Nanoscatterer-Assisted Fluorescence Amplification Technique
Abstract
1. Introduction
2. Materials and Methods
2.1. Materials
2.1.1. Fluorophore
2.1.2. Scatterers
2.2. Optical Pumping
2.3. Methods
2.3.1. Sample Preparation
2.3.2. Fluorescein
2.3.3. TiO
2.4. Scatterer Characterization
2.4.1. -Potential
2.4.2. Dynamic Light Scattering
3. Experimental Setup
3.1. Optical Setup
3.2. Synchronization
- 1.
- The ability to monitor the variability of each OPO pulse and correlate it with the observed fluorescence emission;
- 2.
- Controlled number of pulses with sequential acquisition;
- 3.
- Constant duration for each pulse sequence;
- 4.
- Compatibility with the memory depth of the oscilloscope (segmentation).
3.3. Sample Mounting
3.4. Determination of the Optimal Acquisition Time-Window
3.5. Energy Measurements
4. Data Analysis
- 1.
- For all combinations of (), we measure all quantities of interest for six different (nominal) values of pulse energy mJ (the actual values shown in the graphs are adjusted based on the reference measured by P1).
- 2.
- For each energy and preparation (), we repeat the measurements on six independent samples.
- 3.
- For each energy and sample, we acquire and record 10 consecutive fluorescence spectra obtained from 10 pump pulses (1s total acquisition time).
- 4.
- For each energy and sample, we compute the mean and the standard deviation of the measured quantities (fluorescence amplification, gain, fluorescence decay time and Full Width at Half-Maximum (FWHM) of the measured spectra) for 10 measurements.
- 5.
- For each measured quantity, we calculate the weighted average and the standard deviation over the six repetitions (samples) [58]:where represents any of the measured averages, its standard deviation and M is the number of repetitions ( throughout the experiment).
5. Results and Discussion
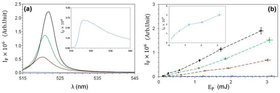
5.1. Influence of TiO-NPs upon FITC Fluorescence Intensity
5.2. Influence of TiO-NPs upon FITC Fluorescence Spectra
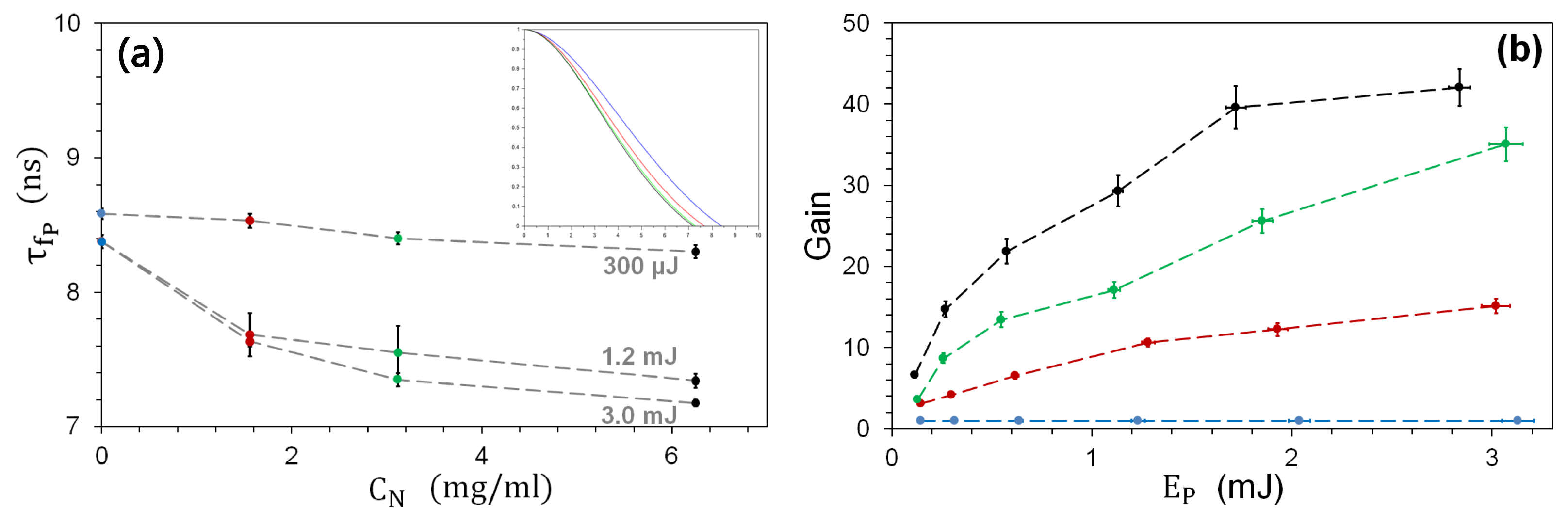
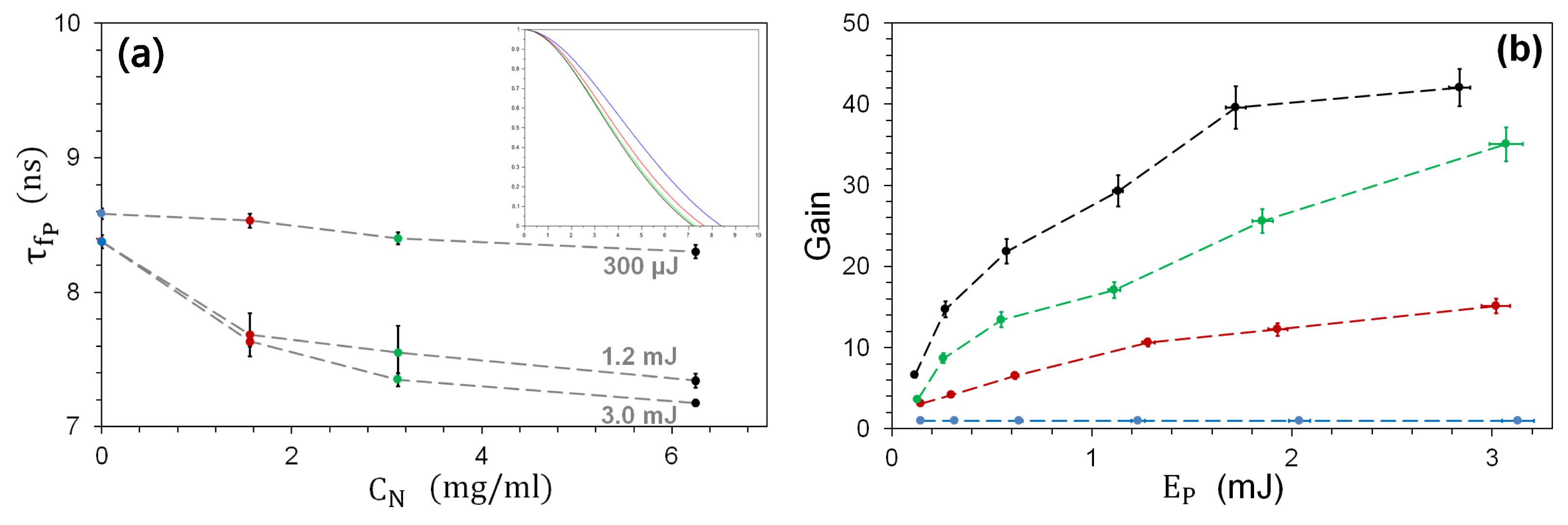
5.3. Influence of TiO-NPs upon FITC Fluorescence Pulse Duration
5.4. Influence of TiO-NPs upon Optical Gain
5.5. Additional Evidence
6. Conclusions
Supplementary Materials
Author Contributions
Funding
Data Availability Statement
Acknowledgments
Conflicts of Interest
Abbreviations
| DLS | Dynamic Light Scattering |
| DM | Dychroic Mirror |
| FDA | Food and Drug Administration |
| FITC | Fluorescein-5-Isothiocyanate |
| FWHM | Full Width at Half Maximum |
| NA | Numerical Aperture |
| ND | Neutral Density |
| NP | Nanoparticle(s) |
| OD | Optical Density |
| OPO | Optical Parametric Oscillator |
| Rh6G | Rhodamine 6G |
| TiO | Titanium Dioxide |
| TiO-NP | Titanium Dioxide Nanoparticle(s) |
| TTL | Transistors–Transistor Logic |
| UV | Ultraviolet |
| ZnO | Zinc Oxide |
References
- Valeur, B.; Berberan-Santos, M.N. Molecular Fluorescence: Principles and Applications; Wiley: New York, NY, USA, 2012. [Google Scholar]
- Petersen, N.O.; Elson, E.L. Measurements of diffusion and chemical kinetics by fluorescence photobleaching recovery and fluorescence correlation spectroscopy. Methods Enzimol. 1986, 130, 454–484. [Google Scholar]
- Elson, E.L. Fluorescence Correlation Spectroscopy: Past, Present, Future. Biophys. J. 2011, 101, 2855–2870. [Google Scholar] [CrossRef] [PubMed]
- Schärfeling, M. The Art of Fluorescence Imaging with Chemical Sensors. Angew. Chem. 2012, 51, 3532–3554. [Google Scholar] [CrossRef]
- Ntziachristos, V. Fluorescence Molecular Imaging. Ann. Rev. Biomed. Eng. 2006, 8, 1–33. [Google Scholar] [CrossRef]
- Koch, M.; Symvoulidis, P.; Ntziachristos, V. Tackling standardization in fluorescence molecular imaging. Nat. Photonics 2018, 12, 505–515. [Google Scholar] [CrossRef]
- Yuste, R. Fluorescence microscopy today. Nat. Meth. 2005, 2, 902–904. [Google Scholar] [CrossRef]
- Lukina, M.M.; Shimolina, L.E.; Kiselev, N.M.; Zagainov, V.E.; Komarov, D.V.; Zagaynova, E.V.; Shirmanova, M.V. Interrogation of tumor metabolism in tissue samples ex vivo using fluorescence lifetime imaging of NAD (P) H. Methods Appl. Fluoresc. 2019, 8, 014002. [Google Scholar] [CrossRef] [PubMed]
- Lakowicz, J.R.; Ray, K.; Chowdhury, M.; Szmacinski, H.; Fu, Y.; Zhang, J.; Nowaczyk, K. Plasmon-controlled fluorescence: A new paradigm in fluorescence spectroscopy. Analyst 2008, 133, 1308–1346. [Google Scholar] [CrossRef]
- Bruchez, M., Jr.; Moronne, M.; Gin, P.; Weiss, S.; Alivisatos, A.P. Semiconductor nanocrystals as fluorescent biological labels. Science 1998, 281, 2013–2016. [Google Scholar] [CrossRef]
- Wang, X.; Shen, C.; Zhou, C.; Bu, Y.; Yan, X. Methods, principles and applications of optical detection of metal ions. Chem. Eng. J. 2021, 417, 129125. [Google Scholar] [CrossRef]
- Bose, A.; Thomas, I.; Abraham, E. Fluorescence spectroscopy and its applications: A Review. Int. J. Adv. Pharm. Res. 2018, 8, 1–8. [Google Scholar]
- Sieroń, A.; Sieroń-Stołtny, K.; Kawczyk-Krupka, A.; Latos, W.; Kwiatek, S.; Straszak, D.; Bugaj, A.M. The role of fluorescence diagnosis in clinical practice. Onco Targets Ther. 2013, 6, 977–982. [Google Scholar]
- Salins, L.L.E.; Goldsmith, E.S.; Ensor, C.M.; Daunert, S. A fluorescence-based sensing system for the environmental monitoring of nickel using the nickel binding protein from Escherichia coli. Anal. Bioanal. Chem. 2002, 372, 174–180. [Google Scholar] [CrossRef]
- Wencel, D.; Moore, J.P.; Stevenson, N.; McDonagh, C. Ratiometric fluorescence-based dissolved carbon dioxide sensor for use in environmental monitoring applications. Anal. Bioanal. Chem. 2010, 398, 1899–1907. [Google Scholar] [CrossRef]
- Bidmanova, S.; Kotlanova, M.; Rataj, T.; Damborsky, J.; Trtilek, M.; Prokop, Z. Fluorescence-based biosensor for monitoring of environmental pollutants: From concept to field application. Biosens. Bioelectron. 2016, 84, 97–105. [Google Scholar] [CrossRef] [PubMed]
- Wang, J.; Li, D.; Ye, Y.; Qiu, Y.; Liu, J.; Huang, L.; Liang, B.; Chen, B. A Fluorescent Metal–Organic Framework for Food Real-Time Visual Monitoring. Adv. Mater. 2021, 33, 2008020. [Google Scholar] [CrossRef] [PubMed]
- Ma, S.; Li, Y.; Peng, Y.; Wang, W. Toward commercial applications of LED and laser-induced fluorescence techniques for food identity, quality, and safety monitoring: A review. Compr. Rev. Food Sci. Food Saf. 2023, 22, 3620–3646. [Google Scholar] [CrossRef]
- Jia, R.; Tian, W.; Bai, H.; Zhang, J.; Wang, S.; Zhang, J. Amine-responsive cellulose-based ratiometric fluorescent materials for real-time and visual detection of shrimp and crab freshness. Nat. Commun. 2019, 10, 795. [Google Scholar] [CrossRef] [PubMed]
- Long, L.; Han, Y.; Yuana, X.; Cao, S.; Liu, W.; Chena, Q.; Wang, K.; Han, Z. A novel ratiometric near-infrared fluorescent probe for monitoring cyanide in food samples. Food Chem. 2020, 331, 127359. [Google Scholar] [CrossRef]
- Shen, Y.; Wei, Y.; Zhu, C.; Cao, J.; Han, D.-M. Ratiometric fluorescent signals-driven smartphone-based portable sensors for onsite visual detection of food contaminants. Coord. Chem. Rev. 2022, 458, 214442. [Google Scholar] [CrossRef]
- Wiersma, D.S. The physics and applications of random lasers. Nat. Phys. 2008, 4, 359–367. [Google Scholar] [CrossRef]
- Luan, F.; Gu, B.; Gomes, A.S.; Yong, K.-T.; Wen, S.; Prasad, P.N. Lasing in nanocomposite random media. Nano Today 2015, 10, 168–192. [Google Scholar] [CrossRef]
- Letokhov, V. Generation of light by a scattering medium with negative resonance absorption. Sov. J. Exp. Theor. Phys. 1968, 26, 835. [Google Scholar]
- Ambartsumyan, R.; Basov, N.; Kryukov, P.; Letokhov, V. A laser with a nonresonant feedback. IEEE J. Quantum Electron. 1966, 2, 442–446. [Google Scholar] [CrossRef]
- Alford, R.; Simpson, H.M.; Duberman, J.; Hill, G.C.; Ogawa, M.; Regino, C.; Kobayashi, H.; Choyke, P.L. Toxicity of organic fluorophores used in molecular imaging: Literature review. Mol. Imaging 2009, 8, 341–354. [Google Scholar] [CrossRef]
- Yi, J.; Feng, G.; Yang, L.; Yao, K.; Yang, C.; Song, Y.; Zhou, S. Behaviors of the Rh6G random laser comprising solvents and scatterers with different refractive indices. Opt. Commun. 2012, 285, 5276–5282. [Google Scholar] [CrossRef]
- Song, Q.; Xiao, S.; Xu, Z.; Liu, J.; Sun, X.; Drachev, V.; Shalaev, V.M.; Akkus, O.; Kim, Y.L. Random lasing in bone tissue. Opt. Lett. 2010, 35, 1425–1427. [Google Scholar] [CrossRef]
- Osminkina, L.A.; Gonchar, K.A.; Marshov, V.S.; Bunkov, K.V.; Petrov, D.V.; Golovan, L.A.; Talkenberg, F.; Sivakov, V.A.; Timoshenko, V.Y. Optical properties of silicon nanowire arrays formed by metal-assisted chemical etching: Evidences for light localization effect. Nano. Res. Lett. 2012, 7, 524. [Google Scholar] [CrossRef]
- Mysliwiec, J.; Cyprych, K.; Sznitko, L.; Miniewicz, A. Biomaterials in light amplification. J. Opt. 2017, 19, 033003. [Google Scholar] [CrossRef]
- Ni, D.; Späth, M.; Klämpfl, F.; Hohmann, M. Properties and Applications of Random Lasers as Emerging Light Sources and Optical Sensors: A Review. Nanomaterials 2023, 23, 247. [Google Scholar] [CrossRef]
- Gather, M.C.; Yun, S.H. Single-cell biological lasers. Nat. Photonics 2011, 5, 406–410. [Google Scholar] [CrossRef]
- De Oliveira, P.C.; Santos, W.Q.; Oliveira, I.N.; Jacinto, C. Random laser and stimulated Raman scattering in liquid solutions of rhodamine dyes. Laser Phys. Lett. 2019, 16, 055002. [Google Scholar] [CrossRef]
- Hosseini, M.S.; Yazdani, E.; Sajad, B.; Mehradnia, F. Random Raman laser of Rhodamine 6G dye containing ZnO nanospheres. J. Lumin. 2021, 232, 117863. [Google Scholar] [CrossRef]
- Fan, X.; Yun, S.-H. The potential of optofluidic biolasers. Nat. Methods 2014, 11, 141–147. [Google Scholar] [CrossRef] [PubMed]
- LaViolette, A.K.; Ouzounov, D.G.; Xu, C. Measurement of three-photon excitation cross-sections of fluorescein from 1154 nm to 1500 nm. Biomed. Opt. Express 2023, 14, 4369–4382. [Google Scholar] [CrossRef]
- Winkler, H.C.; Notter, T.; Meyer, U.; Naegeli, H. Critical review of the safety assessment of titanium dioxide additives in food. J. Nanobiotechnology 2018, 16, 51. [Google Scholar] [CrossRef]
- DeVore, J.R. Refractive indices of rutile and sphalerite. JOSA 1951, 41, 416–419. [Google Scholar] [CrossRef]
- Bodurov, I.; Vlaeva, I.; Viraneva, A.; Yovcheva, T.; Sainov, S. Modified design of a laser refractometer. Nanosci. Nanotechnol. 2016, 16, 31–33. [Google Scholar]
- Magde, D.; Wong, R.; Seybold, P.G. Fluorescence quantum yields and their relation to lifetimes of rhodamine 6G and fluorescein in nine solvents: Improved absolute standards for quantum yields. Photochem. Photobiol. 2002, 75, 327–334. [Google Scholar] [CrossRef] [PubMed]
- Haynes, W.M. CRC Handbook of Chemistry and Physics; CRC: Boca Raton, FL, USA, 2014. [Google Scholar]
- Nastishin, Y.A.; Dudok, T. Optically pumped mirrorless lasing. A review. Part I. Random lasing. Ukr. J. Phys. Opt. 2013, 14, 146–170. [Google Scholar] [CrossRef][Green Version]
- Fan, S.; Zhang, X.; Wang, Q.; Zhang, C.; Wang, Z.; Lan, R. Inflection point of the spectral shifts of the random lasing in dye solution with TiO2 nanoscatterers. J. Phys. D Appl. Phys. 2008, 42, 015105. [Google Scholar] [CrossRef]
- Sigma-Aldrich. Fluorescein Sodium Salt. Available online: https://www.sigmaaldrich.com/catalog/product/sial/f6377 (accessed on 23 July 2019).
- NanoAmor. Titanium Oxide (Rutile, 40 wt%, 30–50 nm) in Water. Available online: https://www.nanoamor.com/inc/sdetail/14252 (accessed on 23 July 2019).
- Allouni, Z.E.; Cimpan, M.R.; Høl, P.J.; Skodvin, T.; Gjerdet, N.R. Agglomeration and sedimentation of TiO2 nanoparticles in cell culture medium. Colloids Surf. B Biointerfaces 2009, 68, 83–87. [Google Scholar] [CrossRef] [PubMed]
- Hotze, E.M.; Phenrat, T.; Lowry, G.V. Nanoparticle aggregation: Challenges to understanding transport and reactivity in the environment. J. Environ. Qual. 2010, 39, 1909–1924. [Google Scholar] [CrossRef] [PubMed]
- Christian, P.; von der Kammer, F.; Baalousha, M.; Hofmann, T. Nanoparticles: Structure, properties, preparation and behaviour in environmental media. Ecotoxicology 2008, 17, 326–343. [Google Scholar] [CrossRef] [PubMed]
- Kosmulski, M. pH-dependent surface charging and points of zero charge. IV. Update and new approach. J. Colloid Interface Sci. 2009, 337, 439–448. [Google Scholar] [CrossRef]
- Kosmulski, M. The pH dependent surface charging and points of zero charge. VII. Update. Adv. Colloid Interface Sci. 2018, 251, 115–138. [Google Scholar] [CrossRef]
- Huber, R.; Stoll, S. Protein affinity for TiO2 and CeO2 manufactured nanoparticles. from ultra-pure water to biological media. Colloids Surf. A Physicochem. Eng. Asp. 2018, 553, 425–431. [Google Scholar] [CrossRef]
- Berne, B.J.; Pecora, R. Dynamic Light Scattering: With Applications to Chemistry, Biology, and Physics; Dover Publications Inc.: Mineola, NY, USA, 2000. [Google Scholar]
- Xu, R. Particle Characterization: Light Scattering Methods; Kluwer: Dordrecht, The Netherlands, 2000; Volume 13. [Google Scholar]
- ISO 22412:2008; Particle Size Analysis—Dynamic Light Scattering (DLS). International Organization for Standardization: Geneva, Switzerland, 2008. Available online: http://www.iso.org/cms/render/live/en/sites/isoorg/contents/data/standard/04/09/40942.html (accessed on 23 July 2019).
- Finsy, R. Particle sizing by quasi-elastic light scattering. Adv. Colloid Interface Sci. 1994, 52, 79–143. [Google Scholar] [CrossRef]
- Braun, D.; Libchaber, A. Trapping of dna by thermophoretic depletion and convection. Phys. Rev. Lett. 2002, 89, 188103. [Google Scholar] [CrossRef]
- Song, L.; Hennink, E.; Young, I.T.; Tanke, H.J. Photobleaching kinetics of fluorescein in quantitative fluorescence microscopy. Biophys. J. 1995, 68, 2588–2600. [Google Scholar] [CrossRef]
- Taylor, J.R. Introduction to Error Analysis, the Study of Uncertainties in Physical Measurements, 2nd ed.; University Science Books: Mills Valley, CA, USA, 1997. [Google Scholar]
- Berne, B.J.; Boon, J.-P.; Rice, S.A. On the Calculation of Autocorrelation Functions of Dynamical Variables. J. Chem. Phys. 1966, 45, 1086–1096. [Google Scholar] [CrossRef]
- Koppel, D.E. Analysis of macromolecular polydispersity in intensity correlation spectroscopy: The method of cumulants. J. Chem. Phys. 1972, 57, 4814–4820. [Google Scholar] [CrossRef]
- Brown, W. Dynamic Light Scattering: The Method and Some Applications; Clarendon: Oxford, UK, 1993; Volume 313. [Google Scholar]
- Korson, L.; Drost-Hansen, W.; Millero, F.J. Viscosity of water at various temperatures. J. Phys. Chem. 1969, 73, 34–39. [Google Scholar] [CrossRef]
- Paschotta, R. Quantum defect. RP Photonics Encyclopedia. Available online: https://www.rp-photonics.com/quantum_defect.html (accessed on 22 October 2023).








Disclaimer/Publisher’s Note: The statements, opinions and data contained in all publications are solely those of the individual author(s) and contributor(s) and not of MDPI and/or the editor(s). MDPI and/or the editor(s) disclaim responsibility for any injury to people or property resulting from any ideas, methods, instructions or products referred to in the content. |
© 2023 by the authors. Licensee MDPI, Basel, Switzerland. This article is an open access article distributed under the terms and conditions of the Creative Commons Attribution (CC BY) license (https://creativecommons.org/licenses/by/4.0/).
Share and Cite
Bonnefond, S.; Reynaud, A.; Cazareth, J.; Abélanet, S.; Vassalli, M.; Brau, F.; Lippi, G.L. Nanoscatterer-Assisted Fluorescence Amplification Technique. Nanomaterials 2023, 13, 2875. https://doi.org/10.3390/nano13212875
Bonnefond S, Reynaud A, Cazareth J, Abélanet S, Vassalli M, Brau F, Lippi GL. Nanoscatterer-Assisted Fluorescence Amplification Technique. Nanomaterials. 2023; 13(21):2875. https://doi.org/10.3390/nano13212875
Chicago/Turabian StyleBonnefond, Sylvain, Antoine Reynaud, Julie Cazareth, Sophie Abélanet, Massimo Vassalli, Frédéric Brau, and Gian Luca Lippi. 2023. "Nanoscatterer-Assisted Fluorescence Amplification Technique" Nanomaterials 13, no. 21: 2875. https://doi.org/10.3390/nano13212875
APA StyleBonnefond, S., Reynaud, A., Cazareth, J., Abélanet, S., Vassalli, M., Brau, F., & Lippi, G. L. (2023). Nanoscatterer-Assisted Fluorescence Amplification Technique. Nanomaterials, 13(21), 2875. https://doi.org/10.3390/nano13212875

