You are currently viewing a new version of our website. To view the old version click .
Nanomaterials
  • Editor’s Choice
  • Article
  • Open Access

6 September 2022

Carbene Addition Isomers of C70 formed in the Flame of Low-Pressure Combustion

,
,
,
,
,
and
State Key Lab for Physical Chemistry of Solid Surfaces, Collaborative Innovation Center of Chemistry for Energy Materials, Department of Chemistry, College of Chemistry and Chemical Engineering, Xiamen University, Xiamen 361005, China
*
Authors to whom correspondence should be addressed.
This article belongs to the Special Issue Fullerene Nanostructures: Synthesis, Functionalities and Applications

Abstract

In the flames during low-pressure combustion, not only a rich variety of fullerenes but also many reactive intermediates can be produced (e.g., carbene, CH2) that are short-lived and cannot be stabilized directly under normal circumstances. These intermediates can be captured by fullerene carbon cages for stabilization. In this paper, three C71H2 isomers were synthesized in situ in low-pressure benzene-acetylene-oxygen diffusion flame combustion. The results, which were unambiguously characterized by single-crystal X-ray diffraction, show that the three isomers are carbene addition products of D5h-C70 on different sites. The relative energies and stability of different C71H2 isomers are revealed by Ultraviolet-Visible (UV-Vis) absorption spectroscopy, in combination with theoretical calculations, in this work. Both the in situ capture and theoretical study of these C71H2 isomers in low-pressure combustion will provide more information regarding carbene additions to other fullerenes or other carbon clusters at high temperatures.

1. Introduction

The soot produced from the combustion of gaseous fuels at low pressure contains a rich variety of polycyclic aromatic hydrocarbon and fullerenes, including C60, C70, and other conventional IPR-satisfying (IPR—isolated pentagon rule) [1] fullerenes [2,3] and some special IPR-violating fullerenes [4,5,6,7]. Similar to the free-radical reactions in organic chemistry [8], electron-deficient fullerenes, such as C60 and C70, can act as free radical scavengers [9,10] to capture and stabilize the reactive species formed in the combustion process. The well-defined structures of fullerene derivatives provide important experimental evidence for the study of the combustion mechanism. C60(C5H6) was the first C60 derivative isolated from combustion products [11]. Our group reported a series of C60 derivatives involving methyl-substituted cyclopentadienyl (Cp) species in a low-pressure acetylene-cyclopentadiene-oxygen flame, in the form of C60(Cp)(CH3)n (n = 0–4), in which the proposed C1/C2 mechanism clearly explained the formation of curvatures in nanocarbon materials [3]. Although fullerene derivatives are prevalent, the chemical properties of C70 derivatives in low-pressure combustion flames have rarely been discussed. C70(C14H10) and C70(C5H6) [2] were isolated from the products of benzene-acetylene flame combustion, and the structures of these two C70 derivatives were determined in combination with theoretical simulation, i.e., the adducts obtained by the Diels–Alder reaction of the C14H10 and C5H6 groups with D5h-C70, respectively. However, the structures of other C70 derivatives in the flame are still unknown, mainly because the combustion products are very complex, making isolation and purification difficult.
D5h-C70 is the second most abundant product (after Ih-C60) of the combustion products [12,13,14,15,16,17], with five unequal carbon atoms being present in its carbon cage, resulting in eight different C–C bonds (as shown in Figure 1). There are many reactive carbene intermediates seen in the process of low-pressure combustion, which can easily undergo addition reactions with the C–C bonds on the C70 cage to form ring-like exohedral derivatives. However, the carbene addition reactions of C70 involve chemo- and regioselectivity. The highest curvature in the region near the poles of the olive-shaped C70 brings unfavorable local strain, making it the most active chemical reaction site. Conversely, the equatorial region of C70 shows little local strain due to its having almost no curvature. The reactivity of the equatorial region is low [18,19,20,21,22,23,24] because the high activation energy barriers must be overcome for the reactions to occur.
Figure 1. The five unequal types of carbon atoms (a, b, c, d, and e) and eight nonequivalent types of C–C bonds in C70.
Previously, Wang et al. reported the theoretical calculations of the carbene addition products of D5h-C70 [25], and found that eight possible C71H2 isomers could be formed by the addition reactions of carbenes with the eight different C–C bonds on C70, which are of types a–a, a–b, b–c, c–c, c–d, d–d, d–e, and e–e. Comparisons of the distance of the C-C bond at carbene insertion sites and the corresponding stabilization energies revealed that the isomers of a–a, b–c, c–d, d–d, and e–e are opened structures of carbene addition, called homofullerenes, while the a–b, c–c, and d–e isomers are conventional cycloaddition structures, known as methanofullerenes [26]. It has been reported that carbenes were added to the distinct sites of C70 to form various C71H2 isomers, which were subsequently fully characterized [18,19,20,21]. The synthesis of C71H2 could be achieved by solution chemical reactions [19,20,21], photochemical reactions [27], the Krätschmer–Huffman method [28,29], and pyrogenic synthetic methods [25]. However, the formation of C71H2 through the in situ capture of carbene by C70 during combustion has not yet been reported. In this paper, three C71H2 isomers (C71H2-I, C71H2-II, and C71H2-III) were successfully synthesized from low-pressure benzene-acetylene-oxygen diffusion flame combustion; these were definitely characterized as c–c, a–b and e–e isomers by mass spectrometry, UV-Vis spectrometry, and single-crystal X-ray diffraction. The relative concentrations and stability of the three isomers were verified by theoretical calculations. The capture of these three carbene derivatives of D5h-C70 will be helpful for carbene addition studies at high temperatures.

2. Materials and Methods

2.1. Materials

All gases and other chemicals were purchased from commercial suppliers and were used as received. Benzene and toluene were bought from Sinopharm (Shanghai, China). Acetylene and oxygen were bought from Yidong Gas Co. (Xiamen, China). Toluene was used after distillation via standard procedures.

2.2. Synthesis and Separation

Carbon soot containing C71H2-I, C71H2-II, and C71H2-III was produced in the low-pressure diffusion flame combustion of benzene-acetylene-oxygen, using combustion equipment designed and built by our group [6]. During the synthesis process, the pressure inside the combustion chamber was controlled at about 25 Torr and the gas flow rates of vapored benzene, C2H2, and O2, were set to 1.0 L/min, 0.55 L/min, and 1.10 L/min, respectively. At least 500 g of soot was synthesized continuously at a yield of 3 g/h for the next separation.
The synthesized carbon soot was ultrasonically extracted 3–5 times, with toluene as solvent, and was then filtered and concentrated at room temperature. The toluene extracts were separated and purified, then analyzed with a Shimadzu LC-6AD high-performance liquid chromatograph (HPLC) (Shimadzu Co., Kyoto, Japan) in which toluene was used as the mobile phase; the Cosmosil Buckyprep column (i.d. 20 × 250 mm and i.d. 10 × 250 mm) and Cosmosil 5PBB column (i.d. 10 × 250 mm) were used alternately as stationary phases. The chromatogram was monitored at 330 nm during the separation. The procedures for product isolation are detailed in Figures S1 and S2 of the Supplementary Materials, where mass spectrometry (MS) was used after each step to confirm the purity of the samples, ultimately obtaining C71H2-I, C71H2-II, and C71H2-III with high purity (up to 99%). The yields of C71H2-I, C71H2-II, and C71H2-III in carbon soot were roughly 0.035 mg, 0.18 mg, and 0.85 mg, respectively, which were considerably lower than those of C60 and C70 in the carbon soot (2.5 g and 1.25 g, respectively) (see Table S1).

2.3. Characterization

Mass spectrometry (MS) was performed on a Bruker HCT mass spectrometer (Bruker Co., Karlsruhe, Germany), interfaced with an atmospheric pressure chemical ionization ion source (i.e., APCI-MS) in negative ion mode. Single-crystal X-ray diffraction data were collected on an Agilent SuperNova diffractometer (Agilent Technologies Ltd., Cheadle, UK) using a Cu Kα (λ = 1.54184 Å) microfocus X-ray source. The crystal data processing was carried out through CrysAlisPro3. Within Olex2 [30], the structures were solved with the SHELXT and SHELXL-2015 [31] programs (George M. Sheldrick, Georg-August Universität Göttingen, Tammannstraße 4, Göttingen 37077, Germany), using the intrinsic phasing method, and refined using the full-matrix least-squares analysis based on F2. The SQUEEZE program, part of the crystallographic software PLATON package (Version: 91117, (C) 1980–2021 A.L.Spek, Utrecht University, Utrecht, The Netherlands) [32], was used to calculate the disordered area of solvent and remove its contributions from the intensity data, as needed. The UV-Vis spectra were recorded on a Shimadzu UV-2550 UV-Vis spectrophotometer (Shimadzu Co., Kyoto, Japan), with redistilled toluene as a solvent.

3. Results and Discussion

3.1. Mass Spectrometric Analysis of C71H2-I, C71H2-II, and C71H2-III

The molecular weights of C71H2-I, C71H2-II, and C71H2-III were identified by the negative ion mode of APCI-MS. The ionization temperature during the experiment was set to 250 °C. As shown in Figure S3 of the Supplementary Materials, the three isomers of C71H2 had high purity; the molecular ion peaks of C71H2-I, C71H2-II, and C71H2-III are all around m/z 854.0, matching well with their molecular formula (C71H2). The insets in Figure S3 demonstrate that the experimental mass spectra of the three isomers are consistent with the calculated peaks for C71H2.
The three isomers were also characterized by multi-stage mass spectrometry (MS/MS). As shown in Figure S4 of the Supplementary Materials, no fragment ion peaks were found, indicating that they have good stability under high-energy conditions.

3.2. Crystallographic Identification of C71H2-I, C71H2-II, and C71H2-III

The black co-crystals of 2DPC{C71H2-I}, 2DPC{C71H2-II}, and 2DPC{C71H2-III} were formed by slow solvent evaporation from the mixed solutions of decapyrrylcorannulene (DPC) [33] and C71H2-I, C71H2-II, and C71H2-III in toluene, respectively. The structures of 2DPC{C71H2-I}, 2DPC{C71H2-II}, and 2DPC{C71H2-III} were unequivocally revealed by single-crystal X-ray diffraction (see Figure S5 and Table S2 of the Supplementary Materials for the crystallographic details). Interestingly, the eutectic structures of these three isomers of C71H2 with DPCs indicate that the DPCs have very high flexibility. Palm-like DPCs can not only hold C71H2-I/III in a V-shape but also combine with C71H2-II in a parallel manner by adjusting the interactions between DPCs and C71H2 for high-quality eutectics. All DPCs and toluene molecules are omitted from Figure 2 for clarity.
Figure 2. Ball-and-stick models of C71H2-I (c–c), C71H2-II (a–b), and C71H2-III (e–e). C71H2-I and C71H2-II are methanofullerenes, C71H2-III is a homofullerene. The carbene addition sites are highlighted in red.
It can be seen from Figure 2 that the pristine cages of C71H2-I, C71H2-II, and C71H2-III are IPR-satisfying D5h-C70. Due to the different addition sites of carbenes on the C70 cages, they are isomers of each other. The structures of C71H2-I, C71H2-II, and C71H2-III correspond to the c–c, a–b, and e–e types of the C71H2 isomers, respectively, as demonstrated in the theoretical calculations [25]. Among them, the carbene additions of c–c and a–b isomers are similar to the “2 + 1” cycloaddition reactions in organic synthesis. Both c–c and a–b isomers exhibit Cs symmetry and belong to the methanofullerenes. However, the carbene of the e–e isomer is added at the equatorial site of C70 in an opened structure, resulting in the C2v symmetric homofullerene.

3.3. UV-Vis Spectra of C71H2-I, C71H2-II, and C71H2-III

The purified C71H2-I, C71H2-II. And C71H2-III could be dissolved in common solvents, such as toluene, benzene, o-dichlorobenzene, and carbon disulfide. The solutions of C71H2-I and C71H2-II are yellowish-brown, while the solution of C71H2-III is reddish-brown, similar to that of C70. As shown in Figure 3, the three isomers of C71H2 have obvious absorption peaks in the UV-visible region. It can be seen that the UV-Vis spectra of C71H2-I (c–c) and C71H2-II (a–b) are very similar, while the UV-Vis spectrum of C71H2-III (e–e) is similar to that of D5h-C70. This phenomenon is consistent with Smith et al.’s previous proposal [20] that homofullerenes hold the π electron conjugation of the C70 skeleton to the greatest extent. In addition, the onset wavelengths of C71H2-I (c–c), C71H2-II (a–b), and C71H2-III (e–e) gradually decrease, indicating that their optical energy gaps (Eg) increase progressively.
Figure 3. UV-Vis spectra of C71H2-I (c–c), C71H2-II (a–b), C71H2-III (e–e), and D5h-C70 in toluene.

3.4. Theoretical Calculation Analysis

All possible C71H2 isomers have been optimized by the Gaussian 16 program (Version: A.03, Gaussian, Inc., Wallingford, CT, USA) at the B3LYP/6-31G(d,p) level. The orbital information and relative energies of them and of D5h-C70 are shown in Table 1 and Figure S6 of the Supplementary Materials. Compared to D5h-C70, the stability of the carbene insertions slightly decreases because of the higher HOMO/LUMO energies. Of all the eight C71H2 isomers, e–e is the most stable, while d–e and c–d are the least stable. With the insertion of carbenes, the distance of the C–C bonds at the insertion sites on D5h-C70 will change, where the distance of e–e becomes 2.315 Å, while those of a–b and c–c are only 1.647 Å and 1.612 Å, respectively. The electrostatic potential surface details of the C71H2 isomers and D5h-C70 are shown in Figure S7 of the Supplementary Materials, indicating that the electrostatic potentials of the carbene fragments are more positive than those of the rest of the caged fragments.
Table 1. DFT calculation results of C71H2 isomers and D5h-C70 at the B3LYP/6-31G(d,p) level.
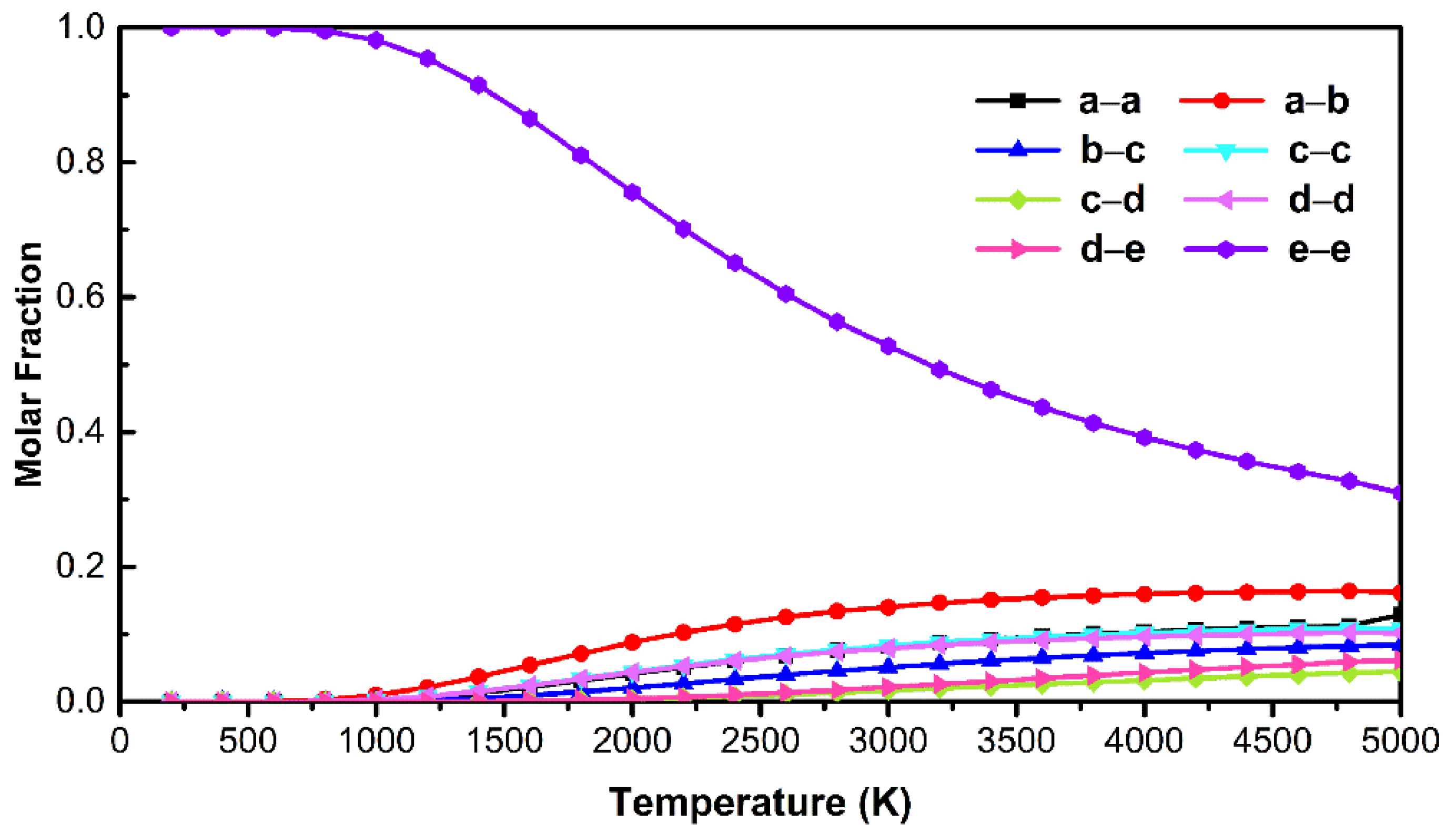
To gain a deeper insight into the relative abundances of all possible isomers of C71H2 at high temperatures, the rigid rotor and harmonic oscillator (RRHO) approximation [34] was employed and the Gibbs energies of isomers from 0 K to 5000 K were calculated. As shown in Figure 4, the e–e isomer is the most abundant among the C71H2 isomers over the entire temperature range, from 0 to 5000 K. As the temperature rises to around 3200 K, the relative concentrations of the other seven isomers tend to change to flat, at which point the a–b and c–c isomers become the second and third stable isomers after the e–e isomer. With the temperature gradually increasing, the relative concentrations of a–a, c–c, and d–d isomers change slightly but very closely, which corresponds to the relative energies resulting from the theoretical calculations in Table 1.
Figure 4. Relative concentrations for the C71H2 isomers, based on the RRHO approximation.
It can be seen that the capture of C71H2-I (c–c), C71H2-II (a–b), and C71H2-III (e–e) is not accidental. According to the calculation results in Table 1 and Figure 4, e–e (0.00 kcal/mol) and a–b (9.88 kcal/mol) are the first and second stable isomers with the highest concentrations at high temperatures, respectively. Although the relative energies and relative concentrations of the c–c and d–d isomers are close to each other, the isomer captured in this work is c–c. The reason for this may be that the C–C bond in D5h-C70 is an independent double bond (1.389 Å) at the c–c site, while the d–d site (1.434 Å) is only a small fragment of the aromatic region and carbenes prefer double bonds to the larger aromatic regions (Figure S8). Therefore, the c–c isomer may be more easily generated than the d–d isomer under identical experimental conditions. Accordingly, the stability of C71H2-I (c–c), C71H2-II (a–b), and C71H2-III (e–e) gradually increase. This was also verified by the UV-Vis spectral analysis in Figure 3, where the optical energy gaps (Eg) of C71H2-I, C71H2-II, and C71H2-III are presumed to increase gradually. Their 1H NMR spectra are also simulated by theoretical calculations (Figure S9 in the Supplementary Materials). The other five isomers have not been isolated under the currently available synthetic conditions, probably because of their higher energies and lower stability than the three isomers obtained in this paper.
In the combustion processes of gaseous fuels, fullerenes might be produced from the continuous growth of intermediates, such as polycyclic aromatic hydrocarbons, bowl-shaped polycyclic aromatic hydrocarbons, and small carbon radical molecules [3,35,36,37,38,39,40]. The present work not only provides explicit structural characterizations of C70 carbene addition isomers but will also inspire further explorations into the capture of active intermediates and our understanding of the formation mechanism of fullerenes in combustion. Further investigations on the formation mechanism of fullerenes in combustion are still ongoing.

4. Conclusions

In summary, three C70 derivatives of carbene addition, C71H2-I (c–c), C71H2-II (a–b), and C71H2-III (e–e), were successfully synthesized by low-pressure benzene-acetylene-oxygen diffusion flame combustion. The crystal structures of the three isomers have been unambiguously characterized by single-crystal X-ray diffraction. The crystallographic data show that C71H2-I and C71H2-II are methanofullerenes, while C71H2-III is a homofullerene. The band gaps and the relative stability that was estimated from the UV-Vis absorption spectra of the three isomers are in good agreement with the theoretical calculation results, indicating that their formation is not accidental. The synthesis of these three C71H2 isomers also indicated that the reactive and short-lived carbene intermediates in the flame of low-pressure combustion could be captured and stabilized by fullerene carbon cages. In the low-pressure flame from gaseous fuels, carbene and other small carbon radical molecules play very important roles in the growth of fullerenes. The current work could inspire further exploration of the capture of reactive intermediates and insights into the mechanism of fullerene formation in combustion.

Supplementary Materials

The following supporting information can be downloaded at: https://www.mdpi.com/article/10.3390/nano12183087/s1, Figure S1: HPLC chromatograms for the separation of C71H2-I and C71H2-II. (The shaded areas correspond to the collected components containing C71H2-I/II). (a), (b), (c) and (d) correspond to the HPLC separation chromatograms of C71H2-I and C71H2-II in the first, second, third and fourth stage, respectively; Figure S2: HPLC chromatograms for the separation of C71H2-III. (The shaded areas correspond to the collected components containing C71H2-III). (a), (b), (c) and (d) correspond to the HPLC separation chromatograms of C71H2-III in the first, second, third and fourth stage, respectively; Figure S3: APCI-MS spectra of C71H2-I (a), C71H2-II (b) and C71H2-III (c) in toluene. (The insets show the experimental and simulated isotopic distributions); Figure S4: MS-MS spectra of C71H2-I (a), C71H2-II (b) and C71H2-III (c) in toluene; Figure S5: C71H2-I (a), C71H2-II (b) and C71H2-III (c) molecules and two co-crystallized DPC molecules in the unit. (C gray, H cyan, N navy blue); Figure S6: The highest occupied molecular orbitals and lowest unoccupied molecular orbitals of C71H2 isomers and D5h-C70 at B3LYP/6-31G(d,p) level; Figure S7: The electrostatic potential surfaces of C71H2 isomers and D5h-C70 at B3LYP/6-31G(d,p) level; Figure S8: The optimized structure of D5h-C70 at B3LYP/6-31G(d,p) level by G16 program; Figure S9: Theoretical simulations for 1H NMR spectra of a–b (a), c–c (b) and e–e (c) at B3LYP/6-31G(d,p) level; Table S1: The yields of C71H2-I, C71H2-II and C71H2-III in soluble extracts at each separation stage; Table S2: Crystallographic data for C71H2-I, C71H2-II and C71H2-III.

Author Contributions

Conceptualization, S.-L.D., S.-Y.X. and L.-S.Z.; data collection F.-F.X., Z.-C.C., Y.-H.W. and H.-R.T.; investigation, writing—original draft preparation, F.-F.X. and Z.-C.C.; supervision, writing—review and editing, S.-L.D., Z.-C.C. and S.-Y.X. All authors have read and agreed to the published version of the manuscript.

Funding

This research was funded by the National Natural Science Foundation of China (91961112, 21721001, 92061204).

Data Availability Statement

The data presented in this study are available on reasonable request from the corresponding author.

Conflicts of Interest

The authors declare no conflict of interest.

References

  1. Kroto, H.W. The Stability of the Fullerenes Cn, with n = 24, 28, 32, 36, 50, 60 and 70. Nature 1987, 329, 529–531. [Google Scholar] [CrossRef]
  2. Weng, Q.H.; He, Q.; Sun, D.; Huang, H.Y.; Xie, S.Y.; Lu, X.; Huang, R.B.; Zheng, L.S. Separation and Characterization of C70(C14H10) and C70(C5H6) from an Acetylene-Benzene-Oxygen Flame. J. Phys. Chem. C 2011, 115, 11016–11022. [Google Scholar] [CrossRef]
  3. Wu, X.Z.; Yao, Y.R.; Chen, M.M.; Tian, H.R.; Xiao, J.; Xu, Y.Y.; Lin, M.S.; Abella, L.; Tian, C.B.; Gao, C.L.; et al. Formation of Curvature Subunit of Carbon in Combustion. J. Am. Chem. Soc. 2016, 138, 9629–9633. [Google Scholar] [CrossRef] [PubMed]
  4. Chen, J.H.; Gao, Z.Y.; Weng, Q.H.; Jiang, W.S.; He, Q.; Liang, H.; Deng, L.L.; Xie, S.L.; Huang, H.Y.; Lu, X.; et al. Combustion Synthesis and Electrochemical Properties of the Small Hydrofullerene C50H10. Chem. Eur. J. 2012, 18, 3408–3415. [Google Scholar] [CrossRef] [PubMed]
  5. Gao, Z.Y.; Jiang, W.S.; Sun, D.; Xie, S.Y.; Huang, R.B.; Zheng, L.S. Synthesis of C3v-#1911C64H4 Using a Low-Pressure Benzene/Oxygen Diffusion Flame: Another Pathway toward Non-IPR Fullerenes. Combust. Flame 2010, 157, 966–969. [Google Scholar] [CrossRef]
  6. Weng, Q.H.; He, Q.; Liu, T.; Huang, H.Y.; Chen, J.H.; Gao, Z.Y.; Xie, S.Y.; Lu, X.; Huang, R.B.; Zheng, L.S. Simple Combustion Production and Characterization of Octahydro[60]Fullerene with a Non-IPR C60 Cage. J. Am. Chem. Soc. 2010, 132, 15093–15095. [Google Scholar] [CrossRef]
  7. Tian, H.R.; Chen, M.M.; Wang, K.; Chen, Z.C.; Fu, C.Y.; Zhang, Q.; Li, S.H.; Deng, S.L.; Yao, Y.R.; Xie, S.Y.; et al. An Unconventional Hydrofullerene C66H4 with Symmetric Heptagons Retrieved in Low-Pressure Combustion. J. Am. Chem. Soc. 2019, 141, 6651–6657. [Google Scholar] [CrossRef]
  8. Hirsch, A.; Brettreich, M.B. Fullerenes: Chemistry and Reactions; Wiley-VCH Verlag GmbH & Co. KGaA: Weinheim, Germany, 2005; ISBN 3527308202. [Google Scholar]
  9. Krusic, P.J.; Wasserman, E.; Keizer, P.N.; Morton, J.R.; Preston, K.F. Radical Reactions of C60. Science 1991, 254, 1183–1185. [Google Scholar] [CrossRef]
  10. Zeynalov, E.B.; Allen, N.S.; Salmanova, N.I. Radical Scavenging Efficiency of Different Fullerenes C60-C70 and Fullerene Soot. Polym. Degrad. Stab. 2009, 94, 1183–1189. [Google Scholar] [CrossRef]
  11. Rotello, V.M.; Howard, J.B.; Yadav, T.; Morgan Conn, M.; Viani, E.; Giovane, L.M.; Lafleur, A.L. Isolation of Fullerene Products from Flames: Structure and Synthesis of the C60-Cyclopentadiene Adduct. Tetrahedron Lett. 1993, 34, 1561–1562. [Google Scholar] [CrossRef]
  12. Gerhardt, P.; Löffler, S.; Homann, K.H. Polyhedral Carbon Ions in Hydrocarbon Flames. Chem. Phys. Lett. 1987, 137, 306–310. [Google Scholar] [CrossRef]
  13. Howard, J.B.; Mckinnon, J.T.; Makarovsky, Y.; Lafleur, A.L.; Elaine Johnson, M. Fullerenes C60 and C70 in Flames. Nature 1991, 352, 139. [Google Scholar] [CrossRef]
  14. Howard, J.B.; McKinnon, J.T.; Elaine Johnson, M.; Makarovsky, Y.; Lafleur, A.L. Production of C60 and C70 Fullerenes in Benzene-Oxygen Flames. J. Phys. Chem. 1992, 96, 6657–6662. [Google Scholar] [CrossRef]
  15. Richter, H.; Labrocca, A.J.; Grieco, W.J.; Taghizadeh, K.; Lafleur, A.L.; Howard, J.B. Generation of Higher Fullerenes in Flames. J. Phys. Chem. B 1997, 101, 1556–1560. [Google Scholar] [CrossRef]
  16. Goel, A.; Hebgen, P.; Vander Sande, J.B.; Howard, J.B. Combustion Synthesis of Fullerenes and Fullerenic Nanostructures. Carbon 2002, 40, 177–182. [Google Scholar] [CrossRef]
  17. Takehara, H.; Fujiwara, M.; Arikawa, M.; Diener, M.D.; Alford, J.M. Experimental Study of Industrial Scale Fullerene Production by Combustion Synthesis. Carbon 2005, 43, 311–319. [Google Scholar] [CrossRef]
  18. Bellavia-Lund, C.; Wudl, F. Synthesis of [70]Azafulleroids:  Investigations of Azide Addition to C70. J. Am. Chem. Soc. 1997, 119, 943–946. [Google Scholar] [CrossRef]
  19. Smith, A.B.; Strongin, R.M.; Brard, L.; Furst, G.T.; Romanow, W.J.; Owens, K.G.; Goldschmidt, R.J. C71H2 Cyclopropanes and Annulenes: Synthesis and Characterization. J. Chem. Soc. Chem. Commun. 1994, 18, 2187. [Google Scholar] [CrossRef]
  20. Smith, A.B.; Strongin, R.M.; Brard, L.; Furst, G.T.; Romanow, W.J.; Owens, K.G.; Goldschmidt, R.J.; King, R.C. Synthesis of Prototypical Fullerene Cyclopropanes and Annulenes. Isomer Differentiation via NMR and UV Spectroscopy. J. Am. Chem. Soc. 1995, 117, 5492–5502. [Google Scholar] [CrossRef]
  21. Kiely, A.F.; Haddon, R.C.; Meier, M.S.; Selegue, J.P.; Brock, C.P.; Patrick, B.O.; Wang, G.W.; Chen, Y.S. The First Structurally Characterized Homofullerene (Fulleroid). J. Am. Chem. Soc. 1999, 121, 7971–7972. [Google Scholar] [CrossRef]
  22. Bühl, M.; Hirsch, A. Spherical Aromaticity of Fullerenes. Chem. Rev. 2001, 101, 1153–1184. [Google Scholar] [CrossRef] [PubMed]
  23. Chen, Z.F.; King, R.B. Spherical Aromaticity:  Recent Work on Fullerenes, Polyhedral Boranes, and Related Structures. Chem. Rev. 2005, 105, 3613–3642. [Google Scholar] [CrossRef] [PubMed]
  24. Bühl, M. The Relation Between Endohedral Chemical Shifts and Local Aromaticities in Fullerenes. Chem. Eur. J. 1998, 4, 734–739. [Google Scholar] [CrossRef]
  25. Li, B.; Shu, C.Y.; Lu, X.; Dunsch, L.; Chen, Z.F.; Dennis, T.J.S.; Shi, Z.Q.; Jiang, L.S.; Wang, T.; Xu, W.; et al. Addition of Carbene to the Equator of C70 To Produce the Most Stable C71H2 Isomer: 2 AH-2(12)a-Homo(C70-D5h(6))[5,6]Fullerene. Angew. Chem. Int. Ed. 2010, 49, 962–966. [Google Scholar] [CrossRef]
  26. Teng, Q.W.; Zhao, X.Z.; Cai, Z.S.; Tang, A.C. Theoretical Studies on the Structures and Electronic Spectra of C70CH2. Int. J. Quantum Chem. 1997, 61, 815–822. [Google Scholar] [CrossRef]
  27. Akasaka, T.; Mitsuhida, E.; Ando, W.; Kobayashi, K.; Nagase, S. Adduct of C70 at the Equatorial Belt: Photochemical Cycloaddition with Disilirane. J. Am. Chem. Soc. 1994, 116, 2627–2628. [Google Scholar] [CrossRef]
  28. Krätschmer, W.; Lamb, L.D.; Fostiropoulos, K.; Huffman, D.R. Solid C60: A New Form of Carbon. Nature 1990, 347, 354–358. [Google Scholar] [CrossRef]
  29. Yao, Y.R.; Shi, X.M.; Zheng, S.Y.; Chen, Z.C.; Xie, S.Y.; Huang, R.B.; Zheng, L.S. Atomically Precise Insights into Metal–Metal Bonds Using Comparable Endo-Units of Sc2 and Sc2C2. CCS Chem. 2021, 3, 294–302. [Google Scholar] [CrossRef]
  30. Dolomanov, O.V.; Bourhis, L.J.; Gildea, R.J.; Howard, J.A.K.; Puschmann, H. OLEX2: A Complete Structure Solution, Refinement and Analysis Program. J. Appl. Crystallogr. 2009, 42, 339–341. [Google Scholar] [CrossRef]
  31. Sheldrick, G.M. Crystal Structure Refinement with SHELXL. Acta Cryst. C Struct. Chem. 2015, 71, 3–8. [Google Scholar] [CrossRef]
  32. Spek, A.L. Structure Validation in Chemical Crystallography. Acta Cryst. D Biol. Cryst. 2009, 65, 148–155. [Google Scholar] [CrossRef] [PubMed]
  33. Xu, Y.Y.; Tian, H.R.; Li, S.H.; Chen, Z.C.; Yao, Y.R.; Wang, S.S.; Zhang, X.; Zhu, Z.Z.; Deng, S.L.; Zhang, Q.Y.; et al. Flexible Decapyrrylcorannulene Hosts. Nat. Commun. 2019, 10, 485. [Google Scholar] [CrossRef] [PubMed]
  34. Slanina, Z.; Lee, S.L.; Uhlík, F.; Adamowicz, L.; Nagase, S. Computing Relative Stabilities of Metallofullerenes by Gibbs Energy Treatments. Theor. Chem. Acc. 2007, 117, 315–322. [Google Scholar] [CrossRef]
  35. Baum, T.; Löffler, S.; Löffler, P.; Weilmünster, P.; Homann, K.H. Fullerene Ions and Their Relation to PAH and Soot in Low-pressure Hydrocarbon Flames. Ber. Bunsenges. Phys. Chem. 1992, 96, 841–857. [Google Scholar] [CrossRef]
  36. Lafleur, A.L.; Howard, J.B.; Marr, J.A.; Yadav, T. Proposed Fullerene Precursor Corannulene Identified in Flames Both in the Presence and Absence of Fullerene Production. J. Phys. Chem. 1993, 97, 13539–13543. [Google Scholar] [CrossRef]
  37. Ahrens, J.; Bachmann, M.; Baum, T.; Griesheimer, J.; Kovacs, R.; Weilmünster, P.; Homann, K.H. Fullerenes and Their Ions in Hydrocarbon Flames. Int. J. Mass Spectrom. Ion Processes 1994, 138, 133–148. [Google Scholar] [CrossRef]
  38. Lafleur, A.L.; Howard, J.B.; Taghizadeh, K.; Plummer, E.F.; Scott, L.T.; Necula, A.; Swallow, K.C. Identification of C20H10 Dicyclopentapyrenes in Flames:  Correlation with Corannulene and Fullerene Formation. J. Phys. Chem. 1996, 100, 17421–17428. [Google Scholar] [CrossRef]
  39. Homann, K.H. Fullerenes and Soot Formation—New Pathways to Large Particles in Flames. Angew. Chem. Int. Ed. 1998, 37, 2434–2451. [Google Scholar] [CrossRef]
  40. Poater, J.; Fradera, X.; Duran, M.; Sola, M. An Insight into the Local Aromaticities of Polycyclic Aromatic Hydrocarbons and Fullerenes. Chem. Eur. J. 2003, 9, 1113–1122. [Google Scholar] [CrossRef]
Publisher’s Note: MDPI stays neutral with regard to jurisdictional claims in published maps and institutional affiliations.

Article Metrics

Citations

Article Access Statistics

Multiple requests from the same IP address are counted as one view.