Dynamic Mechanical and Creep Behaviour of Meltspun PVDF Nanocomposite Fibers
Abstract
:1. Introduction
2. Materials and Methods
2.1. Materials
2.2. Methods
2.2.1. Preparation of the Nanocomposites
2.2.2. Melt Spinning of Nanocomposite Fibers
2.2.3. Characterization
3. Results and Discussion
3.1. Crystalline Structure
3.2. Differential Scanning Calorimetry (DSC)
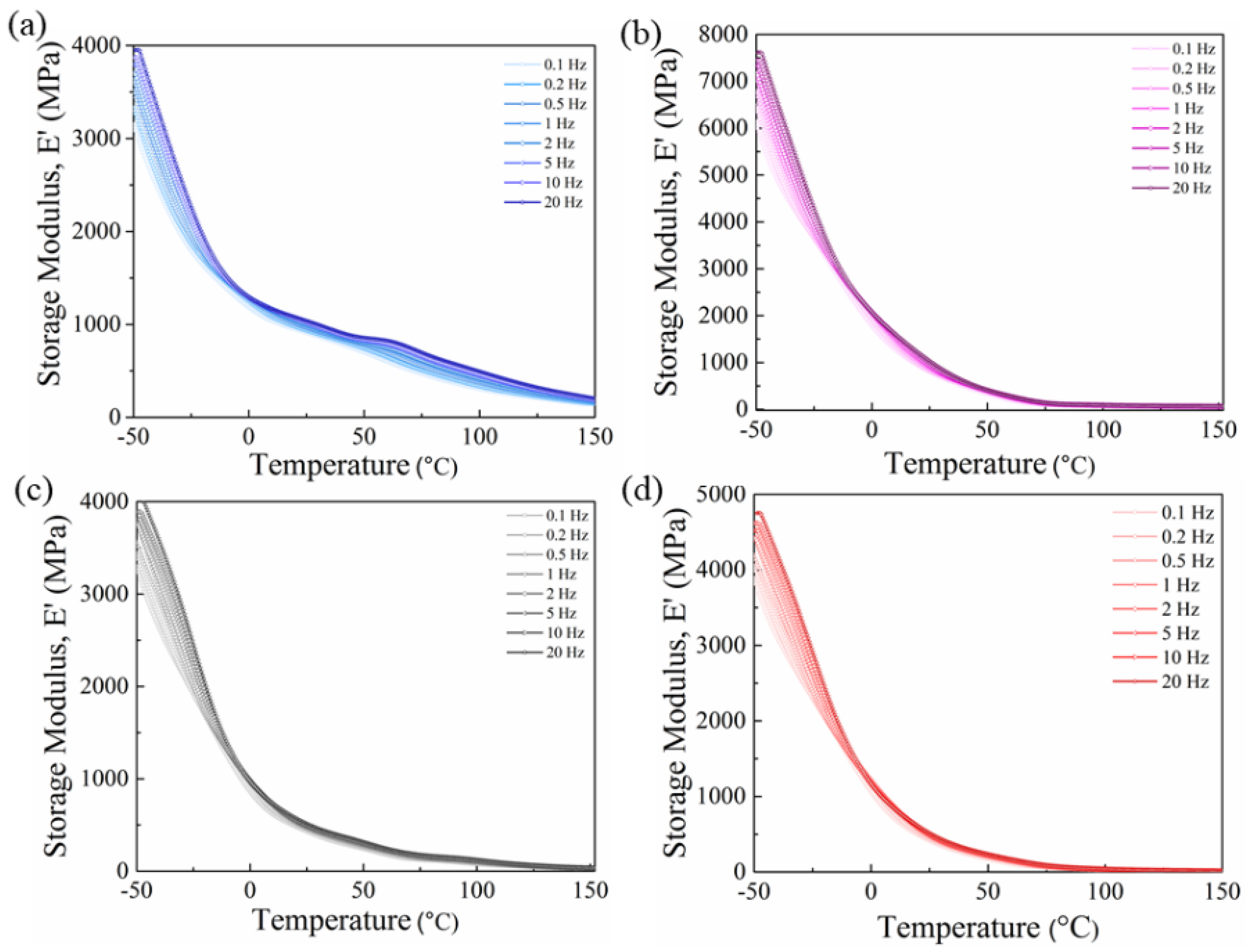
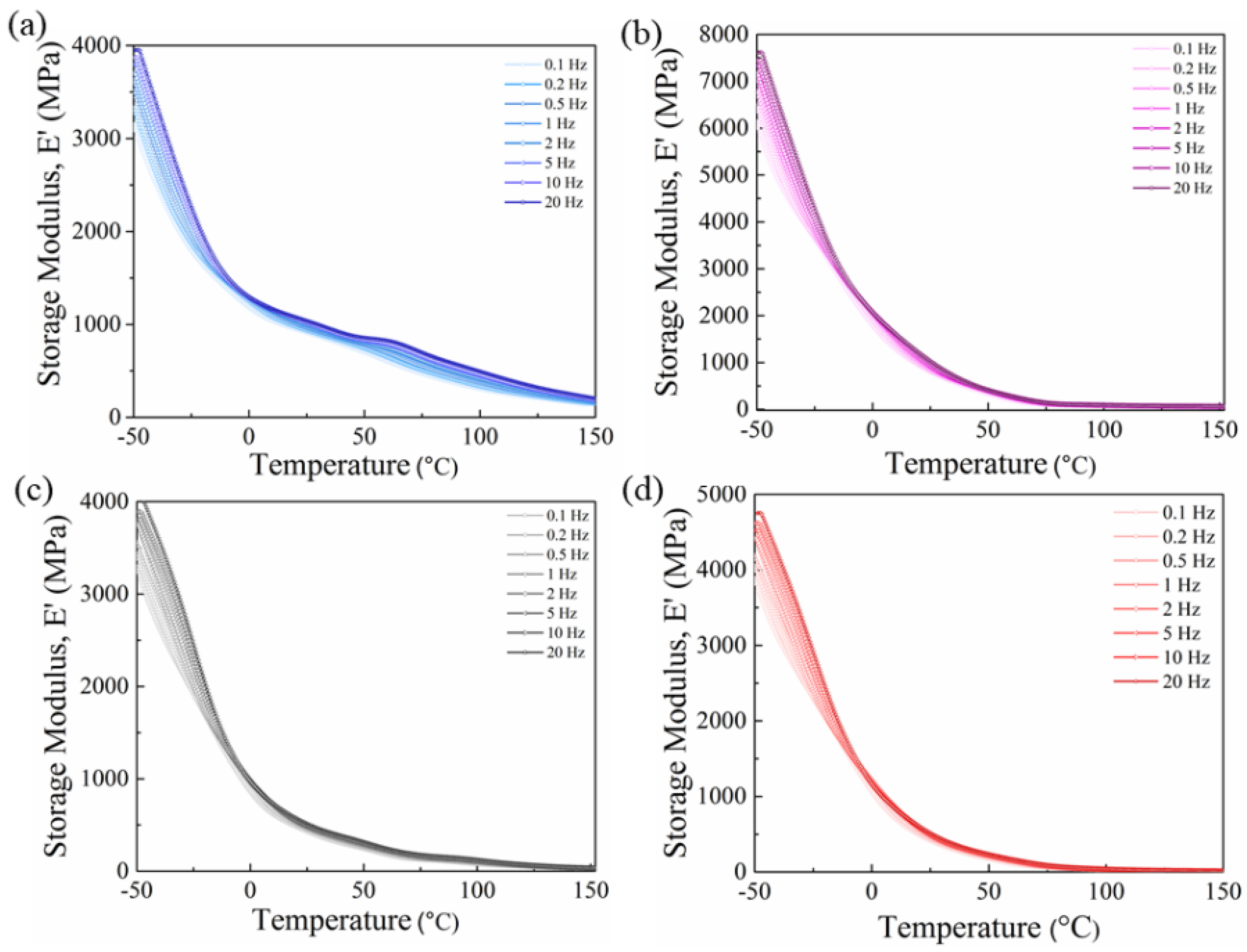
3.3. Dynamic Mechanical Behaviour
3.4. Tensile Creep Behaviour
4. Conclusions
Author Contributions
Funding
Data Availability Statement
Acknowledgments
Conflicts of Interest
References
- Mokhtari, F.; Cheng, Z.; Raad, R.; Xi, J.; Foroughi, J. Piezofibers to smart textiles: A review on recent advances and future outlook for wearable technology. J. Mater. Chem. A 2020, 8, 9496–9522. [Google Scholar] [CrossRef]
- Mokhtari, F.; Azimi, B.; Salehi, M.; Hashemikia, S.; Danti, S. Recent advances of polymer-based piezoelectric composites for biomedical applications. J. Mech. Behav. Biomed. Mater. 2021, 122, 104669. [Google Scholar] [CrossRef] [PubMed]
- Tourang, H.; Loghman, A.; Azami, M.; Habibi, M.R. Semi-analytical solution for electro-thermo-mechanical non-stationary creep behaviour of rotating disk made of nonlinear piezoelectric polymer. Plast. Rubber Compos. 2018, 47, 122–132. [Google Scholar] [CrossRef]
- Gaikwad, S.D.; Dravid, S.V.; Sonawane, B.U.; Abraham, M.; Goyal, R.K. Dynamic mechanical and creep properties of poly(ether ketone)-graphite nanoplatelet (GNP) nanocomposites. Polym.-Plast. Technol. Mater. 2019, 58, 1691–1701. [Google Scholar] [CrossRef]
- Frankel, J.I.; Chisholm, C. Integral equation and sensitivity analyses of creep behavior for PVDF thin films. Mech. Mater. 2008, 40, 594–601. [Google Scholar] [CrossRef]
- Mokhtari, F.; Shamshirsaz, M.; Latifi, M. Investigation of β phase formation in piezoelectric response of electrospun polyvinylidene fluoride nanofibers: LiCl additive and increasing fibers tension. Polym. Eng. Sci. 2016, 56, 61–70. [Google Scholar] [CrossRef]
- Mokhtari, F.; Latifi, M.; Shamshirsaz, M. Electrospinning/electrospray of polyvinylidene fluoride (PVDF): Piezoelectric nanofibers. J. Text. Inst. 2016, 107, 1037–1055. [Google Scholar] [CrossRef]
- Issa, A.A.; Al-Maadeed, M.A.; Luyt, A.S.; Ponnamma, D.; Hassan, M.K. Physico-Mechanical, Dielectric, and Piezoelectric Properties of PVDF Electrospun Mats Containing Silver Nanoparticles. J. Carbon Res. 2017, 3, 30. [Google Scholar] [CrossRef] [Green Version]
- Haddadi, S.A.; Ramazani, S.A.A.; Talebi, S.; Fattahpour, S.; Hasany, M. Investigation of the Effect of Nanosilica on Rheological, Thermal, Mechanical, Structural, and Piezoelectric Properties of Poly(vinylidene fluoride) Nanofibers Fabricated Using an Electrospinning Technique. Ind. Eng. Chem. Res. 2017, 56, 12596–12607. [Google Scholar] [CrossRef]
- Mokhtari, F.; Foroughi, J.; Latifi, M. Enhancing β crystal phase content in electrospun PVDF nanofibers. In Energy Harvesting Properties of Electrospun Nanofibers; IOP Publishing: Bristol, UK, 2019; pp. 5-1–5-28. [Google Scholar] [CrossRef]
- Correia, D.M.; Costa, C.M.; Lizundia, E.; Sabater i Serra, R.; Gómez-Tejedor, J.A.; Biosca, L.T.; Meseguer-Dueñas, J.M.; Gomez Ribelles, J.L.; Lanceros-Méndez, S. Influence of Cation and Anion Type on the Formation of the Electroactive β-Phase and Thermal and Dynamic Mechanical Properties of Poly(vinylidene fluoride)/Ionic Liquids Blends. J. Phys. Chem. C 2019, 123, 27917–27926. [Google Scholar] [CrossRef]
- Bergstrom, J.S. Mechanics of Solid Polymers: Theory and Computational Modeling; William Andrew: New York, NY, USA, 2015. [Google Scholar]
- Tang, X.G.; Hou, M.; Zou, J.; Truss, R.; Zhu, Z. The creep behaviour of poly(vinylidene fluoride)/“bud-branched” nanotubes nanocomposites. Compos. Sci. Technol. 2012, 72, 1656–1664. [Google Scholar] [CrossRef]
- Hosseini, S.M.; Yousefi, A.A. Piezoelectric sensor based on electrospun PVDF-MWCNT-Cloisite 30B hybrid nanocomposites. Org. Electron. 2017, 50, 121–129. [Google Scholar] [CrossRef]
- Chamankar, N.; Khajavi, R.; Yousefi, A.A.; Rashidi, A.; Golestanifard, F. A flexible piezoelectric pressure sensor based on PVDF nanocomposite fibers doped with PZT particles for energy harvesting applications. Ceram. Int. 2020, 46, 19669–19681. [Google Scholar] [CrossRef]
- Mokhtari, F.; Spinks, G.M.; Fay, C.; Cheng, Z.; Raad, R.; Xi, J.; Foroughi, J. Wearable Electronic Textiles from Nanostructured Piezoelectric Fibers. Adv. Mater. Technol. 2020, 5, 1900900. [Google Scholar] [CrossRef]
- Wang, M.; Shi, J.-H.; Pramoda, K.P.; Goh, S.H. Microstructure, crystallization and dynamic mechanical behaviour of poly(vinylidene fluoride) composites containing poly(methyl methacrylate)-grafted multiwalled carbon nanotubes. Nanotechnology 2007, 18, 235701. [Google Scholar] [CrossRef]
- Garcia-Gonzalez, D.; Garzon-Hernandez, S.; Rusinek, A.; Bernier, R.; Arias, A. Low temperature mechanical behaviour of PVDF: Cryogenic pre-treatment, quasi-static, cyclic and dynamic experimental testing and modelling. Mech. Mater. 2020, 147, 103436. [Google Scholar] [CrossRef]
- Mokhtari, F.; Foroughi, J.; Zheng, T.; Cheng, Z.; Spinks, G.M. Triaxial braided piezo fiber energy harvesters for self-powered wearable technologies. J. Mater. Chem. A 2019, 7, 8245–8257. [Google Scholar] [CrossRef]
- Javadi, A.; Xiao, Y.; Xu, W.; Gong, S. Chemically modified graphene/P (VDF-TrFE-CFE) electroactive polymer nanocomposites with superior electromechanical performance. J. Mater. Chem. 2012, 22, 830–834. [Google Scholar] [CrossRef]
- Pusty, M.; Sinha, L.; Shirage, P.M. A flexible self-poled piezoelectric nanogenerator based on a rGO–Ag/PVDF nanocomposite. New J. Chem. 2019, 43, 284–294. [Google Scholar] [CrossRef]
- Mokhtari, F.; Spinks, G.M.; Sayyar, S.; Cheng, Z.; Ruhparwar, A.; Foroughi, J. Highly Stretchable Self-Powered Wearable Electrical Energy Generator and Sensors. Adv. Mater. Technol. 2021, 6, 2000841. [Google Scholar] [CrossRef]
- Sayyar, S.; Murray, E.; Thompson, B.C.; Gambhir, S.; Officer, D.L.; Wallace, G.G. Covalently linked biocompatible graphene/polycaprolactone composites for tissue engineering. Carbon 2013, 52, 296–304. [Google Scholar] [CrossRef] [Green Version]
- Gambhir, S.; Murray, E.; Sayyar, S.; Wallace, G.G.; Officer, D.L. Anhydrous organic dispersions of highly reduced chemically converted graphene. Carbon 2014, 76, 368–377. [Google Scholar] [CrossRef]
- Cao, Y.; Deng, Q.; Liu, Z.; Shen, D.; Wang, T.; Huang, Q.; Du, S.; Jiang, N.; Lin, C.T.; Yu, J. Enhanced thermal properties of poly(vinylidene fluoride) composites with ultrathin nanosheets of MXene. RSC Adv. 2017, 7, 20494–20501. [Google Scholar] [CrossRef] [Green Version]
- Fauziyah, N.A.; Hilmi, A.R.; Zainuri, M.; Asrori, M.Z.; Mashuri, M.; Jawaid, M.; Pratapa, S. Thermal and dynamic mechanical properties of polyethylene glycol/quartz composites for phase change materials. J. Appl. Polym. Sci. 2019, 136, 48130. [Google Scholar] [CrossRef]
- Foroughi, J.; Spinks, M.G.; Wallace, G. Effect of synthesis conditions on the properties of wet spun polypyrrole fibres. Synth. Met. 2009, 159, 1837–1843. [Google Scholar] [CrossRef]
- Ram, R.; Khastgir, D.; Rahaman, M. Physical properties of polyvinylidene fluoride/multi-walled carbon nanotube nanocomposites with special reference to electromagnetic interference shielding effectiveness. Adv. Polym. Technol. 2018, 37, 3287–3296. [Google Scholar] [CrossRef]
- Goodarzi, V.; Kokabi, M.; Razzaghi Kashani, M.; Reza Bahramian, A. Prediction of long-term mechanical properties of PVDF/BaTiO3 nanocomposite. J. Appl. Polym. Sci. 2014, 131, 596. [Google Scholar] [CrossRef]
- Karan, S.K.; Mandal, D.; Khatua, B.B. Self-powered flexible Fe-doped RGO/PVDF nanocomposite: An excellent material for a piezoelectric energy harvester. Nanoscale 2015, 7, 10655–10666. [Google Scholar] [CrossRef]
- Huang, L.; Lu, C.; Wang, F.; Wang, L. Preparation of PVDF/graphene ferroelectric composite films by in situ reduction with hydrobromic acids and their properties. RSC Adv. 2014, 4, 45220–45229. [Google Scholar] [CrossRef]
- Song, R.; Yang, D.; He, L. Effect of surface modification of nanosilica on crystallization, thermal and mechanical properties of poly(vinylidene fluoride). J. Mater. Sci. 2007, 42, 8408–8417. [Google Scholar] [CrossRef]
- Yang, J.; Xie, X.; He, Z.; Lu, Y.; Qi, X.; Wang, Y. Graphene oxide-tailored dispersion of hybrid barium titanate@polypyrrole particles and the dielectric composites. Chem. Eng. J. 2019, 355, 137–149. [Google Scholar] [CrossRef]
- Flyagina, I.S.; Mahdi, E.M.; Titov, K.; Tan, J.-C. Thermo-mechanical properties of mixed-matrix membranes encompassing zeolitic imidazolate framework-90 and polyvinylidine difluoride: ZIF-90/PVDF nanocomposites. APL Mater. 2017, 5, 086104. [Google Scholar] [CrossRef] [Green Version]
- Zadeh, K.; Waseem, S.; Sadasivuni, K.K.; Deshmukh, K.; Muzaffar, A.; Ahamed, M.B.; AlMaadeed, M.A.-A. Processing and Industrial Applications of Sustainable Nanocomposites Containing Nanofillers. In Sustainable Polymer Composites and Nanocomposites; Springer: Berlin/Heidelberg, Germany, 2019; pp. 451–478. [Google Scholar]
- Jia, N.; Xing, Q.; Liu, X.; Sun, J.; Xia, G.; Huang, W.; Song, R. Enhanced electroactive and mechanical properties of poly(vinylidene fluoride) by controlling crystallization and interfacial interactions with low loading polydopamine coated BaTiO3. J. Colloid Interface Sci. 2015, 453, 169–176. [Google Scholar] [CrossRef] [PubMed]
- Dinu, R.; Mija, A. Cross-linked polyfuran networks with elastomeric behaviour based on humins biorefinery by-products. Green Chem. 2019, 21, 6277–6289. [Google Scholar] [CrossRef] [Green Version]
- Vyas, M.K.; Chandra, A. Role of organic/inorganic salts and nanofillers in polymer nanocomposites: Enhanced conduction, rheological, and thermal properties. J. Mater. Sci. 2018, 53, 4987–5003. [Google Scholar] [CrossRef]
- Mohanapriya, M.K.; Deshmukh, K.; Kadlec, J.; Sadasivuni, K.K.; Faisal, M.; Nambi Raj, N.A.; Pasha, S.K.K. Dynamic mechanical analysis and broadband electromagnetic interference shielding characteristics of poly (vinyl alcohol)-poly (4-styrenesulfonic acid)-titanium dioxide nanoparticles based tertiary nanocomposites. Polym.-Plast. Technol. Mater. 2020, 59, 847–863. [Google Scholar] [CrossRef]
- Sperling, L.H. Introduction to Physical Polymer Science; John Wiley & Sons: Hoboken, NJ, USA, 2005. [Google Scholar]
- Gondim, F.F.; Tienne, L.G.P.; Macena da Cruz, B.d.S.; Chaves, E.G.; de Carvalho Peres, A.C.; Marques, M. Poly(vinylidene fluoride) with zinc oxide and carbon nanotubes applied to pressure sheath layers in oil and gas pipelines. J. Appl. Polym. Sci. 2021, 138, 50157. [Google Scholar] [CrossRef]
- Maity, N.; Mandal, A.; Nandi, A.K. Synergistic interfacial effect of polymer stabilized graphene via non-covalent functionalization in poly (vinylidene fluoride) matrix yielding superior mechanical and electronic properties. Polymer 2016, 88, 79–93. [Google Scholar] [CrossRef]
- Layek, R.K.; Samanta, S.; Chatterjee, D.P.; Nandi, A.K. Physical and mechanical properties of poly(methyl methacrylate) -functionalized graphene/poly(vinylidine fluoride) nanocomposites: Piezoelectric β polymorph formation. Polymer 2010, 51, 5846–5856. [Google Scholar] [CrossRef]
- Sharma, M.; Gaur, A.; Quamara, J.K. Temperature-dependent dielectric response of (1-x)PVDF/(x)BaTiO3 nanocomposite films. Phys. B Condens. Matter 2019, 563, 23–29. [Google Scholar] [CrossRef]
- Maity, N.; Mandal, A.; Nandi, A.K. Interface engineering of ionic liquid integrated graphene in poly (vinylidene fluoride) matrix yielding magnificent improvement in mechanical, electrical and dielectric properties. Polymer 2015, 65, 154–167. [Google Scholar] [CrossRef]
- Mandal, A.; Nandi, A.K. Ionic Liquid Integrated Multiwalled Carbon Nanotube in a Poly(vinylidene fluoride) Matrix: Formation of a Piezoelectric β-Polymorph with Significant Reinforcement and Conductivity Improvement. ACS Appl. Mater. Interfaces 2013, 5, 747–760. [Google Scholar] [CrossRef]
- Fiorenza de Lima, H.; Vaz, M.A.; Ferreira da Costa, M.; Gomez, A.A.; Lima de Oliveira, G. Creep behavior of in-service flexible flowline polyamide 11. Polym. Test. 2020, 81, 106205. [Google Scholar] [CrossRef]
- Bindu Sharmila, T.K.; Antony, J.V.; Jayakrishnan, M.P.; Sabura Beegum, P.M.; Thachil, E.T. Mechanical, thermal and dielectric properties of hybrid composites of epoxy and reduced graphene oxide/iron oxide. Mater. Des. 2016, 90, 66–75. [Google Scholar] [CrossRef]
- Ornaghi, H.L.; Zattera, A.J.; Amico, S.C. Dynamic mechanical properties and correlation with dynamic fragility of sisal reinforced composites. Polym. Compos. 2015, 36, 161–166. [Google Scholar] [CrossRef]
- Atif, R.; Inam, F. Modeling and Simulation of Graphene Based Polymer Nanocomposites: Advances in the Last Decade. Graphene 2016, 5, 96–142. [Google Scholar] [CrossRef] [Green Version]
- Amraei, J.; Jam, J.E.; Arab, B.; Firouz-Abadi, R.D. Effect of interphase zone on the overall elastic properties of nanoparticle-reinforced polymer nanocomposites. J. Compos. Mater. 2019, 53, 1261–1274. [Google Scholar] [CrossRef]







| Samples | Tm (°C) | Tc (°C) | Xc (%) |
|---|---|---|---|
| PVDF | 172.4 | 140.1 | 41 |
| PVDF/BT | 173.3 | 142.4 | 42 |
| PVDF/rGO | 172.6 | 143.3 | 43 |
| PVDF/rGO/BT | 172.5 | 143 | 43 |
Publisher’s Note: MDPI stays neutral with regard to jurisdictional claims in published maps and institutional affiliations. |
© 2021 by the authors. Licensee MDPI, Basel, Switzerland. This article is an open access article distributed under the terms and conditions of the Creative Commons Attribution (CC BY) license (https://creativecommons.org/licenses/by/4.0/).
Share and Cite
Mokhtari, F.; Spinks, G.M.; Sayyar, S.; Foroughi, J. Dynamic Mechanical and Creep Behaviour of Meltspun PVDF Nanocomposite Fibers. Nanomaterials 2021, 11, 2153. https://doi.org/10.3390/nano11082153
Mokhtari F, Spinks GM, Sayyar S, Foroughi J. Dynamic Mechanical and Creep Behaviour of Meltspun PVDF Nanocomposite Fibers. Nanomaterials. 2021; 11(8):2153. https://doi.org/10.3390/nano11082153
Chicago/Turabian StyleMokhtari, Fatemeh, Geoffrey M. Spinks, Sepidar Sayyar, and Javad Foroughi. 2021. "Dynamic Mechanical and Creep Behaviour of Meltspun PVDF Nanocomposite Fibers" Nanomaterials 11, no. 8: 2153. https://doi.org/10.3390/nano11082153
APA StyleMokhtari, F., Spinks, G. M., Sayyar, S., & Foroughi, J. (2021). Dynamic Mechanical and Creep Behaviour of Meltspun PVDF Nanocomposite Fibers. Nanomaterials, 11(8), 2153. https://doi.org/10.3390/nano11082153

