Enhancement of Photodetective Properties on Multilayered MoS2 Thin Film Transistors via Self-Assembled Poly-L-Lysine Treatment and Their Potential Application in Optical Sensors
Abstract
1. Introduction
2. Materials and Methods
3. Results and Discussion
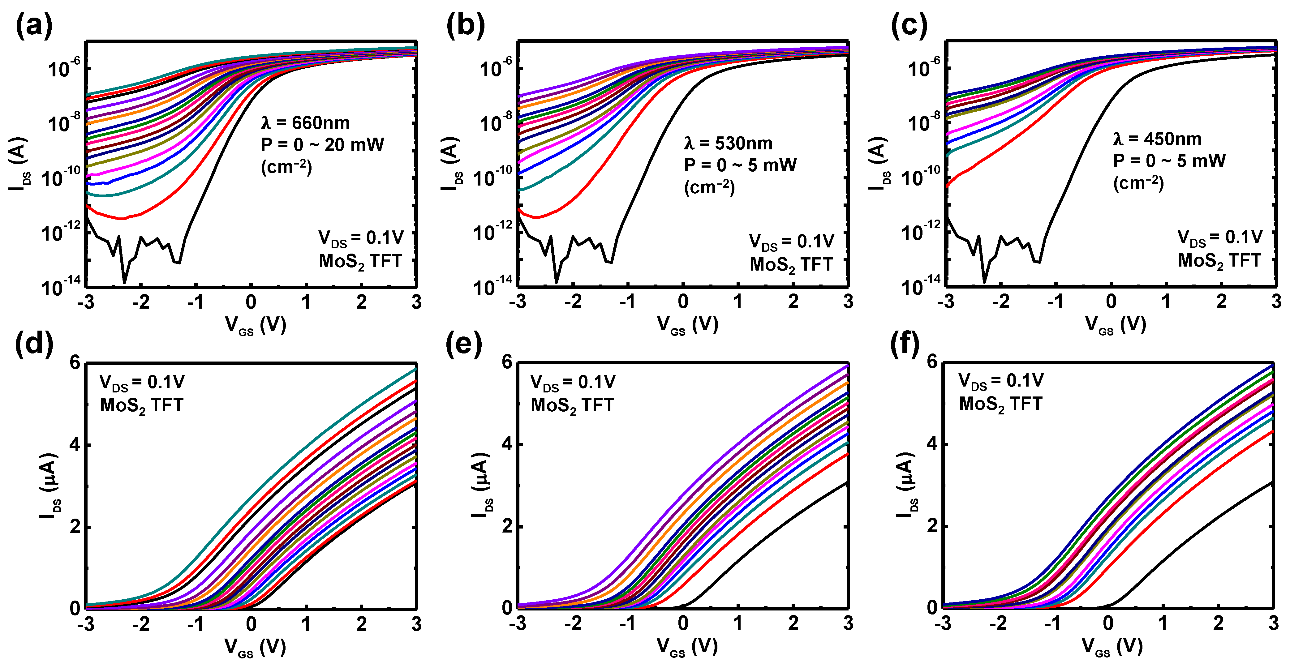
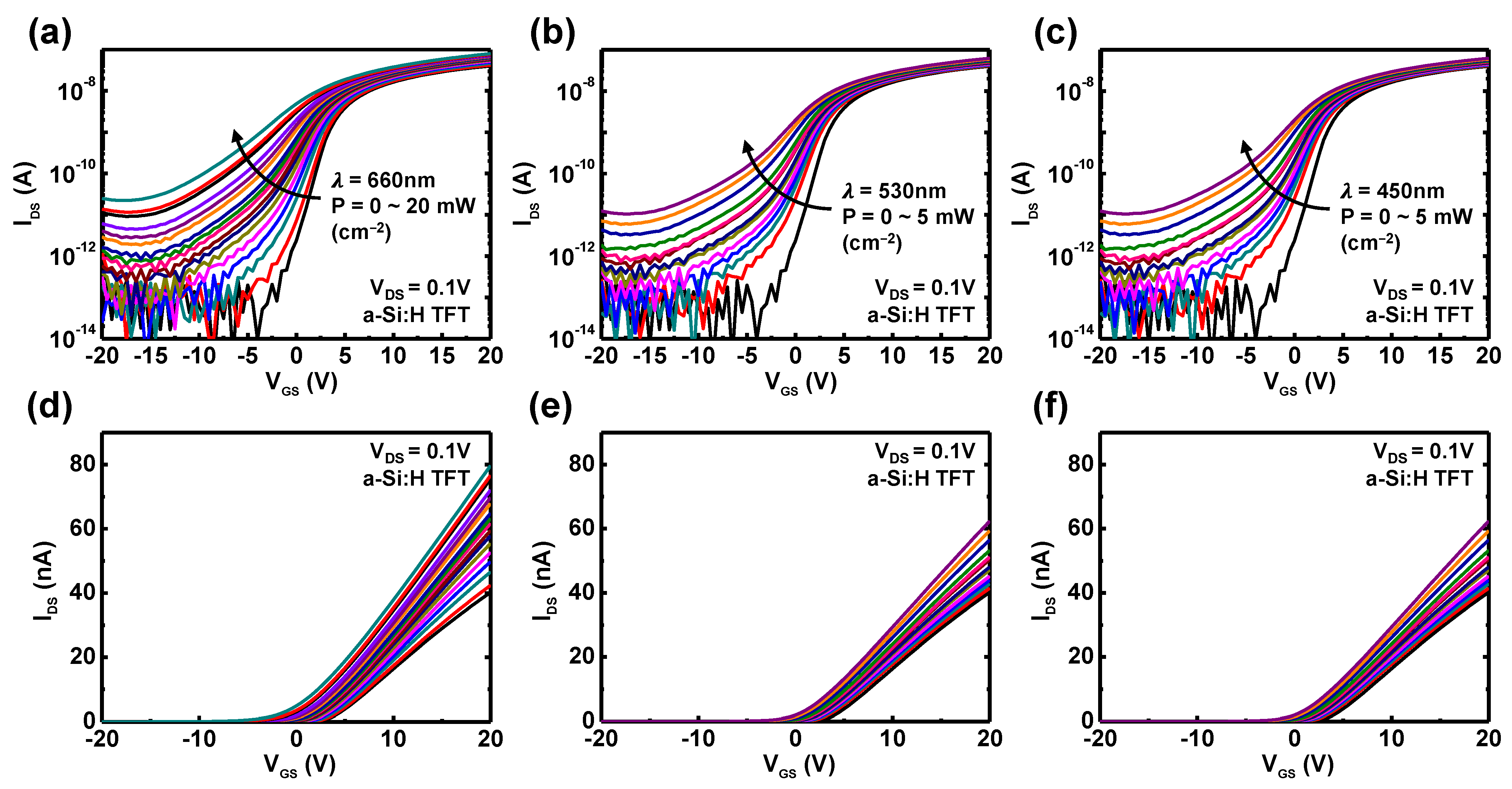
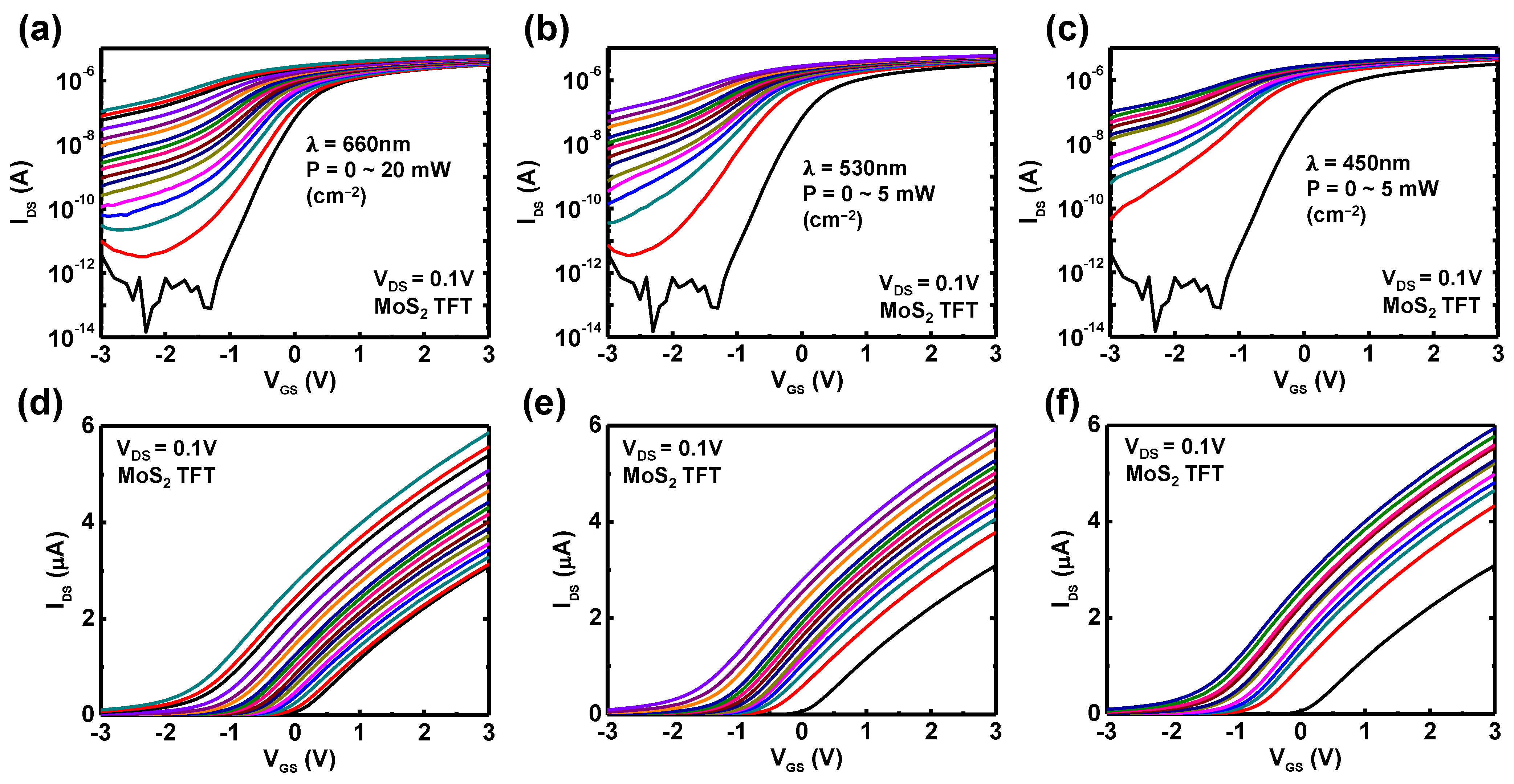
3.1. Comparative Study on the Photoresponse of a-Si:H and m-MoS2 TFTs
3.2. Improvement in the Photoresponse of m-MoS2 TFTs by Molecular Doping Technique
4. Conclusions
Author Contributions
Funding
Data Availability Statement
Conflicts of Interest
References
- Roy, M.; Mukhopadhyay, S.; Mahmoodi-Meimand, H. Leakage current mechanisms and leakage reduction techniques in deep-submicrometer CMOS circuits. Proc. IEEE 2003, 91, 305–327. [Google Scholar] [CrossRef]
- Abbas, Z.; Olivieri, M. Impact of technology scaling on leakage power in nano-scale bulk CMOS digital standard cells. Microelectron. J. 2014, 45, 179–195. [Google Scholar] [CrossRef]
- Wang, Q.H.; Kalantar-Zadeh, K.; Kis, A.; Coleman, J.N.; Strano, M.S. Electronics and optoelectronics of two-dimensional transition metal dichalcogenides. Nat. Nanotechnol. 2012, 7, 699–712. [Google Scholar] [CrossRef] [PubMed]
- Jariwala, D.; Sangwan, V.K.; Lauhon, L.J.; Marks, T.J.; Hersam, M.C. Emerging device applications for semiconducting two-dimensional transition metal dichalcogenides. ACS Nano 2014, 8, 1102–1120. [Google Scholar] [CrossRef] [PubMed]
- Desai, S.B.; Madhvapathy, S.R.; Sachid, A.B.; Llinas, J.P.; Wang, Q.; Ahn, G.H.; Pitner, G.; Kim, M.J.; Bokor, J.; Hu, C.; et al. MoS2 transistors with 1-nanometer gate lengths. Science 2016, 354, 99–102. [Google Scholar] [CrossRef]
- Chhowalla, M.; Shin, H.S.; Eda, G.; Li, L.J.; Loh, K.P.; Zhang, H. The chemistry of two-dimensional layered transition metal dichalcogenide nanosheets. Nat. Chem. 2013, 5, 263–275. [Google Scholar] [CrossRef]
- Venkata Subbaiah, Y.P.; Saji, K.J.; Tiwari, A. Atomically Thin MoS2: A Versatile Nongraphene 2D Material. Adv. Funct. Mater. 2016, 26, 2046–2069. [Google Scholar] [CrossRef]
- Radisavljevic, B.; Radenovic, A.; Brivio, J.; Giacometti, V.; Kis, A. Single-layer MoS2 transistors. Nat. Nanotechnol. 2011, 6, 147–150. [Google Scholar] [CrossRef]
- Jariwala, D.; Sangwan, V.K.; Late, D.J.; Johns, J.E.; Dravid, V.P.; Marks, T.J.; Lauhon, L.J.; Hersam, M.C. Band-like transport in high mobility unencapsulated single-layer MoS2 transistors. Appl. Phys. Lett. 2013, 102, 173107. [Google Scholar] [CrossRef]
- He, G.; Ghosh, K.; Singisetti, U.; Ramamoorthy, H.; Somphonsane, R.; Bohra, G.; Matsunaga, M.; Higuchi, A.; Aoki, N.; Najmaei, S.; et al. Conduction Mechanisms in CVD-Grown Monolayer MoS2 Transistors: From Variable-Range Hopping to Velocity Saturation. Nano Lett. 2015, 15, 5052–5058. [Google Scholar] [CrossRef] [PubMed]
- Wang, H.; Yu, L.; Lee, Y.H.; Shi, Y.; Hsu, A.; Chin, M.L.; Li, L.J.; Dubey, M.; Kong, J.; Palacios, T. Integrated circuits based on bilayer MoS2 transistors. Nano Lett. 2012, 12, 4674–4680. [Google Scholar] [CrossRef]
- Yu, S.; Kim, J.S.; Jeon, P.J.; Ahn, J.; Park, J.C.; Im, S. Transition Metal Dichalcogenide-Based Transistor Circuits for Gray Scale Organic Light-Emitting Displays. Adv. Funct. Mater. 2017, 27, 1603682. [Google Scholar] [CrossRef]
- Kumar, R.; Kulriya, P.K.; Mishra, M.; Singh, F.; Gupta, G.; Kumar, M. Highly selective and reversible NO2 gas sensor using vertically aligned MoS2 flake networks. Nanotechnology 2018, 29, 464001. [Google Scholar] [CrossRef]
- Gao, G.; Yu, J.; Yang, X.; Pang, Y.; Zhao, J.; Pan, C.; Sun, Q.; Wang, Z.L. Triboiontronic Transistor of MoS2. Adv. Mater. 2019, 31, 1806905. [Google Scholar] [CrossRef]
- Yang, X.; Han, J.; Yu, J.; Chen, Y.; Zhang, H.; Ding, M.; Jia, C.; Sun, J.; Sun, Q.; Wang, Z.L. Versatile Triboiontronic Transistor via Proton Conductor. ACS Nano 2020, 14, 8668–8677. [Google Scholar] [CrossRef] [PubMed]
- Yang, X.; Yu, J.; Zhao, J.; Chen, Y.; Gao, G.; Wang, Y.; Sun, Q.; Wang, Z.L. Mechanoplastic Tribotronic Floating-Gate Neuromorphic Transistor. Adv. Funct. Mater. 2020, 30, 2002506. [Google Scholar] [CrossRef]
- Huang, C.Y.; Chang, C.; Lu, G.Z.; Huang, W.C.; Huang, C.S.; Chen, M.L.; Lin, T.N.; Shen, J.L.; Lin, T.Y. Hybrid 2D/3D MoS2/GaN heterostructures for dual functional photoresponse. Appl. Phys. Lett. 2018, 112, 233106. [Google Scholar] [CrossRef]
- Nalwa, H.S. A review of molybdenum disulfide (MoS2) based photodetectors: From ultra-broadband, self-powered to flexible devices. RSC Adv. 2020, 10, 30529–30602. [Google Scholar] [CrossRef]
- Choi, M.; Park, Y.J.; Sharma, B.K.; Bae, S.R.; Kim, S.Y.; Ahn, J.H. Flexible active-matrix organic light-emitting diode display enabled by MoS2 thin-film transistor. Sci. Adv. 2018, 4, eaas8721. [Google Scholar] [CrossRef] [PubMed]
- Choi, M.; Bae, S.R.; Hu, L.; Hoang, A.T.; Kim, S.Y.; Ahn, J.H. Full-color active-matrix organic light-emitting diode display on human skin based on a large-Area MoS2 backplane. Sci. Adv. 2020, 6, eabb5898. [Google Scholar] [CrossRef] [PubMed]
- Choi, W.; Cho, M.Y.; Konar, A.; Lee, J.H.; Cha, G.B.; Hong, S.C.; Kim, S.; Kim, J.; Jena, D.; Joo, J.; et al. High-detectivity multilayer MoS2 phototransistors with spectral response from ultraviolet to infrared. Adv. Mater. 2012, 24, 5832–5836. [Google Scholar] [CrossRef]
- Kim, K.S.; Ji, Y.J.; Kim, K.H.; Choi, S.; Kang, D.H.; Heo, K.; Cho, S.; Yim, S.; Lee, S.; Park, J.H.; et al. Ultrasensitive MoS2 photodetector by serial nano-bridge multi-heterojunction. Nat. Commun. 2019, 10, 4701. [Google Scholar] [CrossRef]
- Zhang, K.; Peng, M.; Yu, A.; Fan, Y.; Zhai, J.; Wang, Z.L. A substrate-enhanced MoS2 photodetector through a dual-photogating effect. Mater. Horiz. 2019, 6, 826–833. [Google Scholar] [CrossRef]
- Chen, S.; Cao, R.; Chen, X.; Wu, Q.; Zeng, Y.; Gao, S.; Guo, Z.; Zhao, J.; Zhang, M.; Zhang, H. Anisotropic Plasmonic Nanostructure Induced Polarization Photoresponse for MoS2-Based Photodetector. Adv. Mater. Interfaces 2020, 7, 1902179. [Google Scholar] [CrossRef]
- Tsai, D.S.; Liu, K.K.; Lien, D.H.; Tsai, M.L.; Kang, C.F.; Lin, C.A.; Li, L.J.; He, J.H. Few-layer MoS2 with high broadband photogain and fast optical switching for use in harsh environments. ACS Nano 2013, 7, 3905–3911. [Google Scholar] [CrossRef]
- Son, Y.; Wang, Q.H.; Paulson, J.A.; Shih, C.J.; Rajan, A.G.; Tvrdy, K.; Kim, S.; Alfeeli, B.; Braatz, R.D.; Strano, M.S. Layer number dependence of MoS2 photoconductivity using photocurrent spectral atomic force microscopic imaging. ACS Nano 2015, 9, 2843–2855. [Google Scholar] [CrossRef]
- Reynolds, M.F.; Guimarães, M.H.D.; Ga, H.; Kang, K.; Cortese, A.J.; Ralph, D.C.; Park, J.; McEuen, P.L. MoS2 pixel arrays for real-time photoluminescence imaging of redox molecules. Sci. Adv. 2019, 5, eaat9476. [Google Scholar] [CrossRef] [PubMed]
- Snell, A.J.; Mackenzie, K.D.; Spear, W.E.; LeComber, P.G.; Hughes, A.J. Application of amorphous silicon field effect transistors in addressable liquid crystal display panels. Appl. Phys. 1981, 24, 357–362. [Google Scholar] [CrossRef]
- Karim, K.S.; Nathan, A.; Member, S.; Rowlands, J.A. Readout Circuit for Digital Imaging. IEEE Trans. Electron. Devices 2003, 50, 200–208. [Google Scholar] [CrossRef]
- Lee, K.C.; Moon, S.H.; Berkeley, B.; Kim, S.S. Optical feedback system with integrated color sensor on LCD. Sens. Actuators A Phys. 2006, 130–131, 214–219. [Google Scholar] [CrossRef]
- Ahn, S.E.; Song, I.; Jeon, S.; Jeon, Y.W.; Kim, Y.; Kim, C.; Ryu, B.; Lee, J.H.; Nathan, A.; Lee, S.; et al. Metal oxide thin film phototransistor for remote touch interactive displays. Adv. Mater. 2012, 24, 2631–2636. [Google Scholar] [CrossRef] [PubMed]
- Jang, J.T.; Park, J.; Ahn, B.D.; Kim, D.M.; Choi, S.J.; Kim, H.S.; Kim, D.H. Study on the Photoresponse of Amorphous In-Ga-Zn-O and Zinc Oxynitride Semiconductor Devices by the Extraction of Sub-Gap-State Distribution and Device Simulation. ACS Appl. Mater. Interfaces 2015, 7, 15570–15577. [Google Scholar] [CrossRef] [PubMed]
- Shan, C.; Yang, H.; Han, D.; Zhang, Q.; Ivaska, A.; Niu, L. Water-soluble graphene covalently functionalized by biocompatible poly-L-lysine. Langmuir 2009, 25, 12030–12033. [Google Scholar] [CrossRef]
- Basu, A.K.; Sah, A.N.; Pradhan, A.; Bhattacharya, S. Poly-L-Lysine functionalised MWCNT-rGO nanosheets based 3-d hybrid structure for femtomolar level cholesterol detection using cantilever based sensing platform. Sci. Rep. 2019, 9, 3686. [Google Scholar] [CrossRef] [PubMed]
- Zhang, Y.; Li, J.; Shen, Y.; Wang, M.; Li, J. Poly-L-lysine functionalization of single-walled carbon nanotubes. J. Phys. Chem. B 2004, 108, 15343–15346. [Google Scholar] [CrossRef]
- Roh, J.; Cho, I.T.; Shin, H.; Baek, G.W.; Hong, B.H.; Lee, J.H.; Jin, S.H.; Lee, C. Fluorinated CYTOP passivation effects on the electrical reliability of multilayer MoS2 field-effect transistors. Nanotechnology 2015, 26, 455201. [Google Scholar] [CrossRef]
- Ryu, J.H.; Baek, G.W.; Yu, S.J.; Seo, S.G.; Jin, S.H. Photosensitive full-swing multi-layer MoS2 inverters with light shielding layers. IEEE Electron. Device Lett. 2017, 38, 67–70. [Google Scholar] [CrossRef]
- Seo, S.G.; Han, S.W.; Cha, H.Y.; Yang, S.; Jin, S.H. Light-shield layers free photosensitive inverters comprising GaN-Drivers and multi-layered MoS2-Loads. IEEE Electron. Device Lett. 2019, 40, 107–110. [Google Scholar] [CrossRef]
- Seo, S.G.; Jin, S.H. Photosensitive Complementary Inverters Based on n-Channel MoS2 and p-Channel MoTe2 Transistors for Light-to-Frequency Conversion Circuits. Phys. Status Solidi Rapid Res. Lett. 2019, 13, 1900317. [Google Scholar] [CrossRef]
- Lee, H.S.; Min, S.W.; Chang, Y.G.; Park, M.K.; Nam, T.; Kim, H.; Kim, J.H.; Ryu, S.; Im, S. MoS2 nanosheet phototransistors with thickness-modulated optical energy gap. Nano Lett. 2012, 12, 3695–3700. [Google Scholar] [CrossRef] [PubMed]
- Dileep, K.; Sahu, R.; Sarkar, S.; Peter, S.C.; Datta, R. Layer specific optical band gap measurement at nanoscale in MoS2 and ReS2 van der Waals compounds by high resolution electron energy loss spectroscopy. J. Appl. Phys. 2016, 119, 114309. [Google Scholar] [CrossRef]
- Jeong, J.; Seo, S.G.; Kim, S.Y.; Jin, S.H. Photosensitive Complementary Inverters Composed of n-Channel ReS2 and p-Channel Single-Walled Carbon Nanotube Field-Effect Transistors. Phys. Status Solidi Rapid Res. Lett. 2020, 14, 2000420. [Google Scholar] [CrossRef]
- Jo, S.H.; Park, H.Y.; Kang, D.H.; Shim, J.; Jeon, J.; Choi, S.; Kim, M.; Park, Y.; Lee, J.; Song, Y.J.; et al. Broad Detection Range Rhenium Diselenide Photodetector Enhanced by (3-Aminopropyl)Triethoxysilane and Triphenylphosphine Treatment. Adv. Mater. 2016, 28, 6711–6718. [Google Scholar] [CrossRef] [PubMed]
- Kim, J.; Heo, K.; Kang, D.H.; Shin, C.; Lee, S.; Yu, H.Y.; Park, J.H. Rhenium Diselenide (ReSe2) Near-Infrared Photodetector: Performance Enhancement by Selective p-Doping Technique. Adv. Sci. 2019, 6, 1901255. [Google Scholar] [CrossRef]
- Lin, J.D.; Han, C.; Wang, F.; Wang, R.; Xiang, D.; Qin, S.; Zhang, X.A.; Wang, L.; Zhang, H.; Wee, A.T.S.; et al. Electron-doping-enhanced trion formation in monolayer molybdenum disulfide functionalized with cesium carbonate. ACS Nano 2014, 8, 5323–5329. [Google Scholar] [CrossRef]
- Mak, K.F.; He, K.; Lee, C.; Lee, G.H.; Hone, J.; Heinz, T.F.; Shan, J. Tightly bound trions in monolayer MoS2. Nat. Mater. 2013, 12, 207–211. [Google Scholar] [CrossRef]
- Kang, D.H.; Kim, M.S.; Shim, J.; Jeon, J.; Park, H.Y.; Jung, W.S.; Yu, H.Y.; Pang, C.H.; Lee, S.; Park, J.H. High-Performance Transition Metal Dichalcogenide Photodetectors Enhanced by Self-Assembled Monolayer Doping. Adv. Funct. Mater. 2015, 25, 4219–4227. [Google Scholar] [CrossRef]
- Li, Y.; Xu, C.; Hu, P.; Zhen, L. Carrier Control of MoS2 Nanoflakes by. ACS Nano 2013, 7, 7795–7804. [Google Scholar] [CrossRef]
- Kang, D.H.; Jeon, M.H.; Jang, S.K.; Choi, W.Y.; Kim, K.N.; Kim, J.; Lee, S.; Yeom, G.Y.; Park, J.H. Self-Assembled Layer (SAL)-Based Doping on Black Phosphorus (BP) Transistor and Photodetector. ACS Photonics 2017, 4, 1822–1830. [Google Scholar] [CrossRef]
- Kang, D.H.; Shim, J.; Jang, S.K.; Jeon, J.; Jeon, M.H.; Yeom, G.Y.; Jung, W.S.; Jang, Y.H.; Lee, S.; Park, J.H. Controllable nondegenerate p-type doping of tungsten diselenide by octadecyltrichlorosilane. ACS Nano 2015, 9, 1099–1107. [Google Scholar] [CrossRef]
- Ji, H.G.; Solís-Fernández, P.; Yoshimura, D.; Maruyama, M.; Endo, T.; Miyata, Y.; Okada, S.; Ago, H. Chemically Tuned p- and n-Type WSe2 Monolayers with High Carrier Mobility for Advanced Electronics. Adv. Mater. 2019, 31, 1903613. [Google Scholar] [CrossRef] [PubMed]
- Tarasov, A.; Zhang, S.; Tsai, M.Y.; Campbell, P.M.; Graham, S.; Barlow, S.; Marder, S.R.; Vogel, E.M. Controlled doping of large-area trilayer MoS2 with molecular reductants and oxidants. Adv. Mater. 2015, 27, 1175–1181. [Google Scholar] [CrossRef] [PubMed]
- Cho, K.; Min, M.; Kim, T.Y.; Jeong, H.; Pak, J.; Kim, J.K.; Jang, J.; Yun, S.J.; Lee, Y.H.; Hong, W.K.; et al. Electrical and Optical Characterization of MoS2 with Sulfur Vacancy Passivation by Treatment with Alkanethiol Molecules. ACS Nano 2015, 9, 8044–8053. [Google Scholar] [CrossRef]
- Roh, J.; Ryu, J.H.; Baek, G.W.; Jung, H.; Seo, S.G.; An, K.; Jeong, B.G.; Lee, D.C.; Hong, B.H.; Bae, W.K.; et al. Threshold Voltage Control of Multilayered MoS2 Field-Effect Transistors via Octadecyltrichlorosilane and their Applications to Active Matrixed Quantum Dot Displays Driven by Enhancement-Mode Logic Gates. Small 2019, 15, 1803852. [Google Scholar] [CrossRef]
- Iqbal, M.W.; Amin, A.; Kamran, M.A.; Ateeq, H.; Elahi, E.; Hussain, G.; Azam, S.; Aftab, S.; Alharbi, T.; Majid, A. Tailoring the electrical properties of MoTe2 field effect transistor via chemical doping. Superlattices Microstruct. 2019, 135, 106247. [Google Scholar] [CrossRef]
- Lee, B.; Chen, Y.; Duerr, F.; Mastrogiovanni, D.; Garfunkel, E.; Andrei, E.Y.; Podzorov, V. Modification of electronic properties of graphene with self-assembled monolayers. Nano Lett. 2010, 10, 2427–2432. [Google Scholar] [CrossRef]
- Heo, K.; Jo, S.H.; Shim, J.; Kang, D.H.; Kim, J.H.; Park, J.H. Stable and Reversible Triphenylphosphine-Based n-Type Doping Technique for Molybdenum Disulfide (MoS2). ACS Appl. Mater. Interfaces 2018, 10, 32765–32772. [Google Scholar] [CrossRef]








Publisher’s Note: MDPI stays neutral with regard to jurisdictional claims in published maps and institutional affiliations. |
© 2021 by the authors. Licensee MDPI, Basel, Switzerland. This article is an open access article distributed under the terms and conditions of the Creative Commons Attribution (CC BY) license (https://creativecommons.org/licenses/by/4.0/).
Share and Cite
Seo, S.G.; Ryu, J.H.; Kim, S.Y.; Jeong, J.; Jin, S.H. Enhancement of Photodetective Properties on Multilayered MoS2 Thin Film Transistors via Self-Assembled Poly-L-Lysine Treatment and Their Potential Application in Optical Sensors. Nanomaterials 2021, 11, 1586. https://doi.org/10.3390/nano11061586
Seo SG, Ryu JH, Kim SY, Jeong J, Jin SH. Enhancement of Photodetective Properties on Multilayered MoS2 Thin Film Transistors via Self-Assembled Poly-L-Lysine Treatment and Their Potential Application in Optical Sensors. Nanomaterials. 2021; 11(6):1586. https://doi.org/10.3390/nano11061586
Chicago/Turabian StyleSeo, Seung Gi, Jae Hyeon Ryu, Seung Yeob Kim, Jinheon Jeong, and Sung Hun Jin. 2021. "Enhancement of Photodetective Properties on Multilayered MoS2 Thin Film Transistors via Self-Assembled Poly-L-Lysine Treatment and Their Potential Application in Optical Sensors" Nanomaterials 11, no. 6: 1586. https://doi.org/10.3390/nano11061586
APA StyleSeo, S. G., Ryu, J. H., Kim, S. Y., Jeong, J., & Jin, S. H. (2021). Enhancement of Photodetective Properties on Multilayered MoS2 Thin Film Transistors via Self-Assembled Poly-L-Lysine Treatment and Their Potential Application in Optical Sensors. Nanomaterials, 11(6), 1586. https://doi.org/10.3390/nano11061586

