Physico-Chemical Characterization of Two Portuguese Coastal Systems: Ria de Alvor and Mira Estuary
Abstract
1. Introduction
2. Study Area
2.1. Mira Estuary
2.2. Ria de Alvor
3. Methods and Data
3.1. Field Data Acquisition
3.2. Model Description and Set Up
3.3. Model Calibration and Validation
3.4. Estuaries Characterization
4. Results
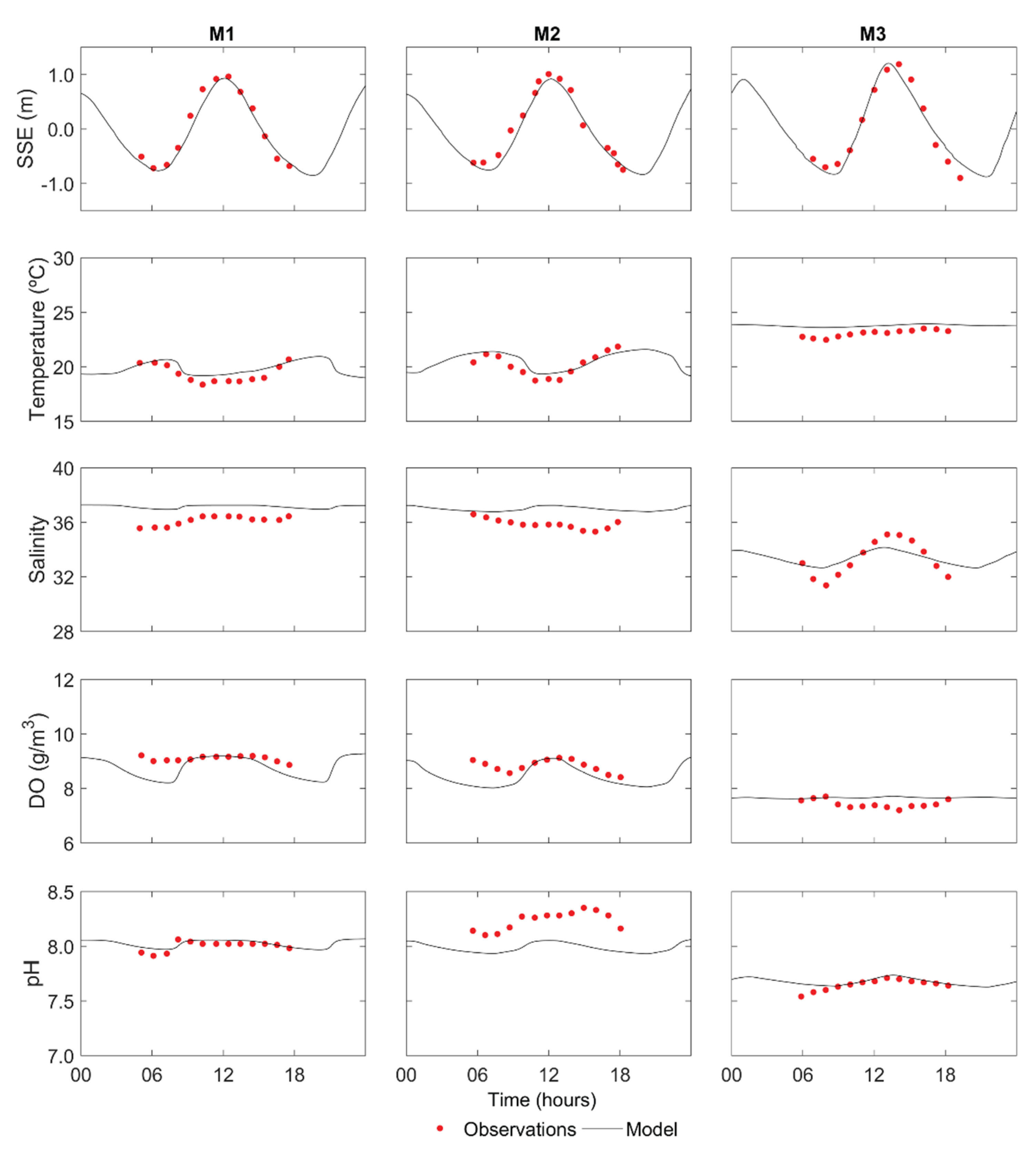
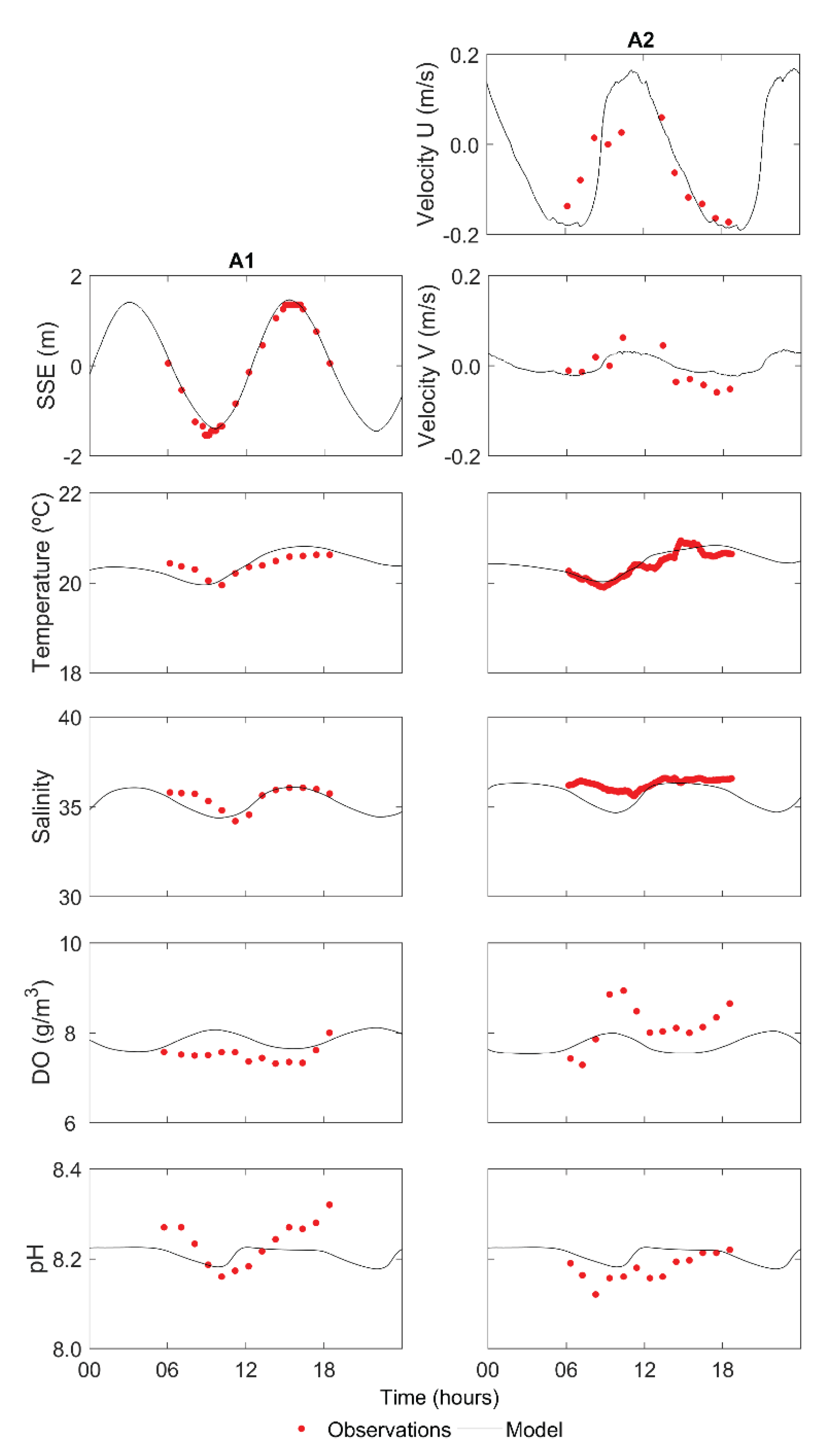
4.1. Model Calibration and Validation
4.2. Tidal Characterization
4.2.1. Tidal Constituents
4.2.2. Tidal Asymmetry and Tidal Prism
4.3. Water Renewal Timescales: Residence Time and Freshwater Fraction
4.4. Physico-Chemical Characterization
Residence Time vs. DO Variability
5. Discussion
5.1. Model Calibration and Validation
5.2. Tidal Characterization
5.2.1. Tide Propagation
5.2.2. Tidal Asymmetry and Tidal Prism
5.3. Water Renewal Time Scales
5.4. Physico-Chemical Characterization
Water Timescales Effect on the DO Variability
6. Conclusions
Author Contributions
Funding
Acknowledgments
Conflicts of Interest
References
- Brito, A.C.; Quental, T.; Coutinho, T.P.; Branco, M.A.C.; Falcão, M.; Newton, A.; Icely, J.; Moita, T. Phytoplankton dynamics in southern Portuguese coastal lagoons during a discontinuous period of 40 years: An overview. Estuar. Coast. Shelf Sci. 2012, 110, 147–156. [Google Scholar] [CrossRef]
- Mateus, M.; Almeida, D.; Simonson, W.; Felgueiras, M.; Banza, P.; Batty, L. Conflictive uses of coastal areas: A case study in a southern European coastal lagoon (Ria de Alvor, Portugal). Ocean Coast. Manag. 2016, 132, 90–100. [Google Scholar] [CrossRef]
- Xu, J.; Hood, R.R. Modeling biogeochemical cycles in Chesapeake Bay with a coupled physical-biological model. Estuar. Coast. Shelf Sci. 2006, 69, 19–46. [Google Scholar] [CrossRef]
- Xue, H.; Chai, F. Coupled physical-biological model for the Pearl River estuary: A phosphate limited subtropical ecosystem. In Proceedings of the Estuarine and Coastal Modeling (2001), Saint Petersburg, FL, USA, 5–7 November 2001; Malcolm, L.S., Ed.; American Society of Civil Engineers: Reston, VA, USA, 2002; pp. 913–928. [Google Scholar]
- Vaz, N.; Mateus, M.; Plecha, S.; Sousa, M.C.; Leitão, P.C.; Neves, R.; Dias, J.M. Modeling SST and chlorophyll patterns in a coupled estuary-coastal system of Portugal: The Tagus case study. J. Mar. Syst. 2015, 147, 123–137. [Google Scholar] [CrossRef]
- Mateus, M.; Neves, R. Evaluating light and nutrient limitation in the Tagus estuary using a process-oriented ecological model. J. Mar. Eng. Technol. 2014, 7, 43–54. [Google Scholar] [CrossRef]
- Oliveira, V.H.; Sousa, M.C.; Morgado, F.; Dias, J.M. Modelling the impact of extreme river discharge on the nutrient dynamics and dissolved oxygen in two adjacent estuaries (Portugal). J. Mar. Sci. Eng. 2019, 7, 412. [Google Scholar] [CrossRef]
- Lencart e Silva, J.D.; Azevedo, A.; Lillebø, A.I.; Dias, J.M. Turbidity under changing physical forcing over two contrasting locations of seagrass meadows. J. Coast. Res. 2013, 165, 2023–2028. [Google Scholar] [CrossRef]
- Lopes, C.L.; Azevedo, A.; Dias, J.M. Flooding assessment under sea level rise scenarios: Ria de Aveiro case study. J. Coast. Res. 2013, 165, 766–771. [Google Scholar] [CrossRef]
- Rodrigues, M.; Oliveira, A.; Queiroga, H.; Fortunato, A.B.; Zhang, Y.J. Three-dimensional modeling of the lower trophic levels in the Ria de Aveiro (Portugal). Ecol. Modell. 2009, 220, 1274–1290. [Google Scholar] [CrossRef]
- Duarte, B.; Manjate, E.; Caçador, I. Baseline survey on the accumulation of microdebris in the intertidal sediments of a reference estuarine system (Mira Estuary, Portugal). Ocean 2020, 1, 47–55. [Google Scholar] [CrossRef]
- Costa, M.J.; Catarino, F.; Bettencourt, A. The role of salt marshes in the Mira estuary (Portugal). Wetl. Ecol. Manag. 2001, 9, 121–134. [Google Scholar] [CrossRef]
- Silva, I.C.; Dinis, A.M.; Francisco, S.M.; Flores, A.A.V.; Paula, J. Longitudinal distribution and lateral pattern of megalopal settlement and juvenile recruitment of Carcinus maenas (L.) (Brachyura, Portunidae) in the Mira River Estuary, Portugal. Estuar. Coast. Shelf Sci. 2006, 69, 179–188. [Google Scholar] [CrossRef]
- Queiroga, H.; Almeida, M.; Alpuim, T.; Flores, A.; Francisco, S.; Gonzàlez-Gordillo, I.; Miranda, A.; Silva, I.; Paula, J. Tide and wind control of megalopal supply to estuarine crab populations on the Portuguese west coast. Mar. Ecol. Prog. Ser. 2006, 307, 21–36. [Google Scholar] [CrossRef]
- Almeida, D.; Neto, C.; Esteves, L.S.; Costa, J.C. The impacts of land-use changes on the recovery of saltmarshes in Portugal. Ocean Coast. Manag. 2014, 92, 40–49. [Google Scholar] [CrossRef]
- Alves, A.S.; Adão, H.; Patrício, J.; Neto, J.M.; Costa, M.J.; Marques, J.C. Spatial distribution of subtidal meiobenthos along estuarine gradients in two southern european estuaries (Portugal). J. Mar. Biol. Assoc. United Kingd. 2009, 89, 1529–1540. [Google Scholar] [CrossRef]
- Deltares, D.F. Simulation of multi-dimensional hydrodynamic flows and transport phenomena, including sediments. User Man. 2014, 684. [Google Scholar]
- Deltares, D.F. Versatile water quality modelling in 1D, 2D or 3D systems including physical, (bio)chemical and biological processes. User Man. 2020, 210. [Google Scholar]
- HIDROMOD. Available online: https://hidromod.com/home-pt/ (accessed on 2 April 2020).
- MARETEC. Available online: http://www.maretec.org/ (accessed on 2 April 2020).
- TOPEX. Available online: https://sealevel.jpl.nasa.gov/missions/topex/ (accessed on 2 April 2020).
- COPERNICUS. Available online: https://marine.copernicus.eu/ (accessed on 2 April 2020).
- SNIRH. Available online: https://snirh.apambiente.pt/ (accessed on 2 April 2020).
- ECMWF. Available online: www.ecmwf.int (accessed on 2 April 2020).
- van Rijn, L.C.; Walstra, D.-J.R.; van Ormondt, M. Unified view of sediment transport by currents and waves. IV: Application of morphodynamic. Model. J. Hydraul. Eng. 2007, 133, 776–793. [Google Scholar] [CrossRef]
- Pawlowicz, R.; Beardsley, B.; Lentz, S. Classical tidal harmonic analysis including error estimates in MATLAB using T_TIDE. Comput. Geosci. 2002, 28, 929–937. [Google Scholar] [CrossRef]
- Pugh, D.T. Changing Sea Levels: Effects of Tides, Weather and Climate; Cambridge University Press: Cambridge, UK, 2004; p. 265. [Google Scholar]
- Picado, A.; Dias, J.M.; Fortunato, A.B. Tidal changes in estuarine systems induced by local geomorphologic modifications. Cont. Shelf Res. 2010, 30, 1854–1864. [Google Scholar] [CrossRef]
- Monsen, N.E.; Cloern, J.E.; Lucas, L.V.; Monismith, S.G. A comment on the use of flushing time, residence time, and age as transport time scales. Limnol. Oceanogr. 2002, 47, 1545–1553. [Google Scholar] [CrossRef]
- Abdelrhman, M.A. Modeling how a hurricane barrier in New Bedford Harbor, Massachusetts, affects the hydrodynamics and residence time. Estuaries 2002, 25, 177–196. [Google Scholar] [CrossRef]
- Marsooli, R.; Orton, P.M.; Fitzpatrick, J.; Smith, H. Residence time of a highly urbanized estuary: Jamaica Bay, New York. J. Mar. Sci. Eng. 2018, 6, 44. [Google Scholar]
- Dyer, K.R. Estuaries: A Physical Introduction, 2nd ed.; John Wiley and Sons: London, UK, 1997; p. 210. [Google Scholar]
- Marta-Almeida, M.; Dubert, J. The structure of tides in the Western Iberian region. Cont. Shelf Res. 2006, 26, 385–400. [Google Scholar] [CrossRef]
- Vargas, C.I.C.; Vaz, N.; Dias, J.M. An evaluation of climate change effects in estuarine salinity patterns: Application to Ria de Aveiro shallow water system. Estuar. Coast. Shelf Sci. 2017, 189, 33–45. [Google Scholar] [CrossRef]
- Dias, J.M.; Valentim, J.M.; Sousa, M.C. A numerical study of local variations in tidal regime of tagus Estuary, Portugal. PLoS ONE 2013, 8, 13. [Google Scholar] [CrossRef]
- Sousa, M.C.; Ribeiro, A.S.; Des, M.; Mendes, R.; Alvarez, I.; Gomez-Gesteira, M.; Dias, J.M. Integrated high-resolution numerical model for the NW Iberian Peninsula coast and main estuarine systems. J. Coast. Res. 2018, 85, 66–70. [Google Scholar] [CrossRef]
- Vaz, L.; Frankenbach, S.; Serôdio, J.; Dias, J.M. New insights about the primary production dependence on abiotic factors: Ria de Aveiro case study. Ecol. Indic. 2019, 106, 105555. [Google Scholar] [CrossRef]
- Dronkers, J. Tidal asymmetry and estuarine morphology. Netherlands J. Sea Res. 1986, 20, 117–131. [Google Scholar] [CrossRef]
- Guo, L.; Brand, M.; Sanders, B.F.; Foufoula-Georgiou, E.; Stein, E.D. Tidal asymmetry and residual sediment transport in a short tidal basin under sea level rise. Adv. Water Resour. 2018, 121, 1–8. [Google Scholar] [CrossRef]
- Nidzieko, N.J. Tidal asymmetry in estuaries with mixed semidiurnal/diurnal tides. J. Geophys. Res. 2010, 115, 1–13. [Google Scholar] [CrossRef]
- Friedrichs, C.T.; Aubrey, D.G. Non-linear tidal distortion in shallow well-mixed estuaries: A synthesis. Estuar. Coast. Shelf Sci. 1988, 27, 521–545. [Google Scholar] [CrossRef]
- Sheldon, J.E.; Alber, M. The calculation of estuarine turnover times using freshwatre fraction and tidal prism models: A critical evaluation. Estuaries Coasts 2006, 29, 133–146. [Google Scholar] [CrossRef]
- Iriarte, A.; Aravena, G.; Villate, F.; Uriarte, I.; Ibáñez, B.; Llope, M.; Stenseth, N.C. Dissolved oxygen in contrasting estuaries of the Bay of Biscay: Effects of temperature, river discharge and chlorophyll a. Mar. Ecol. Prog. Ser. 2010, 418, 57–71. [Google Scholar] [CrossRef]
- Sampou, P.; Kemp, W.M. Factors regulating plankton community respiration in Chesapeake Bay. Mar. Ecol. Prog. Ser. 1994, 110, 249–258. [Google Scholar] [CrossRef]
- Davison, I.R. Environmental effects on algal photosynthesis: Temperature. J. Phycol. 1991, 27, 2–8. [Google Scholar] [CrossRef]
- Lange, R.; Staaland, H.; Mostad, A. The effect of salinity and temperature on solubility of oxygen and respiratory rate in oxygen-dependent marine invertebrates. J. Exp. Mar. Bio. Ecol. 1972, 9, 217–229. [Google Scholar] [CrossRef]
- Howland, R.J.M.; Tappin, A.D.; Uncles, R.J.; Plummer, D.H.; Bloomer, N.J. Distributions and seasonal variability of pH and alkalinity in the Tweed Estuary, UK. Sci. Total Environ. 2000, 251, 125–138. [Google Scholar] [CrossRef]
- Newton, A.; Oliveira, P.S.; Icely, J.D.; Foster, P.A. Monitoring of oxygen condition in the Ria Formosa coastal lagoon, Portugal. J. Environ. Monit. 2010, 12, 355–360. [Google Scholar] [CrossRef]











| Parameter | Value | Unit | |
|---|---|---|---|
| Mira | Alvor | ||
| Maximum production rate greens 1 | 2 | 3 | d−1 |
| Maintenance respiration greens 1 | 0.05 | 0.045 | d−1 |
| Growth respiration factor greens 1 | 0.15 | 0.15 | - |
| Mortality rate constant greens 1 | 0.35 | 0.35 | d−1 |
| Variable | M1 | M2 | M3 | A1 | A2 |
|---|---|---|---|---|---|
| SSE (m) | 0.13 | 0.13 | 0.16 | 0.13 | - |
| Velocity u (m/s) | - | - | - | - | 0.13 |
| Velocity v (m/s) | - | - | - | - | 0.03 |
| Water temperature (˚C) | 0.61 | 0.63 | 0.73 | 0.20 | 0.14 |
| Salinity | 1.05 | 1.21 | 0.79 | 0.45 | 0.71 |
| DO (g/m3) | 0.45 | 0.47 | 0.26 | 0.38 | 0.62 |
| pH | 0.04 | 0.26 | 0.04 | 0.05 | 0.05 |
| Mira Estuary | Ria de Alvor | ||||||||||
|---|---|---|---|---|---|---|---|---|---|---|---|
| Constituent | PM1 | PM2 | PM3 | PM4 | PA1 | PA2 | PA3 | PA4 | PA5 | PA6 | |
| Amplitude (m) | M2 | 0.64 | 0.49 | 0.51 | 0.51 | 1.00 | 1.00 | 1.00 | 0.67 | 1.00 | 0.97 |
| S2 | 0.18 | 0.13 | 0.14 | 0.14 | 0.34 | 0.34 | 0.34 | 0.31 | 0.34 | 0.32 | |
| K1 | 0.07 | 0.07 | 0.07 | 0.07 | 0.08 | 0.08 | 0.08 | 0.08 | 0.08 | 0.08 | |
| O1 | 0.05 | 0.05 | 0.05 | 0.05 | 0.06 | 0.06 | 0.06 | 0.05 | 0.06 | 0.06 | |
| M4 | 0.10 | 0.09 | 0.10 | 0.10 | 0.02 | 0.02 | 0.01 | 0.04 | 0.03 | 0.07 | |
| M6 | 0.01 | 0.01 | 0.01 | 0.02 | 0.001 | 0.004 | 0.003 | 0.009 | 0.001 | 0.017 | |
| Phase (°) | M2 | 81.8 | 121.5 | 126.5 | 128.3 | 51.9 | 54.8 | 55.2 | 57.4 | 57.0 | 61.1 |
| S2 | 115.6 | 161.5 | 166.9 | 169.1 | 88.9 | 93.0 | 93.6 | 96.9 | 96.3 | 102.3 | |
| K1 | 96.5 | 119.6 | 122.8 | 124.2 | 61.8 | 64.2 | 64.6 | 69.6 | 66.2 | 71.8 | |
| O1 | 346.9 | 7.5 | 10.3 | 11.5 | 307.6 | 310.1 | 310.6 | 316.4 | 311.9 | 317.8 | |
| M4 | 124.7 | 176.2 | 187.6 | 191.0 | 141.7 | 119.2 | 102.1 | 83.7 | 71.5 | 78.4 | |
| M6 | 349.9 | 304.4 | 326.3 | 331.8 | 130.4 | 107.0 | 118.2 | 349.8 | 101.6 | 38.0 | |
| FF | 0.15 | 0.18 | 0.18 | 0.18 | 0.10 | 0.10 | 0.10 | 0.10 | 0.10 | 0.10 | |
| Tide | Mira Estuary | Ria de Alvor | ||
|---|---|---|---|---|
| Flood | Ebb | Flood | Ebb | |
| Spring Tide | 10.65 × 106 | 5.78 × 106 | 7.84 × 106 | 8.68 × 106 |
| Neap Tide | 5.91 × 106 | 3.83 × 106 | 4.23 × 106 | 4.72 × 106 |
© 2020 by the authors. Licensee MDPI, Basel, Switzerland. This article is an open access article distributed under the terms and conditions of the Creative Commons Attribution (CC BY) license (http://creativecommons.org/licenses/by/4.0/).
Share and Cite
Picado, A.; Mendes, J.; Ruela, R.; Pinheiro, J.; Dias, J.M. Physico-Chemical Characterization of Two Portuguese Coastal Systems: Ria de Alvor and Mira Estuary. J. Mar. Sci. Eng. 2020, 8, 537. https://doi.org/10.3390/jmse8070537
Picado A, Mendes J, Ruela R, Pinheiro J, Dias JM. Physico-Chemical Characterization of Two Portuguese Coastal Systems: Ria de Alvor and Mira Estuary. Journal of Marine Science and Engineering. 2020; 8(7):537. https://doi.org/10.3390/jmse8070537
Chicago/Turabian StylePicado, Ana, Joana Mendes, Rui Ruela, João Pinheiro, and João Miguel Dias. 2020. "Physico-Chemical Characterization of Two Portuguese Coastal Systems: Ria de Alvor and Mira Estuary" Journal of Marine Science and Engineering 8, no. 7: 537. https://doi.org/10.3390/jmse8070537
APA StylePicado, A., Mendes, J., Ruela, R., Pinheiro, J., & Dias, J. M. (2020). Physico-Chemical Characterization of Two Portuguese Coastal Systems: Ria de Alvor and Mira Estuary. Journal of Marine Science and Engineering, 8(7), 537. https://doi.org/10.3390/jmse8070537

