Next Article in Journal
Analysis of Fatigue Behavior of 66 kV Dry-Type Submarine Cable for a Flexible Pull-In Installation System
Previous Article in Journal
Comparative Study of the Underwater Soundscape in Natural and Artificial Environments in the Mediterranean
 
 
Font Type:
Arial Georgia Verdana
Font Size:
Aa Aa Aa
Line Spacing:
Column Width:
Background:
Article

A New PS Operator Apex-Shifted Hyperbolic Radon Transform and Its Application in Diffraction Wave Separation

College of Geo-Exploration Science and Technology, Jilin University, Changchun 130026, China
*
Author to whom correspondence should be addressed.
J. Mar. Sci. Eng. 2026, 14(3), 242; https://doi.org/10.3390/jmse14030242
Submission received: 18 December 2025 / Revised: 14 January 2026 / Accepted: 21 January 2026 / Published: 23 January 2026
(This article belongs to the Topic Advanced Technology for Oil and Nature Gas Exploration)

Abstract

The Apex-Shifted Hyperbolic Radon Transform (ASHRT) is a variant of the Radon Transform. In the field of seismic exploration, it can be applied to simultaneous source separation, diffraction- and reflection-wave separation, seismic data reconstruction, among other purposes. This paper primarily investigates the application of ASHRT in the separation of diffraction and reflection waves. Detailed exploration of complex structures using diffraction wave imaging has become a new trend, thereby necessitating the separation of diffraction wave fields. The conventional ASHRT based on the Stolt operator, due to its weak sparsity, increasingly struggles to meet current separation requirements. Compared to conventional ASHRT, the Stolt-based ASHRT enables fast, efficient computation; however, the Stolt operator exhibits relatively weaker sparseness and fidelity. To address this issue, replacing the Stolt operator with the PS operator for performing ASHRT allows the transform to achieve both high sparseness and high fidelity simultaneously. In this study, synthetic data were used to investigate the advantages of the PS operator over the Stolt operator. Furthermore, both operators were applied to separate diffraction and reflection waves in marine seismic data and land seismic data, respectively. The research demonstrates that, in the separation of diffraction and reflection waves using the ASHRT method, the PS operator provides significant advantages over the Stolt operator in terms of both sparseness and fidelity.

1. Introduction

Against the backdrop of globally increasing demand for detailed exploration of complex geological structures, diffraction wave imaging technology is receiving growing attention. Compared to conventional reflection-based seismic imaging, diffraction imaging can overcome the limitations of the Fresnel zone and achieve super-resolution imaging results. As the foundation of diffraction imaging technology, diffraction wave separation is naturally of critical importance. Current diffraction-separation techniques often require preprocessing steps; for instance, plane-wave destruction filtering and common reflection surface stacking require post-stack data, while dip-filtering methods require common image gathers. In contrast, ASHRT can directly perform separation on shot gathers, which not only streamlines the separation process but also presents notable advantages for subsequent processing steps and quality control.
In the 1970s, the Radon transform was first applied to the field of seismic exploration by Claerbout. After more than five decades of development, the Radon transform has been widely utilized to address various challenges in seismic exploration. In standard seismic data processing workflows, using the Radon transform for multiple suppression and post-stack noise attenuation has become an effective means to enhance the quality of seismic data processing. In fact, in recent years, the Radon transform has not only been employed for noise removal and multiple suppression but has also evolved into different variants to solve other problems, such as diffraction and reflection wave separation, simultaneous source separation, de-aliasing, and seismic data reconstruction.
To improve the resolution of the Radon transform, an efficient frequency-domain sparse algorithm was proposed by Sacchi and Ulrych [1]. Over the years, inspired by this idea, researchers have introduced various methods to enhance resolution, which can be mainly categorized into time-domain algorithms [2], frequency-domain algorithms [3,4], and hybrid frequency-time-domain algorithms [5,6], among others.
The first variant of the Radon transform is the parabolic Radon transform, which was introduced by Hampson in 1986. Hampson incorporated the concept of Tikhonov regularization to stabilize the inversion of the parabolic Radon transform [7]. Subsequently, other variants of the Radon transform were proposed, including the hyperbolic Radon transform [8], the apex-shifted hyperbolic Radon transform [9], and the anisotropic Radon transform [10], among others.
The Hybrid-Domain ASHRT was proposed by Trad et al. in 2003. This method combines the advantages of the higher resolution of time-domain Radon transforms with the high computational efficiency of frequency-domain Radon transforms. Trad et al. employed sparsity-constrained inversion optimization in the time domain while introducing the Stolt operator to bypass the time-varying characteristics of ASHRT for rapid computation. This approach can significantly reduce the computational cost of ASHRT, enabling the processing of the typically massive volumes of seismic data common today. Regarding the algorithm, related research has been conducted. For instance, in 2013, Lu adopted the Fast Iterative Shrinkage-Thresholding Algorithm (FISTA) to solve sparse problems under specific norm constraints. Compared to the Iteratively Reweighted Least Squares (IRLS) method used by Trad, FISTA demonstrates overall superior performance for specific norm-constrained problems, further enhancing the computational efficiency and sparsity of the Radon transform. In 2017, Gholami and Aghamiry proposed a non-Gaussian-noise version of the iteratively re-weighted and refined least-squares algorithm. Compared to the Iteratively Re-weighted Least Squares (IRLS) algorithm, this proposed algorithm is more suitable for seismic data processing [11].
ASHRT can be considered a compressive sensing method. Within this field, the use of norm constraints for sparsity optimization has been a subject of ongoing research. Since the theoretically optimal sparsity constraint—the L0 norm—is difficult to apply in practical computation, many researchers have investigated alternatives to the L0 norm. Currently, the most widely adopted approach is to replace the L0 norm with the L1 norm. However, for problems requiring higher sparsity, the L1 norm may not provide sufficient performance. To address these issues, an improved scheme using a modified L1 norm (the capped L1 norm) as a substitute for the L0 norm was proposed by Zhang et al. in 2010 [12]; and some researchers utilized the Lq ( 0 < q < 1 ) quasi-norm to replace the L0 norm [13,14]. In recent years, research interest has shifted toward hybrid norm schemes. In 2013, the L1-2 norm, which theoretically offers better sparsity performance than the L1 norm, was proposed by Esser et al. [15]. In 2018, a generalized lp/lq norm was employed by Jia et al. to design sparse filters [16].
Since the utilization of diffracted wave information by Krey et al. in the mid-20th century [17], various methods for diffracted wave separation have been developed. Currently, several mainstream approaches exist in the field: the plane-wave decomposition method proposed by Fomel in 2002 [18], which achieves diffracted-wave separation using a local plane-wave model and predictive-error filtering techniques. In order to mitigate the impact of noise on PWD, Yu et al. (2017) introduced the concept of Tikhonov regularization [19], incorporating constraints into the iterative solution process to reduce solution non-uniqueness and enhance stability. Also in 2017, Kong et al. employed a predictive filtering approach to address the phase reversal issue encountered in PWD methods [20], thereby ensuring separation fidelity. The common-reflection-surface (CRS) method, introduced by Hubral in 1996 [21] and later applied to diffracted wave separation by Dell and Gajewski et al. [22,23]. In 2018, Waldeland et al. utilized two types of structure tensors to predict both dip and curvature. This approach enables the extraction of the three parameters of the common reflection surface (CRS) from stacked data, thereby significantly accelerating computational efficiency [24]. The dip-angle filtering method, proposed by Sava et al. [25] and subsequently refined by Biondo [26] and Li Zhengwei [27] for diffracted wave separation and imaging. In 2019, Li and Zhang constructed vertical time-shift gathers using time migration on dip-angle gathers. In these gathers, diffraction and reflection waves exhibit distinct kinematic differences, enabling separation based on such discrepancies. Subsequently, they discovered that the information within the vertical time-shift gathers could be utilized to correct the phase of diffraction waves. In 2020, through further in-depth research, they proposed an improved dip-angle gather method suitable for 3D fault imaging. In these new dip-angle gathers, the differences between reflection and diffraction waves become more pronounced, allowing for more thorough separation of the two wave types. Additionally, the morphology of diffraction waves in time slices can provide guidance on the orientation and azimuth of faults [28,29,30,31]. The singular value decomposition (SVD) method, which separates diffracted and reflected waves based on their differing coherency by decomposing a matrix into simpler matrices for data compression [32]; and the low-rank approximation method, which operates under the premise that reflected waves possess low-rank characteristics while diffracted waves act as sparse perturbations. In 2023, Chen et al. employed low-rank approximation techniques to optimize wavefield propagation operators for precise diffracted wave imaging [33].
In the application of ASHRT for diffracted wave separation, Ibrahim et al. proposed the asymptote and apex-shifted hyperbolic Radon transform (AASHRT) based on ASHRT in 2015. This method enables better focusing of both diffracted and reflected waves [34]. In the same year, Karimpouli et al. incorporated phase information into ASHRT according to the energy characteristics of diffracted waves, achieving promising diffracted wave separation results in synthetic data [35]. In 2017, Gong et al. introduced a stretched version of the Stolt operator to accommodate vertical velocity variations and conducted successful diffracted-wave separation experiments [36]. In 2018, Li et al. enhanced ASHRT using the Hilbert transform, proposing a dual-branch ASHRT to address the polarity reversal of diffracted waves on either side of the apex in the plane-wave domain, successfully separating diffracted waves in that domain [37]. In 2021, Chiu et al. proposed a method for automatically deriving mask operators in the Radon domain. Combined with norm-constrained optimization inversion, this approach effectively suppresses multiples and achieves diffracted wave separation while significantly reducing data processing time [38].
In addition to applications in de-aliasing, simultaneous source separation, multiple suppression, conventional denoising, diffracted wave separation, and seismic data interpolation, previous research has also explored other aspects of ASHRT. For example, Sabbione et al. utilized ASHRT for denoising microseismic records in 2013 [39]; Seher et al. improved ASHRT in 2020 by incorporating phase-shift extrapolation operators that account for frequency and vertical velocity variations to achieve separation of low-frequency signals and noise [40]; and in 2024, Cheng et al. employed deep learning methods to implement ASHRT [41].
In summary, this study focuses on improving the diffraction wave separation based on ASHRT. Due to interpolation mapping and fixed velocity, the Stolt-based ASHRT often exhibits weak sparsity, making it inadequate for meeting the requirements of diffraction wave separation in seismic exploration under complex geological conditions. The use of the PS operator can circumvent the interpolation mapping issue, yielding sparser Radon transform results that better adapt to the demands of diffraction wave separation in complex seismic exploration. Moreover, compared to other separation techniques, ASHRT can directly perform separation on shot gathers, offering a simpler workflow and lower data requirements.

2. Materials and Methods

2.1. Stolt-Based-ASHRT

ASHRT, a variant of the Radon transform, is designed to focus hyperbolas in an image to their apex positions. The separation of diffraction and reflection waves using ASHRT relies on a key kinematic difference. Under general conditions, the apex positions of diffraction waves differ from those of reflection waves. ASHRT utilizes this distinct characteristic to achieve wavefield separation.
ASHRT can separate diffraction waves in shot gathers. Its fundamental principle is illustrated in Figure 1.
Generally, the mathematical expression of ASHRT in the time-space domain is expressed as follows:
m ( τ , x a , p ) = d t = τ 2 + p 2 ( x x a ) 2 , x d x
d ( t , x ) = m ( τ = t 2 p 2 ( x x a ) 2 , x a , p ) d x a ,
where, p is slowness, τ is the time coordinate of hyperbola apex; t is time; x is offset; d is seismic record; m is the Radon panel; x a is the horizontal coordinate of hyperbola apex. Equation (1) is the forward transform and Equation (2) is the inverse transform.
It can be seen from Equation (1) that the Radon domain obtained by ASHRT has three dimensions: the hyperbolic apex offset, the corresponding apex time, and slowness. If calculations are performed directly according to Equation (1), considering that iterative algorithms need to be used subsequently to address the non-orthogonality of the Radon transform, the computational and storage costs required for the entire process would be extremely high. For ASHRT to be practically applicable in seismic data processing, reducing computational costs is essential. However, as evident from Equation (1), ASHRT is time-variant, meaning a direct mapping relationship between seismic records and the Radon domain cannot be established in the frequency domain for fast computation. To solve this problem, the Stolt-based-ASHRT was proposed. This involves fixing the slowness, thereby enabling the implementation of ASHRT using a constant-velocity Stolt migration operator.
The Stolt migration operator is a classical migration algorithm. Under the assumption of constant velocity, it can establish a mapping relationship between the frequency-wavenumber domain and the vertical wavenumber-horizontal wavenumber domain, thereby enabling fast computation using the Fast Fourier Transform.
Yilmaz proposed that the surface seismic record d ( t , x ) and the estimated Radon model m ˜ ( τ , x a , p ) are directly related by the following mapping relationship [42]:
m ˜ ( τ , x a , p ) = d ( ω , k x ) exp [ i k x x i ω τ ( p ) τ ] d ω d k x
Here, d ( ω , k x ) is the Fourier dual of the seismic record d , and ω τ is the Fourier dual of τ . Based on the wave equation, the following dispersion relation can be derived:
ω τ = ω 2 k x p 2
Substituting Equation (4) into Equation (3), Equation (3) can then be written as Equation (5).
m ˜ ( τ , x a , p ) = C d ω = ω τ 2 + k x / p 2 , k x exp [ i k x x i ω τ ( p ) τ ] d ω τ d k x
In Equation (5), ( C = ω τ / ω ) is the scaling factor, whose role is to control the magnitude variation and maintain consistent energy levels. As can be seen from Equation (5), it exhibits a form similar to the Fourier transform. If d in Equation (5) can be mapped from the ( ω k x ) domain to the ( ω τ k x ) domain, then the Fast Fourier Transform (FFT) can be employed for rapid computation. In practical operations, the spectral mapping between the two is achieved through linear interpolation, which significantly reduces computational costs. The strong non-orthogonality introduced by the interpolation can subsequently be mitigated through optimization algorithms in the iterative process.
Similar to the derivation of the forward transform, the mathematical expression for the Stolt-based-ASHRT inverse transform can be obtained as follows:
d ( t , x ) = m ω τ = ω 2 k x / p 2 , k x , p exp [ i k x x + i ω t ] d ω d k x d p

2.2. PS-Based-ASHRT

Compared to the Stolt operator, which uses interpolation to approximate precise spectral mapping, the Phase Shift (PS) operator offers better sparseness and higher precision. The PS operator performs extrapolation in the depth domain based on the exploding reflector principle. However, for the Radon transform, a time-domain PS operator is required.
Considering the two-dimensional frequency-domain wave equation:
k x 2 P + k z 2 P = ω 2 ν 2 P
Here, k x and k z are the horizontal and vertical wavenumbers, respectively, P is the frequency-domain wavefield, v is the medium velocity, and ω is the frequency. From Equation (7), the dispersion relationship between the two wavenumbers can be obtained as follows:
k z = ω 2 ν 2 k x 2 .
So,
P z = ± i k z P = ± i P ω 2 ν 2 k x 2 .
Solving Equation (9), considering only the up-going wave, and setting Δ z = v Δ t , the time-domain PS operator is obtained as follows:
P ( t + Δ t , k x , ω ) = P ( t , k x , ω ) exp ( i k z ν Δ t ) .
Finally, by applying the post-stack migration imaging condition, the Radon domain result can be obtained.
In summary, the workflow for the PS-based-ASHRT forward transform is derived as Figure 2.
Correspondingly, by utilizing the sprinkling operator [43], the inverse transform procedure of the PS-based-ASHRT can be obtained (see Figure 3).

2.3. Method

To facilitate the application of the Radon transform to linear optimization problems, the Radon transform is generally expressed in the following form.
m = L T d
d = L m
Here, L represents the operator for the Radon inverse transform, and L T represents the operator for the Radon forward transform. It is important to note that the forward and inverse transform operators are not strict mathematical transposes of each other.
Due to the strong non-orthogonality inherent in the Radon forward and inverse transforms, the least-squares formulation is generally employed for inversion to ensure data fidelity before and after the transformation:
min x 1 2 L m d 2 2
For diffraction wave separation, sparser Radon-domain data leads to cleaner separation. Therefore, norm constraints are employed to reduce solution multiplicity and obtain sparser results, formulating the optimization problem as:
min x 1 2 L m d 2 2 + λ φ ( m )
Here, φ ( m ) is the added constraint term. This constraint term is not unique. Depending on specific requirements, different constraint terms can be added. The purpose is to guide the solution of the objective function closer to the ideal outcome.Strictly speaking, the L0 norm has been proven to be the sparsest constraint. However, solving L0 norm-constrained problems encounters NP-hard difficulties, meaning L0 norm optimization is nearly intractable in practical applications. To address this issue, the L1 norm is typically used as a substitute for the L0 norm in constraints.
Regarding the algorithmic approach, the Fast Iterative Shrinkage-Thresholding Algorithm (FISTA) is employed to solve the L1 norm-constrained optimization problem. The FISTA algorithm used in this paper is based on the Majorization-Minimization (MM) principle and Landweber iteration. For Equation (14), the following function can be constructed to find its minimum:
G k ( m ) = 1 2 d L m ( k ) 2 2 + λ m 1 + m m ( k ) T ( β I L T L ) ( m m ( k ) )
In the equation, λ is the regularization parameter that controls the sparsity. Generally, it is recommended to keep λ within the range of 0 to 0.01 to avoid excessive sparsity, which could lead to significant loss of information. β should theoretically be greater than the maximum eigenvalue of L T L . For normalized data, it is suggested that β > 50. In terms of its function, β is inversely related to the iteration step size—the larger β is, the smaller the iteration step becomes; k is the iteration number, and I is the unit matrix. Equation (15) can be simplified to the following:
G k ( m ) = 1 2 β m ( k ) + 1 β L T d L m ( k ) m 2 2 + λ ( m 1 ) + C
In the Equation (16), C is the constant term. Writing Equation (16) in discrete form yields the following:
G k ( m ) = i 1 2 β m i ( k ) + L T d L m ( k ) i β m i 2 + λ | m i | + C
The constant term C in Equation (17) has no effect on the subsequent differentiation operations and can therefore be neglected. To simplify the notation, set
z ( k ) = L T d L m ( k )
Then the expression within the parentheses of Equation (17) can be represented as follows:
g ( m ) = 1 2 β m i ( k ) + z i ( k ) β m i 2 + λ | m i |
Taking the partial derivative of Equation (20) with respect to m and finding its minimum yields the following:
g m = 0
Simplifying Equation (20) yields the following:
m i = m i ( k ) + z i ( k ) β λ β s i g n ( m i )
This is essentially a soft-thresholding function, which is represented as the soft function:
s o f t ( a , b ) = sign ( a ) · | a | b + c + = c , i f : z 0 0 , i f : z < 0
Thus, the iterative optimization scheme for ASHRT inversion under L1 norm constraints can be derived as follows:
m ( k + 1 ) = s o f t m ( k ) + z ( k ) β y ( k ) β , λ β
In summary, the workflow for inverting ASHRT using the L1-norm-constrained FISTA algorithm is as follows: Algorithm 1.
Algorithm 1 The process of the FISTA algorithm with L1 norm constraint.
  •      INPUT : d , k max , λ , β
  •      OUTPUT : m k
  •     1:    m 0 = L d
  •     2:    y 0 = m 0
  •     3:    t 0 = 1 , k = 0
  •     4:    while k k max ,   do
  •     5:       Δ d = d L m k
  •     6:       m k + 1 = s o f t m k + L T Δ d β , λ β
  •     7:       t k + 1 = 1 + 1 + 4 t k 2 2
  •     8:       y k = m k + 1 + t k 1 t k + 1 ( m k + 1 m k )
  •     9:    end do
In Algorithm 1, k m a x is the maximum number of iterations, used to reliably terminate the iterative process.

3. Numerical Experiments

A simple numerical simulation dataset was used to validate the advantages of the PS-based-ASHRT. The data were numerically simulated in a non-uniform half-space model, with a time sampling interval of 0.0044 s, a record length of 1.76 s, a trace interval of 5 m, and comprising 321 traces. The seismic record and the Radon domain results transformed using the two operators (PS and Stolt) are shown in Figure 4.
As can be seen from the basic principle of ASHRT for diffraction wave separation illustrated in Figure 1, the strength of sparsity in the Radon domain is crucially related to the effectiveness of diffraction wave separation. A sparser Radon domain leads to cleaner separation of diffraction waves. Figure 4 shows that the sparsity of the PS-based-ASHRT is significantly stronger than that of the Stolt-based-ASHRT.
Considering that the energy of diffraction waves is typically one to three orders of magnitude weaker than that of reflection waves, the fidelity of the data before and after transformation becomes particularly important. Although in a general sense, stronger sparsity often implies lower fidelity, compared to the Stolt operator, which introduces errors through interpolated mapping, the PS operator achieves improvements in both fidelity and sparsity.
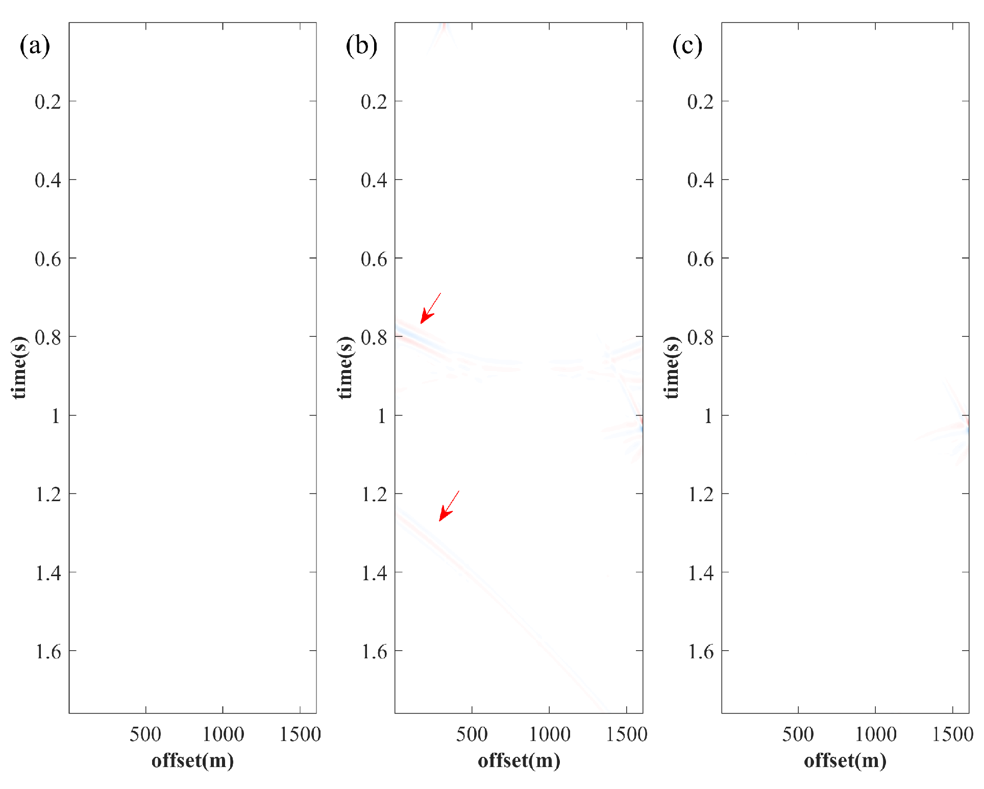
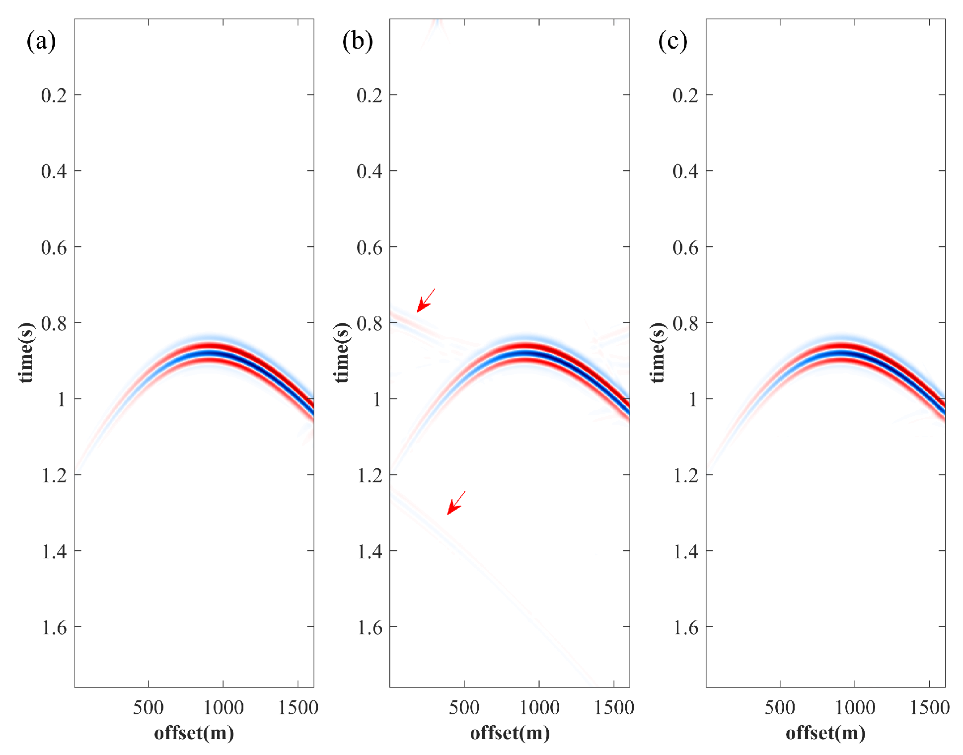
As shown in Figure 5 and Figure 6, compared to the Stolt-based-ASHRT, the PS-based-ASHRT exhibits higher fidelity and does not introduce the noise artifacts indicated by the red arrows in Figure 5 and Figure 6, which are associated with the Stolt operator.
Figure 7 presents a single-trace comparison between the original seismic data and the data reconstructed via inverse transformation using the two operators. It can be observed that, compared to the Stolt operator, the inverse transformation result of the PS operator more closely approximates the original data, demonstrating higher fidelity, less noise, and fewer disturbances.
Simultaneously, the fidelity is quantitatively characterized by the signal-to-noise ratio defined in Equation (24):
SNR = 10 log 10 d 2 2 d d ^ 2 2
According to Equation (24), the calculated signal-to-noise ratios for the aforementioned model under the two operators are 17.45 dB (Stolt operator) and 25.72 dB (PS operator), respectively. From a quantitative analysis perspective, the PS operator demonstrates a significant improvement in fidelity compared to the Stolt operator.
In conclusion, under the constant-velocity assumption, the PS operator exhibits markedly higher sparsity and fidelity than the Stolt operator.
Furthermore, compared to the Stolt operator, which relies on a constant-velocity assumption, the PS operator offers the additional advantage of accommodating vertically varying velocities. Similar to other migration methods, the PS operator can utilize a smoothed velocity model to focus hyperbolic events with different velocities at different times. Earlier researchers attempted to modify the Stolt operator—for example, by creating a stretched version to accommodate vertical velocity variations. However, even these modified operators still exhibit notable limitations. For instance, they typically require velocity to change gradually with depth. Moreover, the fidelity of these variable-velocity Stolt operators is generally inferior to that of the constant-velocity version (often due to the trade-off with high sparsity). Therefore, these variants will not be discussed in further detail here.

4. Processing of Field Seismic Data

Compared to synthetic data, actual seismic data are more complex and exhibit a lower signal-to-noise ratio. A marine seismic dataset with pronounced diffraction energy is used to demonstrate the suitability of the PS operator for complex seismic data. This dataset has a trace interval of 12.5 m, a time sampling interval of 0.002 s, and a record length of 10 s. The dataset has undergone normalization processing.
Compared to Figure 8b and Figure 8c exhibits significantly higher sparsity, with energy clusters being more concentrated and the reverse hyperbolic energy clusters suppressed. For the separation of diffraction and reflection waves, Figure 8c demonstrates a clear advantage, with a more distinct separation boundary and better separation effectiveness.
The aforementioned marine seismic data were processed for diffraction and reflection wave separation using the two operators, with the separation results presented in Figure 9 and Figure 10, respectively. Comparing the separation effectiveness of the two operators in Figure 9 and Figure 10, the PS-based-ASHRT shows markedly better performance than the Stolt-based-ASHRT in separating both reflection and diffraction waves, achieving cleaner separation and more distinct energy.
The PS operator is not only suitable for marine seismic data but also performs well with conventional land seismic exploration. A land seismic dataset will be used to demonstrate the applicability of the PS operator. This dataset has a trace interval of 40 m, a time sampling interval of 0.004 s, and a record length of 6 s. The dataset has undergone normalization processing. It is worth noting that this data was acquired under complex geological settings and contains substantial noise, having undergone only basic denoising procedures. The separation of diffraction and reflection waves was performed on this seismic data using the Stolt operator and the PS operator, respectively, with the results presented in Figure 10 and Figure 11.
Similar to marine seismic data, the PS operator also demonstrates clear advantages in processing land seismic data. The two examples above illustrate the adaptability and effectiveness of the PS-based-ASHRT.
Correspondingly, fidelity is also a crucial metric in diffraction wave separation. Methods like ASHRT are based on the “focus–mute–defocus” principle. This raises a significant industry concern: the signal distortion introduced when data is focused and then unfocused. The fidelity results of the two aforementioned real seismic datasets after processing with the two operators are presented in Table 1.
To more clearly demonstrate the differences between the two operators, the inverse focusing results and residuals for both operators are presented in Figure 12, Figure 13, Figure 14, Figure 15 and Figure 16. Specifically, the inverse focusing results and residuals for the land seismic data are shown in Figure 13 and Figure 14, while those for the marine seismic data are shown in Figure 15 and Figure 16.
The imaging results of the PS operator are relatively sensitive to the velocity model, and artifacts often arise in complex velocity models. In constant-velocity models, the artifacts from the PS operator are significantly reduced. Therefore, we propose the following technical approach: When velocity variations are minor, a constant low velocity can be used to approximate the entire model. When velocity variations are substantial, the time-stretched version of the Stolt operator can be used: The time axis is smoothly stretched, and a constant velocity is then applied to perform ASHRT. This strategy greatly reduces the artifact problem associated with the PS operator and enhances the stability of ASHRT. Only the stacking velocity is required for the velocity model. This is because, in practice, when using ASHRT to separate diffraction and reflection waves, it is sufficient to ensure that the reflection waves are adequately focused. Even if the diffraction waves are not perfectly focused, the reflection waves can still be effectively separated, thereby enabling the extraction of the diffraction waves. The same principle can also guide the selection of the apex shift range during separation.

5. Conclusions and Discussion

In this study, the PS operator was employed to replace the Stolt operator for implementing ASHRT, thereby circumventing the issues of low sparsity and low fidelity associated with linearly interpolated spectral mapping in the Stolt operator. The feasibility of the PS operator was validated using synthetic data. Furthermore, experiments on separating diffraction and reflection waves were conducted using the PS-based ASHRT on both marine and land seismic data. The experimental results demonstrate that the PS-based-ASHRT holds a clear advantage over the Stolt-based-ASHRT for diffraction wave separation, enabling effective separation of diffraction and reflection waves in shot gathers.
Although PS-based ASHRT demonstrates significant advantages over Stolt-based ASHRT in terms of fidelity and sparsity, it is not without its limitations. In terms of computational cost, the Stolt operator holds a substantial advantage over the PS operator. This is because the PS operator requires phase-shift calculations for each time sample, whereas the Stolt operator only needs to perform a single linear interpolation to compute all time samples. Consequently, as the number of time samples increases, the computational cost difference between the two becomes more pronounced. For applications involving large-scale seismic data, PS-based ASHRT still faces the challenge of high computational costs. These costs are reflected not only in computation time but also in memory requirements. The intermediate variables required for PS operator calculations have a dimensionality one level higher than those of the Stolt operator. While the additional memory cost of processing a single-shot gather may seem negligible, it becomes substantially higher in parallel or cluster computing environments.
Regarding adaptability to vertical velocity variations, PS-based ASHRT theoretically offers better performance compared to the time-stretched version of Stolt-based ASHRT. When vertical velocity changes are gradual, the PS operator can still exhibit better sparsity than the time-stretched Stolt operator. However, when velocity variations are severe, the PS operator can also generate artifacts, leading to incomplete separation. In such cases, the difference in sparsity between the two methods becomes less meaningful for diffraction wave separation.
Due to computational constraints, we did not perform full-scale wavefield separation across the entire large seismic dataset, suggesting that PS-based ASHRT may still have certain limitations. However, we randomly selected individual shot gathers from different large seismic datasets for related experiments. The experimental results were consistent with the findings presented in this study, indicating that PS-based ASHRT demonstrates satisfactory stability and applicability.
It is noteworthy that ASHRT (not limited to PS-based ASHRT) can achieve favorable results in seismic records where the events generally resemble hyperbolas. However, under certain specific conditions—such as significant static correction errors, excessively strong surface wave energy, unattenuated abnormal amplitudes, or highly irregular acquisition geometry—the sparsity of ASHRT can be substantially reduced, and separation results cannot be guaranteed in such cases. Moreover, for diffraction waves whose apexes lie close to those of reflection waves, removal based solely on 2D ASHRT is challenging, but it can be accomplished using 3D ASHRT by leveraging velocity differences.
In summary, while PS-based ASHRT offers greater theoretical advantages and better separation performance, its current application is constrained by computational costs. Significant challenges remain for its use with large-scale seismic data and in the implementation of 3D ASHRT.

Author Contributions

Z.C. served as the lead researcher, conceiving the core ideas and overseeing the entire research process. X.G. played a pivotal role in the experimental design and data collection phases, ensuring the accuracy and reliability of the empirical evidence. G.P. was instrumental in the data analysis and interpretation, leveraging his expertise to extract meaningful insights from the complex datasets. Z.W. contributed significantly to the literature review and the construction of the theoretical framework, providing a solid foundation for the study. X.L. was responsible for the technical implementation, including the development and optimization of the experimental setup. Z.X. provided invaluable assistance in manuscript preparation, refining the language and ensuring the clarity and coherence of the final presentation. Together, their collaborative efforts culminated in this significant contribution to the field of engineering. All authors have read and agreed to the published version of the manuscript.

Funding

The authors thank the anonymous reviewers for their valuable suggestions. This research was supported by Deep Earth Probe and Mineral Resources Exploration, National Science and Technology Major Project (2024ZD1004101), and the National Natural Science Foundation of China (42074151; 42274164).

Data Availability Statement

The original contributions presented in this study are included in the article material. Further inquiries can be directed to the corresponding author.

Acknowledgments

During the preparation of this manuscript, the author used DeepSeek v3.2 for text translation. The authors have reviewed and edited the generated content and take full responsibility for the content of this publication.

Conflicts of Interest

The authors declare no conflict of interest.

References

  1. Sacchi, M.D.; Ulrych, T.J. High-resolution velocity gathers and offset space reconstruction. Geophysics 1995, 60, 1169–1177. [Google Scholar] [CrossRef]
  2. Schonewille, M.; Aaron, P. Applications of time-domain high-resolution Radon demultiple. ASEG Ext. Abstr. 2007, 2007, 2565–2569. [Google Scholar] [CrossRef]
  3. Chen, Z.; Lu, W. Non-iterative high resolution Radon transform. In Proceedings of the 73rd EAGE Conference and Exhibition Incorporating SPE EUROPEC 2011, Vienna, Austria, 23–27 May 2011; European Association of Geoscientists & Engineers: Bunnik, The Netherlands, 2011; p. cp-238. [Google Scholar] [CrossRef]
  4. Sacchi, M.D.; Porsani, M. Fast High Resolution Parabolic Radon Transform. In Proceedings of the 1999 SEG Annual Meeting, Houston, TX, USA, 31 October–5 November 1999; pp. 1477–1480. [Google Scholar] [CrossRef]
  5. Trad, D.; Ulrych, T.; Sacchi, M. Latest views of the sparse Radon transform. Geophysics 2003, 68, 386–399. [Google Scholar] [CrossRef]
  6. Lu, W. An accelerated sparse time-invariant Radon transform in the mixed frequency-time domain based on iterative 2D model shrinkage. Geophysics 2013, 78, V147–V155. [Google Scholar] [CrossRef]
  7. Hampson, D. Inverse Velocity Stacking for Multiple Elimination. In Proceedings of the 1986 SEG Annual Meeting, Houston, TX, USA, 2–6 November 1986; pp. 422–424. [Google Scholar] [CrossRef]
  8. Yuanqin, L.; Youfu, D. Hyperbola Radon transform and its application in seismic data processing. J. Jianghan Pet. Inst. 1990, 12, 16–20. (In Chinese) [Google Scholar]
  9. Hargreaves, N.; verWest, B.; Wombell, R.; Trad, D. Multiple attenuation using an apex-shifted Radon transform. In Proceedings of the Offshore Technology Conference, Houston, TX, USA, 3–6 May 2004; p. SEG-2003. [Google Scholar] [CrossRef]
  10. Xiang-Bo, G.; Li-Guo, H.; Hong-Jian, L. Anisotropic Radon transform and its application to demultiple. Chin. J. Geophys. 2014, 57, 640–649. [Google Scholar] [CrossRef]
  11. Gholami, A.; Aghamiry, H.S. Iteratively re-weighted and refined least squares algorithm for robust inversion of geophysical data. Geophys. Prospect. 2017, 65, 201–215. [Google Scholar] [CrossRef]
  12. Zhang, T. Analysis of multi-stage convex relaxation for sparse regularization. J. Mach. Learn. Res. 2010, 11, 1081–1107. [Google Scholar] [CrossRef]
  13. Wei, X.; Sun, J. Uncertainty analysis of joint inversion using mixed Lp-norm regularization. In Proceedings of the SEG Technical Program Expanded Abstracts 2020, Virtual, 11–16 October 2020; pp. 925–929. [Google Scholar] [CrossRef]
  14. Chen, Y.; Peng, Z.; Gholami, A.; Yan, J.; Li, S. Seismic signal sparse time–frequency representation by Lp-quasinorm constraint. Digit. Signal Process. 2019, 87, 43–59. [Google Scholar] [CrossRef]
  15. Esser, E.; Lou, Y.; Xin, J. A method for finding structured sparse solutions to nonnegative least squares problems with applications. SIAM J. Imaging Sci. 2013, 6, 2010–2046. [Google Scholar] [CrossRef]
  16. Jia, X.; Zhao, M.; Di, Y.; Li, P.; Lee, J. Sparse filtering with the generalized lp/lq norm and its applications to the condition monitoring of rotating machinery. Mech. Syst. Signal Process. 2018, 102, 198–213. [Google Scholar] [CrossRef]
  17. Krey, T. The significance of diffraction in the investigation of faults. Geophys. Prospect. 1961, 9, 77–92. [Google Scholar] [CrossRef]
  18. Fomel, S. Applications of plane-wave destruction filters. Geophysics 2002, 67, 1946–1960. [Google Scholar] [CrossRef]
  19. Yu, C.; Wang, Y.; Zhao, J. A seismic diffraction extraction method for the study of discontinuous geologies using a regularisation algorithm. Explor. Geophys. 2017, 48, 49–55. [Google Scholar] [CrossRef]
  20. Kong, X.; Wang, D.Y.; Li, Z.C.; Zhang, R.X.; Hu, Q.Y. Diffraction separation by plane-wave prediction filtering. Appl. Geophys. 2017, 14, 399–405. [Google Scholar] [CrossRef]
  21. Hubral, P.; Tygel, M.; Schleicher, J. Seismic image waves. Geophys. J. Int. 1996, 125, 431–442. [Google Scholar] [CrossRef]
  22. Dell, S.; Gajewski, D. Common-reflection-surface-based workflow for diffraction imaging. Geophysics 2011, 76, S187–S195. [Google Scholar] [CrossRef]
  23. Dell, S.; Hoelker, A.; Gajewski, D. Using seismic diffractions for assessment of tectonic overprint and fault interpretation. Geophysics 2019, 84, IM1–IM9. [Google Scholar] [CrossRef]
  24. Waldeland, A.U.; Zhao, H.; Faccipieri, J.H.; Schistad Solberg, A.H.; Gelius, L.J. Fast and robust common-reflection-surface parameter estimation. Geophysics 2018, 83, O1–O13. [Google Scholar] [CrossRef]
  25. Sava, P.C.; Fomel, S. Angle-domain common-image gathers by wavefield continuation methods. Geophysics 2003, 68, 1065–1074. [Google Scholar] [CrossRef]
  26. Biondo, B.; Symes, W.W. Angle-domain common-image gathers for migration velocity analysis by wavefield-continuation imaging. In Prestack Depth Migration and Velocity Model Building; Society of Exploration Geophysicists: Houston, TX, USA, 2008. [Google Scholar] [CrossRef]
  27. Li, Z.W.; Zhang, J.F.; Liu, W. Diffraction imaging using dip-angle and offset gathers. Chin. J. Geophys. 2018, 61, 1447–1459. (In Chinese) [Google Scholar] [CrossRef]
  28. Li, Z.; Zhang, J. 3D diffraction imaging with Kirchhoff time migration using vertical traveltime difference gathers. Geophysics 2019, 84, S555–S566. [Google Scholar] [CrossRef]
  29. Li, Z.; Zhang, J. Imaging 3-D faults using diffractions with modified dip-angle gathers. Geophys. J. Int. 2020, 220, 1569–1584. [Google Scholar] [CrossRef]
  30. Zhang, J.; Zhang, J. Diffraction imaging using shot and opening-angle gathers: A prestack time migration approach. Geophysics 2014, 79, S23–S33. [Google Scholar] [CrossRef]
  31. Zhang, J.; Li, Z.; Liu, L.; Wang, J.; Xu, J. High-resolution imaging: An approach by incorporating stationary-phase implementation into deabsorption prestack time migration. Geophysics 2016, 81, S317–S331. [Google Scholar] [CrossRef]
  32. Wei, W.; Gao, H.; Liu, Z. Separation and imaging of seismic diffractions using singular value decomposition. Geophys. Prospect. Pet. 2020, 59, 236–241. [Google Scholar] [CrossRef]
  33. Chen, W.; Oboué, Y.A.S.I.; Saad, O.M.; Yang, L.; Wang, H.; Chen, Y. Imaging point diffractors using a low-rank approximation method. Geophysics 2023, 88, N47–N58. [Google Scholar] [CrossRef]
  34. Ibrahim, A.; Terenghi, P.; Sacchi, M.D. Wavefield Reconstruction using a Stolt-Based Asymptote and Apex Shifted Hyperbolic Radon Transform 2015. In Proceedings of the 2015 SEG Annual Meeting, New Orleans, LA, USA, 18–23 October 2015; p. SEG–2015–5873567. [Google Scholar] [CrossRef]
  35. Karimpouli, S.; Malehmir, A.; Hassani, H.; Khoshdel, H.; Nabi-Bidhendi, M. Automated diffraction delineation using an apex-shifted Radon transform. J. Geophys. Eng. 2015, 12, 199–209. [Google Scholar] [CrossRef]
  36. Gong, X.; Yu, C.; Wang, Z. Separation of prestack seismic diffractions using an improved sparse apex-shifted hyperbolic Radon transform. Explor. Geophys. 2017, 48, 476–484. [Google Scholar] [CrossRef]
  37. Li, C.; Peng, S.; Zhao, J.; Cui, X.; Du, W.; Satibekova, S. Polarity-preserved diffraction extracting method using modified apex-shifted Radon transform and double-branch Radon transform. J. Geophys. Eng. 2018, 15, 1991–2000. [Google Scholar] [CrossRef]
  38. Chiu, S.K.; Latchman, J.; Cvetkovic, M.; Saunders, M. Attenuation of complex diffracted multiples with an automatic masking operator. In Proceedings of the SEG International Exposition and Annual Meeting, Denver, CO, USA, 26 September–1 October 2021; SEG: Amsterdam, The Netherlands, 2021; p. D011S122R004. [Google Scholar] [CrossRef]
  39. Sabbione, J.I.; Velis, D.R.; Sacchi, M.D. Microseismic data denoising via an apex-shifted hyperbolic Radon transform. In SEG Technical Program Expanded Abstracts 2013; SEG: Houston, TX, USA, 2013; pp. 2155–2161. [Google Scholar] [CrossRef]
  40. Seher, T.; Kazanin, G.; Du, X. Noise Attenuation with an Apex Shifted Hyperbolic Radon Transform Using Migration Operators for Vertical Velocity Variations. In Proceedings of the EAGE 2020 Annual Conference & Exhibition Online. European Association of Geoscientists & Engineers, Online, 8–11 December 2020; Volume 2020, pp. 1–5. [Google Scholar] [CrossRef]
  41. Cheng, Q.; Gong, X.; Hu, B.; Zhu, H.; Cao, Z. Seismic Data Sparse Representation Using Swin Transformers. IEEE Geosci. Remote Sens. Lett. 2024, 22, 7501905. [Google Scholar] [CrossRef]
  42. Yilmaz, Ö. Seismic Data Analysis: Processing, Inversion, and Interpretation of Seismic Data; Society of Exploration Geophysicists: Houston, TX, USA, 2001. [Google Scholar]
  43. Claerbout, J.F. Imaging the Earth’s Interior; Blackwell Scientific Publications: Oxford, UK, 1985; Volume 1. [Google Scholar]
Figure 1. The Basic Principle of ASHRT for Diffraction Wave Separation.
Figure 1. The Basic Principle of ASHRT for Diffraction Wave Separation.
Jmse 14 00242 g001
Figure 2. The workflow for the PS-based-ASHRT forward transform.
Figure 2. The workflow for the PS-based-ASHRT forward transform.
Jmse 14 00242 g002
Figure 3. The workflow for the PS-based-ASHRT inverse transform.
Figure 3. The workflow for the PS-based-ASHRT inverse transform.
Jmse 14 00242 g003
Figure 4. Comparison of ASHRT results using the two operators: (a) Seismic record, (b) Stolt-based-ASHRT, (c) PS-based-ASHRT.
Figure 4. Comparison of ASHRT results using the two operators: (a) Seismic record, (b) Stolt-based-ASHRT, (c) PS-based-ASHRT.
Jmse 14 00242 g004
Figure 5. Comparison of the inverse transform results using the two operators: (a) seismic record, (b) inverse transform result based on the Stolt operator, (c) inverse transform result based on the PS operator.The red arrows indicate the introduced noise of Stolt operator.
Figure 5. Comparison of the inverse transform results using the two operators: (a) seismic record, (b) inverse transform result based on the Stolt operator, (c) inverse transform result based on the PS operator.The red arrows indicate the introduced noise of Stolt operator.
Jmse 14 00242 g005
Figure 6. Comparison of residuals from the two operators: (a) control group, (b) Stolt operator, (c) PS operator. The red arrows indicate the introduced noise of Stolt operator.
Figure 6. Comparison of residuals from the two operators: (a) control group, (b) Stolt operator, (c) PS operator. The red arrows indicate the introduced noise of Stolt operator.
Jmse 14 00242 g006
Figure 7. Single-trace comparison of data after inverse transformation using the two operators.
Figure 7. Single-trace comparison of data after inverse transformation using the two operators.
Jmse 14 00242 g007
Figure 8. Transformation results of the marine seismic data using the two operators: (a) seismic record, (b) Stolt operator, (c) PS operator.
Figure 8. Transformation results of the marine seismic data using the two operators: (a) seismic record, (b) Stolt operator, (c) PS operator.
Jmse 14 00242 g008
Figure 9. Diffraction waves separated by ASHRT based on the two operators(marine seismic data): (a) seismic record; (b) diffraction waves separated by Stolt-based-ASHRT; (c) diffraction waves separated by PS-based-ASHRT.
Figure 9. Diffraction waves separated by ASHRT based on the two operators(marine seismic data): (a) seismic record; (b) diffraction waves separated by Stolt-based-ASHRT; (c) diffraction waves separated by PS-based-ASHRT.
Jmse 14 00242 g009
Figure 10. Reflection waves separated by ASHRT based on the two operators(marine seismic data): (a) seismic record; (b) reflection waves separated by Stolt-based-ASHRT; (c) reflection waves separated by PS-based-ASHRT.
Figure 10. Reflection waves separated by ASHRT based on the two operators(marine seismic data): (a) seismic record; (b) reflection waves separated by Stolt-based-ASHRT; (c) reflection waves separated by PS-based-ASHRT.
Jmse 14 00242 g010
Figure 11. Diffraction waves separated by ASHRT based on the two operators(land seismic data): (a) seismic record; (b) diffraction waves separated by Stolt-based-ASHRT; (c) diffraction waves separated by PS-based-ASHRT.
Figure 11. Diffraction waves separated by ASHRT based on the two operators(land seismic data): (a) seismic record; (b) diffraction waves separated by Stolt-based-ASHRT; (c) diffraction waves separated by PS-based-ASHRT.
Jmse 14 00242 g011
Figure 12. Reflection waves separated by ASHRT based on the two operators: (a) seismic record; (b) reflection waves separated by Stolt-based-ASHRT; (c) reflection waves separated by PS-based-ASHRT.
Figure 12. Reflection waves separated by ASHRT based on the two operators: (a) seismic record; (b) reflection waves separated by Stolt-based-ASHRT; (c) reflection waves separated by PS-based-ASHRT.
Jmse 14 00242 g012
Figure 13. Inverse focusing results of land seismic data(land seismic data): (a) original seismic record; (b) inverse focusing result based on the Stolt-based-ASHRT; (c) inverse focusing result based on the PS-based-ASHRT.
Figure 13. Inverse focusing results of land seismic data(land seismic data): (a) original seismic record; (b) inverse focusing result based on the Stolt-based-ASHRT; (c) inverse focusing result based on the PS-based-ASHRT.
Jmse 14 00242 g013
Figure 14. Inverse focusing residuals of land seismic data: (a) control group; (b) inverse focusing residuals based on the Stolt-based-ASHRT; (c) inverse focusing residuals based on the PS-based-ASHRT.
Figure 14. Inverse focusing residuals of land seismic data: (a) control group; (b) inverse focusing residuals based on the Stolt-based-ASHRT; (c) inverse focusing residuals based on the PS-based-ASHRT.
Jmse 14 00242 g014
Figure 15. Inverse focusing results of marine seismic data: (a) original seismic record; (b) inverse focusing result based on the Stolt-based-ASHRT; (c) inverse focusing result based on the PS-based-ASHRT. The red arrows indicate the difference of two operators.
Figure 15. Inverse focusing results of marine seismic data: (a) original seismic record; (b) inverse focusing result based on the Stolt-based-ASHRT; (c) inverse focusing result based on the PS-based-ASHRT. The red arrows indicate the difference of two operators.
Jmse 14 00242 g015
Figure 16. Inverse focusing residuals of marine seismic data: (a) control group; (b) inverse focusing residuals based on the Stolt-based-ASHRT; (c) inverse focusing residuals based on the PS-based-ASHRT.
Figure 16. Inverse focusing residuals of marine seismic data: (a) control group; (b) inverse focusing residuals based on the Stolt-based-ASHRT; (c) inverse focusing residuals based on the PS-based-ASHRT.
Jmse 14 00242 g016
Table 1. SNR of two operators.
Table 1. SNR of two operators.
OperatorMarine Seismic DataLand Seismic Data
Stolt7.57 dB9.35 dB
PS20.39 dB22.59 dB
Disclaimer/Publisher’s Note: The statements, opinions and data contained in all publications are solely those of the individual author(s) and contributor(s) and not of MDPI and/or the editor(s). MDPI and/or the editor(s) disclaim responsibility for any injury to people or property resulting from any ideas, methods, instructions or products referred to in the content.

Share and Cite

MDPI and ACS Style

Cao, Z.; Gong, X.; Xu, Z.; Peng, G.; Wang, Z.; Li, X. A New PS Operator Apex-Shifted Hyperbolic Radon Transform and Its Application in Diffraction Wave Separation. J. Mar. Sci. Eng. 2026, 14, 242. https://doi.org/10.3390/jmse14030242

AMA Style

Cao Z, Gong X, Xu Z, Peng G, Wang Z, Li X. A New PS Operator Apex-Shifted Hyperbolic Radon Transform and Its Application in Diffraction Wave Separation. Journal of Marine Science and Engineering. 2026; 14(3):242. https://doi.org/10.3390/jmse14030242

Chicago/Turabian Style

Cao, Zhiyu, Xiangbo Gong, Zhuo Xu, Guangshuai Peng, Zhe Wang, and Xiaolong Li. 2026. "A New PS Operator Apex-Shifted Hyperbolic Radon Transform and Its Application in Diffraction Wave Separation" Journal of Marine Science and Engineering 14, no. 3: 242. https://doi.org/10.3390/jmse14030242

APA Style

Cao, Z., Gong, X., Xu, Z., Peng, G., Wang, Z., & Li, X. (2026). A New PS Operator Apex-Shifted Hyperbolic Radon Transform and Its Application in Diffraction Wave Separation. Journal of Marine Science and Engineering, 14(3), 242. https://doi.org/10.3390/jmse14030242

Note that from the first issue of 2016, this journal uses article numbers instead of page numbers. See further details here.

Article Metrics

Back to TopTop