Nanostructured TiO2 and PEDOT Electrodes with Photovoltaic Application
Abstract
1. Introduction
2. Materials and Methods
2.1. Electrode Modification
2.2. Characterization
3. Results and Discussion
4. Conclusions
5. Patents
Supplementary Materials
Author Contributions
Funding
Conflicts of Interest
References
- Eftekhari, A.; Li, L.; Yang, Y. Polyaniline supercapacitors. J. Power Sources 2017, 347, 86–107. [Google Scholar] [CrossRef]
- Bagheri, H.; Ayazi, Z.; Naderi, M. Conductive polymer-based microextraction methods: A review. Anal. Chim. Acta 2013, 767, 1–13. [Google Scholar] [CrossRef] [PubMed]
- Abaci, U.; Guney, H.Y.; Kadiroglu, U. Morphological and electrochemical properties of PPy, PAni bilayer films and enhanced stability of their electrochromic devices (PPy/PAni–PEDOT, PAni/PPy–PEDOT). Electrochim. Acta 2013, 96, 214–224. [Google Scholar] [CrossRef]
- Wang, S.; Kang, Y.; Wang, L.; Zhang, H.; Wang, Y.; Wang, Y. Organic/inorganic hybrid sensors: A review. Sens. Actuators B Chem. 2013, 182, 467–481. [Google Scholar] [CrossRef]
- Baker, C.O.; Huang, X.; Nelson, W.; Kaner, R.B. Polyaniline nanofibers: Broadening applications for conducting polymers. Chem. Soc. Rev. 2017, 46, 1510–1525. [Google Scholar] [CrossRef]
- Huang, Y.; Li, H.; Wang, Z.; Zhu, M.; Pei, Z.; Xue, Q.; Huang, Y.; Zhi, C. Nanostructured Polypyrrole as a flexible electrode material of supercapacitor. Nano Energy 2016, 22, 422–438. [Google Scholar] [CrossRef]
- Salgado, R.; del Rio, R.; del Valle, M.A.; Armijo, F. Selective electrochemical determination of dopamine, using a poly(3,4-ethylenedioxythiophene)/polydopamine hybrid film modified electrode. J. Electroanal. Chem. 2013, 704, 130–136. [Google Scholar] [CrossRef]
- Zhao, H.; Yu, S.H.; Yoo, P.J.; Park, J.H.; Lee, J.Y. Glucose Sensing by Glucose Oxidase/PEDOT Thin Film Electrode. Mol. Cryst. Liq. Cryst. 2013, 580, 22–28. [Google Scholar] [CrossRef]
- Hernández, L.A.; del Valle, M.A.; Armijo, F. Electrosynthesis and characterization of nanostructured polyquinone for use in detection and quantification of naturally occurring dsDNA. Biosens. Bioelectron. 2016, 79, 280–287. [Google Scholar] [CrossRef]
- Friend, R.H.; Gymer, R.W.; Holmes, A.B.; Burroughes, J.H.; Marks, R.N.; Taliani, C.; Bradley, D.D.C.; Santos, D.A.D.; Brédas, J.L.; Lögdlund, M.; et al. Electroluminescence in conjugated polymers. Nature 1999, 397, 121–128. [Google Scholar] [CrossRef]
- Nelson, J. Polymer: Fullerene bulk heterojunction solar cells. Mater. Today 2011, 14, 462–470. [Google Scholar] [CrossRef]
- Mayer, A.C.; Scully, S.R.; Hardin, B.E.; Rowell, M.W.; McGehee, M.D. Polymer-based solar cells. Mater. Today 2007, 10, 28–33. [Google Scholar] [CrossRef]
- Liu, P.; Yang, H.X.; Ai, X.P.; Li, G.R.; Gao, X.P. A solar rechargeable battery based on polymeric charge storage electrodes. Electrochem. Commun. 2012, 16, 69–72. [Google Scholar] [CrossRef]
- Bhattacharya, R.; de Kok, M.M.; Zhou, J. Rechargeable electronic textile battery. Appl. Phys. Lett. 2009, 95, 223305. [Google Scholar] [CrossRef]
- Del Valle, M.A.; Gacitua, M.; Diaz, F.R.; Armijo, F.; Soto, J.P. Electro-synthesis and characterization of polythiophene nano-wires/platinum nano-particles composite electrodes. Study of formic acid electro-catalytic oxidation. Electrochim. Acta 2012, 71, 277–282. [Google Scholar] [CrossRef]
- Del Valle, M.A.; Salgado, R.; Armijo, F. PEDOT Nanowires and Platinum Nanoparticles Modified Electrodes to be Assayed in Formic Acid Electro-oxidation. Int. J. Electrochem. Sci. 2014, 9, 1557–1564. [Google Scholar]
- Ramírez, M.R.A.; del Valle, M.A.; Armijo, F.; Díaz, F.R.; Pardo, M.A.; Ortega, E. Enhancement of electrodes modified by electrodeposited PEDOT-nanowires with dispersed Pt nanoparticles for formic acid electro-oxidation. J. Appl. Polym. Sci. 2017, 134. [Google Scholar] [CrossRef]
- Del Valle, M.A.; Gacitua, M.A.; Hernandez, L.A.; Díaz, F.R. Electrosynthesis of Polymer Nanowires Directly onto Solid Surfaces (Electrodes); I.N.d.P.I.I. (Chile); Pontificia Universidad Católica de Chile: Santiago, Chile, 2018. [Google Scholar]
- Del Valle, M.A.; Gacitúa, M.; Díaz, F.R.; Armijo, F.; del Río, R. Electrosynthesis of polythiophene nanowires via mesoporous silica thin film templates. Electrochem. Commun. 2009, 11, 2117–2120. [Google Scholar] [CrossRef]
- Del Valle, M.A.; Hernández, L.A.; Díaz, F.R.; Ramos, A.C. Electrosynthesis and Characterization of Poly(3,4- ethylenedioxythiophene) Nanowires. Int. J. Electrochem. Sci. 2015, 10, 5152–5163. [Google Scholar]
- Del Valle, M.A.; Ramírez, A.M.; Hernández, L.A.; Armijo, F.; Díaz, F.R.; Arteaga, G.C. Influence of the Supporting Electrolyte on the Electrochemical Polymerization of 3,4-Ethylenedioxythiophene. Effect on p- and n-Doping/Undoping, Conductivity and Morphology. Int. J. Electrochem. Sci. 2016, 11, 7048–7065. [Google Scholar] [CrossRef]
- Ramírez, A.M.R.; Gacitúa, M.A.; Ortega, E.; Díaz, F.R.; del Valle, M.A. Electrochemical in situ synthesis of polypyrrole nanowires. Electrochem. Commun. 2019, 102, 94–98. [Google Scholar] [CrossRef]
- Rahman, M.A.; Rahim, A.; Maniruzzaman, M.; Yang, K.; Lee, C.; Nam, H.; Soh, H.; Lee, J. ITO-free low-cost organic solar cells with highly conductive poly(3,4 ethylenedioxythiophene): P-toluene sulfonate anodes. Sol. Energy Mater. Sol. Cells 2011, 95, 3573–3578. [Google Scholar] [CrossRef]
- Krebs, F.C. Degradation and stability of polymer and organic solar cells. Sol. Energy Mater. Sol. Cells 2008, 92, 685. [Google Scholar] [CrossRef]
- Jørgensen, M.; Norrman, K.; Krebs, F.C. Stability/degradation of polymer solar cells. Sol. Energy Mater. Sol. Cells 2008, 92, 686–714. [Google Scholar] [CrossRef]
- Günes, S.; Neugebauer, H.; Sariciftci, N.S. Conjugated Polymer-Based Organic Solar Cells. Chem. Rev. 2007, 107, 1324–1338. [Google Scholar] [CrossRef] [PubMed]
- Karuppuchamy, S.; Nonomura, K.; Yoshida, T.; Sugiura, T.; Minoura, H. Cathodic electrodeposition of oxide semiconductor thin films and their application to dye-sensitized solar cells. Solid State Ion. 2002, 151, 19–27. [Google Scholar] [CrossRef]
- El Jouad, Z.; Barkat, L.; Stephant, N.; Cattin, L.; Hamzaoui, N.; Khelil, A.; Ghamnia, M.; Addou, M.; Morsli, M.; Béchu, S.; et al. Ca/Alq3 hybrid cathode buffer layer for the optimization of organic solar cells based on a planar heterojunction. J. Phys. Chem. Solids 2016, 98, 128–135. [Google Scholar] [CrossRef]
- Barkat, L.; Hssein, M.; el Jouad, Z.; Cattin, L.; Louarn, G.; Stephant, N.; Khelil, A.; Ghamnia, M.; Addou, M.; Morsli, M.; et al. Efficient hole-transporting layer MoO3:CuI deposited by co-evaporation in organic photovoltaic cells. Phys. Status Solidi A 2017, 214, 1600433. [Google Scholar] [CrossRef]
- El Jouad, Z.; Morsli, M.; Louarn, G.; Cattin, L.; Addou, M.; Bernède, J.C. Improving the efficiency of subphthalocyanine based planar organic solar cells through the use of MoO3/CuI double anode buffer layer. Sol. Energy Mater. Sol. Cells 2015, 141, 429–435. [Google Scholar] [CrossRef]
- East, G.A.; Del Valle, M.A. Easy-to-Make Ag/AgCl Reference Electrode. J. Chem. Educ. 2000, 77, 97. [Google Scholar] [CrossRef]
- Natarajan, C. Cathodic Electrodeposition of Nanocrystalline Titanium Dioxide Thin Films. J. Electrochem. Soc. 1996, 143, 1547. [Google Scholar] [CrossRef]
- Cullity, B.D. Elements of X-ray Diffraction; Addison-Wesley Publishing Company, Inc.: Reading, MA, USA, 1956. [Google Scholar]
- Gelderman, K.; Lee, L.; Donne, S.W. Flat-Band Potential of a Semiconductor: Using the Mott–Schottky Equation. J. Chem. Educ. 2007, 84, 685. [Google Scholar] [CrossRef]
- Chettah, H.; Abdi, D.; Amardjia, H.; Haffar, H. Electrosynthesis of TiO2 oxide film on ITO substrate and electrochemical comparative study of the oxide with its hydrated gel. Ionics 2009, 15, 169–176. [Google Scholar] [CrossRef]
- Boix, P.P.; Wienk, M.M.; Janssen, R.A.J.; Garcia-Belmonte, G. Open-Circuit Voltage Limitation in Low-Bandgap Diketopyrrolopyrrole-Based Polymer Solar Cells Processed from Different Solvents. J. Phys. Chem. C 2011, 115, 15075–15080. [Google Scholar] [CrossRef]
- Gomes, H.L.; Taylor, D.M. Schottky barrier diodes from semiconducting polymers. IEE Proc. Circuits Devices Syst. 1997, 144, 117–122. [Google Scholar] [CrossRef]
- Kim, S.K.; Kim, W.-D.; Kim, K.-M.; Hwang, C.S.; Jeong, J. High dielectric constant TiO2 thin films on a Ru electrode grown at 250 °C by atomic-layer deposition. Appl. Phys. Lett. 2004, 85, 4112–4114. [Google Scholar] [CrossRef]
- Basavaraja, C.; Kim, J.K.; Huh, D.S. Morphology and electrical properties of poly(3,4-ethylenedioxythiophene)/titanium dioxide nanocomposites. Macromol. Res. 2015, 23, 649–657. [Google Scholar] [CrossRef]
- Wu, J.; Xu, H.; Yan, W. Photoelectrocatalytic degradation Rhodamine B over highly ordered TiO2 nanotube arrays photoelectrode. Appl. Surf. Sci. 2016, 386, 1–13. [Google Scholar] [CrossRef]
- Kirchartz, T.; Gong, W.; Hawks, S.A.; Agostinelli, T.; MacKenzie, R.C.I.; Yang, Y.; Nelson, J. Sensitivity of the Mott–Schottky Analysis in Organic Solar Cells. J. Phys. Chem. C 2012, 116, 7672–7680. [Google Scholar] [CrossRef]
- Boix, P.P.; Garcia-Belmonte, G.; Muñecas, U.; Neophytou, M.; Waldauf, C.; Pacios, R. Determination of gap defect states in organic bulk heterojunction solar cells from capacitance measurements. Appl. Phys. Lett. 2009, 95, 233302. [Google Scholar] [CrossRef]
- Tauc, J. Optical properties and electronic structure of amorphous Ge and Si. Mater. Res. Bull. 1968, 3, 37–46. [Google Scholar] [CrossRef]
- Brovelli, F.; Rivas, B.L.; Bernède, J.C.; del Valle, M.A.; Díaz, F.R.; Berredjem, Y. Electrochemical and optical studies of 1,4-diaminoanthraquinone for solar cell applications. Polym. Bull. 2007, 58, 521–527. [Google Scholar] [CrossRef]
- O’Regan, B.; Grätzel, M. A low-cost, high-efficiency solar cell based on dye-sensitized colloidal TiO2 films. Nature 1991, 353, 737–740. [Google Scholar] [CrossRef]
- Trassatti, S. The absolute electrode potential: An explanatory note. Pure Appl. Chem. 1986, 58, 955–966. [Google Scholar] [CrossRef]
- Yang, R.; Smyrl, W.H.; Evans, D.F.; Hendrickson, W.A. Evolution of polypyrrole band structure: A scanning tunneling spectroscopy study. J. Phys. Chem. 1992, 96, 1428–1430. [Google Scholar] [CrossRef]
- Furube, A.; Murai, M.; Watanabe, S.; Hara, K.; Katoh, R.; Tachiya, M. Near-IR transient absorption study on ultrafast electron-injection dynamics from a Ru-complex dye into nanocrystalline In2O3 thin films: Comparison with SnO2, ZnO, and TiO2 films. J. Photochem. Photobiol. A Chem. 2006, 182, 273–279. [Google Scholar] [CrossRef]




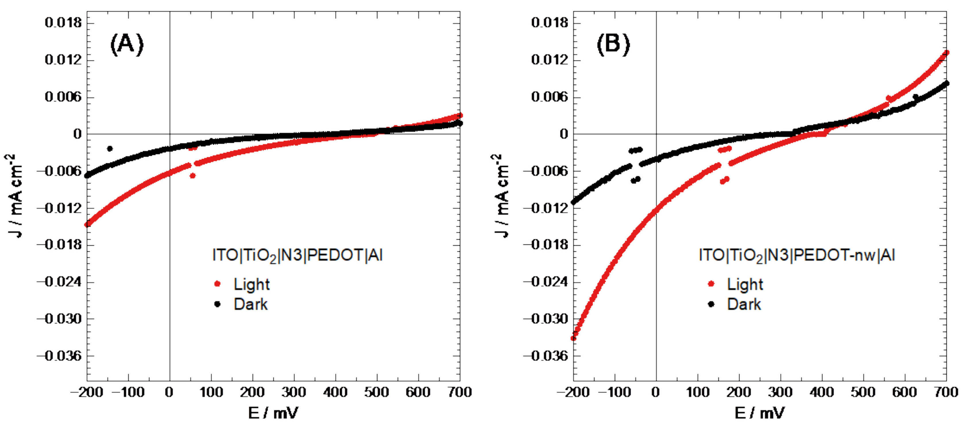
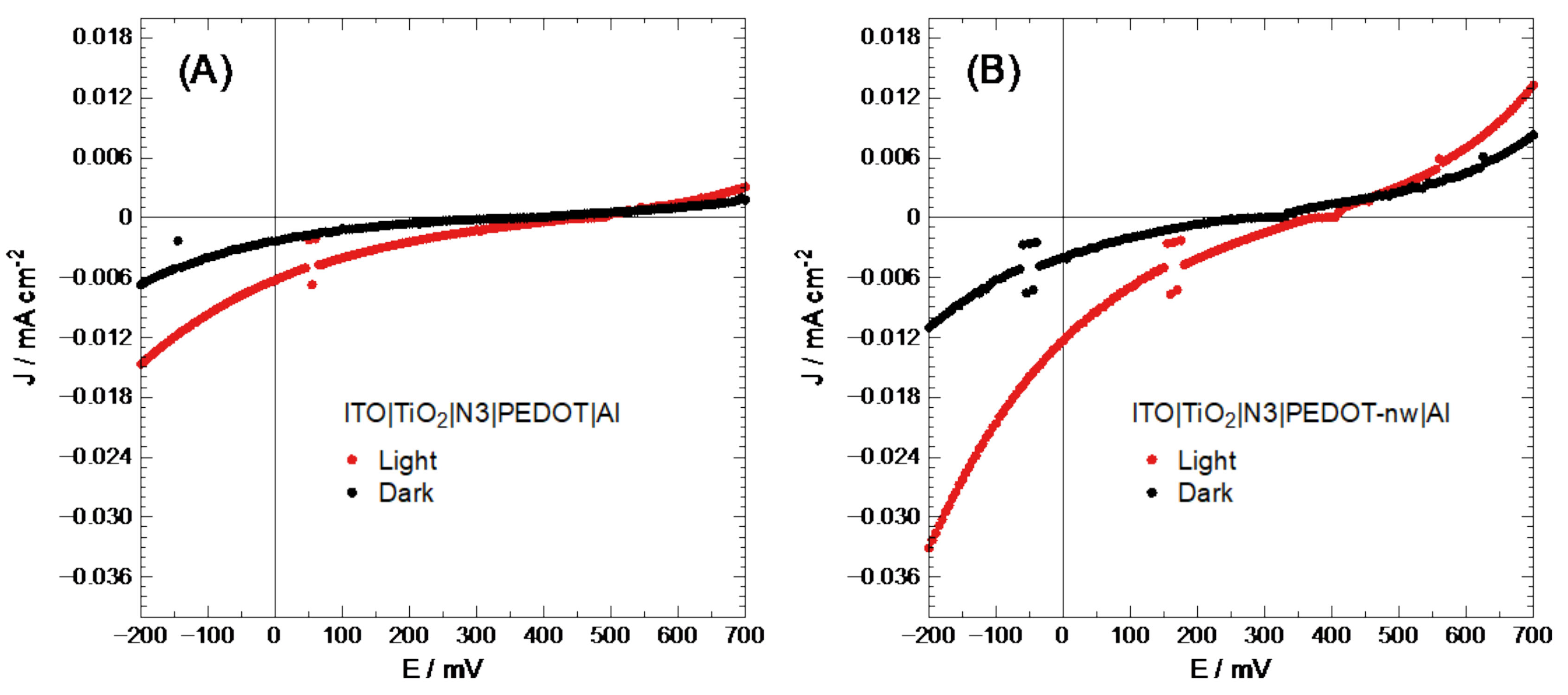
| Deposited layer | VOC/V | JSC/mA cm−2 | % FF | % η |
|---|---|---|---|---|
| PEDOT | 0.48 | 6.0 × 10−3 | 16.1 | 4.9 × 10−4 |
| PEDOT-nw | 0.39 | 1.0 × 10−2 | 25.7 | 1.0 × 10−3 |
Publisher’s Note: MDPI stays neutral with regard to jurisdictional claims in published maps and institutional affiliations. |
© 2021 by the authors. Licensee MDPI, Basel, Switzerland. This article is an open access article distributed under the terms and conditions of the Creative Commons Attribution (CC BY) license (http://creativecommons.org/licenses/by/4.0/).
Share and Cite
Mauricio Ramírez, A.; Cattin, L.; Bernède, J.-C.; Díaz, F.R.; Gacitúa, M.A.; del Valle, M.A. Nanostructured TiO2 and PEDOT Electrodes with Photovoltaic Application. Nanomaterials 2021, 11, 107. https://doi.org/10.3390/nano11010107
Mauricio Ramírez A, Cattin L, Bernède J-C, Díaz FR, Gacitúa MA, del Valle MA. Nanostructured TiO2 and PEDOT Electrodes with Photovoltaic Application. Nanomaterials. 2021; 11(1):107. https://doi.org/10.3390/nano11010107
Chicago/Turabian StyleMauricio Ramírez, Andrés, Linda Cattin, Jean-Christian Bernède, Fernando Raúl Díaz, Manuel Alejandro Gacitúa, and María Angélica del Valle. 2021. "Nanostructured TiO2 and PEDOT Electrodes with Photovoltaic Application" Nanomaterials 11, no. 1: 107. https://doi.org/10.3390/nano11010107
APA StyleMauricio Ramírez, A., Cattin, L., Bernède, J.-C., Díaz, F. R., Gacitúa, M. A., & del Valle, M. A. (2021). Nanostructured TiO2 and PEDOT Electrodes with Photovoltaic Application. Nanomaterials, 11(1), 107. https://doi.org/10.3390/nano11010107

