Preparation and Characterization of Nano-CaCO3/Ceresine Wax Composite Shell Microcapsules Containing E-44 Epoxy Resin for Self-Healing of Cement-Based Materials
Abstract
:1. Introduction
2. Materials and Methods
2.1. Materials
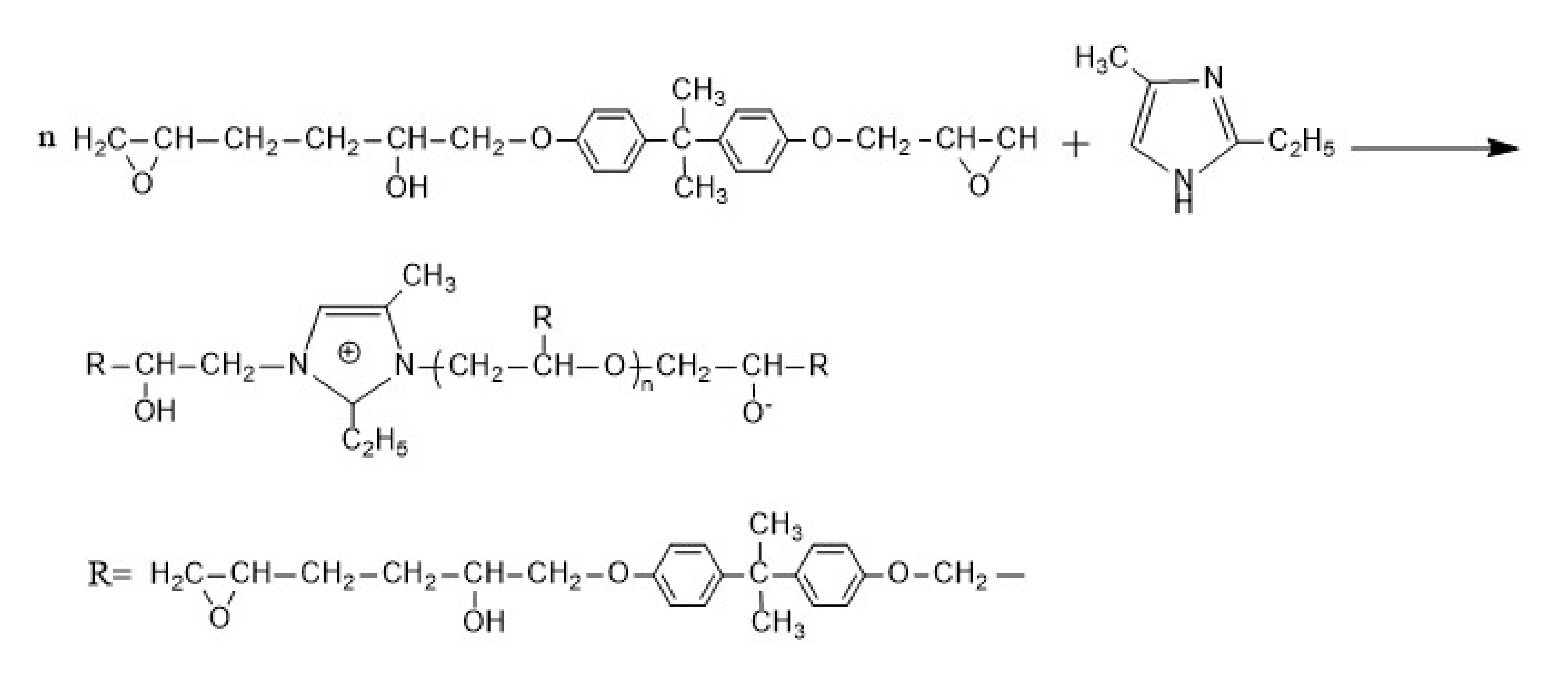
2.2. Preparation of Microcapsules
2.3. Preparation of Mortars
2.4. Measurement and Characterization of Microcapsules
2.4.1. Core Content
2.4.2. Compactness of Microcapsules
2.4.3. Size Distribution
2.4.4. Morphology
2.4.5. FTIR Spectrum
2.4.6. Nanoindentation Test
2.5. Self-Healing of Pre-Damaged Mortars
2.5.1. Compressive Strength
2.5.2. Pore Size Distribution
2.5.3. Impermeability
2.6. Self-Healing of Surface Cracks
3. Results and Discussion
3.1. Core Content of Microcapsules
3.2. Compactness of Microcapsules
3.3. Particle Size Distributions
3.4. Morphologies of Microcapsules
3.5. FTIR Analysis
3.6. Micromechanical Properties
3.7. Compressive Strength Recovery Rate
3.8. Pore Size Distribution of Mortars
3.9. Chloride Ion Diffusion Coefficient Recovery Rates of Mortars
3.10. Self-Healing of Surface Cracks
4. Conclusions
- (1)
- The results indicated that the addition of nano-CaCO3 to ceresine wax could further improve the encapsulation ability, mechanical properties and compactness of microcapsules. The core content, elastic modulus, hardness and weight loss rate (60 days) of WM2 were 80.6%, 2.02 GPA, 72.54 MPa and 1.6%, respectively.
- (2)
- The particle size distribution of WM2 mainly ranged from 40 µm to 60 µm. It could be seen from the SEM images that the surface of WM2 is rough and can form a good bond with the cement matrix. FTIR spectra shows that TDI has been successfully encapsulated in the nano-CaCO3/ceresine wax composite shell.
- (3)
- After 14 days of self-healing, the compressive strength recovery rate, proportion of harmful pores and chloride ion diffusion coefficient recovery rate of CCM2 were 90.1%, 45.54% and 79.8%, respectively. The surface crack with an initial width of 0.35 mm in CCM2 self-healed after 3 days. The results indicate that the microcapsules can rapidly self-heal the surface cracks of the mortar and fill its internal harmful pores, thus recovering the mechanical properties and impermeability of the pre-damaged mortar.
Supplementary Materials
Author Contributions
Funding
Data Availability Statement
Conflicts of Interest
References
- Zhang, X.; Li, M.; Tang, L.; Memon, S.A.; Ma, G.; Xing, F.; Sun, H. Corrosion Induced Stress Field and Cracking Time of Reinforced Concrete with Initial Defects: Analytical Modeling and Experimental Investigation. Corros. Sci. 2017, 120, 158–170. [Google Scholar] [CrossRef]
- Du, W.; Liu, Q.; Lin, R. Effects of Toluene-Di-Isocyanate Microcapsules on the Frost Resistance and Self-Repairing Capability of Concrete under Freeze-Thaw Cycles. J. Build. Eng. 2021, 44, 102880. [Google Scholar] [CrossRef]
- Paul, S.C.; Van Zijl, G.P.A.G. Corrosion deterioration of steel in cracked SHCC. Int. J. Concr. Struct. Mater. 2017, 11, 557–572. [Google Scholar] [CrossRef] [Green Version]
- Du, W.; Lin, R.; Liu, Q. Investigation of Isophorone Diisocyanate Microcapsules to Improve Self-Healing Properties and Sulfate Resistance of Concrete. Constr. Build. Mater. 2021, 300, 124438. [Google Scholar] [CrossRef]
- Korswagen, P.A.; Longo, M.; Meulman, E.; Rots, J.G. Crack Initiation and Propagation in Unreinforced Masonry Specimens Subjected to Repeated In-Plane Loading During Light Damage. Bull. Earthq. Eng. 2019, 17, 4651–4687. [Google Scholar] [CrossRef] [Green Version]
- Long, W.-J.; Gu, Y.; Liao, J.; Xing, F. Sustainable Design and Ecological Evaluation of Low Binder Self-Compacting Concrete. J. Clean. Prod. 2017, 167, 317–325. [Google Scholar] [CrossRef]
- Wiktor, V.; Jonkers, H. Quantification of Crack-Healing in Novel Bacteria-Based Self-Healing Concrete. Cem. Concr. Compos. 2011, 33, 763–770. [Google Scholar] [CrossRef]
- Van Tittelboom, K.; De Belie, N.; De Muynck, W.; Verstraete, W. Use of Bacteria to Repair Cracks in Concrete. Cem. Concr. Res. 2010, 40, 157–166. [Google Scholar] [CrossRef]
- Wang, X.; Chen, Z.; Xu, W.; Wang, X. Fluorescence Labelling and Self-Healing Microcapsules for Detection and Repair of Surface Microcracks in Cement Matrix. Compos. Part B Eng. 2020, 184, 107744. [Google Scholar] [CrossRef]
- Xu, J.; Yao, W. Multiscale Mechanical Quantification of Self-Healing Concrete Incorporating Non-Ureolytic Bacteria-Based Healing Agent. Cem. Concr. Res. 2014, 64, 1–10. [Google Scholar] [CrossRef]
- Qureshi, T.; Kanellopoulos, A.; Al-Tabbaa, A. Encapsulation of Expansive Powder Minerals Within a Concentric Glass Capsule System for Self-Healing Concrete. Constr. Build. Mater. 2016, 121, 629–643. [Google Scholar] [CrossRef]
- Ruan, S.; Unluer, C. Influence of supplementary cementitious materials on the performance and environmental impacts of reactive magnesia cement concrete. J. Clean. Prod. 2017, 159, 62–73. [Google Scholar] [CrossRef]
- Van Tittelboom, K.; De Belie, N. Self-Healing in Cementitious Materials-A Review. Materials 2013, 6, 2182–2217. [Google Scholar] [CrossRef] [Green Version]
- Su, Y.; Feng, J.; Jin, P.; Qian, C. Influence of Bacterial Self-Healing Agent on Early Age Performance of Cement-Based Materials. Constr. Build. Mater. 2019, 218, 224–234. [Google Scholar] [CrossRef]
- Sisomphon, K.; Copuroglu, O.; Koenders, E.A.B. Self-repairing of surface cracks in mortars with expansive additive and crystalline additive. Cem. Concr. Compos. 2012, 34, 566–574. [Google Scholar] [CrossRef]
- Zhou, S.; Jia, Y.; Wang, C. Global Sensitivity Analysis for the Polymeric Microcapsules in Self-Healing Cementitious Composites. Polymers 2020, 12, 2990. [Google Scholar] [CrossRef]
- Kanellopoulos, A.; Giannaros, P.; Al-Tabbaa, A. The Effect of Varying Volume Fraction of Microcapsules on Fresh, Mechanical and Self-Healing Properties of Mortars. Constr. Build. Mater. 2016, 122, 577–593. [Google Scholar] [CrossRef]
- De Belie, N.; Gruyaert, E.; Al-Tabbaa, A.; Antonaci, P.; Baera, C.; Bajare, D.; Darquennes, A.; Davies, R.; Ferrara, L.; Jefferson, T.; et al. A Review of Self-Healing Concrete for Damage Management of Structures. Adv. Mater. Interfaces 2018, 5, 74. [Google Scholar] [CrossRef]
- Cailleux, E.; Pollet, V. Investigations on the Development of Self-Healing Properties in Protective Coatings for Concrete and Repair Mortars. In Proceedings of the 2nd International Conference on Self Healing Materials, Chicago, IL, USA, 28 June–1 July 2009. [Google Scholar]
- Li, W.; Jiang, Z.; Yang, Z.; Zhao, N.; Yuan, W. Self-Healing Efficiency of Cementitious Materials Containing Microcapsules Filled with Healing Adhesive: Mechanical Restoration and Healing Process Monitored by Water Absorption. PLoS ONE 2013, 8, e81616. [Google Scholar] [CrossRef]
- Dong, B.; Fang, G.; Ding, W.; Liu, Y.; Zhang, J.; Han, N.; Xing, F. Self-healing features in cementitious material with urea–formaldehyde/epoxy microcapsules. Constr. Build. Mater. 2016, 106, 608–617. [Google Scholar] [CrossRef]
- Tripathi, M.; Kumar, R.D.; Rajagopal, C.; Kumar Roy, P. Influence of Microcapsule Shell Material on The Mechanical Behavior of Epoxy Composites for Self-Healing Applications. J. Appl. Polym. Sci. 2014, 131. [Google Scholar] [CrossRef]
- Du, W.; Liu, Q.; Lin, R.; Su, X. Preparation and Characterization of Microcrystalline Wax/Epoxy Resin Microcapsules for Self-Healing of Cementitious Materials. Materials 2021, 14, 1725. [Google Scholar] [CrossRef]
- Jiang, X.; Luo, R.; Peng, F.; Fang, Y.; Akiyama, T.; Wang, S. Synthesis, Characterization and Thermal Properties of Paraffin Microcapsules Modified with Nano-Al2O3. Appl. Energ. 2015, 137, 731–737. [Google Scholar] [CrossRef]
- Li, Y.; Yu, J.; Cao, Z.; Du, W.; Zhang, Y.; Zou, Y. Preparation and Characterization of Nano-Fe3O4/Paraffin Encapsulated Isocyanate Microcapsule by Electromagnetic Controlled Rupture for Self-Healing Cementitious Materials. Constr. Build. Mater. 2020, 265, 120703. [Google Scholar] [CrossRef]
- NORDTEST. Chloride Migration Coefficient from Non-Steady-State Migration Experiments; NT BUILD 492; NORDTEST: Rome, Italy, 1999; Available online: https://salmanco.com/wp-content/uploads/2018/10/NT-Build-492.pdf (accessed on 13 May 2020).
- Chen, N.; Long, C.; Li, Y.; Wang, D.; Zhu, H. A hamburger-structure imidazolium-modified silica/polyphenyl ether composite membrane with enhancing comprehensive performance for anion exchange membrane applications. Electrochim. Acta 2018, 268, 295–303. [Google Scholar] [CrossRef]
- Du, W.; Yu, J.; He, B.; He, Y.; He, P.; Li, Y.; Liu, Q. Preparation and Characterization of Nano-SiO2/Paraffin/PE Wax Composite Shell Microcapsules Containing TDI for Self-Healing of Cementitious Materials. Constr. Build. Mater. 2020, 231, 117060. [Google Scholar] [CrossRef]
- Sotiriadis, K.; Mácová, P.; Mazur, A.S.; Viani, A.; Tolstoy, P.M.; Tsivilis, S. Long-term thaumasite sulfate attack on Portland-limestone cement concrete: A multi-technique analytical approach for assessing phase assemblage. Cem. Concr. Res. 2020, 130, 105995. [Google Scholar] [CrossRef]
- Wang, X.; Xing, F.; Zhang, M.; Han, N.; Qian, Z. Experimental Study on Cementitious Composites Embedded with Organic Microcapsules. Materials 2013, 6, 4064–4081. [Google Scholar] [CrossRef]
- Wu, Z.W.; Lian, H.Z. High Performance Concrete; China Railway Publishing House: Beijing, China, 1999. [Google Scholar]
- Wang, X.; Sun, P.; Han, N.; Xing, F. Experimental Study on Mechanical Properties and Porosity of Organic Microcapsules Based Self-Healing Cementitious Composite. Materials 2017, 10, 20. [Google Scholar] [CrossRef] [PubMed] [Green Version]
- Dong, B.; Fang, G.; Wang, Y.; Liu, Y.; Hong, S.; Zhang, J.; Lin, S.; Xing, F. Performance recovery concerning the permeability of concrete by means of a microcapsule based self-healing system. Cem. Concr. Compos. 2017, 78, 84–96. [Google Scholar] [CrossRef]
- Wang, X.; Zhang, J.; Zhao, W.; Han, R.; Han, N.; Xing, F. Permeability and pore structure of microcapsule-based self-healing cementitious composite. Constr. Build. Mater. 2018, 165, 149–162. [Google Scholar] [CrossRef]














| CaO | SiO2 | Al2O3 | MgO | Fe2O3 | SO3 | Other |
|---|---|---|---|---|---|---|
| 58.44 | 21.82 | 6.58 | 2.34 | 4.02 | 2.35 | 3.45 |
| Square Mesh Size (mm) | Cumulative (%) Retained |
|---|---|
| 0.08 | 99 ± 1 |
| 0.16 | 87 ± 5 |
| 0.50 | 68 ± 5 |
| 1.00 | 33 ± 5 |
| 1.60 | 7 ± 5 |
| 2.00 | 0 |
| Microcapsule | Shell Material Used by Weight Ratio | Core Material Used by Weight Ratio | Heating Temperature | Stirring Speed | Viscosity of Shell at Heating Temperature |
|---|---|---|---|---|---|
| WM1 * | ceresine wax, 45 | E-44 epoxy resin diluted with DMF, 55 | 130 °C | 1200 rpm | 5.5 mPa·s |
| WM2 * | ceresine wax, 40; nano-CaCO3, 5 | E-44 epoxy resin diluted with DMF, 55 | 130 °C | 1200 rpm | 35 mPa·s |
| Mortar | Cement | Water | Sand | Microcapsules |
|---|---|---|---|---|
| CCM0 | 100 | 50 | 300 | 0 |
| CCM1 | 100 | 50 | 300 | 4 (WM1) |
| CCM2 | 100 | 50 | 300 | 4 (WM2) |
| Microcapsule | Core Content |
|---|---|
| WM1 | 75.4% |
| WM2 | 80.6% |
| Microcapsule | D10 Values/µm | D50 Values/µm | D90 Values/µm |
|---|---|---|---|
| WM1 | 10 | 23 | 50 |
| WM2 | 25 | 52 | 115 |
| Microcapsules | Elastic Modulus (GPa) | Hardness (MPa) |
|---|---|---|
| WM1 | 0.55 | 4.89 |
| WM2 | 2.02 | 72.54 |
| Mortars * | Compressive Strength (after 28 Days of Standard Curing) |
|---|---|
| CCM0 * | 31.2 MPa |
| CCM1 * | 40.6 MPa |
| CCM2 * | 35.5 MPa |
| Mortars | Chloride Ion Diffusion Coefficient (after 28 Days of Standard Curing) |
|---|---|
| CCM0 | 16.99 × 10−12 m2/s |
| CCM1 | 14.68 × 10−12 m2/s |
| CCM2 | 15.77 × 10−12 m2/s |
| CCM60 * | 44.02 × 10−12 m2/s |
Publisher’s Note: MDPI stays neutral with regard to jurisdictional claims in published maps and institutional affiliations. |
© 2022 by the authors. Licensee MDPI, Basel, Switzerland. This article is an open access article distributed under the terms and conditions of the Creative Commons Attribution (CC BY) license (https://creativecommons.org/licenses/by/4.0/).
Share and Cite
Du, W.; Li, E.; Lin, R. Preparation and Characterization of Nano-CaCO3/Ceresine Wax Composite Shell Microcapsules Containing E-44 Epoxy Resin for Self-Healing of Cement-Based Materials. Nanomaterials 2022, 12, 197. https://doi.org/10.3390/nano12020197
Du W, Li E, Lin R. Preparation and Characterization of Nano-CaCO3/Ceresine Wax Composite Shell Microcapsules Containing E-44 Epoxy Resin for Self-Healing of Cement-Based Materials. Nanomaterials. 2022; 12(2):197. https://doi.org/10.3390/nano12020197
Chicago/Turabian StyleDu, Wei, Erwang Li, and Runsheng Lin. 2022. "Preparation and Characterization of Nano-CaCO3/Ceresine Wax Composite Shell Microcapsules Containing E-44 Epoxy Resin for Self-Healing of Cement-Based Materials" Nanomaterials 12, no. 2: 197. https://doi.org/10.3390/nano12020197
APA StyleDu, W., Li, E., & Lin, R. (2022). Preparation and Characterization of Nano-CaCO3/Ceresine Wax Composite Shell Microcapsules Containing E-44 Epoxy Resin for Self-Healing of Cement-Based Materials. Nanomaterials, 12(2), 197. https://doi.org/10.3390/nano12020197

