Next Article in Journal
3D Urchin-Like CuO Modified W18O49 Nanostructures for Promoted Photocatalytic Hydrogen Evolution under Visible Light Irradiation
Next Article in Special Issue
Magnetic Simulations of Core–Shell Ferromagnetic Bi-Magnetic Nanoparticles: The Influence of Antiferromagnetic Interfacial Exchange
Previous Article in Journal
Area-Scalable 109-Cycle-High-Endurance FeFET of Strontium Bismuth Tantalate Using a Dummy-Gate Process
Previous Article in Special Issue
Structures and Properties of the Self-Assembling Diphenylalanine Peptide Nanotubes Containing Water Molecules: Modeling and Data Analysis
 
 
Font Type:
Arial Georgia Verdana
Font Size:
Aa Aa Aa
Line Spacing:
Column Width:
Background:
Article

The Adsorption and Sensing Performances of Ir-modified MoS2 Monolayer toward SF6 Decomposition Products: A DFT Study

State Key Laboratory of Power Transmission Equipment & System Security and New Technology, Chongqing University, Chongqing 400044, China
*
Authors to whom correspondence should be addressed.
Nanomaterials 2021, 11(1), 100; https://doi.org/10.3390/nano11010100
Submission received: 3 September 2020 / Revised: 18 September 2020 / Accepted: 21 September 2020 / Published: 4 January 2021
(This article belongs to the Special Issue Simulation and Modeling of Nanomaterials)

Abstract

In this paper, the Ir-modified MoS2 monolayer is suggested as a novel gas sensor alternative for detecting the characteristic decomposition products of SF6, including H2S, SO2, and SOF2. The corresponding adsorption properties and sensing behaviors were systematically studied using the density functional theory (DFT) method. The theoretical calculation indicates that Ir modification can enhance the surface activity and improve the conductivity of the intrinsic MoS2. The physical structure formation, the density of states (DOS), deformation charge density (DCD), molecular orbital theory analysis, and work function (WF) were used to reveal the gas adsorption and sensing mechanism. These analyses demonstrated that the Ir-modified MoS2 monolayer used as sensing material displays high sensitivity to the target gases, especially for H2S gas. The gas sensitivity order and the recovery time of the sensing material to decomposition products were reasonably predicted. This contribution indicates the theoretical possibility of developing Ir-modified MoS2 as a gas sensor to detect characteristic decomposition gases of SF6.

1. Introduction

Due to the excellent insulation and arc-extinguishing ability of SF6 gas, it has been widely used in gas-insulated switchgear (GIS) [1,2]. During long-term operations, SF6 in GIS decomposes into different characteristic gases, such as H2S, SO2, SOF2, etc., when discharge faults occur [3,4]. Research showed that detecting these characteristic decomposition gases can reflect the operating status and potential faults of the gas-insulated equipment [5,6,7,8]. Therefore, the accurate detection of these gases is of important for the online monitoring of GIS and the safe operation of equipment.
Among various detection methods, the metal-oxides-based gas sensor was considered a convenient and effective approach [9]. However, these traditional gas sensors have defects, such as low sensitivity and instability, limiting their further development [10,11]. Two-dimensional (2D) materials are widely used in gas sensing, catalysis, energy storage, etc., due to their large specific surface areas and distinctive physical and chemical properties [12,13,14]. The MoS2 monolayer was studied and reported as a potential gas-sensing material [15]. Rathi et al. studied the gas-sensing performance of La-MoS2 hybrid-heterostructure-based sensor of NO2 gas. They found that the sensing response of the La-decorated MoS2 gas sensor was six times more than the pristine MoS2, indicating that the fabricated sensor was suitable for NO2 detection [16]. Urs et al. reported the sensitivity of MoS2 modified with alloy nanoparticles to H2 at temperatures in the range of 30 to 100 °C. The results showed that the composite nanomaterials can enhance the response to H2, and this phenomenon was explained using the density functional theory (DFT) simulation [17]. Based on these studies, we deduced that the gas sensitivity of intrinsic MoS2 can be further effectively improved by introducing appropriate dopants, such as transition metal atoms or metal oxides [18]. In particular, iridium (Ir), which has excellent physicochemical stability, has been proven to effectively improve the gas sensitivity of 2D materials [19,20]. Thus, we speculated that the reasonable combination of Ir and MoS2 has potential for gas sensing. Considering the huge challenges faced by current sensor development and the importance of detecting SF6 decomposition components, the adsorption and sensing performance of Ir-modified MoS2 for these gases should be studied based on DFT for guiding the experiments.
In this paper, we predict the adsorption and sensing properties of Ir-modified MoS2 monolayer to SF6 decomposition components (H2S, SO2, and SOF2) based on the DFT calculation. The most stable adsorption structure of Ir-modified MoS2 for different gases is proposed, and its electronic properties are also systematically explored. The gas-sensing response of the Ir-modified MoS2 nanomaterial-based sensor to the target gases was reasonably predicted. These results indicated that the Ir-modified MoS2-based gas sensor is a promising alternative for detecting the decomposition components of SF6.

2. Computational Detail

In this work, the DMol3 package based on the DFT method was used to study the electronic and adsorption characteristics [21]. The 4 × 4 MoS2 monolayer with the lattice constants of 12.664 × 12.664 Å was established, and its size proved to be large enough for gas adsorption [22]. To avoid influence between the adjacent layers of MoS2, we set the vacuum thickness to 20 Å. The electron exchange and correlation energy were treated by the generalized gradient approximation (GGA), Perdew–Burke–Ernzerhof (PBE), and the DFT-D method. The double numerical plus polarization (DNP) basis set was applied to deal with the relativistic effect of the molecular structure [23]. The k-point was set as 5 × 5 × 1 Monkhorst. To ensure the reasonableness and accuracy of the calculation, the energy convergence accuracy, maximum force, and maximum displacement in this study were selected as 10−5 Ha, 0.002 Ha/Å, and 0.005 Å, respectively [24]. The adsorption energy (Ead), charge transfer (Qt), energy gap (Eg), and recovery time (Tr) for each system were analyzed using the following equations:
Ead = Egas/Ir-modified MoS2EgasEIr-modified MoS2
Qt = QaQb
Eg = |ELUMOEHOMO|
Tr = F0−1exp(−Ead/KBTw)
where Egas/Ir-modified MoS2, Egas, and EIr-modified MoS2 denote the energy of the Ir-modified MoS2 structure adsorbed gas, the bare Ir-modified MoS2 substrate, and the isolated gas, respectively; Qa and Qb in represent the charge of gas molecules after and before adsorption, respectively. To study the conductivity change of various adsorption structures, we defined the energy gap (Eg) depicted in Equation (3). HOMO and LUMO represent the highest occupied molecular orbital and the lowest occupied molecular orbital, respectively; the lower the Eg, the higher the conductivity [25]. Tr, F0 (1012 s−1), KB (8.62 × 10−5 eV K−1), and Tw represent recovery time, attempt frequency, Boltzmann constant, and working temperature, respectively [26].

3. Results and Discussions

3.1. Structure and Properties of the Ir-modified MoS2 Monolayer

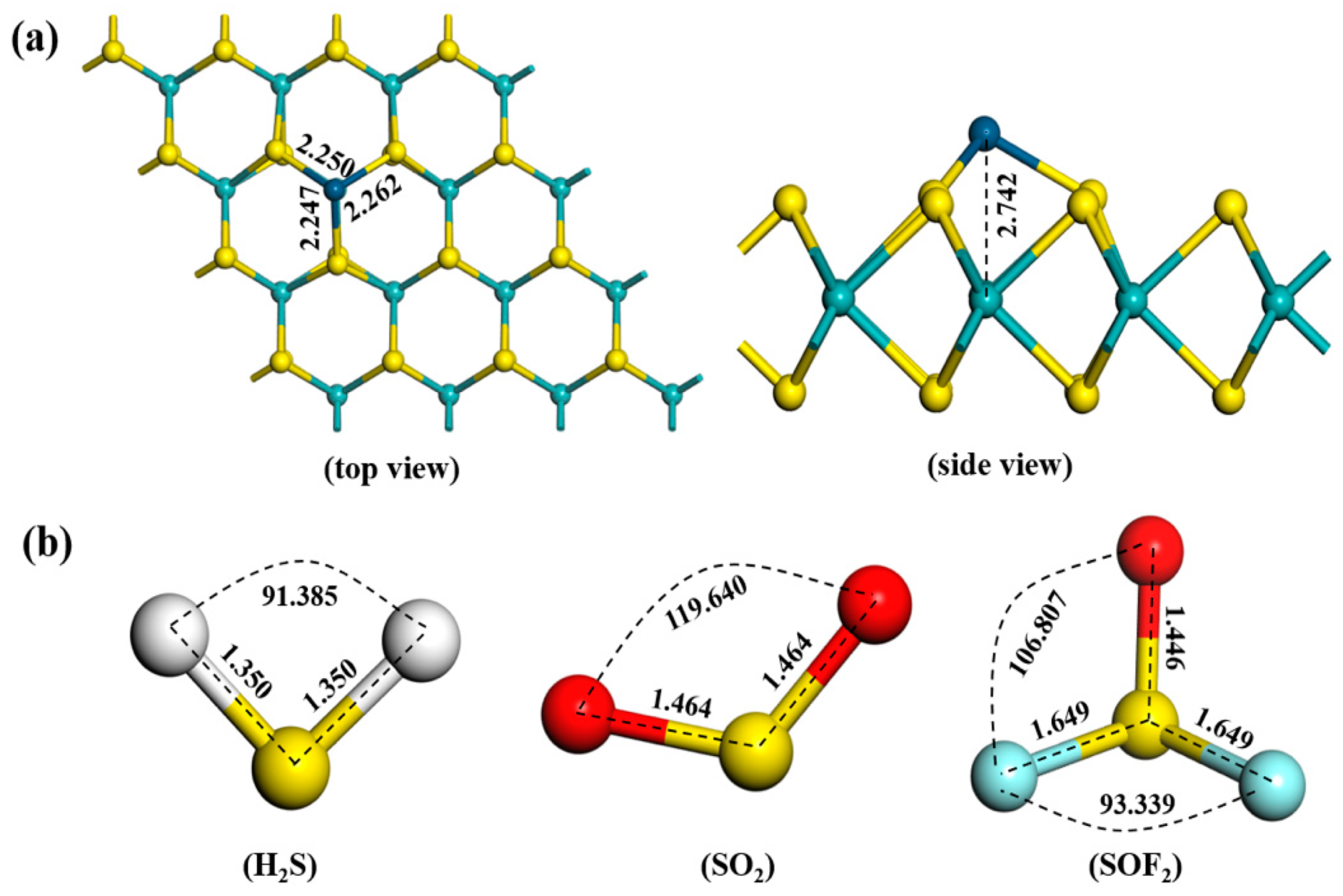
The optimized structures of Ir-modified MoS2 and target gases are shown in Figure 1. Figure 1a illustrates that the Ir atom forms an optimal configuration with MoS2 at a distance of 2.742 Å directly above the Mo atom. This doping mode (the S vacancy) proves to be the most stable based on the formation energy analysis [27]. The three optimized Ir-S bond lengths of the Ir-modified MoS2 structure are 2.250, 2.262, and 2.247 Å. Figure 1b depicts the optimized configurations of three characteristic decomposition components of SF6. The bond length and bond angle of each gas molecule are marked in the figure, which is consistent with the literature [28,29].
To further analyze the electronic properties of Ir-modified MoS2, the density of states (DOS) distributions and band structure are depicted in Figure 2. Figure 2a compares the total density of states (TDOS) of Ir-modified MoS2 shifted to the left with the intrinsic MoS2. This phenomenon is mainly attributed to the hybridization of the orbitals of introduced Ir atom with the orbitals of Mo and S atoms in MoS2. Specifically, the Ir-5d orbital overlaps with Mo-4d and S-3p orbitals in the range of −7.0 to 2.0 eV as observed in the distribution of partial density of states (PDOS), which indicated that the structure formed by the introduced Ir atom and MoS2 is stable. The Ir-5d peak appears near the Fermi level, indicating that electrons are more easily transferred to the conduction band after Ir atom was introduced, and the conductivity of the gas-sensing material increases. Figure 2b depicts the band structures of intrinsic and Ir-modified MoS2. We noticed that the bandgap of the composite system reduced from 2.088 to 0.398 eV after introducing an Ir atom due to the introduction of impurity levels near the Fermi level after doping with Ir atom. The electrons are more easily excited from the valence band to the conduction band.
Figure 3a displays the deformation charge density (DCD) of Ir-modified MoS2 monolayer. The red and blue regions in the figure represent electron accumulation and depletion, respectively [22]. The electrons are mainly concentrated around the Ir atom, which illustrates that the bonds formed by Ir atom and surrounding S atoms have a strong binding force [30]. The Ir atom acts as an electron acceptor and obtains 0.274 e from MoS2 monolayer, and the S mainly behaves as an electron donator. The HOMO and LUMO distributions of the Ir-modified MoS2 system are depicted in Figure 3b. We found that a large part of HOMO is distributed near the Ir atom, which indicates that the addition of an Ir atom provides more active sites on the surface of MoS2 and enhances the sensitivity of the material.

3.2. Gas Molecules Adsorption on the Ir-modified MoS2 Surface

3.2.1. Structures of Different Adsorption Systems

To obtain the most stable adsorption structure for each gas, we established various adsorption models in which the gases were close to the Ir-modified MoS2 surface at different positions. The optimized H2S-Ir-MoS2, SO2-Ir-dopd-MoS2, and SOF2-Ir-dopd-MoS2 structures in various positions are depicted in Figure 4, Figure 5 and Figure 6, respectively. Based on the figures, we observed that all gas molecules were adsorbed on the surface of the Ir-modified MoS2 surface in different spatial positions. In particular, in the H2S adsorption systems of P2 and P3 depicted in Figure 4b,c, the H–S bond in the H2S gas broke, and the H atom formed a new chemical bond with the Ir atom, indicating that the adsorption of H2S gas is a chemical adsorption process. The adsorption parameters of Ir-modified MoS2 for various gases in different positions are depicted in Table 1.We observed from Table 1 that all the adsorption energies were negative, indicating that the adsorption of the target gases is an exothermic process. The absolute value of Ead in all systems was the largest for P3 structure, indicating that the adsorption structure is the most stable compared to the other two configurations, and the gas is most likely to be adsorbed on the surface of the material in this state during the adsorption reaction. The gas in each system was stably adsorbed on the Ir-modified MoS2 surface at different distances, and the specific adsorption distance values are listed in Table 1. For Qt, we found that the amount of charge transfer between H2S and the sensing material was the largest compared with SO2 and SOF2 gas adsorption systems, which illustrates that the H2S gas causes a greater change in the conductivity of the material during the adsorption process.
To further compare and analyze the different characteristics of Ir-modified MoS2 sensing material for different SF6 decomposition components, we selected the most stable structures (Position 3) for each gas adsorption system. The optimized configurations and adsorption parameters of target gases adsorbed on the Ir-modified MoS2 monolayer are depicted in Figure 7 and Table 2, respectively. We suggest, based on Figure 7a, that the S–H bond in H2S gas was broken due to the strong metallicity of Ir atom during the adsorption process of H2S gas, which led to the formation of a new H2–Ir bond between H2 atom and Ir atom with a bond length of 1.584 Å. The H1–S1 bond length is 1.357 Å, which is slightly elongated compared to the bond length of the gas before adsorption (1.350 Å). For the SO2-Ir-MoS2 and SOF2-Ir-MoS2 adsorption systems depicted in Figure 7b,c, respectively, we observed that the S atom in the gas molecules is close to the Ir atom to form the stable structures. The bond lengths of S2–O1 and S2–O2 in SO2 gas are 1.467 and 1.468 Å, respectively. The bond lengths of S3–O3, S3–F2, and S3–F1 in SOF2 gas are 1.449, 1.642, and 1.643 Å, respectively. All of the bond lengths of SO2 and SOF2 gases undergo small changes during the adsorption progress, suggesting that gases have interactions with the sensing material.
Adsorption systems are displayed in Table 2. The Ead of H2S-Ir-MoS2 was calculated to be −2.323 eV, which is smaller than the SO2-Ir-MoS2 (−1.757 eV) and SOF2-Ir-MoS2 (−1.492 eV) systems. This result suggested that all adsorption reactions can proceed spontaneously, the adsorption process of the H2S gas is the strongest, and the formed structure is the most stable among the three systems. According to the definition of adsorption distance, the D of H2S-Ir-MoS2, SO2-Ir-MoS2, and SOF2-Ir-MoS2 is 1.583, 2.175, and 2.171 Å, respectively. Based on the Mulliken population analysis, we calculated the Qt of the three adsorption systems as 0.286, 0.114, and 0.154 e for H2S-Ir-MoS2, SO2-Ir-MoS2, and SOF2-Ir-MoS2 configurations, respectively. The largest Qt of H2S-Ir-MoS2 indicates that the H2S gas interacts strongly with the Ir-modified MoS2 system, which is consistent with the calculated results of adsorption energy.

3.2.2. DOS Analysis of Different Adsorption Systems

The DOS distributions were used to study the electronic properties and gas sensitivity of SF6 decomposition components adsorbed on the Ir-modified MoS2 monolayer, and the results are depicted in Figure 8. Figure 8a depicts the overall TDOS of the H2S-Ir-MoS2 system moving to the left after adsorbing H2S gas, indicating that the electrons easily fill in the conduction band. The huge change in TDOS that happened near the Fermi level indicated that the Ir-modified MoS2 gas-sensing material has strong interactions with H2S gas, and the gas sensitivity is improved. The peaks of the PDOS spectrum overlap among Ir, S, and H atoms, suggesting that the adsorption structure has good stability. The hybridization of Ir-3p and S-3p orbitals should be responsible for the huge changes in TDOS near the Fermi level. In the SO2-Ir-MoS2 structure displayed in Figure 8b, the TDOS decreases around the Fermi level after SO2 gas adsorption. This phenomenon illustrates that the number of free electrons decreases after gas adsorption and the resistance of the material increases. We observed the PDOS distributions of Ir-5d orbital near the Fermi level, which may be the main reason for the decrease in TDOS. The hybridization of Ir-5d and S-3p orbitals increases the TDOS near the energy level of −7.0 eV after gas adsorption. For the SOF2-Ir-MoS2 system depicted in Figure 8c, the TDOS of the SOF2-Ir-MoS2 adsorption system slightly changes near the Fermi level compared with the DOS of Ir-MoS2, indicating that the material has weak gas-sensitivity to SOF2 gas. From the PDOS distributions, we found that the novel peaks appearing in DOS at the range of −9.0 to −8.0 eV are mainly caused by the hybridization of the S-3p and F-2p orbitals.

3.2.3. DCD Analysis of Various Adsorption Systems

The interactions between SF6 decomposition components and Ir-modified sensitive materials were studied via the DCD analysis. Figure 9 depicts the corresponding DCD results of various adsorption systems. The charge accumulation in all structures is mainly concentrated on the gas molecules, and charge depletion is distributed around the Ir atom. This distribution suggests that the gases have interactions with the Ir-modified MoS2 material, which is also consistent with the DOS analysis results. In these adsorption systems, the SF6 decomposition components act as electron donors, while the Ir-modified MoS2 material acts as an electron acceptor. Compared with SO2-Ir-MoS2 and SOF2-Ir-MoS2 adsorption configurations, there is a large amount of charge accumulation and dissipation between the H2S gas and the Ir-modified MoS2 layer, which is caused by the strong reaction in the adsorption process [31].

3.2.4. Frontier Molecular Orbital Analysis of Different Systems

The HOMO and LUMO distributions were used to study the electronic behavior of various adsorption systems. According to the frontier molecular orbital analysis, we analyzed the possible change trends of material conductivity to predict the gas-sensing performance of materials [32]. After the target gas is adsorbed, the electron clouds of Ir-modified MoS2 material is redistributed, causing changes in the energy values of HOMO and LUMO, as depicted in Figure 10. A large amount of HOMO is distributed on and around the gas, especially in the H2S-Ir-MoS2 system, indicating that these electrons are not bound and can undergo charge transfer during the adsorption reaction. The Ir-modified MoS2 sensitive material has obvious electron transfer behavior for the adsorption of these three target gases; thus, we speculate that Ir-modified MoS2 gas-sensing material can be used as a resistive gas sensor to detect H2S, SO2, and SOF2 gases.

3.3. Gas-Sensing Prediction of Ir-modified MoS2 to SF6 Decomposition Products

After gas adsorption, a large change in Eg indicates that the conductivity of the sensing material increases based on the definition of resistive gas sensor sensitivity [33]. The comparative analysis of Eg for different optimized systems are proposed and displayed in Figure 11a. The Eg increased to varying degrees after gas adsorption due to the different changes in the energy levels of HOMO and LUMO (marked in Figure 10). Compared with the Eg of the Ir-modified MoS2, the degree of Eg change in these systems is as follows: H2S-Ir-MoS2 > SO2-Ir-MoS2 > SOF2-Ir-MoS2. Combining the above results, we suggest that the gas sensitivity order of the Ir-modified MoS2 to these SF6 decomposition products is H2S > SO2 > SOF2. Work function (WF) refers to the minimum energy required for electrons to release from the surface. It represents the contact barrier between the target gas and the material during the gas adsorption process [31]. Figure 11b shows the calculated values of WF for various optimized structures. We observed that WF decreases to 5.252 eV after the adsorption of H2S gas, but increases to 5.905 and 5.878 eV for SO2 and SOF2, respectively, compared with the Ir-modified MoS2 system (5.469 eV). In other words, the smaller work function value of H2S-Ir-MoS2 indicates that H2S more easily adsorbs on the Ir-modified MoS2 material compared with the other two systems.
The predicted recovery time for the Ir-modified MoS2 based sensor is displayed in Figure 12. The recovery time decreases with the increase in temperature due to the rapid desorption of gas molecules at high temperatures. The sequence of the recovery time for these gases at the same temperature is as follows: SOF2 < SO2 < H2S. Although the recovery time of H2S is very long due to the strong adsorption capacity, the time can be less than 2 min by appropriately increasing the working temperature during the experimental test. This result can provide a theoretical basis for guiding the gas-sensing performance test experiment.

4. Conclusions

In this work, we used the theoretical calculation based on the DFT method to investigate the adsorption characteristic and gas-sensing mechanism of Ir-modified MoS2 to decomposition components of SF6, including H2S, SO2, and SOF2. We optimized and analyzed the geometric parameters and electronic properties of the Ir-modified MoS2 system. The results indicated that the introduction of the Ir atom enhances the surface activity of the material and reduces the bandgap of intrinsic MoS2 from 2.088 to 0.398 eV as well as increases the conductivity. The most stable adsorption structure of Ir-modified MoS2 for different gases was proposed, and their electronic properties were systematically explored via analyzing the DOS, DCD, molecular orbital theory, and WF. The gas-sensing mechanism study demonstrated that Ir-modified MoS2 monolayer can adsorb the target gases and cause microscopic electron behavior, especially for H2S gas. The gas sensitivity order of SF6 decomposition products was predicted as follows: H2S > SO2 > SOF2. The predicted recovery time of the sensor to all target gases can be less than 2 min by appropriately increasing the temperature. Based on these results, the Ir-modified MoS2 is suggested as a potential candidate for detecting decomposition components of SF6.

Author Contributions

Conceptualization, H.L., F.W. and J.L.; methodology, H.L., K.H. and F.W.; investigation, H.L. and T.L.; resources, T.L. and Y.Y.; writing—original draft preparation, H.L.; writing—review and editing, H.L., T.L. and Y.Y.; supervision, K.H.; project administration, F.W. and J.L. All authors have read and agreed to the published version of the manuscript.

Funding

This work was supported in part by the National Key Research and Development Program of China (No. 2018YFB2100100), the Graduate Research and Innovation Foundation of Chongqing, China (No.CYS20008), the Chongqing Municipality Human Resources and Social Security Bureau (No.cx2017041), and the National “111” Project of the Ministry of Education of China (No.B08036).

Conflicts of Interest

The authors declare no conflict of interest.

References

  1. Beslija, D.; Gorenc, D.; Muratovic, M.; Kapetanovic, M. Enhanced Method for Pressure Rise Calculation in SF6 GIS Due to Fault Arcs. IEEE Trans. Power Deliv. 2020, 35, 1619–1624. [Google Scholar] [CrossRef]
  2. Wu, S.Y.; Zeng, F.P.; Tang, J.; Yao, Q.; Miao, Y.L. Triangle Fault Diagnosis Method for SF6 Gas-Insulated Equipment. IEEE Trans. Power Deliv. 2019, 34, 1470–1477. [Google Scholar] [CrossRef]
  3. Chen, D.C.; Zhang, X.X.; Tang, J.; Cui, Z.L.; Cui, H.; Pi, S.M. Theoretical Study of Monolayer PtSe2 as Outstanding Gas Sensor to Detect SF6 Decompositions. IEEE Electron Device Lett. 2018, 39, 1405–1408. [Google Scholar] [CrossRef]
  4. Pepi, F.; Ricci, A.; Di Stefano, M.; Rosi, M. Sulfur hexafluoride corona discharge decomposition: Gas-phase ion chemistry of SOFx+ (x = 1–3) ions. Chem. Phys. Lett. 2003, 381, 168–176. [Google Scholar] [CrossRef]
  5. Liu, D.K.; Gui, Y.G.; Ji, C.; Tang, C.; Zhou, Q.; Li, J.; Zhang, X.X. Adsorption of SF6 decomposition components over Pd (111): A density functional theory study. Appl. Surf. Sci. 2019, 465, 172–179. [Google Scholar] [CrossRef]
  6. Wang, D.W.; Lan, T.S.; Yang, A.J.; Pan, J.B.; Chu, J.F.; Yuan, H.; Li, Y.J.; Wang, X.H.; Rong, M.Z. SF6 Decomposition Gas Sensor Based on GeP Monolayer: A First-Principle Study. IEEE Sens. J. 2020, 20, 8997–9003. [Google Scholar] [CrossRef]
  7. Cui, H.P.; Zheng, K.; Tao, L.Q.; Yu, J.B.; Zhu, X.Y.; Li, X.D.; Chen, X.P. Monolayer Tellurene-Based Gas Sensor to Detect SF6 Decompositions: A First Principles Study. IEEE Electron Device Lett. 2019, 40, 1522–1525. [Google Scholar] [CrossRef]
  8. Qian, H.; Deng, J.; Xie, Z.C.; Pan, Z.C.; Zhang, J.Y.; Zhou, H.B. Adsorption and Gas Sensing Properties of the Pt3-MoSe2 Monolayer to SOF2 and SO2F2. ACS Omega 2020, 5, 7722–7728. [Google Scholar] [CrossRef]
  9. Lu, Z.R.; Zhou, Q.; Wang, C.S.; Wei, Z.J.; Xu, L.N.; Gui, Y.G. Electrospun ZnO-SnO2 Composite Nanofibers and Enhanced Sensing Properties to SF6 Decomposition Byproduct H2S. Front. Chem. 2018, 6, 9. [Google Scholar] [CrossRef]
  10. Zeng, W.W.; Liu, Y.Z.; Mei, J.; Tang, C.Y.; Luo, K.; Li, S.M.; Zhan, H.R.; He, Z.K. Hierarchical SnO2-Sn3O4 heterostructural gas sensor with high sensitivity and selectivity to NO2. Sens. Actuator B Chem. 2019, 301, 9. [Google Scholar] [CrossRef]
  11. Constantinoiu, I.; Viespe, C. Development of Pd/TiO2 Porous Layers by Pulsed Laser Deposition for Surface Acoustic Wave H2 Gas Sensor. Nanomaterials 2020, 10, 760. [Google Scholar] [CrossRef] [PubMed]
  12. Roy, P.K.; Luxa, J.; Sofer, Z. Emerging pnictogen-based 2D semiconductors: Sensing and electronic devices. Nanoscale 2020, 12, 10430–10446. [Google Scholar] [CrossRef] [PubMed]
  13. Rui, H.S.; Li, L.; Zhang, N.; Lin, X.; Hua, Y.L.; Wu, X.M.; Wang, D.; Yin, S.G. Tunable Deep-Red Electroluminescence From Flexible Quasi-2D Perovskites Light-Emitting Diodes. IEEE Electron Device Lett. 2019, 40, 59–62. [Google Scholar] [CrossRef]
  14. Gui, Y.G.; Li, T.; He, X.; Ding, Z.Y.; Yang, P.G. Pt Cluster Modified h-BN for Gas Sensing and Adsorption of Dissolved Gases in Transformer Oil: A Density Functional Theory Study. Nanomaterials 2019, 9, 1746. [Google Scholar] [CrossRef]
  15. Yang, Z.M.; Zhang, D.Z.; Chen, H.N. MOF-derived indium oxide hollow microtubes/MoS2 nanoparticles for NO2 gas sensing. Sens. Actuator B Chem. 2019, 300, 10. [Google Scholar] [CrossRef]
  16. Rathi, K.; Kumar, A.N.; Pal, K. Fabrication of flexible La-MoS2 hybrid-heterostructure based sensor for NO2 gas sensing at room temperature. Nanotechnology 2020, 31, 13. [Google Scholar] [CrossRef]
  17. Urs, K.M.B.; Katiyar, N.K.; Kumar, R.; Biswas, K.; Singh, A.K.; Tiwary, C.S.; Kamble, V. Multi-component (Ag-Au-Cu-Pd-Pt) alloy nanoparticle-decorated p-type 2D-molybdenum disulfide (MoS2) for enhanced hydrogen sensing. Nanoscale 2020. [Google Scholar] [CrossRef]
  18. Wang, J.X.; Zhou, Q.; Lu, Z.R.; Gui, Y.G.; Zeng, W. Adsorption of H2O molecule on TM (Au, Ag) doped-MoS2 monolayer: A first-principles study. Physica E 2019, 113, 72–78. [Google Scholar] [CrossRef]
  19. Lin, L.; Shi, Z.G.; Huang, J.T.; Wang, P.T.; Yu, W.Y.; He, C.Z.; Zhang, Z.Y. Molecular adsorption properties of CH4 with noble metals doped onto oxygen vacancy defect of anatase TiO2(101) surface: First-principles calculations. Appl. Surf. Sci. 2020, 514, 7. [Google Scholar] [CrossRef]
  20. Basharnavaz, H.; Habibi-Yangjeh, A.; Kamali, S.H. A first-principle investigation of NO2 adsorption behavior on Co, Rh, and Ir-embedded graphitic carbon nitride: Looking for highly sensitive gas sensor. Phys. Lett. A 2020, 384, 8. [Google Scholar] [CrossRef]
  21. Zhang, X.X.; Chen, Z.W.; Chen, D.C.; Cui, H.; Tang, J. Adsorption behaviour of SO2 and SOF2 gas on Rh-doped BNNT: A DFT study. Mol. Phys. 2020, 118, 9. [Google Scholar] [CrossRef]
  22. Gui, Y.G.; Liu, D.K.; Li, X.D.; Tang, C.; Zhou, Q. DFT-based study on H2S and SOF2 adsorption on Si-MoS2 monolayer. Results Phys. 2019, 13, 8. [Google Scholar] [CrossRef]
  23. Wang, J.X.; Zhou, Q.; Lu, Z.R.; Wei, Z.J.; Zeng, W. Gas sensing performances and mechanism at atomic level of Au-MoS2 microspheres. Appl. Surf. Sci. 2019, 490, 124–136. [Google Scholar] [CrossRef]
  24. Leenaerts, O.; Partoens, B.; Peeters, F.M. Adsorption of H2O, NH3, CO, NO2, and NO on graphene: A first-principles study. Phys. Rev. B 2008, 77, 6. [Google Scholar] [CrossRef]
  25. Zhang, X.X.; Fang, R.X.; Chen, D.C.; Zhang, G.Z. Using Pd-Doped gamma-Graphyne to Detect Dissolved Gases in Transformer Oil: A Density Functional Theory Investigation. Nanomaterials 2019, 9, 1490. [Google Scholar] [CrossRef]
  26. Peng, S.; Cho, K.J.; Qi, P.F.; Dai, H.J. Ab initio study of CNT NO2 gas sensor. Chem. Phys. Lett. 2004, 387, 271–276. [Google Scholar] [CrossRef]
  27. Cui, H.; Zhang, X.X.; Zhang, G.Z.; Tang, J. Pd-doped MoS2 monolayer: A promising candidate for DGA in transformer oil based on DFT method. Appl. Surf. Sci. 2019, 470, 1035–1042. [Google Scholar] [CrossRef]
  28. Zhang, X.X.; Yu, L.; Wu, X.Q.; Hu, W.H. Experimental Sensing and Density Functional Theory Study of H2S and SOF2 Adsorption on Au-Modified Graphene. Adv. Sci. 2015, 2, 10. [Google Scholar] [CrossRef]
  29. Li, J.; Pang, L.; Cai, F.; Yuan, X.; Kong, F. Adsorption Properties of Pd3-Modified Double-Vacancy Defect Graphene toward SF6 Decomposition Products. Sensors 2020, 20, 4188. [Google Scholar] [CrossRef]
  30. Ma, S.X.; Li, D.J.; Rao, X.J.; Xia, X.F.; Su, Y.; Lu, Y.F. Pd-doped h-BN monolayer: A promising gas scavenger for SF6 insulation devices. Adsorpt. J. Int. Adsorpt. Soc. 2020, 26, 619–626. [Google Scholar] [CrossRef]
  31. Cui, H.; Yan, C.; Jia, P.F.; Cao, W. Adsorption and sensing behaviors of SF6 decomposed species on Ni-doped C3N monolayer: A first-principles study. Appl. Surf. Sci. 2020, 512, 7. [Google Scholar] [CrossRef]
  32. Cui, H.; Zhang, X.X.; Chen, D.C.; Tang, J. Adsorption mechanism of SF6 decomposed species on pyridine-like PtN3 embedded CNT: A DFT study. Appl. Surf. Sci. 2018, 447, 594–598. [Google Scholar] [CrossRef]
  33. Wang, F.P.; Liu, H.C.; Hu, K.L.; Li, Y.Q.; Zeng, W.; Zeng, L. Hierarchical composites of MoS2 nanoflower anchored on SnO2 nanofiber for methane sensing. Ceram. Int. 2019, 45, 22981–22986. [Google Scholar] [CrossRef]
Figure 1. Structures of (a) Ir-modified MoS2 and (b) gas molecules.
Figure 1. Structures of (a) Ir-modified MoS2 and (b) gas molecules.
Nanomaterials 11 00100 g001
Figure 2. The (a) DOS distributions and (b) band structure of the intrinsic and Ir-modified MoS2 systems.
Figure 2. The (a) DOS distributions and (b) band structure of the intrinsic and Ir-modified MoS2 systems.
Nanomaterials 11 00100 g002
Figure 3. The (a) DCD, (b) HOMO, and LUMO distributions of Ir-modified MoS2 system.
Figure 3. The (a) DCD, (b) HOMO, and LUMO distributions of Ir-modified MoS2 system.
Nanomaterials 11 00100 g003
Figure 4. Various optimized configurations of H2S-Ir-MoS2 adsorption systems.
Figure 4. Various optimized configurations of H2S-Ir-MoS2 adsorption systems.
Nanomaterials 11 00100 g004
Figure 5. Different optimized structures of SO2 adsorption on the Ir-modified MoS2 surface.
Figure 5. Different optimized structures of SO2 adsorption on the Ir-modified MoS2 surface.
Nanomaterials 11 00100 g005
Figure 6. Adsorption systems of SOF2-Ir-MoS2 in different positions.
Figure 6. Adsorption systems of SOF2-Ir-MoS2 in different positions.
Nanomaterials 11 00100 g006
Figure 7. The most stable structures of SF6 decomposition components adsorbed on the Ir-modified MoS2 monolayer.
Figure 7. The most stable structures of SF6 decomposition components adsorbed on the Ir-modified MoS2 monolayer.
Nanomaterials 11 00100 g007
Figure 8. The DOS distributions of different adsorption systems.
Figure 8. The DOS distributions of different adsorption systems.
Nanomaterials 11 00100 g008
Figure 9. The DCD of (a) H2S-Ir-MoS2, (b) SO2-Ir-MoS2, and (c) SOF2-Ir-MoS2 adsorption systems.
Figure 9. The DCD of (a) H2S-Ir-MoS2, (b) SO2-Ir-MoS2, and (c) SOF2-Ir-MoS2 adsorption systems.
Nanomaterials 11 00100 g009
Figure 10. The HOMO and LUMO distributions of various systems.
Figure 10. The HOMO and LUMO distributions of various systems.
Nanomaterials 11 00100 g010
Figure 11. The (a) energy gap and (b) working function for different optimized systems.
Figure 11. The (a) energy gap and (b) working function for different optimized systems.
Nanomaterials 11 00100 g011
Figure 12. The predicted recovery time of various optimized systems.
Figure 12. The predicted recovery time of various optimized systems.
Nanomaterials 11 00100 g012
Table 1. The adsorption parameters of Ir-modified MoS2 for various gases in different positions.
Table 1. The adsorption parameters of Ir-modified MoS2 for various gases in different positions.
SystemAdsorption PositionEad (eV)D (Å)Qt (e)
H2S-Ir-MoS2Position 1 (Figure 4a)−1.5782.3170.341
Position 2 (Figure 4b)−2.3101.5940.292
Position 3 (Figure 4c)−2.3231.5840.286
SO2-Ir-MoS2Position 1 (Figure 5a)−1.6562.063−0.158
Position 2 (Figure 5b)−1.0532.052−0.190
Position 3 (Figure 5c)−1.7572.1750.114
SOF2-Ir-MoS2Position 1 (Figure 6a)−0.4112.2160.069
Position 2 (Figure 6b)−0.1042.8730.048
Position 3 (Figure 6c)−1.4922.1710.154
Table 2. The parameters of different Ir-modified MoS2 adsorption systems.
Table 2. The parameters of different Ir-modified MoS2 adsorption systems.
SystemEad (eV)D (Å)Qt (e)
H2S-Ir-MoS2−2.3231.5840.286
SO2-Ir-MoS2−1.7572.1750.114
SOF2-Ir-MoS2−1.4922.1710.154
Publisher’s Note: MDPI stays neutral with regard to jurisdictional claims in published maps and institutional affiliations.

Share and Cite

MDPI and ACS Style

Liu, H.; Wang, F.; Hu, K.; Li, T.; Yan, Y.; Li, J. The Adsorption and Sensing Performances of Ir-modified MoS2 Monolayer toward SF6 Decomposition Products: A DFT Study. Nanomaterials 2021, 11, 100. https://doi.org/10.3390/nano11010100

AMA Style

Liu H, Wang F, Hu K, Li T, Yan Y, Li J. The Adsorption and Sensing Performances of Ir-modified MoS2 Monolayer toward SF6 Decomposition Products: A DFT Study. Nanomaterials. 2021; 11(1):100. https://doi.org/10.3390/nano11010100

Chicago/Turabian Style

Liu, Hongcheng, Feipeng Wang, Kelin Hu, Tao Li, Yuyang Yan, and Jian Li. 2021. "The Adsorption and Sensing Performances of Ir-modified MoS2 Monolayer toward SF6 Decomposition Products: A DFT Study" Nanomaterials 11, no. 1: 100. https://doi.org/10.3390/nano11010100

APA Style

Liu, H., Wang, F., Hu, K., Li, T., Yan, Y., & Li, J. (2021). The Adsorption and Sensing Performances of Ir-modified MoS2 Monolayer toward SF6 Decomposition Products: A DFT Study. Nanomaterials, 11(1), 100. https://doi.org/10.3390/nano11010100

Note that from the first issue of 2016, this journal uses article numbers instead of page numbers. See further details here.

Article Metrics

Back to TopTop