Carrier Modulation via Tunnel Oxide Passivating at Buried Perovskite Interface for Stable Carbon-Based Solar Cells
Abstract
:1. Introduction
2. Materials and Methods
2.1. Materials
2.2. Preparation of TiO2, ZrO2, Al2O3, SiO2 Paste
2.3. Fabrication of C-PSCs
2.4. Measurements and Characterization
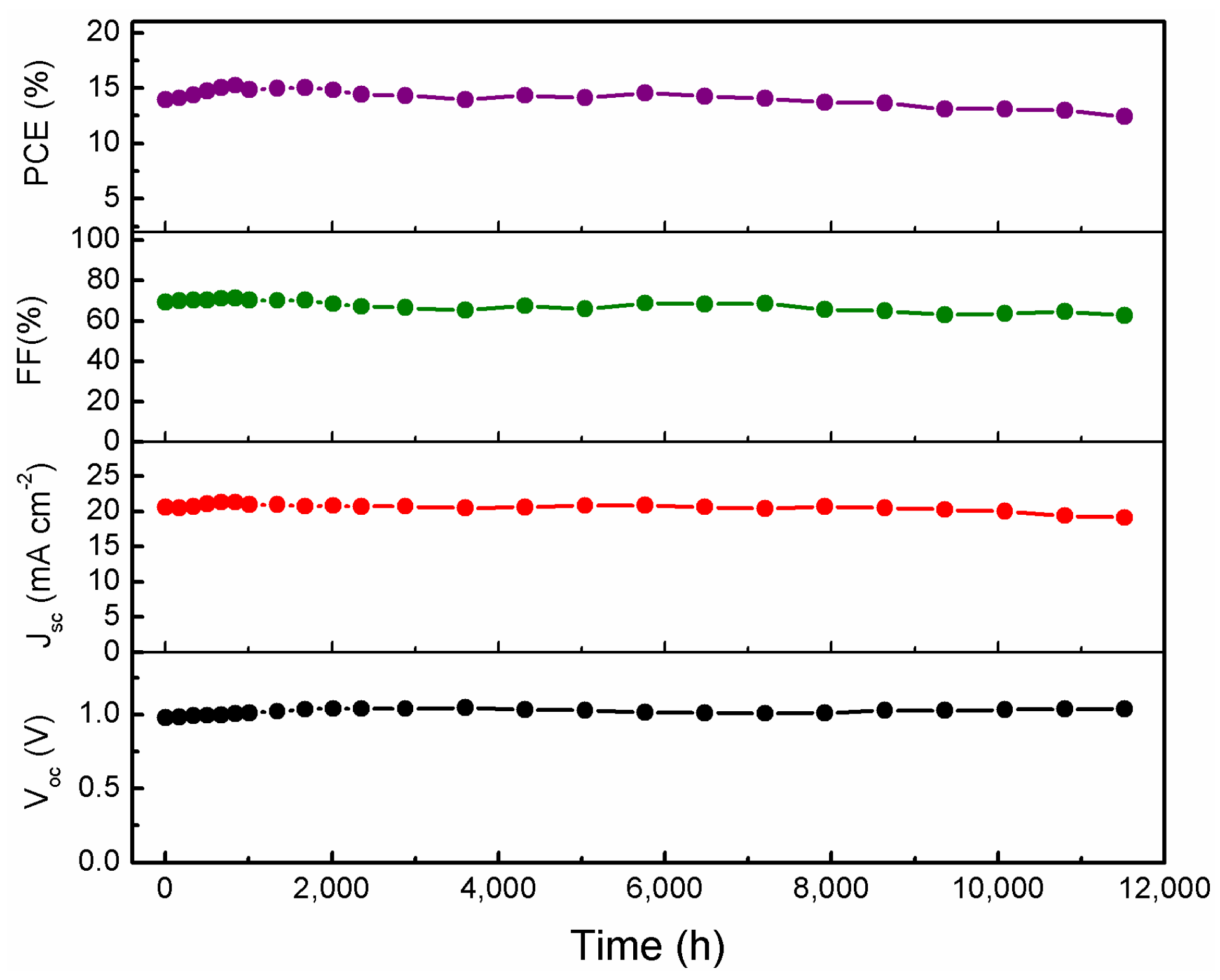
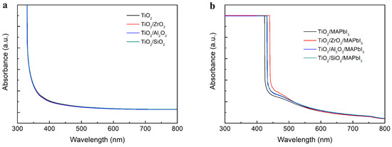
3. Results and Discussion
4. Conclusions
Supplementary Materials
Author Contributions
Funding
Data Availability Statement
Conflicts of Interest
References
- Kojima, A.; Teshima, K.; Shirai, Y.; Miyasaka, T. Organometal halide perovskites as visible-light sensitizers for photovoltaic cells. J. Am. Chem. Soc. 2009, 131, 6050–6051. [Google Scholar] [CrossRef]
- Interactive Best Research-Cell Efficiency Chart. Available online: https://www.nrel.gov/pv/interactive-cell-efficiency.html (accessed on 25 July 2023).
- Lee, M.M.; Teuscher, J.; Miyasaka, T.; Murakami, T.N.; Snaith, H.J. Efficient hybrid solar cells based on meso-super structured organometal halide perovskites. Science 2012, 338, 643–647. [Google Scholar] [CrossRef]
- Innocenzo, V.D.; Grancini, G.; Alcocer, M.J.P.; Kandada, A.R.S.; Stranks, S.D.; Lee, M.M.; Lanzani, G.; Snaith, H.J.; Petrozza, A. Excitons versus free charges in organo-lead tri-halide perovskites. Nat. Commun. 2014, 5, 3586. [Google Scholar] [CrossRef]
- Zhu, J.W.; Luo, Y.; He, R.; Chen, C.; Wang, Y.; Luo, J.C.; Yi, Z.J.; Thiesbrummel, J.; Wang, C.L.; Lang, F.L.; et al. A donor-acceptor-type hole-selective contact reducing non-radiative recombination losses in both subcells towards efficient all-perovskite tandems. Nat. Energy 2023, 8, 714–724. [Google Scholar] [CrossRef]
- Xing, G.; Mathews, N.; Sun, S.; Lim, S.S.; Lam, Y.M.; Grätzel, M.; Mhaisalkar, S.; Sum, T.C. Long-range balanced electron- and hole-transport lengths in organic-inorganic CH3NH3PbI3. Science 2013, 342, 344–347. [Google Scholar] [CrossRef]
- Dong, Q.; Fang, Y.; Shao, Y.; Mulligan, P.; Qiu, J.; Cao, L.; Huang, J. Electron-hole diffusion lengths > 175 μm in solution-grown CH3NH3PbI3 single crystals. Science 2015, 347, 967–970. [Google Scholar] [CrossRef]
- Gharibzadeh, S.; Hossain, I.M.; Fassl, P.; Nejand, B.A.; Abzieher, T.; Schultes, M.; Ahlswede, E.; Jackson, P.; Powalla, M.; Schäfer, S.; et al. 2D/3D heterostructure for semitransparent perovskite solar cells with engineered bandgap enables efficiencies exceeding 25% in four-terminal tandems with silicon and CIGS. Adv. Funct. Mater. 2020, 30, 1909919. [Google Scholar] [CrossRef]
- Zhong, J.X.; Wu, W.Q.; Ding, L.; Kuang, D.B. Blade-coating perovskite films with diverse compositions for efficient photovoltaics. Energy Environ. Mater. 2021, 4, 277–283. [Google Scholar] [CrossRef]
- El-Ballouli, A.A.O.; Bakr, O.M.; Mohammed, O.F. Compositional, processing, and interfacial engineering of nanocrystal- and quantum-dot-based perovskite solar cells. Chem. Mater. 2019, 31, 6387–6411. [Google Scholar] [CrossRef]
- Sutanto, A.A.; Caprioglio, P.; Drigo, N.; Hofstetter, Y.J.; Garcia-Benito, I.; Queloz, V.I.E.; Neher, D.; Nazeeruddin, M.K.; Stolterfoht, M.; Vaynzof, Y.; et al. 2D/3D perovskite engineering eliminates interfacial recombination losses in hybrid perovskite solar cells. Chem 2021, 7, 1903–1916. [Google Scholar] [CrossRef]
- Park, N.; Zhu, K. Scalable fabrication and coating methods for perovskite solar cells and solar modules. Nat. Rev. Mater. 2020, 5, 333–350. [Google Scholar] [CrossRef]
- Jiang, Q.; Zhao, Y.; Zhang, X.; Yang, X.; Chen, Y.; Chu, Z.; Ye, Q.; Li, X.; Yin, Z.; You, J. Surface passivation of perovskite film for efficient solar cells. Nat. Photonics 2019, 13, 460–466. [Google Scholar] [CrossRef]
- Zhu, H.; Liu, Y.; Eickemeyer, F.T.; Pan, L.; Ren, D.; Ruiz Preciado, M.A.; Carlsen, B.; Yang, B.; Dong, X.; Wang, Z.; et al. Tailored amphiphilic molecular mitigators for stable perovskite solar cells with 23.5% efficiency. Adv. Mater. 2020, 32, 1907757. [Google Scholar] [CrossRef]
- Xiang, J.; Han, C.; Qi, J.; Cheng, Y.; Chen, K.; Ma, Y.; Xie, J.; Hu, Y.; Mei, A.; Zhou, Y.; et al. A Polymer Defect Passivator for Efficient Hole-Conductor Free Printable Mesoscopic Perovskite Solar Cells. Adv. Funct. Mater. 2023, 33, 2300473. [Google Scholar] [CrossRef]
- Wang, S.; Jiang, P.; Shen, W.; Mei, A.; Xiong, S.; Jiang, X.; Rong, Y.; Tang, Y.; Hu, Y.; Han, H. A low-temperature carbon electrode with good perovskite compatibility and High flexibility in carbon based perovskite solar cells. Chem. Commun. 2019, 55, 2765–2768. [Google Scholar] [CrossRef]
- He, S.; Qiu, L.; Son, D.; Liu, Z.; Juarez-Perez, E.J.; Ono, L.K.; Stecker, C.; Qi, Y. Carbon-based electrode engineering boosts the efficiency of all low-temperature-processed perovskite solar cells. ACS Energy Lett. 2019, 4, 2032–2039. [Google Scholar] [CrossRef]
- Mei, A.; Li, X.; Liu, L.; Ku, Z.; Liu, T.; Rong, Y.; Xu, M.; Hu, M.; Chen, J.; Yang, Y.; et al. A hole-conductor-free, fully printable mesoscopic perovskite solar cell with high stability. Science 2014, 345, 295–298. [Google Scholar] [CrossRef]
- Tsai, C.M.; Wu, G.W.; Narra, S.; Chang, H.M.; Mohanta, N.; Wu, H.P.; Wang, C.L.; Diau, E.W.G. Control of preferred orientation with slow crystallization for carbon-based mesoscopic perovskite solar cells attaining efficiency 15%. J. Mater. Chem. A 2017, 5, 739–747. [Google Scholar] [CrossRef]
- Li, L.; Rao, H.; Wu, Z.; Hong, J.; Zhang, J.; Pan, Z.; Zhong, X. Moisture Induced Secondary Crystal Growth Boosting the Efficiency of Hole Transport Layer-Free Carbon-Based Perovskite Solar Cells beyond 19.5%. Adv. Funct. Mater. 2023, 2308428. [Google Scholar] [CrossRef]
- Wang, Y.; Li, L.; Wu, Z.; Zhang, R.; Hong, J.; Zhang, J.; Rao, H.; Pan, Z.; Zhong, X. Self-Driven Prenucleation-Induced Perovskite Crystallization Enables Efficient Perovskite Solar Cells. Angew. Chem. Int. Ed. 2023, 62, e202302342. [Google Scholar] [CrossRef]
- Peng, J.; Walter, D.; Ren, Y.; Tebyetekerwa, M.; Wu, Y.; Duong, T.; Lin, Q.; Li, J.; Lu, T.; Mahmud, M.A.; et al. Nanoscale localized contacts for high fill factors in polymer-passivated perovskite solar cells. Science 2021, 371, 390–395. [Google Scholar] [CrossRef]
- Zhang, F.; Zhu, K. Additive engineering for efficient and stable perovskite solar cells. Adv. Energy Mater. 2020, 10, 1902579. [Google Scholar] [CrossRef]
- Tai, Q.; Tang, K.; Yan, F. Recent progress of inorganic perovskite solar cells. Energy Environ. Sci. 2019, 12, 2375–2405. [Google Scholar] [CrossRef]
- Li, S.; Wang, C.; Zhao, D.; An, Y.; Zhao, Y.; Zhao, X.; Li, X. Flexible semitransparent perovskite solar cells with gradient energy levels enable efficient tandems with Cu(In,Ga)Se2. Nano Energy 2020, 78, 105378. [Google Scholar] [CrossRef]
- Jiang, X.; Wang, F.; Wei, Q.; Li, H.; Shang, Y.; Zhou, W.; Wang, C.; Cheng, P.; Chen, Q.; Chen, L.; et al. Ultra-high open-circuit voltage of Tin perovskite solar cells via an electron transporting layer design. Nat. Commun. 2020, 11, 1245. [Google Scholar] [CrossRef]
- Chen, S.; Shen, N.; Zhang, L.; Zhang, L.; Cheung, S.H.; Chen, S.; So, S.K.; Xu, B. Understanding the interplay of binary organic spacer in Ruddlesden-Popper perovskites toward efficient and stable solar cells. Adv. Funct. Mater. 2020, 30, 1907759. [Google Scholar] [CrossRef]
- Rong, Y.; Liu, L.; Mei, A.; Li, X.; Han, H. Beyond efficiency: The challenge of stability in mesoscopic perovskite solar cells. Adv. Energy. Mater. 2015, 5, 1501066. [Google Scholar] [CrossRef]
- Li, H.; Cao, K.; Cui, J.; Liu, S.; Qiao, X.; Shen, Y.; Wang, M. 14.7% efficient mesoscopic perovskite solar cells using single walled carbon nanotubes/carbon composite counter electrodes. Nanoscale 2016, 8, 6379–6385. [Google Scholar] [CrossRef]
- Liao, J.; Wu, W.; Jiang, Y.; Zhong, J.; Wang, L.; Kuang, D. Understanding of carrier dynamics, heterojunction merits and device physics: Towards designing efficient carrier transport layer-free perovskite solar cells. Chem. Soc. Rev. 2020, 49, 354–381. [Google Scholar] [CrossRef]
- Haque, S.; Mendes, M.J.; Sanchez-Sobrado, O.; Aguas, H.; Fortunato, E.; Martins, R. Photonic-structured TiO2 for high-efficiency, flexible and stable Perovskite solar cells. Nano Energy 2019, 59, 91–101. [Google Scholar] [CrossRef]
- Rong, Y.; Hu, Y.; Mei, A.; Tan, H.; Saidaminov, M.I.; Seok, S.I.; McGehee, M.D.; Sargent, E.H.; Han, H. Challenges for commercializing perovskite solar cells. Science 2018, 361, 1214. [Google Scholar] [CrossRef]
- Panigrahi, S.; Jana, S.; Calmeiro, T.; Nunes, D.; Deuermeier, J.; Martins, R.; Fortunato, E. Mapping the space charge carrier dynamics in plasmon-based perovskite solar cells. J. Mater. Chem. A 2019, 7, 19811–19819. [Google Scholar] [CrossRef]
- Feldmann, F.; Bivour, M.; Reichel, C.; Hermle, M.; Glunz, S.W. Passivated rear contacts for high-efficiency n-type Si solar cells providing high interface passivation quality and excellent transport characteristics. Sol. Energy Mater. Sol. Cells 2014, 120, 270–274. [Google Scholar] [CrossRef]
- Li, D.; Song, Z.; Awni, R.A.; Bista, S.S.; Shrestha, N.; Grice, C.R.; Chen, L.; Liyanage, G.K.; Razooqi, M.A.; Phillips, A.B.; et al. Eliminating S-Kink to maximize the performance of MgZnO/CdTe solar cells. ACS Appl. Energy Mater. 2019, 2, 2896–2903. [Google Scholar] [CrossRef]
- Dingemans, G.; Kessels, W.M.M. Status and prospects of Al2O3-based surface passivation schemes for silicon solar cells. J. Vac. Sci. Technol. A 2012, 30, 40802. [Google Scholar] [CrossRef]
- Xiong, Y.; Zhu, X.; Mei, A.; Qin, F.; Liu, S.; Zhang, S.; Jiang, Y.; Zhou, Y.; Han, H. Bifunctional Al2O3 interlayer leads to enhanced open-circuit voltage for hole-conductor-free carbon-based perovskite solar cells. Solar RRL 2018, 2, 1800002. [Google Scholar] [CrossRef]
- Cheng, N.; Liu, P.; Bai, S.H.; Yu, Z.H.; Liu, W.; Guo, S.S.; Zhao, X.Z. Application of mesoporous SiO2 layer as an insulating layer in high performance hole transport material free CH3NH3PbI3 perovskite solar cells. J. Power Source 2016, 321, 71–75. [Google Scholar] [CrossRef]
- Li, D.; Tong, C.; Ji, W.; Fu, Z.; Wan, Z.; Huang, Q.; Ming, Y.; Mei, A.; Hu, Y.; Rong, Y.; et al. Vanadium oxide post-treatment for enhanced photovoltage of printable perovskite solar cells. ACS Sustain. Chem. Eng. 2018, 7, 2619–2625. [Google Scholar] [CrossRef]
- Peng, W.; Mao, K.T.; Cai, F.C.; Meng, H.G.; Zhu, Z.J.; Li, T.Q.; Yuan, S.J.; Xu, Z.J.; Feng, X.Y.; Xu, J.H.; et al. Reducing nonradiative recombination in perovskite solar cells with a porous insulator contact. Science 2023, 379, 683–690. [Google Scholar] [CrossRef]
- DuBose, J.T.; Kamat, P.V. TiO2-assisted halide ion segregation in mixed halide perovskite films. J. Am. Chem. Soc. 2020, 142, 5362–5370. [Google Scholar] [CrossRef]
- Yang, X.; Luo, D.; Xiang, Y.; Zhao, L.; Anaya, M.; Shen, Y.; Wu, J.; Yang, W.; Chiang, Y.H.; Tu, Y.; et al. Buried interfaces in halide perovskite photovoltaics. Adv. Mater. 2021, 33, 2006435. [Google Scholar] [CrossRef]
- Yu, Z.; Chen, B.; Liu, P.; Wang, C.; Bu, C.; Cheng, N.; Bai, S.; Yan, Y.; Zhao, X. Stable organic-inorganic perovskite solar cells without hole-conductor layer achieved via cell structure design and contact engineering. Adv. Funct. Mater. 2016, 26, 4866–4873. [Google Scholar] [CrossRef]
- Xiao, Y.; Wang, C.; Kondamareddy, K.K.; Liu, P.; Qi, F.; Zhang, H.; Guo, S.; Zhao, X. Enhancing the performance of hole-conductor free carbon-based perovskite solar cells through rutile-phase passivation of anatase TiO2 scaffold. J. Power Source 2019, 422, 138–144. [Google Scholar] [CrossRef]
- Wu, B.; Yuan, R.; Fu, X. Structural characterization and photocatalytic activity of hollow binary ZrO2/TiO2 oxide fibers. J. Solid State Chem. 2009, 182, 560–565. [Google Scholar] [CrossRef]
- Zhang, Z.; Hicks, R.W.; Pauly, T.R.; Pinnavaia, T.J. Mesostructured forms of γ-Al2O3. J. Am. Chem. Soc. 2002, 124, 1592–1593. [Google Scholar] [CrossRef]
- Ding, B.; Kim, H.; Kim, C.; Khil, M.; Park, S. Morphology and crystalline phase study of electrospun TiO2-SiO2 nanofibres. Nanotechnology 2003, 14, 532–537. [Google Scholar] [CrossRef]
- Jiang, F.; Rong, Y.; Liu, H.; Liu, T.; Mao, L.; Meng, W.; Qin, F.; Jiang, Y.; Luo, B.; Xiong, S.; et al. Synergistic effect of PbI2 passivation and chlorine inclusion yielding high open-circuit voltage exceeding 1.15 V in both mesoscopic and inverted planar CH3NH3PbI3(Cl)-based perovskite solar cells. Adv. Funct. Mater. 2016, 26, 8119–8127. [Google Scholar] [CrossRef]









| Scaffold Layer | Voc (V) | Jsc (mA/cm2) | FF (%) | PCE (%) |
|---|---|---|---|---|
| TiO2 | 0.959 ± 0.015 | 20.29 ± 0.42 | 65.25 ± 1.82 | 12.71 ± 0.45 |
| TiO2/ZrO2 | 0.985 ± 0.018 | 20.61 ± 0.47 | 68.18 ± 1.63 | 13.84 ± 0.53 |
| TiO2/Al2O3 | 0.969 ± 0.014 | 20.34 ± 0.54 | 65.39 ± 1.83 | 12.89 ± 0.56 |
| TiO2/SiO2 | 0.971 ± 0.013 | 20.63 ± 0.56 | 65.39 ± 1.83 | 13.42 ± 0.48 |
| Samples | Rs (Ω) | Rct (Ω) | Rrec (Ω) |
|---|---|---|---|
| TiO2 | 52.0 | 44.6 | 126.5 |
| TiO2/ZrO2 | 53.2 | 40.5 | 630 |
| TiO2/Al2O3 | 57.1 | 50.4 | 185 |
| TiO2/SiO2 | 55.3 | 42.1 | 280 |
Disclaimer/Publisher’s Note: The statements, opinions and data contained in all publications are solely those of the individual author(s) and contributor(s) and not of MDPI and/or the editor(s). MDPI and/or the editor(s) disclaim responsibility for any injury to people or property resulting from any ideas, methods, instructions or products referred to in the content. |
© 2023 by the authors. Licensee MDPI, Basel, Switzerland. This article is an open access article distributed under the terms and conditions of the Creative Commons Attribution (CC BY) license (https://creativecommons.org/licenses/by/4.0/).
Share and Cite
Xiao, Y.; Zhang, H.; Zhao, Y.; Liu, P.; Kondamareddy, K.K.; Wang, C. Carrier Modulation via Tunnel Oxide Passivating at Buried Perovskite Interface for Stable Carbon-Based Solar Cells. Nanomaterials 2023, 13, 2640. https://doi.org/10.3390/nano13192640
Xiao Y, Zhang H, Zhao Y, Liu P, Kondamareddy KK, Wang C. Carrier Modulation via Tunnel Oxide Passivating at Buried Perovskite Interface for Stable Carbon-Based Solar Cells. Nanomaterials. 2023; 13(19):2640. https://doi.org/10.3390/nano13192640
Chicago/Turabian StyleXiao, Yuqing, Huijie Zhang, Yue Zhao, Pei Liu, Kiran Kumar Kondamareddy, and Changlei Wang. 2023. "Carrier Modulation via Tunnel Oxide Passivating at Buried Perovskite Interface for Stable Carbon-Based Solar Cells" Nanomaterials 13, no. 19: 2640. https://doi.org/10.3390/nano13192640
APA StyleXiao, Y., Zhang, H., Zhao, Y., Liu, P., Kondamareddy, K. K., & Wang, C. (2023). Carrier Modulation via Tunnel Oxide Passivating at Buried Perovskite Interface for Stable Carbon-Based Solar Cells. Nanomaterials, 13(19), 2640. https://doi.org/10.3390/nano13192640

