Study of Aerogel-Modified Recycled Polyurethane Nanocomposites
Abstract
:1. Introduction
2. Materials and Methods
2.1. Materials and Reagents
2.2. Preparation of Silicon Dioxide Aerogel
2.3. Principles of Preparation of Silicon Dioxide Aerogel-Regenerated Polyol-Based Polyurethane Nanocomposites
3. Results and Discussion
3.1. Fourier Transform Infrared Spectroscopy
3.2. XRD Test Analysis
3.3. BET Analysis
3.4. Effect of Different Reactants on the Density of Silica Aerogel
3.5. Scanning Electron Microscope Analysis
3.6. Infrared Spectroscopy of Silicon Dioxide Aerogel-Regenerated Polyol-Based Polyurethane Nanocomposites
3.7. Elemental Analysis of Silicon Dioxide Aerogel-Regenerated Polyol-Based Polyurethane Nanocomposites
3.8. Compression Strength Test Analysis
3.9. Apparent Density Test Analysis
3.10. Thermal Conductivity Test Analysis
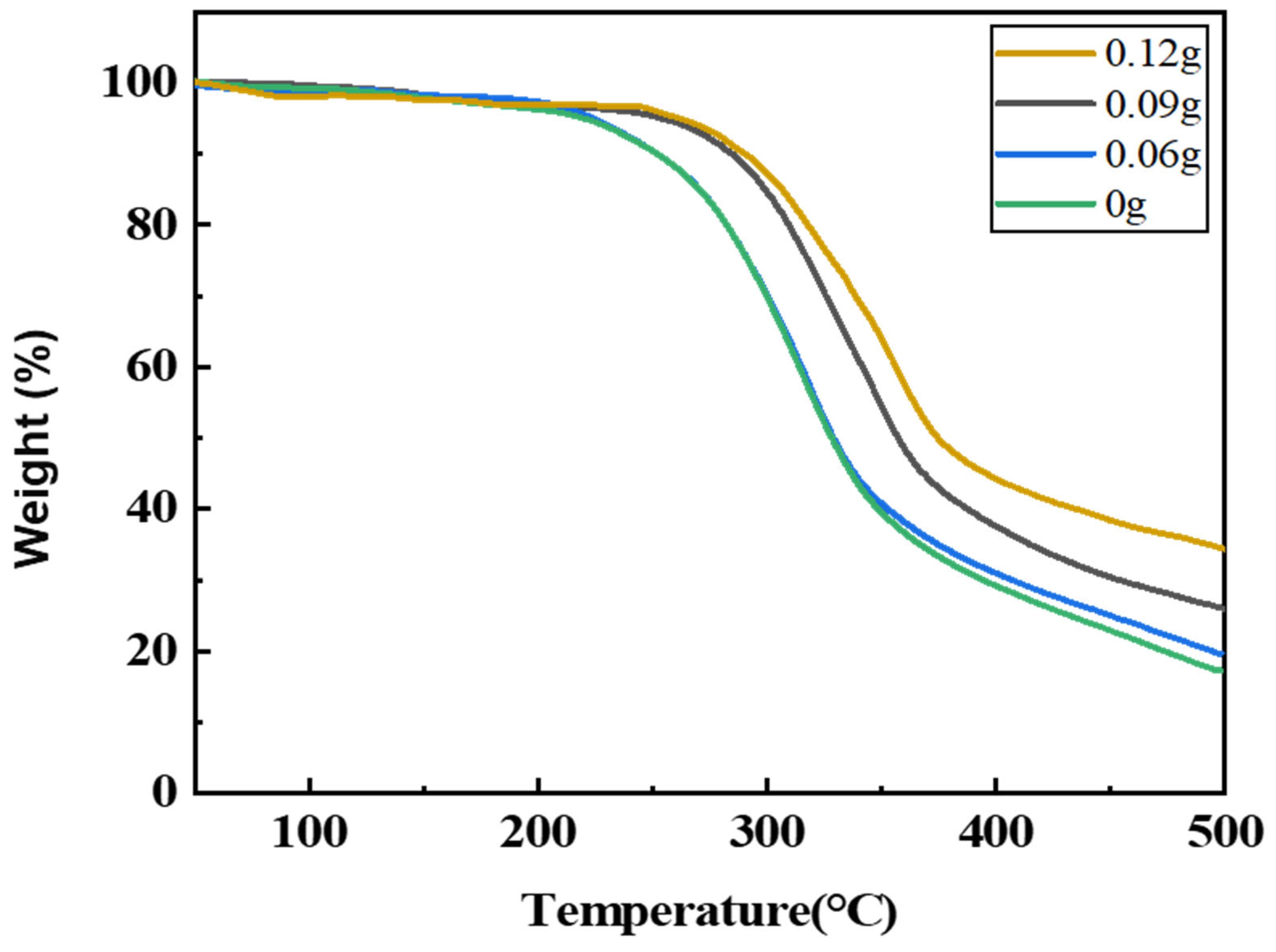
3.11. Thermal Weight Loss Test Analysis
3.12. Scanning Electron Microscopy Testing and Analysis of Silica Aerogel-Regenerated Polyol-Based Polyurethane Nanocomposites
4. Conclusions
- The best ratio for the preparation of silica aerogel is when the mass ratio of ethyl orthosilicate: anhydrous ethanol: distilled water is 30:45:5, which is when the performance of silica aerogel is the best.
- Liquid regenerated polyether polyol was obtained by degradation of waste PU foam using the two-component decrosslinkers ethylene glycol and ethanolamine, and the re-generated polyol-based polyurethane foam was modified by adding different ratios of SiO2 aerogel to successfully prepare aerogel/regenerated polyurethane foam nanocomposites with SiO2 aerogel modified regenerated polyurethane. The regenerated polyurethane foam nanocomposites with a density of 34.1 kg/m3 and a compression strength of 0.301 MPa were prepared by changing the ratio to achieve the optimal reaction process conditions.
- The nanocomposites were modified by adding 0.09 g (0.3% of the total polyol) of silica aerogel; under optimal process conditions, the thermal conductivity was 0.0228 W/(m·K), the compressive strength was 0.585 MPa, and the density was 32.8 kg/cm3, at which time the comprehensive performance was better, and the bubble pores were more complete and close to a hexagonal shape, with thicker pore walls and a thicker skeleton as observed via scanning electron microscopy, and the best performance was achieved.
Author Contributions
Funding
Data Availability Statement
Conflicts of Interest
References
- Liu, X.; Gu, X.; Sun, J.; Zhang, S. Preparation and characterization of chitosan derivatives and their application as flame retardants in thermoplastic polyurethane. Carbohydr. Polym. 2017, 167, 356–363. [Google Scholar] [CrossRef] [PubMed]
- Gheydari, M.; Dorraji, M.S.S.; Fazli, M.; Rasoulifard, M.H.; Almaie, S.; Daneshvar, H.; Ashjari, H.R. Preparation of open-cell polyurethane nanocomposite foam with Ag3PO4 and GO: Antibacterial and adsorption characteristics. J. Polym. Res. 2021, 28, 69. [Google Scholar] [CrossRef]
- Hamidov, M.; Çakmakçi, E.; Kahraman, M.V. Autocatalytic reactive flame retardants for rigid polyurethane foams. Mater. Chem. Phys. 2021, 267, 124636. [Google Scholar] [CrossRef]
- Gama, N.V.; Ferreira, A.; Barros-Timmons, A. Polyurethane Foams: Past, Present, and Future. Materials 2018, 11, 1841. [Google Scholar] [CrossRef] [PubMed]
- Beneš, H.; Vlčková, V.; Paruzel, A.; Trhlíková, O.; Chalupa, J.; Kanizsová, L.; Skleničková, K.; Halecký, M. Multifunctional and fully aliphatic biodegradable polyurethane foam as porous biomass carrier for biofiltration. Polym. Degrad. Stab. 2020, 176, 109156. [Google Scholar] [CrossRef]
- Piszczyk, Ł.; Kosmela, P.; Strankowski, M. Elastic polyurethane foams containing graphene nanoplatelets. Adv. Polym. Technol. 2018, 37, 1625–1634. [Google Scholar] [CrossRef]
- Morgan, A.B. Revisiting flexible polyurethane foam flammability in furniture and bedding in the United States. Fire Mater. 2021, 45, 68–80. [Google Scholar] [CrossRef]
- Li, T.-T.; Liu, P.; Wang, H.; Dai, W.; Wang, J.; Wang, Z.; Shiu, B.-C.; Lou, C.-W.; Lin, J.-H. Preparation and characteristics of flexible polyurethane foam filled with expanded vermiculite powder and concave-convex structural panel. J. Mater. Res. Technol. 2021, 12, 1288–1302. [Google Scholar] [CrossRef]
- Moon, J.; Sinha, T.K.; Kwak, S.B.; Ha, J.U.; Oh, J.S. Study on Seating Comfort of Polyurethane Multilayer Seat Cushions. Int. J. Automot. Technol. 2020, 21, 1089–1095. [Google Scholar] [CrossRef]
- Kemona, A.; Piotrowska, M. Polyurethane Recycling and Disposal: Methods and Prospects. Polymers 2020, 12, 1752. [Google Scholar] [CrossRef]
- Borowicz, M.; Paciorek-Sadowska, J.; Lubczak, J.; Czupryński, B. Biodegradable, Flame-Retardant, and Bio-Based Rigid Polyurethane/Polyisocyanurate Foams for Thermal Insulation Application. Polymers 2019, 11, 1816. [Google Scholar] [CrossRef] [PubMed]
- Magnin, A.; Pollet, E.; Phalip, V.; Avérous, L. Evaluation of biological degradation of polyurethanes. Biotechnol. Adv. 2020, 39, 107457. [Google Scholar] [CrossRef] [PubMed]
- Pillai, P.K.; Li, S.; Bouzidi, L.; Narine, S.S. Metathesized palm oil polyol for the preparation of improved bio-based rigid and flexible polyurethane foams. Ind. Crop. Prod. 2016, 83, 568–576. [Google Scholar] [CrossRef]
- Liu, J.; Wang, Y.; Zheng, X.; Zhou, Q.; Lei, X. The reuse of polyurethane wastes. New Chem. Mater. 2010, 38, 21. [Google Scholar]
- Kim, H.; Minami, W.; Li, T. Combustion Characteristics and Pollutant Control by Eco-fuel from Polyurethane Foam. Energy Fuels 2006, 20, 575–578. [Google Scholar] [CrossRef]
- Fukaya, T.; Watando, H.; Fujieda, S.; Saya, S.; Thai, C.M.; Yamamoto, M. Reheating decomposition process as chemical recycling for rigid polyurethane foam. Polym. Degrad. Stab. 2006, 91, 2549–2553. [Google Scholar] [CrossRef]
- Cao, M.; Cao, X. Recycling and Disposing Methods for Rigid Polyurethane Foamed Plastic Wastes. Plastics 2005, 34, 14. [Google Scholar]
- Li, J.; Dong, Q.; Yao, Z.; Liu, L. Study on the management status and countermeasures for waste polyurethane foam from refrigerators in China. China Environ. Sci. 2013, 33, 2262–2267. [Google Scholar]
- Hýsek, Š.; Neuberger, P.; Sikora, A.; Schönfelder, O.; Ditommaso, G. Waste Utilization: Insulation Panel from Recycled Polyurethane Particles and Wheat Husks. Materials 2019, 12, 3075. [Google Scholar] [CrossRef]
- Zia, K.M.; Bhatti, H.N.; Bhatti, I.A. Methods for polyurethane and polyurethane composites, recycling and recovery: A review. React. Funct. Polym. 2007, 67, 675–692. [Google Scholar] [CrossRef]
- Kiss, G.; Rusu, G.; Peter, F.; Tănase, I.; Bandur, G. Recovery of Flexible Polyurethane Foam Waste for Efficient Reuse in Industrial Formulations. Polymers 2020, 12, 1533. [Google Scholar] [CrossRef] [PubMed]
- Vanbergen, T.; Verlent, I.; De Geeter, J.; Haelterman, B.; Claes, L.; De Vos, D. Recycling of Flexible Polyurethane Foam by Split-Phase Alcoholysis: Identification of Additives and Alcoholyzing Agents to Reach Higher Efficiencies. ChemSusChem 2020, 13, 3835–3843. [Google Scholar] [CrossRef]
- Dai, Z.; Hatano, B.; Kadokawa, J.-I.; Tagaya, H. Effect of diaminotoluene on the decomposition of polyurethane foam waste in superheated water. Polym. Degrad. Stab. 2002, 76, 179–184. [Google Scholar] [CrossRef]
- Troev, K.; Grancharov, G.; Tsevi, R. Chemical degradation of polyurethanes 3. Degradation of microporous polyurethane elastomer by diethyl phosphonate and tris(1-methyl-2-chloroethyl) phosphate. Polym. Degrad. Stab. 2000, 70, 43–48. [Google Scholar] [CrossRef]
- Al-Oweini, R.; El-Rassy, H. Synthesis and characterization by FTIR spectroscopy of silica aerogels prepared using several Si(OR)4 and R′′Si(OR′)3 precursors. J. Mol. Struct. 2009, 919, 140–145. [Google Scholar] [CrossRef]
- Li, M.; Jiang, H.; Xu, D.; Hai, O.; Zheng, W. Low density and hydrophobic silica aerogels dried under ambient pressure using a new co-precursor method. J. Non-Cryst. Solids 2016, 452, 187–193. [Google Scholar] [CrossRef]
- Zhang, X.; Zhang, T.; Yi, Z.; Yan, L.; Liu, S.; Yao, X.; Guo, A.; Liu, J.; Hou, F. Multiscale mullite fiber/whisker reinforced silica aerogel nanocomposites with enhanced compressive strength and thermal insulation performance. Ceram. Int. 2020, 46, 28561–28568. [Google Scholar] [CrossRef]
- Yang, J.; Zhao, X.; Li, Q.; Ji, Z. Cushion properties of polyurethane foam-in-place materials. Emerg. Mater. Res. 2017, 6, 60–68. [Google Scholar] [CrossRef]
- Andersons, J.; Kirpluks, M.; Cabulis, P.; Kalnins, K.; Cabulis, U. Bio-based rigid high-density polyurethane foams as a structural thermal break material. Constr. Build. Mater. 2020, 260, 120471. [Google Scholar] [CrossRef]
- Shao, H.; Zhang, Q.; Liu, H.; Guo, W.; Jiang, Y.; Chen, L.; He, L.; Qi, J.; Xiao, H.; Chen, Y.; et al. Renewable natural resources reinforced polyurethane foam for use of lightweight thermal insulation. Mater. Res. Express 2020, 7, 055302. [Google Scholar] [CrossRef]
- Wilson, S.M.; Gabriel, V.A.; Tezel, F. Adsorption of components from air on silica aerogels. Microporous Mesoporous Mater. 2020, 305, 110297. [Google Scholar] [CrossRef]
- Cheng, H.; Fan, Z.; Hong, C.; Zhang, X. Lightweight multiscale hybrid carbon-quartz fiber fabric reinforced phenolic-silica aerogel nanocomposite for high temperature thermal protection. Compos. Part A Appl. Sci. Manuf. 2021, 143, 106313. [Google Scholar] [CrossRef]
- Yoda, S.; Takeshita, S.; Ono, T.; Tada, R.; Ota, H. Development of a New Silica Aerogel-Polypropylene Foam Composite as a Highly Flexible Thermal Insulation Material. Front. Mater. 2021, 8. [Google Scholar] [CrossRef]
- Kucharek, M.; MacRae, W.; Yang, L. Investigation of the effects of silica aerogel particles on thermal and mechanical properties of epoxy composites. Compos. Part A Appl. Sci. Manuf. 2020, 139, 106108. [Google Scholar] [CrossRef]
- Atiqah, A.; Mastura, M.; Ali, B.; Jawaid, M.; Sapuan, S. A Review on Polyurethane and its Polymer Composites. Curr. Org. Synth. 2017, 14, 233–248. [Google Scholar] [CrossRef]
- Gu, X.; Zhu, Y.; Liu, S.; Zhu, S.; Liu, Y. Preparation of Mullite/PU Nanocomposites by Double Waste Co-Recycling. Sustainability 2022, 14, 14310. [Google Scholar] [CrossRef]
- Kiss, G.; Rusu, G.; Bandur, G.; Hulka, I.; Romecki, D.; Péter, F. Advances in Low-Density Flexible Polyurethane Foams by Optimized Incorporation of High Amount of Recycled Polyol. Polymers 2021, 13, 1736. [Google Scholar] [CrossRef] [PubMed]
- Yao, Z.; Yu, S.; Su, W.; Wu, W.; Tang, J.; Qi, W. Comparative study on the pyrolysis kinetics of polyurethane foam from waste refrigerators. Waste Manag. Res. J. A Sustain. Circ. Econ. 2020, 38, 271–278. [Google Scholar] [CrossRef] [PubMed]
- Shin, S.; Kim, H.; Liang, J.; Lee, S.; Lee, D. Sustainable rigid polyurethane foams based on recycled polyols from chemical recycling of waste polyurethane foams. J. Appl. Polym. Sci. 2019, 136, 47916. [Google Scholar] [CrossRef]
- Hakim, A.A.A.; Nassar, M.; Emam, A.; Sultan, M. Preparation and characterization of rigid polyurethane foam prepared from sugar-cane bagasse polyol. Mater. Chem. Phys. 2011, 129, 301–307. [Google Scholar] [CrossRef]
- Fournier, D.; Du Prez, F. “Click” Chemistry as a Promising Tool for Side-Chain Functionalization of Polyurethanes. Macromolecules 2008, 41, 4622–4630. [Google Scholar] [CrossRef]
- Li, Z.; Yang, C.; Chen, C.; Shen, Y.; Shen, X.; Cui, H.; Song, H.; Xiao, S.; Sun, Y.; Chen, W. Industrial Application of Titanium-Based Catalyst on Three-Kettle Polyester Device Useful in the Field of Chemical Process, Comprises Esterification Kettle Placed into the Pre-Poly Condensation Kettle of Oligomer Pipeline and Adding the Prepared Titanium Catalyst Ethylene Glycol Dispersion. CN115368547-A, 22 November 2022. [Google Scholar]














| Sample | Ethyl Orthosilicate (g) | Anhydrous Ethanol (g) | Distilled Water (g) |
|---|---|---|---|
| 1 | 15 | 45 | 5.0 |
| 2 | 30 | 45 | 5.0 |
| 3 | 45 | 45 | 5.0 |
| 4 | 45 | 30 | 5.0 |
| Reagents | Quantity (g) | Percentage (Total Mass of Polyol, %) |
|---|---|---|
| Recycled polyols | 9.00 | 70.0 |
| Polyether polyol 4110 | 21.00 | 30.0 |
| Dimethylsilicone oil | 0.60 | 2.0 |
| Cyclopentane | 9.00 | 30.0 |
| Triethanolamine | 0.30 | 1.5 |
| Dibutyltin dilaurate | 0.15 | 0.5 |
| IPDI | 39.00 | 130.0 |
| Silicon dioxide aerogel | 0.03, 0.06, 0.09, 0.12, 0.15 | 0.1, 0.2, 0.3, 0.4, 0.5 |
| Amount of Silicon Dioxide Aerogel Added/g | Thermal Conductivity/W(m·K)−1 |
|---|---|
| 0 | 0.0297 |
| 0.03 | 0.0263 |
| 0.06 | 0.0244 |
| 0.09 | 0.0228 |
| 0.12 | 0.0229 |
| 0.15 | 0.0230 |
Disclaimer/Publisher’s Note: The statements, opinions and data contained in all publications are solely those of the individual author(s) and contributor(s) and not of MDPI and/or the editor(s). MDPI and/or the editor(s) disclaim responsibility for any injury to people or property resulting from any ideas, methods, instructions or products referred to in the content. |
© 2023 by the authors. Licensee MDPI, Basel, Switzerland. This article is an open access article distributed under the terms and conditions of the Creative Commons Attribution (CC BY) license (https://creativecommons.org/licenses/by/4.0/).
Share and Cite
Gu, X.; Zhu, S.; Liu, S.; Liu, Y. Study of Aerogel-Modified Recycled Polyurethane Nanocomposites. Nanomaterials 2023, 13, 2583. https://doi.org/10.3390/nano13182583
Gu X, Zhu S, Liu S, Liu Y. Study of Aerogel-Modified Recycled Polyurethane Nanocomposites. Nanomaterials. 2023; 13(18):2583. https://doi.org/10.3390/nano13182583
Chicago/Turabian StyleGu, Xiaohua, Shangwen Zhu, Siwen Liu, and Yan Liu. 2023. "Study of Aerogel-Modified Recycled Polyurethane Nanocomposites" Nanomaterials 13, no. 18: 2583. https://doi.org/10.3390/nano13182583
APA StyleGu, X., Zhu, S., Liu, S., & Liu, Y. (2023). Study of Aerogel-Modified Recycled Polyurethane Nanocomposites. Nanomaterials, 13(18), 2583. https://doi.org/10.3390/nano13182583
