Positive Magnetoresistance and Chiral Anomaly in Exfoliated Type-II Weyl Semimetal Td-WTe2
Abstract
:1. Introduction
2. Materials and Methods
3. Results and Discussions
3.1. Atomic Force Microscopy and Raman Spectroscopy
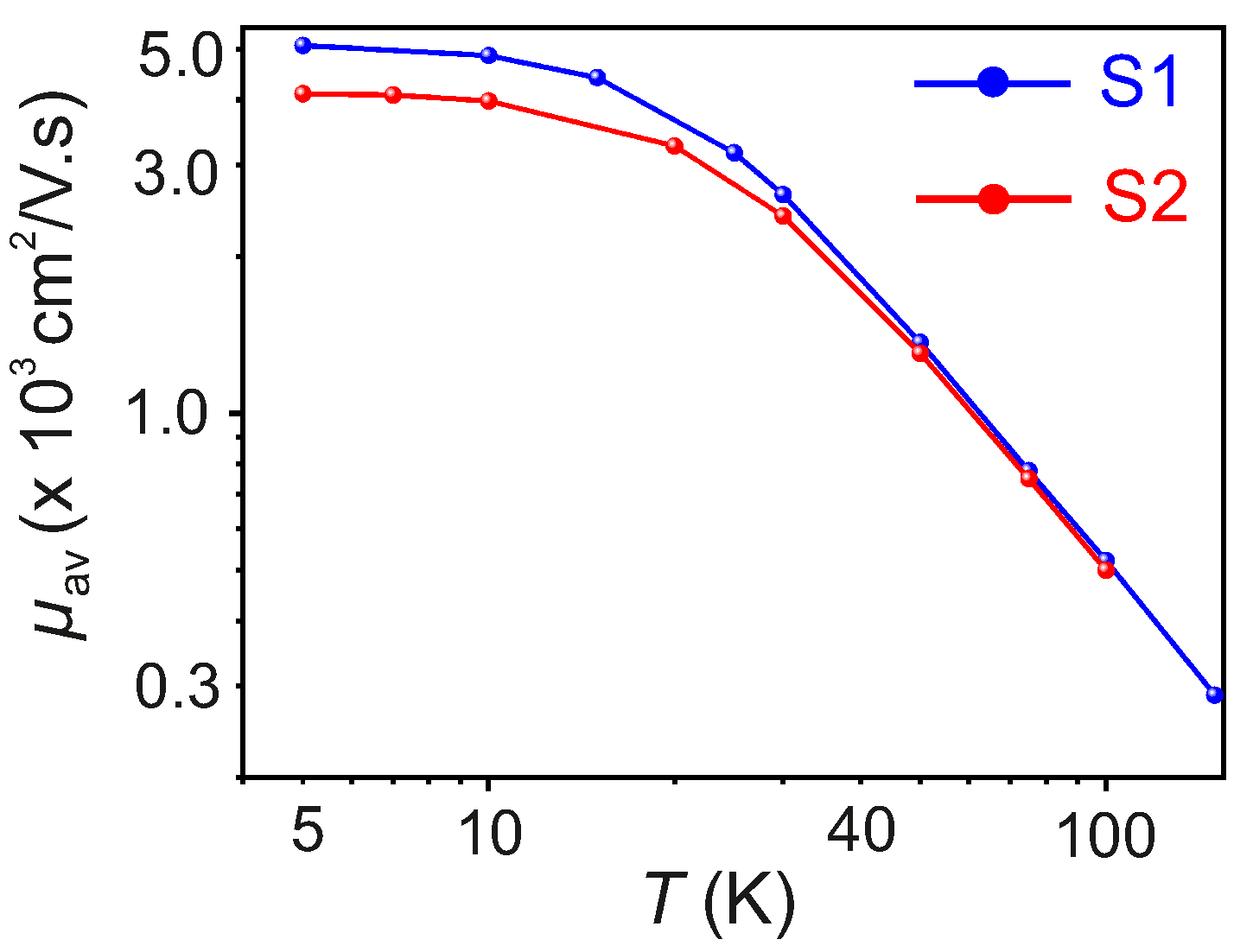
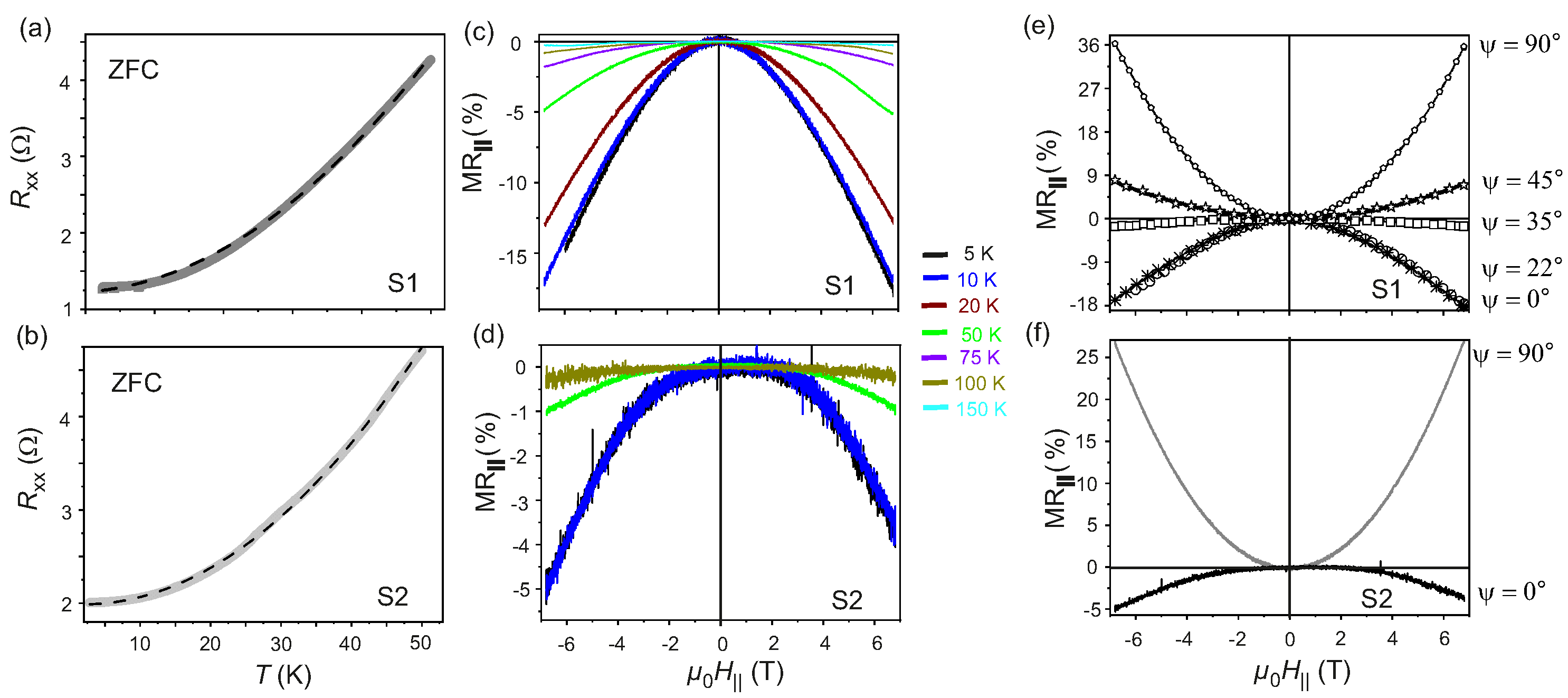
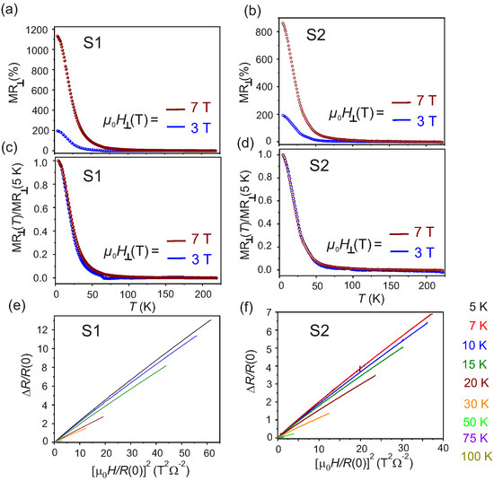
3.2. Out-of-Plane Magnetotransport
3.3. In-Plane Magnetotransport
3.4. Static Optical Reflectivity
4. Conclusions
Supplementary Materials
Author Contributions
Funding
Data Availability Statement
Acknowledgments
Conflicts of Interest
Abbreviations
| MR | Magnetoresistance |
| WSM | Weyl semimetals |
| WQP | Weyl quasiparticles |
| ABJ | Adler–Bell–Jakiw |
| TMDC | Transition metal dichalcogenide |
| AFM | Atomic force microscopy |
| PDMS | Polydimethylsiloxane |
| LIA | Lock-in amplifier |
| ZFC | Zero field cooled |
| FC | Field cooled |
| MIT | Metal-to-insulator transition |
| NLMR | Negative longitudinal magnetoresistance |
| LLL | Lowest Landau level |
| EBL | Electron beam lithography |
| IR | Infra-red |
References
- Herring, C. Accidental Degeneracy in the Energy Bands of Crystals. Phys. Rev. 1937, 52, 365. [Google Scholar] [CrossRef]
- Armitage, N.P.; Mele, E.J.; Vishwanath, A. Weyl and Dirac semimetals in three-dimensional solids. Rev. Mod. Phys. 2018, 90, 015001. [Google Scholar] [CrossRef] [Green Version]
- Hasan, M.Z.; Xu, S.-Y.; Belopolski, I.; Huang, S.-M. Discovery of Weyl Fermion Semimetals and Topological Fermi Arc States. Annu. Rev. Condens. Matter Phys. 2017, 8, 289. [Google Scholar] [CrossRef] [Green Version]
- Weyl, H. Elektron und Gravitation. I. Z. Phys. 1929, 56, 330. [Google Scholar] [CrossRef]
- Xu, S.-Y.; Alidoust, N.; Belopolski, I.; Yuan, Z.; Bian, G.; Chang, T.-R.; Zheng, H.; Strocov, V.N.; Sanchez, D.S.; Chang, G.; et al. Discovery of a Weyl fermion state with Fermi arcs in niobium arsenide. Nat. Phys. 2015, 11, 748. [Google Scholar] [CrossRef] [Green Version]
- Yang, L.X.; Liu, Z.K.; Sun, Y.; Peng, H.; Yang, H.F.; Zhang, T.; Zhou, B.; Zhang, Y.; Guo, Y.F.; Rahn, M.; et al. Weyl semimetal phase in the non-centrosymmetric compound TaAs. Nat. Phys. 2015, 11, 728. [Google Scholar] [CrossRef] [Green Version]
- Lv, B.Q.; Xu, N.; Weng, H.M.; Ma, J.Z.; Richard, P.; Huang, X.C.; Zhao, L.X.; Chen, G.F.; Matt, C.E.; Bisti, F.; et al. Observation of Weyl nodes in TaAs. Nat. Phys. 2015, 11, 724. [Google Scholar] [CrossRef]
- Wan, X.; Turner, A.M.; Vishwanath, A.; Savrasov, S.Y. Topological semimetal and Fermi-arc surface states in the electronic structure of pyrochlore iridates. Phys. Rev. B 2011, 83, 205101. [Google Scholar] [CrossRef] [Green Version]
- Ilan, R.; Grushin, A.G.; Pikulin, D.I. Pseudo-electromagnetic fields in 3D topological semimetals. Nat. Rev. Phys. 2020, 2, 29. [Google Scholar] [CrossRef] [Green Version]
- Dirac, P.A.M. The quantum theory of the electron. Proc. R. Soc. Lond. A 1928, 117, 610. [Google Scholar] [CrossRef] [Green Version]
- Majorana, E. Teoria simmetrica dell’elettrone e del positrone. II Nuovo Cimento 1937, 14, 171. [Google Scholar] [CrossRef]
- Yan, B.; Felser, C. Topological Materials: Weyl Semimetals. Annu. Rev. Condens. Matter. Phys. 2017, 8, 337. [Google Scholar] [CrossRef] [Green Version]
- Nielsen, H.B.; Ninomiya, M. The Adler-Bell-Jackiw anomaly and Weyl fermions in a crystal. Phys. Lett. B 1983, 130, 389. [Google Scholar] [CrossRef]
- Zhang, C.-L.; Xu, S.-Y.; Belopolski, I.; Yuan, Z.; Lin, Z.; Tong, B.; Bian, G.; Alidoust, N.; Lee, C.-C.; Huang, S.-M. Signatures of the Adler–Bell–Jackiw chiral anomaly in a Weyl fermion semimetal. Nat. Commun. 2016, 7, 10735. [Google Scholar] [CrossRef] [PubMed] [Green Version]
- Lv, Y.-Y.; Li, X.; Zhang, B.-B.; Deng, W.Y.; Yao, S.-H.; Chen, Y.B.; Zhou, J.; Zhang, S.-T.; Lu, M.-H.; Zhang, L.; et al. Experimental Observation of Anisotropic Adler-Bell-Jackiw Anomaly in Type-II Weyl Semimetal WTe1.98 Crystals at the Quasiclassical Regime. Phys. Rev. Lett. 2017, 118, 096603. [Google Scholar] [CrossRef] [PubMed] [Green Version]
- Adler, S.L. Axial-Vector Vertex in Spinor Electrodynamics. Phys. Rev. 1969, 177, 2426. [Google Scholar] [CrossRef]
- Bell, J.S.; Jackiw, R. A PCAC puzzle: π0→γγ in the σ-model. II Nuovo Cimento A 1969, 60, 47. [Google Scholar] [CrossRef] [Green Version]
- Kang, K.; Li, T.; Sohn, E.; Shan, J.; Mak, K.F. Nonlinear anomalous Hall effect in few-layer WTe2. Nat. Mater. 2019, 18, 324. [Google Scholar] [CrossRef]
- Yesilyurt, C.; Tan, S.G.; Liang, G.; Jalil, M.B.A. Klein tunneling in Weyl semimetals under the influence of magnetic field. Sci. Rep. 2016, 6, 38862. [Google Scholar] [CrossRef] [PubMed]
- Arjona, V.; Castro, E.V.; Vozmediano, M.A.H. Collapse of Landau levels in Weyl semimetals. Phys. Rev. B 2017, 96, 081110. [Google Scholar] [CrossRef] [Green Version]
- Soluyanov, A.A.; Gresch, D.; Wang, Z.; Wu, Q.; Troyer, M.; Dai, X.; Bernevig, B.A. Type-II Weyl semimetals. Nature 2015, 527, 495. [Google Scholar] [CrossRef] [Green Version]
- Tian, W.; Yu, W.; Liu, X.; Wang, Y.; Shi, J. A Review of the Characteristics, Synthesis, and Thermodynamics of Type-II Weyl Semimetal WTe2. Materials 2018, 11, 1185. [Google Scholar] [CrossRef] [PubMed] [Green Version]
- Bruno, F.Y.; Tamai, A.; Wu, Q.S.; Cucchi, I.; Barreteau, C.; de la Torre, A.; McKeown Walker, S.; Riccò, S.; Wang, Z.; Kim, T.K. Observation of large topologically trivial Fermi arcs in the candidate type-II Weyl semimetal WTe2. Phys. Rev. B 2016, 94, 121112. [Google Scholar] [CrossRef] [Green Version]
- Wu, Y.; Mou, D.; Jo, N.H.; Sun, K.; Huang, L.; Bud’ko, S.L.; Canfield, P.C.; Kaminski, A. Observation of Fermi arcs in the type-II Weyl semimetal candidate WTe2. Phys. Rev. B 2016, 94, 121113. [Google Scholar] [CrossRef] [Green Version]
- Das, P.K.; Di Sante, D.; Cilento, F.; Bigi, C.; Kopic, D.; Soranzio, D.; Sterzi, A.; Krieger, J.A.; Vobornik, I.; Fujii, J.; et al. Electronic properties of candidate type-II Weyl semimetal WTe2. A review perspective. Electron. Struct. 2019, 1, 014003. [Google Scholar] [CrossRef] [Green Version]
- Ong, N.P.; Liang, S. Experimental signatures of the chiral anomaly in Dirac–Weyl semimetals. Nat. Rev. Phys. 2021, 3, 394. [Google Scholar] [CrossRef]
- Hosur, P.; Qi, X. Recent developments in transport phenomena in Weyl semimetals. Comptes Rendus Phys. 2013, 14, 857. [Google Scholar] [CrossRef] [Green Version]
- Wang, Y.; Wang, L.; Liu, X.; Wu, H.; Wang, P.; Yan, D.; Cheng, B.; Shi, Y.; Watanabe, K.; Taniguchi, T.; et al. Direct Evidence for Charge Compensation-Induced Large Magnetoresistance in Thin WTe2. Nano Lett. 2019, 19, 3969. [Google Scholar] [CrossRef] [Green Version]
- Wang, Y.; Wang, K.; Reutt-Robey, J.; Paglione, J.; Fuhrer, M.S. Breakdown of compensation and persistence of nonsaturating magnetoresistance in gated WTe2 thin flakes. Phys. Rev. B 2016, 93, 121108. [Google Scholar] [CrossRef] [Green Version]
- Wang, Y.; Lee, P.A.; Silevitch, D.M.; Gomez, F.; Cooper, S.E.; Ren, Y.; Yan, J.-Q.; Mandrus, D.; Rosenbaum, T.F.; Feng, Y. Antisymmetric linear magnetoresistance and the planar Hall effect. Nat. Commun. 2020, 11, 216. [Google Scholar] [CrossRef]
- Pan, X.-C.; Pan, Y.; Jiang, J.; Zuo, H.; Liu, H.; Chen, X.; Wei, Z.; Zhang, S.; Wang, Z.; Wan, X.; et al. Carrier balance and linear magnetoresistance in type-II Weyl semimetal WTe2. Front. Phys. 2017, 12, 127203. [Google Scholar] [CrossRef] [Green Version]
- Pan, X.-C.; Wang, X.; Song, F.; Wang, B. The study on quantum material WTe2. Adv. Phys. X 2018, 3, 1468279. [Google Scholar] [CrossRef]
- Liu, X.; Zhang, Z.; Cai, C.; Tian, S.; Kushwaha, S.; Lu, H.; Taniguchi, T.; Watanabe, K.; Cava, R.J.; Jia, S.; et al. Gate tunable magneto-resistance of ultra-thin WTe2 devices. 2D Mater. 2017, 4, 021018. [Google Scholar] [CrossRef] [Green Version]
- Li, P.; Wen, Y.; He, X.; Zhang, Q.; Xia, C.; Yu, Z.-M.; Yang, S.A.; Zhu, Z.; Alshareef, H.N.; Zhang, X.-X. Evidence for topological type-II Weyl semimetal WTe2. Nat. Commun. 2017, 8, 2150. [Google Scholar] [CrossRef]
- Luo, X.; Fang, C.; Wan, C.; Cai, J.; Liu, Y.; Han, X.; Lu, Z.; Shi, W.; Xiong, R.; Zeng, Z. Magnetoresistance and Hall resistivity of semimetal WTe2 ultrathin flakes. Nanotechnology 2017, 28, 145704. [Google Scholar] [CrossRef] [PubMed]
- Deng, M.-X.; Qi, G.Y.; Ma, R.; Shen, R.; Wang, R.-Q.; Sheng, L.; Xing, D.Y. Quantum Oscillations of the Positive Longitudinal Magnetoconductivity: A Fingerprint for Identifying Weyl Semimetals. Phys. Rev. Lett. 2019, 122, 036601. [Google Scholar] [CrossRef] [PubMed] [Green Version]
- Liang, D.D.; Wang, Y.J.; Zhen, W.L.; Yang, J.; Weng, S.R.; Yan, X.; Han, Y.Y.; Tong, W.; Zhu, W.K.; Pi, L.; et al. Origin of planar Hall effect in type-II Weyl semimetal MoTe2. AIP Adv. 2019, 9, 055015. [Google Scholar] [CrossRef] [Green Version]
- Deng, K.; Wan, G.; Deng, P.; Zhang, K.; Ding, S.; Wang, E.; Yan, M.; Huang, H.; Zhang, H.; Xu, Z. Experimental observation of topological Fermi arcs in type-II Weyl semimetal MoTe2. Nat. Phys. 2016, 12, 1105. [Google Scholar] [CrossRef]
- Xu, S.-Y.; Alidoust, N.; Chang, G.; Lu, H.; Singh, B.; Belopolski, I.; Sanchez, D.S.; Zhang, X.; Bian, G.; Zheng, H. Discovery of a Weyl fermion state with Fermi arcs in niobium arsenide. Sci. Adv. 2017, 3, e1603266. [Google Scholar] [CrossRef] [Green Version]
- Ali, M.N.; Xiong, J.; Flynn, S.; Tao, J.; Gibson, Q.D.; Schoop, L.M.; Liang, T.; Haldolaarachchige, N.; Hirschberger, M.; Ong, N.P. Large, non-saturating magnetoresistance in WTe2. Nature 2014, 514, 205. [Google Scholar] [CrossRef] [Green Version]
- Ali, M.N.; Schoop, L.; Xiong, J.; Flynn, S.; Gibson, Q.; Hirschberger, M.; Ong, N.P.; Cava, R.J. Correlation of crystal quality and extreme magnetoresistance of WTe2. EPL 2015, 110, 67002. [Google Scholar] [CrossRef] [Green Version]
- Thoutam, L.R.; Wang, Y.L.; Xiao, Z.L.; Das, S.; Luican-Mayer, A.; Divan, R.; Crabtree, G.W.; Kwok, W.K. Temperature-Dependent Three-Dimensional Anisotropy of the Magnetoresistance in WTe2. Phys. Rev. Lett. 2015, 115, 046602. [Google Scholar] [CrossRef] [PubMed] [Green Version]
- Kononov, A.; Abulizi, G.; Qu, K.; Yan, J.; Mandrus, D.; Watanabe, K.; Taniguchi, T.; Schönenberger, C. One-Dimensional Edge Transport in Few-Layer WTe2. Nano Lett. 2020, 20, 4228. [Google Scholar] [CrossRef] [PubMed]
- Kononov, A.; Endres, M.; Abulizi, G.; Qu, K.; Yan, J.; Mandrus, D.G.; Watanabe, K.; Taniguchi, T.; Schönenberger, C. Flat band superconductivity in type-II Weyl-semimetal WTe2 induced by a normal metal contact. arXiv 2020, arXiv:2007.04752. [Google Scholar]
- Huang, C.; Narayan, A.; Zhang, E.; Xie, X.; Ai, L.; Liu, S.; Yi, C.; Shi, Y.; Sanvito, S.; Xiu, F. Edge superconductivity in multilayer WTe2 Josephson junction. Natl. Sci. Rev. 2020, 7, 1468. [Google Scholar] [CrossRef]
- Shi, Y.; Kahn, J.; Niu, B.; Fei, Z.; Sun, B.; Cai, X.; Francisco, B.A.; Wu, D.; Shen, Z.-X.; Xu, X.; et al. Imaging quantum spin Hall edges in monolayer WTe2. Sci. Adv. 2019, 5, eaat8799. [Google Scholar] [CrossRef] [Green Version]
- Grundlinger, A. Optical and Electrical Investigation of Layered WSe2 and MoS2. Master’s Thesis, Johannes Kepler University, Linz, Austria, 2018. Available online: https://epub.jku.at/obvulihs/content/titleinfo/2474933 (accessed on 23 March 2021).
- Woods, J.M.; Shen, J.; Kumaravadivel, P.; Pang, Y.; Xie, Y.; Pan, G.A.; Li, M.; Altman, E.I.; Lu, L.; Cha, J.J. Suppression of Magnetoresistance in Thin WTe2 Flakes by Surface Oxidation. ACS Appl. Mater. Interfaces 2017, 9, 23175. [Google Scholar] [CrossRef] [Green Version]
- Wang, L.; Gutiérrez-Lezama, I.; Barreteau, C.; Ubrig, N.; Giannini, E.; Morpurgo, A.F. Tuning magnetotransport in a compensated semimetal at the atomic scale. Nat. Commun. 2015, 6, 8892. [Google Scholar] [CrossRef] [Green Version]
- Augustin, J.; Eyert, V.; Böker, T.; Frentrup, W.; Dwelk, H.; Janowitz, C.; Manzke, R. Electronic band structure of the layered compound Td–WTe2. Phys. Rev. B 2000, 62, 10812. [Google Scholar] [CrossRef] [Green Version]
- Jiang, Y.C.; Gao, J.; Wang, L. Raman fingerprint for semi-metal WTe2 evolving from bulk to monolayer. Sci. Rep. 2016, 6, 19624. [Google Scholar] [CrossRef] [Green Version]
- Zhang, E.; Chen, R.; Huang, C.; Yu, J.; Zhang, K.; Wang, W.; Liu, S.; Ling, J.; Wan, X.; Lu, H.-Z.; et al. Tunable Positive to Negative Magnetoresistance in Atomically Thin WTe2. Nano Lett. 2017, 17, 878. [Google Scholar] [CrossRef] [PubMed]
- Zhao, Y.; Liu, H.; Yan, J.; An, W.; Liu, J.; Zhang, X.; Wang, H.; Liu, Y.; Jiang, H.; Li, Q.; et al. Anisotropic magnetotransport and exotic longitudinal linear magnetoresistance in WTe2 crystals. Phys. Rev. B 2015, 92, 041104. [Google Scholar] [CrossRef] [Green Version]
- Abrikosov, A.A. Fundamentals of the Theory of Metals; Dover Publications: Amsterdam, The Netherlands, 2017. [Google Scholar]
- Leahy, I.A.; Lin, Y.-P.; Siegfried, P.E.; Treglia, A.C.; Song, J.C.W.; Nandkishore, R.M.; Lee, M. Nonsaturating large magnetoresistance in semimetals. Proc. Natl. Acad. Sci. USA 2018, 115, 10570. [Google Scholar] [CrossRef] [PubMed] [Green Version]
- Wang, K.; Graf, D.; Li, L.; Wang, L.; Petrovic, C. Anisotropic giant magnetoresistance in NbSb2. Sci. Rep. 2014, 4, 7328. [Google Scholar] [CrossRef] [Green Version]
- Takatsu, H.; Ishikawa, J.J.; Yonezawa, S.; Yoshino, H.; Shishidou, T.; Oguchi, T.; Murata, K.; Maeno, Y. Extremely Large Magnetoresistance in the Nonmagnetic Metal PdCoO2. Phys. Rev. Lett. 2013, 111, 056601. [Google Scholar] [CrossRef] [PubMed] [Green Version]
- Khveshchenko, D.V. Magnetic-Field-Induced Insulating Behavior in Highly Oriented Pyrolitic Graphite. Phys. Rev. Lett. 2001, 87, 206401. [Google Scholar] [CrossRef] [Green Version]
- Pletikosić, I.; Ali, M.N.; Fedorov, A.V.; Cava, R.J.; Valla, T. Electronic Structure Basis for the Extraordinary Magnetoresistance in WTe2. Phys. Rev. Lett. 2014, 113, 216601. [Google Scholar] [CrossRef] [Green Version]
- Adhikari, R.; Volobuev, V.V.; Faina, B.; Springholz, G.; Bonanni, A. Ferromagnetic phase transition in topological crystalline insulator thin films: Interplay of anomalous Hall angle and magnetic anisotropy. Phys. Rev. B 2019, 100, 134422. [Google Scholar] [CrossRef] [Green Version]
- Wang, Y.L.; Thoutam, L.R.; Xiao, Z.L.; Hu, J.; Das, S.; Mao, Z.Q.; Wei, J.; Divan, R.; Luican-Mayer, A.; Crabtree, G.W.; et al. Origin of the turn-on temperature behavior in WTe2. Phys. Rev. B 2015, 92, 180402. [Google Scholar] [CrossRef] [Green Version]
- Luo, Y.; Li, H.; Dai, Y.M.; Miao, H.; Shi, Y.G.; Ding, H.; Taylor, A.J.; Yarotski, D.A.; Prasankumar, R.P.; Thompson, J.D. Hall effect in the extremely large magnetoresistance semimetal WTe2. Appl. Phys. Lett. 2015, 107, 182411. [Google Scholar] [CrossRef] [Green Version]
- Wang, Y.; Liu, E.; Liu, H.; Pan, Y.; Zhang, L.; Zeng, J.; Fu, Y.; Wang, M.; Xu, K.; Huang, Z.; et al. Gate-tunable negative longitudinal magnetoresistance in the predicted type-II Weyl semimetal WTe2. Nat. Commun. 2016, 7, 13142. [Google Scholar] [CrossRef]
- Yang, J.; Zhen, W.L.; Liang, D.D.; Wang, Y.J.; Yan, X.; Weng, S.R.; Wang, J.R.; Tong, W.; Pi, L.; Zhu, W.K.; et al. Current jetting distorted planar Hall effect in a Weyl semimetal with ultrahigh mobility. Phys. Rev. Mater. 2019, 3, 014201. [Google Scholar] [CrossRef] [Green Version]
- Reis, R.D.d.; Ajeesh, M.O.; Kumar, N.; Arnold, F.; Shekhar, C.; Naumann, M.; Schmidt, M.; Nicklas, M.; Hassinger, E. On the search for the chiral anomaly in Weyl semimetals: The negative longitudinal magnetoresistance. New J. Phys. 2016, 18. [Google Scholar] [CrossRef]
- Schumann, T.; Goyal, M.; Kealhofer, D.A.; Stemmer, S. Negative magnetoresistance due to conductivity fluctuations in films of the topological semimetal Cd3As2. Phys. Rev. B 2017, 95, 241113. [Google Scholar] [CrossRef] [Green Version]
- Liang, S.; Lin, J.; Kushwaha, S.; Xing, J.; Ni, N.; Cava, R.J.; Ong, N.P. Experimental Tests of the Chiral Anomaly Magnetoresistance in the Dirac-Weyl Semimetals Na3Bi and GdPtBi. Phys. Rev. X 2018, 8, 031002. [Google Scholar] [CrossRef] [Green Version]
- Li, Y.; Wang, Z.; Li, P.; Yang, X.; Shen, Z.; Sheng, F.; Li, X.; Lu, Y.; Zheng, Y.; Xu, Z.-A. Negative magnetoresistance in Weyl semimetals NbAs and NbP: Intrinsic chiral anomaly and extrinsic effects. Front. Phys. 2017, 12, 127205. [Google Scholar] [CrossRef] [Green Version]
- Pippard, A.; Goldman, A.; McClintock, P.; Springford, M. Magnetoresistance in Metals; Cambridge Studies in Low Temperature Physics; Cambridge University Press: Cambridge, UK, 1989. [Google Scholar]
- Hu, J.; Rosenbaum, T.F.; Betts, J.B. Current Jets, Disorder, and Linear Magnetoresistance in the Silver Chalcogenides. Phys. Rev. Lett. 2005, 95, 186603. [Google Scholar] [CrossRef] [PubMed] [Green Version]
- Hu, J.; Parish, M.M.; Rosenbaum, T.F. Nonsaturating magnetoresistance of inhomogeneous conductors: Comparison of experiment and simulation. Phys. Rev. B 2007, 75, 214203. [Google Scholar] [CrossRef] [Green Version]
- Homes, C.C.; Ali, M.N.; Cava, R.J. Optical properties of the perfectly compensated semimetal WTe2. Phys. Rev. B 2015, 92, 161109. [Google Scholar] [CrossRef] [Green Version]
- Kimura, S.-i.; Nakajima, Y.; Mita, Z.; Jha, R.; Higashinaka, R.; Matsuda, T.D.; Aoki, Y. Optical evidence of the type-II Weyl semimetals MoTe2 and WTe2. Phys. Rev. B 2019, 99, 195203. [Google Scholar] [CrossRef] [Green Version]
- Santos-Cottin, D.; Martino, E.; Le Mardelé, F.; Witteveen, C.; von Rohr, F.O.; Homes, C.C.; Rukelj, Z.; Akrap, A. Low-energy excitations in type-II Weyl semimetal Td–MoTe2 evidenced through optical conductivity. Phys. Rev. Mater. 2020, 4, 021201. [Google Scholar] [CrossRef] [Green Version]
- Rahman Rano, B.; Syed, I.M.; Naqib, S.H. Elastic, electronic, bonding, and optical properties of WTe2 Weyl semimetal: A comparative investigation with MoTe2 from first principles. Results Phys. 2020, 19, 103639. Available online: https://www.sciencedirect.com/science/article/pii/S2211379720320696 (accessed on 23 March 2021).
- Mertens, F.; Terschanski, M.; Mönkebüscher, D.; Ponzoni, S.; Bossini, D.; Cinchetti, M. Wide spectral range ultrafast pump–probe magneto-optical spectrometer at low temperature, high-magnetic and electric fields. Rev. Sci. Instrum. 2020, 91, 113001. [Google Scholar] [CrossRef] [PubMed]
- Kharzeev, D.E.; Yee, H.-U. Anomaly induced chiral magnetic current in a Weyl semimetal: Chiral electronics. Phys. Rev. B 2013, 88, 115119. [Google Scholar] [CrossRef] [Green Version]










| (%); ; | (%); ; | (%); ; | ; | Critical T (K) | |
|---|---|---|---|---|---|
| S1 | 1200 | 36 | −18 | 5000 | 120 |
| S2 | 800 | 27 | −5 | 4100 | 80 |
Publisher’s Note: MDPI stays neutral with regard to jurisdictional claims in published maps and institutional affiliations. |
© 2021 by the authors. Licensee MDPI, Basel, Switzerland. This article is an open access article distributed under the terms and conditions of the Creative Commons Attribution (CC BY) license (https://creativecommons.org/licenses/by/4.0/).
Share and Cite
Adhikari, R.; Adhikari, S.; Faina, B.; Terschanski, M.; Bork, S.; Leimhofer, C.; Cinchetti, M.; Bonanni, A. Positive Magnetoresistance and Chiral Anomaly in Exfoliated Type-II Weyl Semimetal Td-WTe2. Nanomaterials 2021, 11, 2755. https://doi.org/10.3390/nano11102755
Adhikari R, Adhikari S, Faina B, Terschanski M, Bork S, Leimhofer C, Cinchetti M, Bonanni A. Positive Magnetoresistance and Chiral Anomaly in Exfoliated Type-II Weyl Semimetal Td-WTe2. Nanomaterials. 2021; 11(10):2755. https://doi.org/10.3390/nano11102755
Chicago/Turabian StyleAdhikari, Rajdeep, Soma Adhikari, Bogdan Faina, Marc Terschanski, Sophie Bork, Claudia Leimhofer, Mirko Cinchetti, and Alberta Bonanni. 2021. "Positive Magnetoresistance and Chiral Anomaly in Exfoliated Type-II Weyl Semimetal Td-WTe2" Nanomaterials 11, no. 10: 2755. https://doi.org/10.3390/nano11102755
APA StyleAdhikari, R., Adhikari, S., Faina, B., Terschanski, M., Bork, S., Leimhofer, C., Cinchetti, M., & Bonanni, A. (2021). Positive Magnetoresistance and Chiral Anomaly in Exfoliated Type-II Weyl Semimetal Td-WTe2. Nanomaterials, 11(10), 2755. https://doi.org/10.3390/nano11102755

