High-Quality Ferromagnetic Josephson Junctions Based on Aluminum Electrodes
Abstract
1. Introduction
2. Fabrication Process
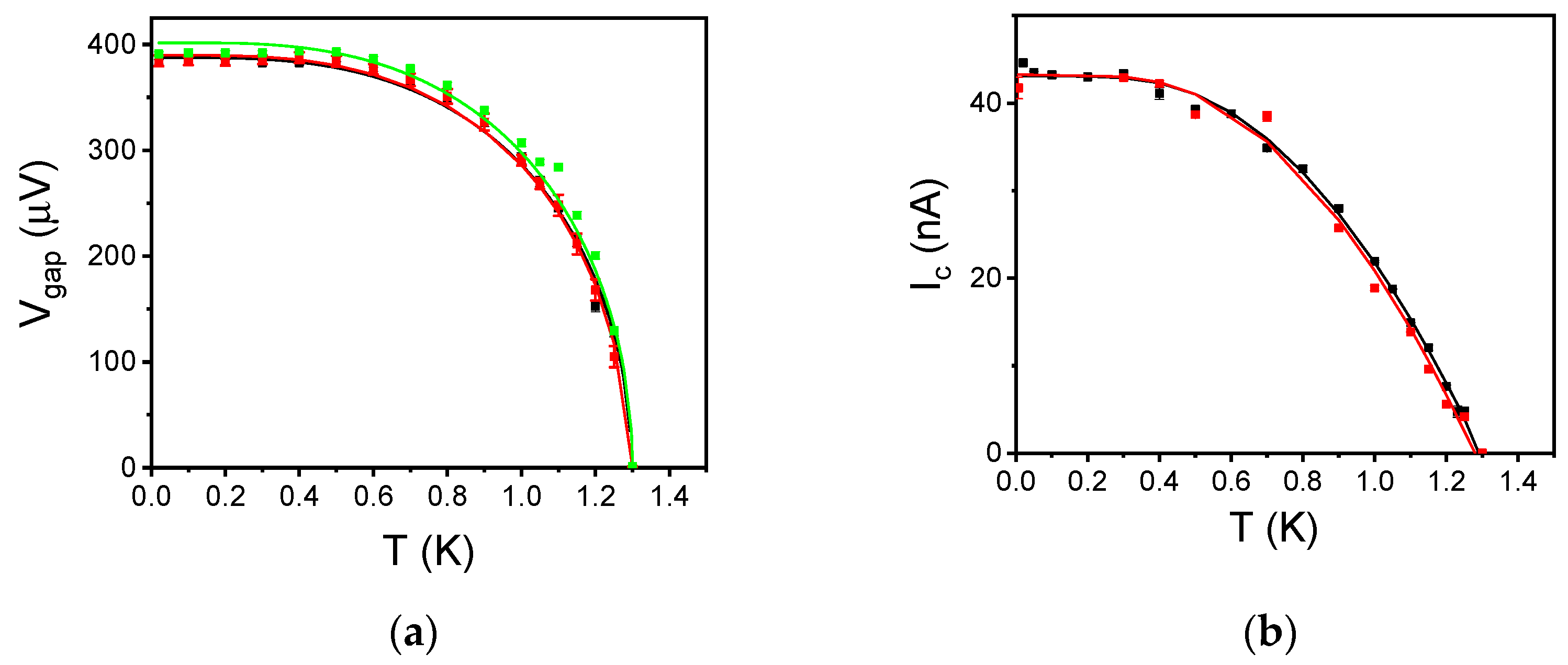
3. Results and Discussion
4. Conclusions
Author Contributions
Funding
Data Availability Statement
Acknowledgments
Conflicts of Interest
References
- Tafuri, F. Fundamentals and Frontiers of the Josephson Effect; Springer Series in Materials Science; Springer: Cham, Switzerland, 2019. [Google Scholar]
- Soloviev, I.I.; Klenov, N.V.; Bakurskiy, S.V.; Kupriyanov, M.Y.; Gudkov, A.L.; Sidorenko, A.S. Beyond Moore’s technologies: Operation principles of a superconductor alternative. Beilstein J. Nanotechnol. 2017, 8, 2689–2710. [Google Scholar] [CrossRef]
- Vettoliere, A.; Granata, C. Superconducting quantum magnetic sensing. In Quantum Materials, Devices, and Applications; Henini, M., Rodrigues, M., Eds.; Elsevier: Amsterdam, The Netherlands, 2022; pp. 43–85. ISBN 978-0-12-820566-2. [Google Scholar]
- Richards, P.L.; Shen, T.-M. Superconductive devices for millimeter wave detection, mixing, and amplification. IEEE Trans. Electron Dev. 1980, 27, 1909–1920. [Google Scholar] [CrossRef][Green Version]
- Clarke, J.; Wilhelm, F. Superconducting quantum bits. Nature 2008, 453, 1031–1042. [Google Scholar] [CrossRef] [PubMed]
- Krantz, P.; Kjaergaard, M.; Yan, F.; Orlando, T.P.; Gustavsson, S.; Oliver, W.D. A quantum engineer’s guide to superconducting qubits. Appl. Phys. Rev. 2019, 6, 021318. [Google Scholar] [CrossRef]
- Oliver, W.; Welander, P. Materials in superconducting quantum bits. MRS Bull. 2013, 38, 816–825. [Google Scholar] [CrossRef]
- Devoret, M.H.; Schoelkopf, R.J. Superconducting Circuits for Quantum Information: An Outlook. Science 2013, 339, 1169–1174. [Google Scholar] [CrossRef]
- Chen, Y.; Neill, C.; Roushan, P.; Leung, N.; Fang, M.; Barends, R.; Kelly, J.; Campbell, B.; Chen, Z.; Chiaro, B.; et al. Qubit Architecture with High Coherence and Fast Tunable Coupling. Phys. Rev. Lett. 2014, 113, 220502. [Google Scholar] [CrossRef] [PubMed]
- Serniak, K.; Hays, M.; de Lange, G.; Diamond, S.; Shankar, S.; Burkhart, L.D.; Frunzio, L.; Houzet, M.; Devoret, M.H. Hot Nonequilibrium Quasiparticles in Transmon Qubits. Phys. Rev. Lett. 2018, 121, 157701. [Google Scholar] [CrossRef]
- Bilmes, A.; Megrant, A.; Klimov, P.; Weiss, G.; Martinis, J.M.; Ustinov, A.V.; Lisenfeld, J. Resolving the positions of defects in superconducting quantum bits. Sci. Rep. 2020, 10, 3090. [Google Scholar] [CrossRef]
- Koch, J.; Yu, T.M.; Gambetta, J.; Houck, A.A.; Schuster, D.I.; Majer, J.; Blais, A.; Devoret, M.H.; Girvin, S.M.; Schoelkopf, R.J. Charge-insensitive qubit design derived from the Cooper pair box. Phys. Rev. A 2007, 76, 042319. [Google Scholar] [CrossRef]
- Majer, J.; Chow, J.M.; Gambetta, J.M.; Koch, J.; Johnson, B.R.; Schreier, J.A.; Frunzio, L.; Schuster, D.I.; Houck, A.A.; Wallraff, A.; et al. Coupling superconducting qubits via a cavity bus. Nature 2007, 449, 443–447. [Google Scholar] [CrossRef] [PubMed]
- Schuster, D.I.; Blais, A.; Frunzio, L.; Huang, R.S.; Majer, J.; Kumar, S.; Girvin, S.M.; Schoelkopf, R.J. Strong coupling of a single photon to a superconducting qubit using circuit quantum electrodynamics. Nature 2004, 431, 162–167. [Google Scholar]
- Dolan, G.J. Offset masks for lift-off photoprocessing. Appl. Phys. Lett. 1977, 31, 337. [Google Scholar] [CrossRef]
- Osman, A.; Simon, J.; Bengtsson, A.; Kosen, S.; Krantz, P.; Lozano, D.; Scigliuzzo, M.; Delsing, P.; Bylander, J.; Fadavi Roudsari, A. Simplified Josephson-junction fabrication process for reproducibly high-performance superconducting qubits. Appl. Phys. Lett. 2021, 118, 064002. [Google Scholar] [CrossRef]
- Kroger, H.; Smith, L.N.; Jillie, D.W. Selective niobium anodization process for fabricating Josephson tunnel junctions. Appl. Phys. Lett. 1981, 39, 280–282. [Google Scholar] [CrossRef]
- Gurvitch, M.; Washington, M.A.; Huggins, H.A. High quality refractory Josephson tunnel junctions utilizing thin aluminum layers. Appl. Phys. Lett. 1983, 42, 472. [Google Scholar] [CrossRef]
- Vettoliere, A.; Satariano, R.; Ferraiuolo, R.; Di Palma, L.; Ahmad, H.G.; Ausanio, G.; Pepe, G.P.; Tafuri, F.; Montemurro, D.; Granata, C.; et al. Aluminum-ferromagnetic Josephson tunnel junctions for high quality magnetic switching devices. Appl. Phys. Lett. 2022, 120, 262601. [Google Scholar] [CrossRef]
- Larkin, T.I.; Bol’ginov, V.V.; Stolyarov, V.S.; Ryazanov, V.V.; Vernik, I.V.; Tolpygo, S.K.; Mukhanov, O.A. Ferromagnetic Josephson switching device with high characteristic voltage. Appl. Phys. Lett. 2012, 100, 222601. [Google Scholar] [CrossRef]
- Caruso, R.; Massarotti, D.; Bolginov, V.V.; Ben Hamida, A.; Karelina, L.N.; Miano, A.; Vernik, I.V.; Tafuri, F.; Ryazanov, V.V.; Mukhanov, O.A.; et al. RF assisted switching in magnetic Josephson junctions. J. Appl. Phys. 2018, 123, 133901. [Google Scholar] [CrossRef]
- Parlato, L.; Caruso, R.; Vettoliere, A.; Satariano, R.; Ahmad, H.G.; Miano, A.; Montemurro, D.; Salvoni, D.; Ausanio, G.; Tafuri, F.; et al. Characterization of scalable Josephson memory element containing a strong ferromagnet. J. Appl. Phys. 2020, 127, 193901. [Google Scholar] [CrossRef]
- Ahmad, H.G.; Brosco, V.; Miano, A.; Di Palma, L.; Arzeo, M.; Montemurro, D.; Lucignano, L.; Pepe, G.P.; Tafuri, F.; Fazio, R.; et al. Hybrid ferromagnetic transmon qubit: Circuit design, feasibility, and detection protocols for magnetic fluctuations. Phys. Rev. B 2022, 105, 214522. [Google Scholar] [CrossRef]
- Pankratov, A.L.; Revin, L.S.; Gordeeva, A.V.; Yablokov, A.A.; Kuzmin, L.S.; Il’ichev, E. Towards a microwave single-photon counter for searching axions. Npj Quantum Inf. 2022, 8, 61. [Google Scholar] [CrossRef]
- Gordeeva, A.V.; Pankratov, A.L.; Pugach, N.G.; Vasenko, A.S.; Zbrozhek, V.O.; Blagodatkin, A.V.; Pimanov, D.A.; Kuzmin, L.S. Record electron self-cooling in cold-electron bolometers with a hybrid superconductor-ferromagnetic nanoabsorber and traps. Sci. Rep. 2020, 10, 21961. [Google Scholar] [CrossRef]
- Martinis, J.M.; Cooper, K.B.; McDermott, R.; Steffen, M.; Ansmann, M.; Osborn, K.D.; Cicak, K.; Oh, S.; Pappas, D.P.; Simmonds, R.W.; et al. Decoherence in Josephson Qubits from Dielectric Loss. Phys. Rev. Lett. 2005, 95, 210503. [Google Scholar] [CrossRef]
- Caruso, R.; Massarotti, D.; Campagnano, G.; Pal, A.; Ahmad, H.G.; Lucignano, P.; Eschrig, M.; Blamire, M.G.; Tafuri, F. Tuning of Magnetic Activity in Spin-Filter Josephson Junctions Towards Spin-Triplet Transport. Phys. Rev. Lett. 2019, 122, 047002. [Google Scholar] [CrossRef]
- Caruso, R.; Massarotti, D.; Miano, A.; Bolginov, V.V.; Hamida, A.B.; Karelina, L.N.; Campagnano, G.; Vernik, I.V.; Tafuri, F.; Ryazanov, V.V.; et al. Properties of Ferromagnetic Josephson Junctions for Memory Applications. IEEE Trans. Appl. Supercond. 2018, 28, 1558–2515. [Google Scholar] [CrossRef]
- Ahmad, H.; Caruso, R.; Pal, A.; Rotoli, G.; Pepe, G.; Blamire, M.; Tafuri, F.; Massarotti, D. Electrodynamics of highly spin-polarized tunnel Josephson junctions. Phys. Rev. Appl. 2020, 13, 014017. [Google Scholar] [CrossRef]
- Barone, A.; Paterno, G. Physics and Application of the Josephson Effect; John Wiley and Sons: Hoboken, NJ, USA, 1982. [Google Scholar]
- Likharev, K.K. Dynamics of Josephson Junctions and Circuits; Gordon & Breach: New York, NY, USA, 1986. [Google Scholar]
- Cristiano, R.; Frunzio, L.; Monaco, R.; Nappi, C.; Pagano, S. Investigation of subgap structures in high-quality Nb/AlOx/Nb tunnel junctions. Phys. Rev. B 1994, 49, 429–440. [Google Scholar] [CrossRef] [PubMed]
- Taylor, B.N.; Burstein, E. Excess Currents in Electron Tunneling Between Superconductors. Phys. Rev. Lett. 1963, 10, 14–17. [Google Scholar] [CrossRef]
- Schrieffer, J.R.; Wilkins, J.W. Two-Particle Tunneling Processes Between Superconductors. Phys. Rev. Lett. 1963, 10, 17–20. [Google Scholar] [CrossRef]
- Ambegaokar, V.; Baratoff, A. Tunneling Between Superconductors. Phys. Rev. Lett. 1963, 10, 486–489. [Google Scholar] [CrossRef]
- Kulik, I.P. Magnitude of the critical Josephson tunnel current. Sov. J. Exp. Theor. Phys. 1965, 22, 841. [Google Scholar]
- Sulangi, M.A.; Weingartner, T.A.; Pokhrel, N.; Patrick, E.; Law, M.; Hirschfeld, P.J. Disorder and critical current variability in Josephson junctions. J. Appl. Phys. 2020, 127, 033901. [Google Scholar] [CrossRef]
- Mamin, H.; Huang, E.; Carnevale, S.; Rettner, C.; Arellano, N.; Sherwood, M.; Kurter, C.; Trimm, B.; Sandberg, M.; Shelby, R.; et al. Merged-Element Transmons: Design and Qubit Performance. Phys. Rev. Appl. 2021, 16, 024023. [Google Scholar] [CrossRef]
- Cullity, B.D.; Graham, C.D. Introduction to Magnetic Materials; Wiley-IEEE Press: New York, NY, USA, 2008. [Google Scholar]
- Gubankov, V.N.; Lisitskii, M.P.; Serpuchenko, I.L.; Sklokin, F.N.; Fistul, M.V. Influence of trapped abrikosov vortices. Supercond. Sci. Technol. 1992, 5, 168–173. [Google Scholar] [CrossRef]
- Khaire, T.S.; Pratt, W.P.; Birge, N.O. Critical current behavior in Josephson junctions with the weak ferromagnet PdNi. Phys. Rev. B 2009, 79, 094523. [Google Scholar] [CrossRef]
- Robinson, J.W.A.; Piano, S.; Burnell, G.; Bell, C.; Blamire, M.G. Zero to π transition in superconductor-ferromagnet-superconductor junctions. Phys. Rev. B 2007, 76, 094522. [Google Scholar] [CrossRef]





| JJs | D (μm) | Jc (A/cm2) | Rn (kΩ) | IcRn (μV) | RnA (kΩμm2) | 2Δ0 (μV) | Tc (K) | B |
|---|---|---|---|---|---|---|---|---|
| SIS’FS | 4 | 0.34 ± 0.07 | 1.7 | 75 | 23 | 391 ± 2 | 1.28 ± 0.02 | 0.27 ± 0.04 |
| SIS’FS | 10 | 0.43 ±0.09 | 0.2 | 70 | 15 | 404 ± 3 | 1.30 ± 0.03 | 0.22 ± 0.05 |
| SIS’S | 4 | 0.34 ± 0.07 | 1.7 | 75 | 21 | 390 ± 2 | 1.30 ± 0.01 | 0.23 ± 0.01 |
Publisher’s Note: MDPI stays neutral with regard to jurisdictional claims in published maps and institutional affiliations. |
© 2022 by the authors. Licensee MDPI, Basel, Switzerland. This article is an open access article distributed under the terms and conditions of the Creative Commons Attribution (CC BY) license (https://creativecommons.org/licenses/by/4.0/).
Share and Cite
Vettoliere, A.; Satariano, R.; Ferraiuolo, R.; Di Palma, L.; Ahmad, H.G.; Ausanio, G.; Pepe, G.P.; Tafuri, F.; Massarotti, D.; Montemurro, D.; et al. High-Quality Ferromagnetic Josephson Junctions Based on Aluminum Electrodes. Nanomaterials 2022, 12, 4155. https://doi.org/10.3390/nano12234155
Vettoliere A, Satariano R, Ferraiuolo R, Di Palma L, Ahmad HG, Ausanio G, Pepe GP, Tafuri F, Massarotti D, Montemurro D, et al. High-Quality Ferromagnetic Josephson Junctions Based on Aluminum Electrodes. Nanomaterials. 2022; 12(23):4155. https://doi.org/10.3390/nano12234155
Chicago/Turabian StyleVettoliere, Antonio, Roberta Satariano, Raffaella Ferraiuolo, Luigi Di Palma, Halima Giovanna Ahmad, Giovanni Ausanio, Giovanni Piero Pepe, Francesco Tafuri, Davide Massarotti, Domenico Montemurro, and et al. 2022. "High-Quality Ferromagnetic Josephson Junctions Based on Aluminum Electrodes" Nanomaterials 12, no. 23: 4155. https://doi.org/10.3390/nano12234155
APA StyleVettoliere, A., Satariano, R., Ferraiuolo, R., Di Palma, L., Ahmad, H. G., Ausanio, G., Pepe, G. P., Tafuri, F., Massarotti, D., Montemurro, D., Granata, C., & Parlato, L. (2022). High-Quality Ferromagnetic Josephson Junctions Based on Aluminum Electrodes. Nanomaterials, 12(23), 4155. https://doi.org/10.3390/nano12234155

