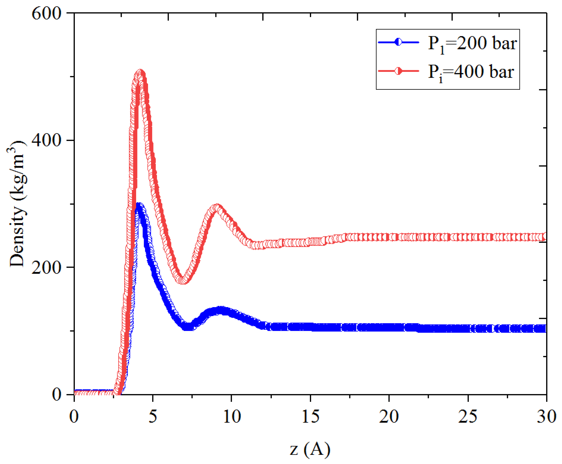
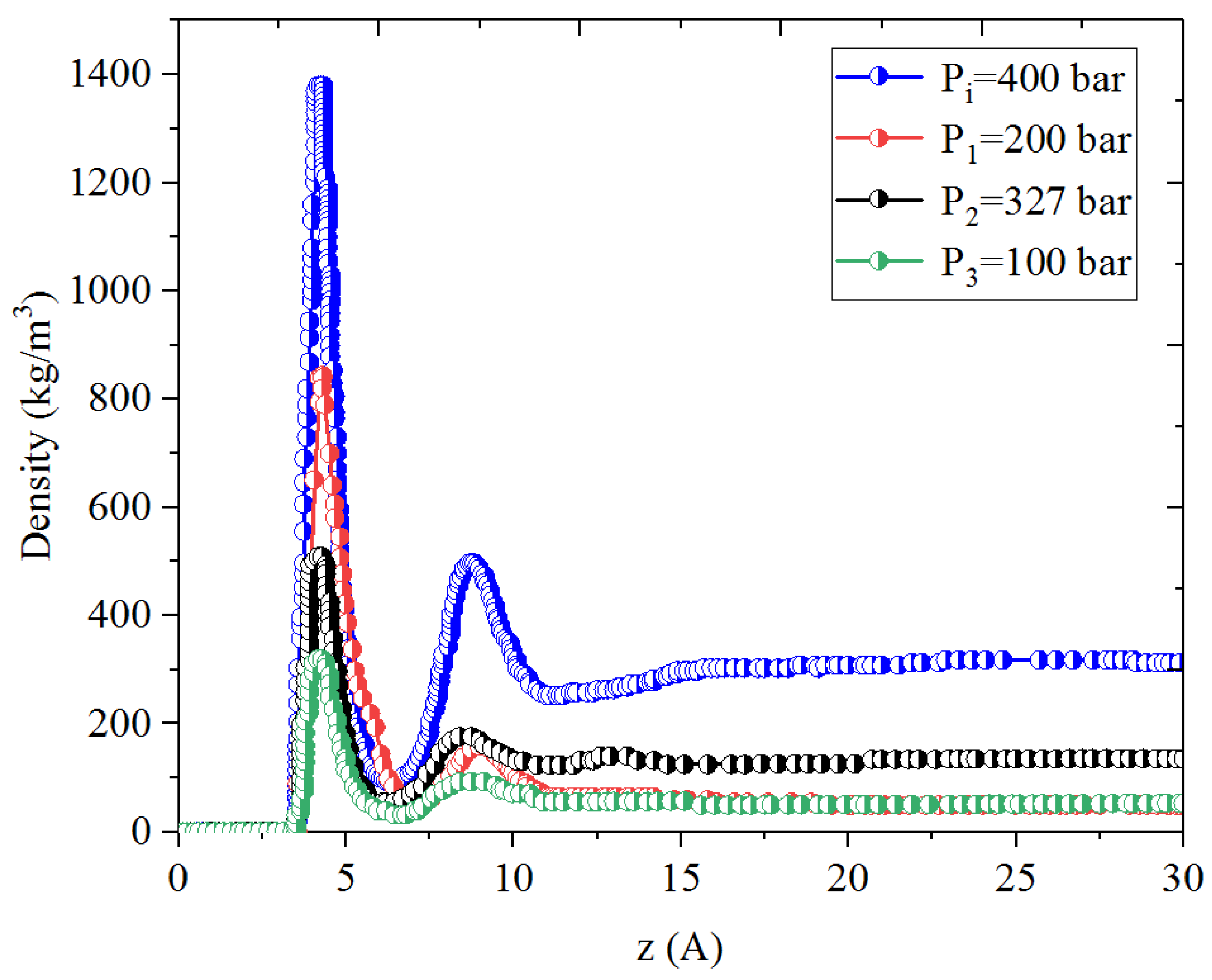
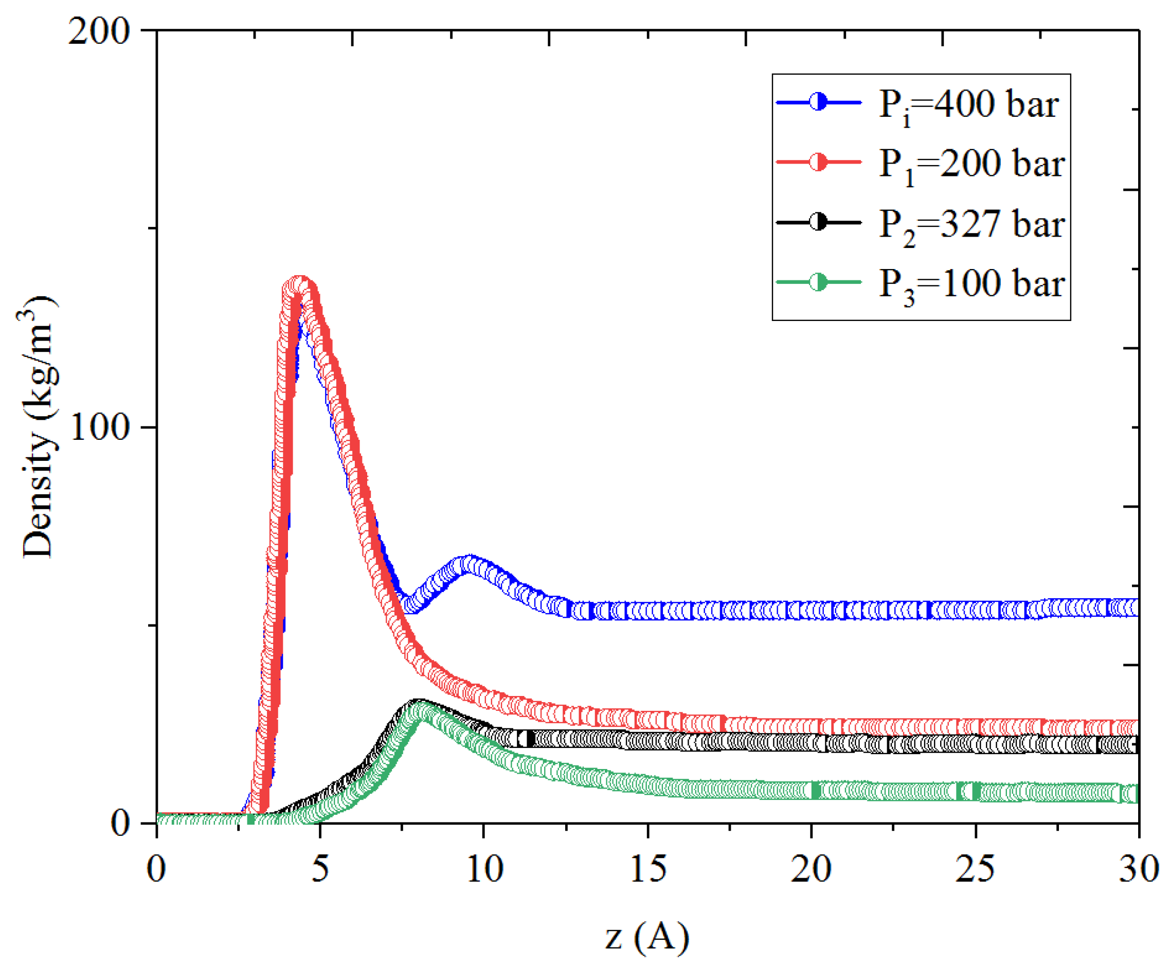
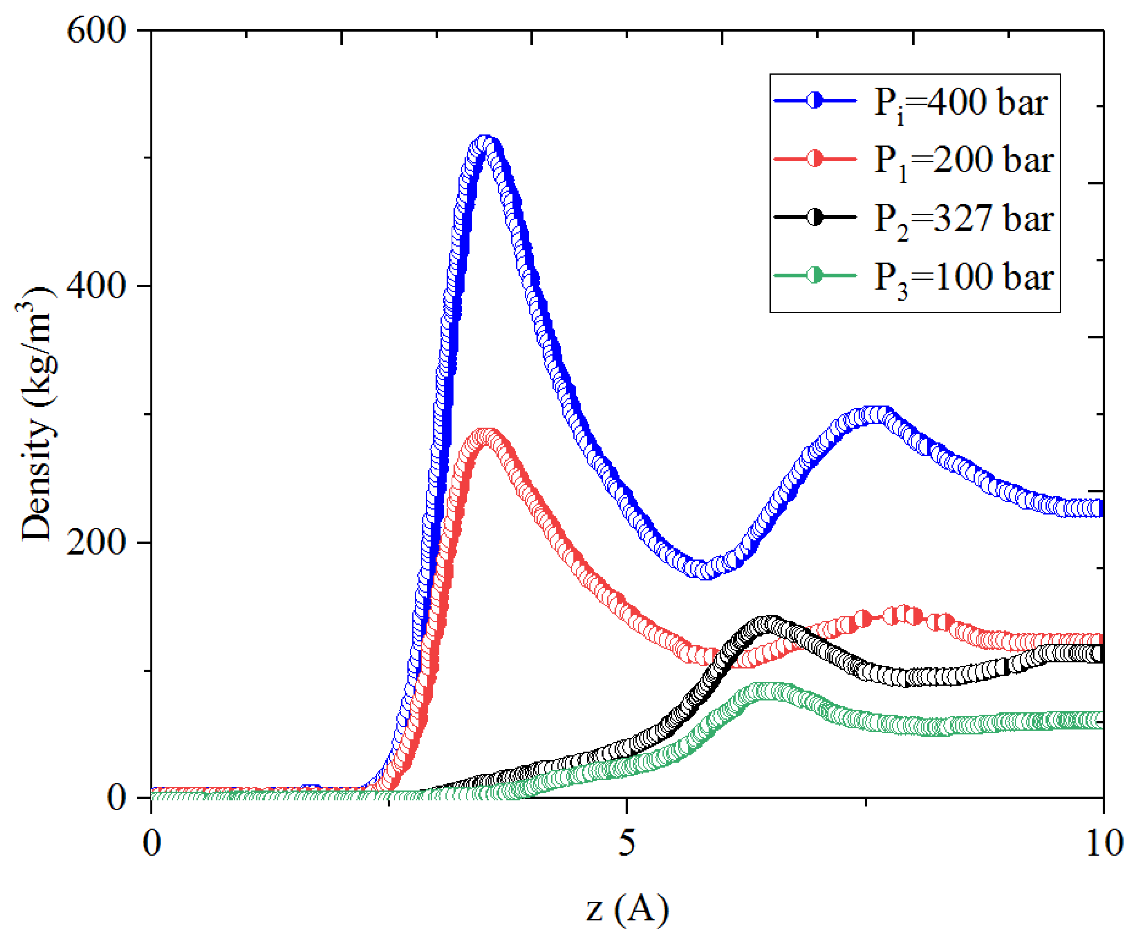
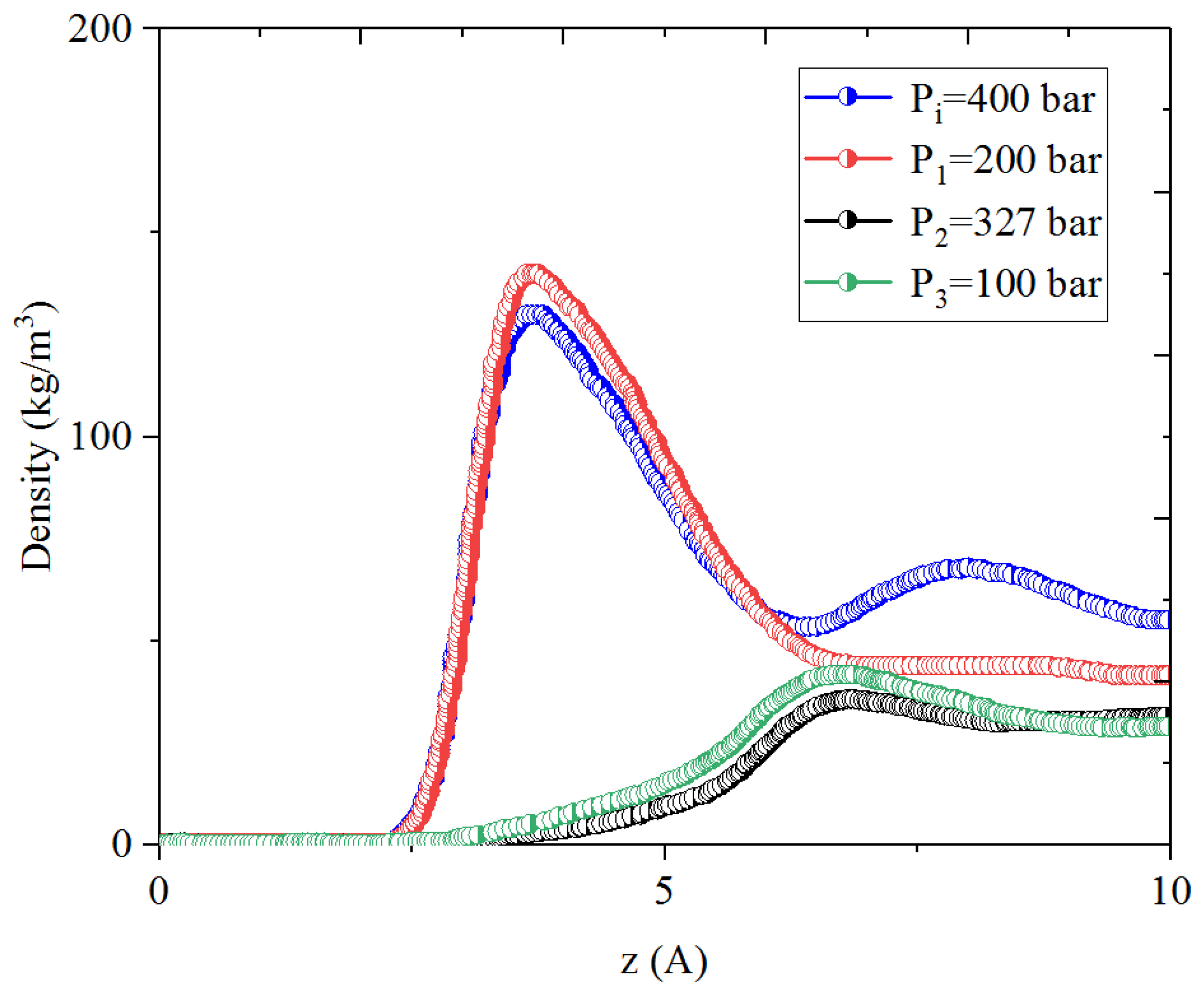
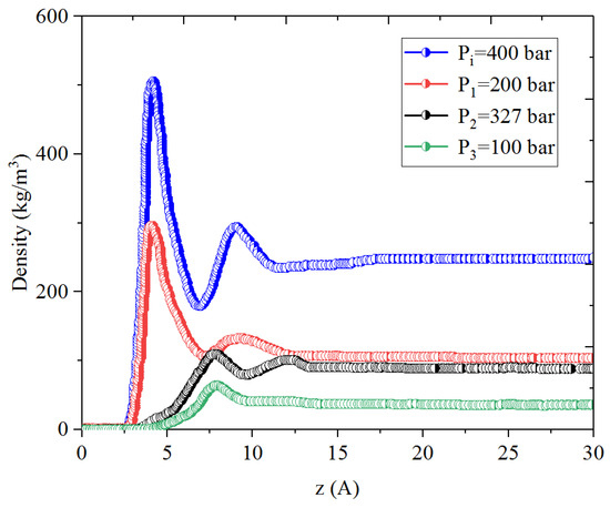
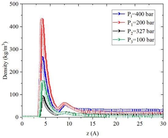
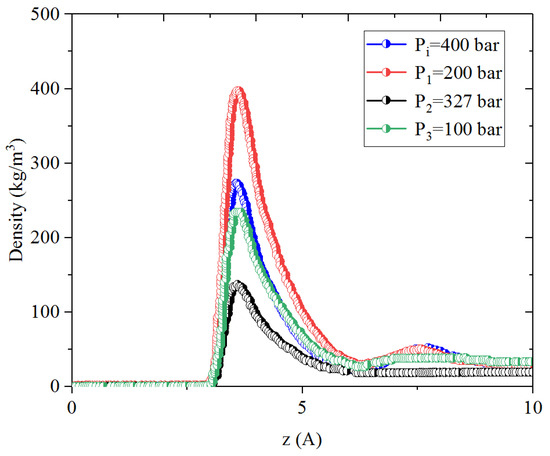
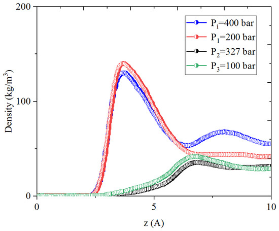
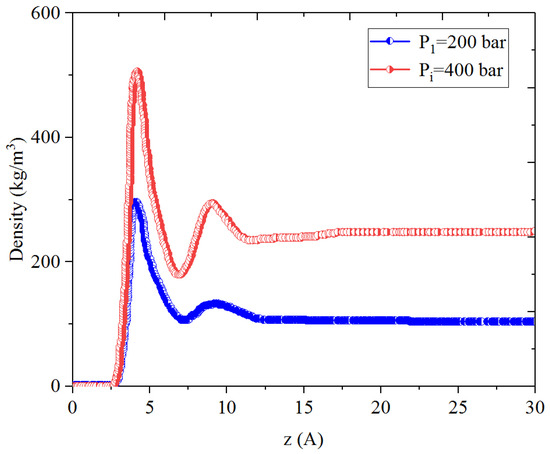
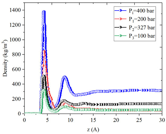
In this process, CO2 is injected into the micro- and mesopores; the system pressure is increased from P1 to P2 during the huffing process and then it decreases to P3 in the puffing process. Figure 9, Figure 10, Figure 11 and Figure 12 present the density profiles of CH4 and C4H10 in the CH4-C4H10 mixture in the organic micropores and mesopores at P1, P2, and P3, respectively. Comparatively, CO2 presents the strongest adsorption capacity on the pore surface compared to CH4 and C4H10. In addition, it is found that the adsorption layer of CO2 is much closer to the pore surface than those of the alkanes, i.e., CH4 and C4H10. After introducing CO2, i.e., in the CO2 huffing period (P1 → P2), the density in the first adsorption layer of CH4 and C4H10 decreases drastically, indicating that the adsorbed hydrocarbons are replaced by the injected CO2. This observation agrees well with the previous work [19,54]. In the puffing process, i.e., P2 → P3, the adsorbed CH4 desorbs from the pore surface continuously and thus can be heavily recovered. However, the density of C4H10 in the adsorption layer is slightly changed, suggesting that the adsorbed C4H10 cannot be readily produced. More interestingly, as puffing time continues, the adsorbed CH4 in the CH4-C4H10 mixture is produced as expected, while the density of C4H10 in the adsorption layer increases, indicating that C4H10 re-adsorbs on the pore surface in the huffing period.
Figure 9.
Density profiles of CH4 in CH4-C4H10-CO2 mixture in organic mesopores at Pi, P1, P2, and P3, respectively.
Figure 10.
Density profiles of C4H10 in CH4-C4H10-CO2 mixture in organic mesopores at Pi, P1, P2, and P3, respectively.
Figure 11.
Density profiles of CH4 in CH4-C4H10-CO2 mixture in organic micropores at Pi, P1, P2, and P3, respectively.
Figure 12.
Density profiles of C4H10 in CH4-C4H10-CO2 mixture in organic micropores at Pi, P1, P2, and P3, respectively.
3.2.2. Inorganic Nanopores
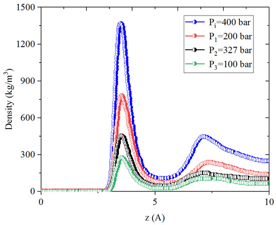
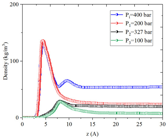
Figure 13, Figure 14, Figure 15 and Figure 16 present the density profiles of CH4, C4H10, and the CH4-C4H10 mixture in the inorganic micropores and mesopores at P1, P2, and P3, respectively. Unlike in organic pores, the density of CO2 in the adsorption layer within inorganic pores is significantly higher. It was reported that CO2 molecules have a neutral charge and zero dipole moment, while CO2 molecules exhibit a strong quadrupole moment [55,56]. These properties enable CO2 to have improved adsorption by combining with the charged clay atoms [46]. Due to the presence of CO2 adsorption layers, CH4 and C4H10 form a second minor adsorption layer towards the pore center. In the inorganic mesopores, the density of CH4 and C4H10 decreases significantly in the adsorption layer during the CO2 huffing period. That is, the adsorbed CH4 and C4H10 can be recovered efficiently from the inorganic mesopores during the CO2 huffing period. On the contrary, in the inorganic micropores, the density of C4H10 in the adsorption layer slightly increases during the CO2 puffing period.
Figure 13.
Density profiles of CH4 in CH4-C4H10-CO2 mixture in inorganic mesopores at Pi, P1, P2, and P3, respectively.
Figure 14.
Density profiles of C4H10 in CH4-C4H10-CO2 mixture in inorganic mesopores at Pi, P1, P2, and P3, respectively.
Figure 15.
Density profiles of CH4 in CH4-C4H10-CO2 mixture in inorganic micropores at Pi, P1, P2, and P3, respectively.
Figure 16.
Density profiles of C4H10 in CH4-C4H10-CO2 mixture in inorganic micropores at Pi, P1, P2, and P3, respectively.
3.3. Shale Hydrocarbon Recovery
The oil recovery efficiency (RE) is obtained for CH4 and C4H10 from the organic and inorganic micro- and mesopores. RE is calculated by (where and represent the density profiles at Pi and P0). Figure 17, Figure 18, Figure 19 and Figure 20 present the recovery efficiency during pressure drawdown and the CO2 huffing and puffing period. We find that RE during pressure drawdown is smaller in micropores than in mesopores, and vice versa for the heavier hydrocarbons, i.e., C4H10. In inorganic pores, the recovery efficiency of C4H10 is much higher than that of organic pores. However, RF is comparable in both kinds of pores for the lighter hydrocarbons, i.e., CH4. Interestingly, the recovery efficiency for C4H10 can be negative in the micropores during pressure drawdown; in other words, the heavy hydrocarbons tend to accumulate in the small pores as pressure drops, which is in line with our previous findings. During CO2 huff and puff, the recovery efficiency of CH4 is higher in the organic pores than that of the inorganic pores; the efficiency during the CO2 huffing process is comparable in the micro- and mesopores. More importantly, we observe that the recovery efficiency of C4H10 reaches the highest in both the inorganic and organic pores during the CO2 huff and puff process. It suggests that the CO2 huff and puff method is more suitable for heavier hydrocarbon recovery compared to the pressure drawdown method.
Figure 17.
Recovery efficiency of CH4 from the organic nanopores during pressure drawdown and the CO2 huff and puff process.
Figure 18.
Recovery efficiency of C4H10 from the organic nanopores during pressure drawdown and the CO2 huff and puff process.
Figure 19.
Recovery efficiency of CH4 from the inorganic nanopores during pressure drawdown and the CO2 huff and puff process.
Figure 20.
Recovery efficiency of C4H10 from the inorganic nanopores during pressure drawdown and the CO2 huff and puff process.
3.4. CO2 Sequestration in Nanopores
Figure 21 and Figure 22 present the molar fraction of the free-state and adsorbed-state CO2 in the micro- and meso-organic and -inorganic pores, respectively. In the organic pores, CO2 is mainly sequestrated in the adsorbed state in micropores, while, in the mesopores, free-state CO2 dominates at low pressures. In large pores, most CO2 molecules are adsorbed on the pore surface during high-pressure conditions; however, as pressure decreases, the adsorbed CO2 desorbs from the pore surface and is sequestrated in the free state. Comparatively, in the small pores, CO2 molecules are mainly in adsorbed state storage due to the strong fluid–pore surface interactions. In the inorganic pores, CO2 is stored mainly in the free state due to the relatively weak fluid–pore surface interactions, except in the micropores at high-pressure conditions. Similarly, as pressure decreases, CO2 sequestration transfers from the adsorbed state to the free-gas state in the inorganic pores. In summary, CO2 sequestration in the adsorbed state is safer than that in the free state. A high content of organic matter, high pressure, and small pores are beneficial factors for transforming CO2 sequestration into adsorbed state storage.
Figure 21.
The molar fraction of the free-state and adsorbed-state CO2 in the micro- and meso-organic pores.
Figure 22.
The molar fraction of the free-state and adsorbed-state CO2 in the micro- and meso-inorganic pores.
4. Conclusions
In this work, the GCMC simulation methods were applied to study the mechanisms of shale hydrocarbon extraction in organic and inorganic nanopores with sizes of 1 nm and 3 nm, analyzing the impact of pressure drawdown and the CO2 huff and puff process on gas recovery rates. During the primary gas production, CH4 readily desorbs from the pore surface and is produced as reservoir pressure drops. On the contrary, C4H10 tends to be trapped in these organic nanopores and is difficult to produce, especially in the micropores. Comparatively, it is more difficult to recover C4H10 from the inorganic pores. During the CO2 puffing process, the adsorbed CH4 desorbs from the pore surface continuously and can therein be heavily extracted. However, the adsorbed C4H10 cannot be readily produced. During the CO2 huffing period, the adsorbed CH4 and C4H10 can desorb and escape from the inorganic mesopores, enhancing shale gas production. However, during the CO2 puffing period, C4H10 in the inorganic micropores is hard to recover. Research findings indicate that during pressure drawdown and the CO2 huff and puff process, CH4 is more easily desorbed and released from the pores, whereas C4H10 is more difficult to generate and recover, especially in inorganic micropores.
Recovery efficiency during pressure drawdown is smaller in micropores than that of the mesopores. In inorganic pores, the recovery efficiency of C4H10 is much higher than that in the organic pores. However, it is comparable in both pores for CH4. In addition, the recovery efficiency of C4H10 can be negative in the micropores during pressure drawdown. During CO2 huff and puff, the recovery efficiency of CH4 is higher in the organic pores than that in the inorganic pores. More importantly, the recovery efficiency of C4H10 reaches the highest for both the inorganic and organic pores during the CO2 huff and puff process. These findings indicate that the CO2 huff and puff method is more effective for recovering heavier hydrocarbons than the pressure drawdown method.
Beyond traditional carbon sequestration methods, CO2 mainly sequestrates in the adsorbed state in organic pores, while it mainly sequestrates in the free-gas state in the inorganic pores. According to the content of this study, CO2 sequestration in the adsorbed state is safer than that in the free state. In our work, it is found that a high content of organic matter, high pressure, and small pores are beneficial factors for CO2 sequestration transforming into adsorbed state storage.
Author Contributions
Data curation and Writing–original draft, J.G.; Formal analysis and Project administration, S.K.; Investigation, K.L.; Methodology, G.R.; Software, T.Y.; Supervision, K.D.; Writing-review & editing and Funding acquisition, Y.L. All authors have read and agreed to the published version of the manuscript.
Funding
This research was funded by the National Natural Science Foundation of China (Grant No. 52004320), the PetroChina Innovation Foundation (2019D-5007-0204), and the Science Foundation of China University of Petroleum, Beijing (No. 2462021QNXZ012). Additionally, funding was received from the Science and Technology Innovation Project of the Shanxi Provincial Department of Education for the study on the multi-field coupling and multi-phase reaction mechanism of solid waste filling and sealing of goaf in power plants and coal mines (No.: 2022SX55L055), as well as from a youth project of the Shanxi Basic Research Program (Free Exploration) for research on the multi-field coupling mechanism of solid waste filling and simultaneous storage of CO2 in goaf (No.: 2022SX09301223073). Furthermore, support was provided by the Hebei Provincial Natural Science Foundation Funded Project–Outstanding Young Scientist Fund Project (E2023508019). The APC was funded by [a youth project of the Shanxi Basic Research Program (Free Exploration)].
Data Availability Statement
We do not accept the public sharing of raw data. The raw data discussed in this study is included in the article materials, and further inquiries can be directed to the corresponding author.
Conflicts of Interest
Author Guoan Ren was employed by the company Jin Chuang Investment, The remaining authors declare that the research was conducted in the absence of any commercial or financial relationships that could be construed as a potential conflict of interest.
References
- Cao, Y.; Jin, Z.; Zhu, R.; Liu, K. Pore systems and their correlation with oil enrichment in various lithofacies of saline lacustrine shale strata. Int. J. Coal Geol. 2024, 282, 104444. [Google Scholar] [CrossRef]
- EIA. Annual Energy Outlook 2017 with Projections to 2050; EIA: San Antonio, TX, USA, 2017. [Google Scholar]
- Jia, B.; Tsau, J.S.; Barati, R. A review of the current progress of CO2 injection EOR and carbon storage in shale oi reservoirs. Fuel 2019, 236, 404–427. [Google Scholar] [CrossRef]
- Flannery, J.; Kraus, J. Integrated Analysis of the Bakken Petroleum System. Am. Assoc. Pet. Geol. Search Discov. 2006, 19, 138–145. [Google Scholar]
- Hamling, Z. Developments in CO2, ethane, and rich gas EOR: A Williston basin perspective. In Proceedings of the CO2 & ROZ Conference Carbon Management Workshop, Midland, TX, USA, 4 December 2017. [Google Scholar]
- Ahmed, U.; Meehan, D.N. Unconventional Oil and Gas Resources: Exploitation and Development; Taylor & Francis: Abingdon, UK, 2016. [Google Scholar]
- Liu, Y.; Jin, Z.; Li, H. Comparison of Peng-Robinson equation of state with capillary pressure model with engineering density-functional theory in describing the phase behavior of confined hydrocarbons. SPE J. 2018, 23, 1784–1797. [Google Scholar] [CrossRef]
- Yu, W.; Lashgari, H.R.; Wu, K.; Sepehrnoori, K. CO2 injection for enhanced oil recovery in Bakken tight oil reservoirs. Fuel 2015, 212, 321–435. [Google Scholar] [CrossRef]
- Cherian, B.V.; Stacey, E.S.; Lewis, R.; Iwere, F.O.; Heim, R.N.; Higgins, S.M. Evaluating horizontal well completion effectiveness in a field development program. SPE 152177. Presented at SPE Hydraulic Fracturing Technology Conference, The Woodlands, TX, USA, 6–8 February 2012; p. 506. [Google Scholar]
- Hoffman, B.T. Comparison of various gases for enhanced recovery from shale oil reservoirs. SPE 154329. Presented at SPE Improved Oil Recovery Symposium, Tulsa, OK, USA, 14–18 April 2012. [Google Scholar]
- Hawthorne, S.B.; Gorecki, C.D.; Sorensen, J.A.; Steadman, E.N.; Harju, J.A.; Melzer, S. Hydrocarbon mobilization mechanisms from upper, middle, and lower Bakken reservoir rocks exposed to CO2. SPE 167200. Presented at SPE Unconventional Resources Conference, Calgary, AB, Canada, 5–7 November 2013. [Google Scholar]
- Stalkup, F.I. Displacement behavior of the condensing/vaporizing gas drive process. SPE 16715. Presented at SPE Annual Technical Conference and Exhibition, Dallas, TX, USA, 27–30 September 1987. [Google Scholar]
- Holm, L.W. Evolution of the carbon dioxide flooding processes. J. Petrol. Technol. 1987, 39, 1337–1342. [Google Scholar] [CrossRef]
- Kurtoglu, B.; Sorensen, J.A.; Braunberger, J.; Smith, S.; Kazemi, H. Geologic characterization of a Bakken reservoir for potential CO2 EOR. SPE 168915. Presented at Unconventional Resources Technology Conference, Denver, CO, USA, 12–14 August 2013. [Google Scholar]
- Song, C.; Yang, D. Performance evaluation of CO2 huff-n-puff processes in tight oil formations. SPE 167217. Presented at SPE Unconventional Resources Conference, Calgary, AB, Canada, 5–7 November 2013. [Google Scholar]
- Adekunle, O.; Hoffman, B.T. Minimum miscibility pressure studies in the Bakken. SPE 169077. Presented at SPE Improved Oil Recovery Symposium, Tulsa, OK, USA, 12–16 April 2014. [Google Scholar]
- Jarrell, P.M.; Fox, C.E.; Stein, M.H.; Webb, S.L. Practical Aspects of CO2 flooding: SPE Monograph, Vol. 22. Henry L. Doherty Series; Society of Petroleum Engineers: Richardson, TX, USA, 2002. [Google Scholar]
- Holm, L.W.; Josendal, V.A. Mechanisms of oil displacement by carbon dioxide. J. Petrol. Technol. 1974, 26, 1427–1438. [Google Scholar] [CrossRef]
- Zhang, M.; Zhan, S.; Zhan, S.; Jin, Z. Recovery mechanisms of hydrocarbon mixtures in organic and inorganic nanopores during pressure drawdown and CO2 injection from molecular perspectives. Chem. Eng. J. 2020, 382, 122808. [Google Scholar] [CrossRef]
- Xu, H.; Kim, D.H.; Delshad, M. Potential for non-thermal cost-efective chemical augmented waterflood for viscous oils. Paper SPE 165350. Presented at the SPE Western Regional and AAPG Pacific Section Meeting Joint Technical Conference, Monterey, CA, USA, 19–25 April 2012. [Google Scholar]
- Fortenberry, R. Experimental Demonstration and Improvement of Chemical EOR Techniques in Heavy Oils. Master Thesis, University if Texas at Austin, Austin, TX, USA, 2013. [Google Scholar]
- Tagavifar, M.; Fortenberry, R.; Rouffignac, E.D.; Sepehrnoori, K.; Pope, G. Heavy oil recovery by combined hot water and alkali/cosolvent/polymer flooding. SPE J. 2016, 21, 74–86. [Google Scholar] [CrossRef]
- Liu, Y.; Hu, T.; Rui, Z.; Zhang, Z.; Du, K.; Yang, T.; Dindoruk, B.; Stenby, E.H.; Torabi, F.; Afanasyev, A. An Integrated Framework for Geothermal Energy Storage with CO2 Sequestration and Utilization. Engineering, 2023; in press. [Google Scholar]
- Al-Anazi, H.A.; Walker, J.G.; Pope, G.A.; Sharma, M.M.; Hackney, D.F. A successful methanol treatment in a gas/condensate reservoir: Field application. SPE Prod. Fac. 2003, 20, 60–69. [Google Scholar] [CrossRef]
- Sayed, M.A.; Al-Muntasheri, G.A. Liquid bank removal in production wells drilled in gas-condensate reservoirs: A critical review. In Proceedings of the SPE International Symposium and Exhibition on Formation Damage Control, Lafayette, LA, USA, 19–21 February 2020; pp. 26–28. [Google Scholar]
- Liu, Y.; Rui, Z. A Storage-driven CO2 EOR for net-zero emission target. Engineering 2022, 18, 79–87. [Google Scholar] [CrossRef]
- Liu, Y.; Rui, Z.; Dindoruk, B.; Yang, T. Using propanol as an additive to CO2 for improving CO2 utilization and storage in oil reservoirs. Appl. Energy 2022, 311, 118640. [Google Scholar] [CrossRef]
- Cao, Y.; Jin, Z.; Zhu, R.; Liu, K.; Bai, J. Comprehensive evaluation of the organic-rich saline lacustrine shale in the Lucaogou Formation, Jimusar sag, Junggar Basin, NW China. Energy 2024, 294, 130786. [Google Scholar] [CrossRef]
- Etminan, S.R.; Maini, B.B.; Chen, Z.; Hassanzadeh, H. Constant-pressure technique for gas diffusivity and solubility measurements in heavy oil and bitumen. Energy Fuels 2010, 24, 533–549. [Google Scholar] [CrossRef]
- Sigmund, P.M. Prediction of molecular diffusion at reservoir conditions. Part 1—measurement and prediction of binary dense gas diffusion coefficients. J. Can. Pet. Technol. 1976, 15, 48–57. [Google Scholar] [CrossRef]
- Ghaderi, S.M.; Tabatabaie, S.H.; Hassanzadeh, H.; Pooladi-Darvish, M. Estimation of concentration-dependent diffusion coefficient in pressure-decay experiment of heavy oils and bitumen. Fluid Phase Equilib. 2011, 305, 132–144. [Google Scholar] [CrossRef]
- Riazi, M.R.; Whitson, C.H. Estimating diffusion coefficients of dense fluids. Ind. Eng. Chem. Res. 1993, 32, 3081–3088. [Google Scholar] [CrossRef]
- Jiang, J.; Rui, Z.; Hazlett, R.; Lu, J. An integrated technical-economic model for evaluating CO2 enhanced oil recovery development. Appl. Energy 2019, 247, 190–211. [Google Scholar] [CrossRef]
- Zhao, Y.; Rui, Z.H.; Zhang, Z.; Chen, S.W.; Yang, R.F.; Du, K.; Dindoruk, B.; Yang, T.; Stenby, E.H.; Wilson, M.A. Importance of conformance control in reinforcing synergy of CO2 EOR and sequestration. Pet. Sci. 2022, 19, 3088–3106. [Google Scholar] [CrossRef]
- Song, L.; Kantzas, A.; Bryan, J.L. Experimental measurement of diffusion coefficient of CO2 in heavy oil using X-ray computed-assisted tomography under reservoir conditions. In Proceedings of the SPE Canadian Unconventional Resources and International Petroleum Conference, Calgary, AB, USA, 19–21 October 2010. [Google Scholar]
- Liu, Y.; Ma, X.; Hou, J. Comparing the effectiveness of SO2 with CO2 for replacing hydrocarbons from nanopores. Energy Fuels 2019, 33, 5200–5207. [Google Scholar] [CrossRef]
- Huang, X.; Gu, L.; Li, S.; Du, Y.; Liu, Y. Absolute adsorption of light hydrocarbons on organic-rich shale: An efficient determination method. Fuel 2022, 308, 121998. [Google Scholar] [CrossRef]
- Liu, Y.; Ma, X.; Li, H.; Hou, J. Competitive adsorption behavior of hydrocarbon(s)/CO2 mixtures in a double-nanopore system using molecular simulations. Fuel 2019, 252, 612–621. [Google Scholar] [CrossRef]
- Deer, W.A.; Howie, R.A.; Zussman, J. An Introduction to the Rock Forming Minerals; Longman: London, UK, 1996. [Google Scholar]
- Fernández, J.; Sotenko, M.; Derevschikov, V.; Lysikov, A.; Rebrov, E.V. A radiofrequency heated reactor system for post-combustion carbon capture. Chem. Eng. Process. Process Intensif. 2016, 108, 17–26. [Google Scholar] [CrossRef]
- Chronopoulos, T.; Fernandez-Diez, Y.; Maroto-Valer, M.M.; Ocone, R.; Reay, D.A. CO2 desorption via microwave heating for post-combustion carbon capture. Microporous Mesoporous Mater. 2014, 197, 288–290. [Google Scholar] [CrossRef]
- Szczerba, M.; Derkowski, A.; Kalinichev, A.G.; Środoń, J. Molecular modeling of the effects of 40Ar recoil in illite particles on their K-Ar isotope dating. Geochim. Cosmochim. Acta 2015, 159, 162–176. [Google Scholar] [CrossRef]
- Martin, M.G.; Siepmann, J.I. Transferable potentials for phase equilibria. 1. United-atom description of n-alkanes. J. Phys. Chem. B 1998, 102, 2569–2577. [Google Scholar] [CrossRef]
- Lorentz, H.A. Nachtrag zu der Abhandlung: Ueber die Anwendung des Satzes vom Virial in der kinetischen Theorie der Gase. Ann. Phys 1881, 248, 660–661. [Google Scholar] [CrossRef]
- Jin, Z.; Firoozabadi, A. Effect of water on methane and carbon dioxide sorption in clay minerals by Monte Carlo simulations. Fluid Phase Equilibria 2014, 382, 10–20. [Google Scholar] [CrossRef]
- Crozier, P.S.; Rowley, R.L.; Spohr, E.; Henderson, D. Comparison of charged sheets and corrected 3D Ewald calculations of long-range forces in slab geometry electrolyte systems with solvent molecules. J. Chem. Phys. 2000, 112, 9253–9257. [Google Scholar] [CrossRef][Green Version]
- Liu, Y.; Li, H.A.; Tian, Y.; Jin, Z.; Deng, H. Determination of the absolute adsorption/desorption isotherms of CH4 and n-C4H10 on shale from a nano-scale perspective. Fuel 2018, 218, 67–77. [Google Scholar] [CrossRef]
- Hensen EJ, M.; Tambach, T.J.; Bliek, A.; Smit, B. Adsorption isotherms of water in Li-, Na-, and K-montmorillonite by molecular simulations. J. Chem. Phys. 2001, 115, 3322–3329. [Google Scholar] [CrossRef]
- Widom, B. Some topics in the theory of fluids. J. Chem. Phys. 1963, 39, 2808–2812. [Google Scholar] [CrossRef]
- Peng, D.-Y.; Robinson, D.B. A new two-constant equation of state. Ind. Eng. Chem. Fundam. 1976, 15, 59–64. [Google Scholar] [CrossRef]
- Lu, L.; Wang, Q.; Liu, Y. Adsorption and separation of ternary and quaternary mixtures of short linear alkanes in zeolites by molecular simulation. Langmuir 2003, 19, 10617–10623. [Google Scholar] [CrossRef]
- Sun, Z.; Wu, K.; Shi, J.; Zhang, T.; Feng, D.; Huang, L.; Li, X. An analytical model for transport capacity of water confifined in nanopores. Int. J. Heat Mass Transf. 2019, 138, 620–630. [Google Scholar] [CrossRef]
- Yu, X.; Tang, W.; Zhao, T.; Jin, Z.; Zhao, S.; Liu, H. Confinement effect on molecular conformation of alkanes in water-filled cavitands: A combined quantum/classical DFT study. Langmuir 2018, 34, 13491–13496. [Google Scholar] [CrossRef]
- Baek, S.; Akkutlu, I.Y. Produced-flfluid composition redistribution in source rocks for hydrocarbon-in-place and thermodynamic recovery calculations. SPE J. 2019, 24, 1395–1414. [Google Scholar] [CrossRef]
- Buckingham, A.; Disch, R.-L. The quadrupole moment of the carbon dioxide molecule. Proc. R. Soc. Lond. A 1963, 273, 275–289. [Google Scholar]
- Sethia, G.; Somani, R.S.; Bajaj, H.C. Adsorption of carbon monoxide, methane and nitrogen on alkaline earth metal ion exchanged zeolite-X: Structure, cation position and adsorption relationship. RSC Adv. 2015, 5, 12773–12781. [Google Scholar] [CrossRef]
Disclaimer/Publisher’s Note: The statements, opinions and data contained in all publications are solely those of the individual author(s) and contributor(s) and not of MDPI and/or the editor(s). MDPI and/or the editor(s) disclaim responsibility for any injury to people or property resulting from any ideas, methods, instructions or products referred to in the content. |
© 2024 by the authors. Licensee MDPI, Basel, Switzerland. This article is an open access article distributed under the terms and conditions of the Creative Commons Attribution (CC BY) license (https://creativecommons.org/licenses/by/4.0/).





















