Attention-Enhanced Bi-LSTM with Gated CNN for Ship Heave Multi-Step Forecasting
Abstract
1. Introduction
- (1)
- A multi-step real-time prediction model combining attention-enhanced Bi-LSTM and gated CNN is proposed, enabling the efficient extraction and utilization of the temporal and global features of a ship heave signal.
- (2)
- To address the fitting distortion issue in the peak and valley part of the heave data, an optimized Huber loss function with a slope factor is employed. This loss function computes the slope of the true values and introduces a weighting factor to apply a greater penalty to the peak and valley regions of the signal, thereby improving the model’s fitting capability in these critical areas.
- (3)
- The proposed algorithm is trained on simulated data under various sea conditions and tested on real collected data, demonstrating its generalization capability. Notably, this algorithm achieved strong generalization performance with minimal fine-tuning.
2. Methodology
2.1. Long-Term Encoder
2.2. Short-Term Encoder
2.3. Decoder
3. Optimization Strategy
4. Experiments Settings
4.1. Datasets
4.2. Modeling Experimental Design
4.3. Performance Evaluation Metrics
4.4. Hyperparameter Setting
5. Results and Discussion
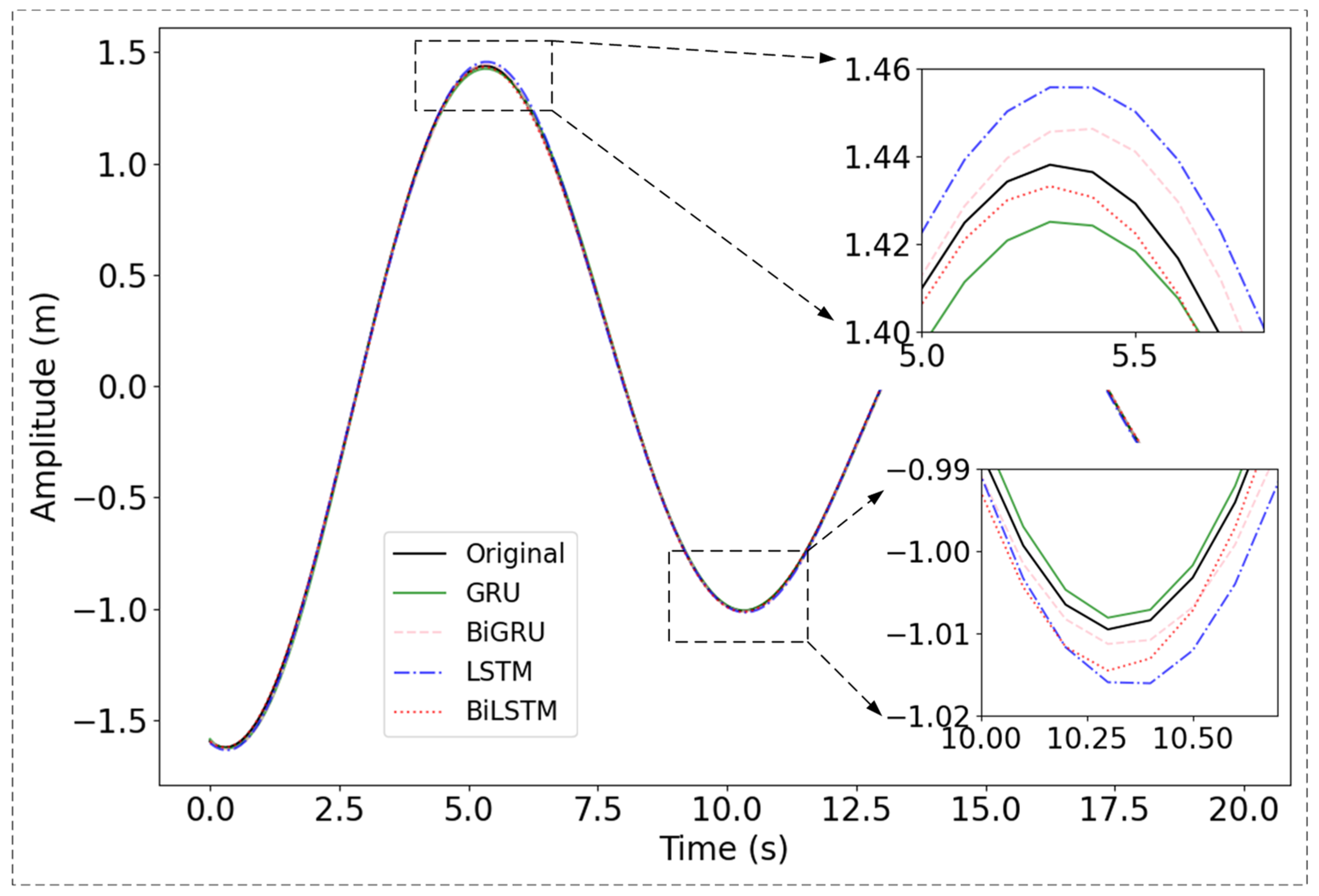
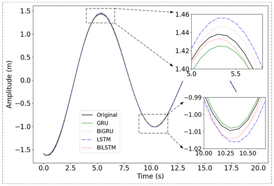
5.1. Prediction Performance of Different Methods
5.2. Prediction at Different Time Steps
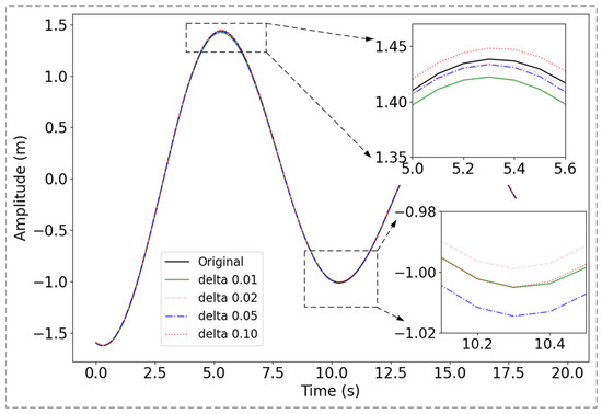
5.3. Optimization Factor Setting for S-HuberLoss
5.4. Generalization Testing on Real Collected Heave Data
6. Conclusions
Author Contributions
Funding
Institutional Review Board Statement
Informed Consent Statement
Data Availability Statement
Conflicts of Interest
References
- Li, S.; Wu, Q.; Liu, Y.; Qiao, L.; Guo, Z.; Yan, F. Research on Three-Closed-Loop ADRC Position Compensation Strategy Based on Winch-Type Heave Compensation System with a Secondary Component. J. Mar. Sci. Eng. 2024, 12, 346. [Google Scholar] [CrossRef]
- Raven, H. A method to correct shallow-water model tests for tank wall effects. J. Mar. Sci. Technol. 2018, 24, 437–453. [Google Scholar] [CrossRef]
- Lee, J.-H.; Lee, J.; Kim, Y.; Ahn, Y. Prediction of wave-induced ship motions based on integrated neural network system and spatiotemporal wave-field data. Phys. Fluids 2023, 35, 097127. [Google Scholar] [CrossRef]
- Lee, J.; Lee, J.-H.; Kim, Y. Prediction of Nonlinear Ship Motions in Irregular Waves Based on Integrated Machine Learning Model. In Proceedings of the 33rd International Ocean and Polar Engineering Conference, Ottawa, ON, Canada, 19–23 June 2023. [Google Scholar]
- Jiang, Z.; Ma, Y.; Li, W. A Data-Driven Method for Ship Motion Forecast. J. Mar. Sci. Eng. 2024, 12, 291. [Google Scholar] [CrossRef]
- Skulstad, R.; Li, G.; Fossen, T.; Wang, T.; Zhang, H. A Co-operative Hybrid Model for Ship Motion Prediction. Model. Identif. Control: A Nor. Res. Bull. 2021, 42, 17–26. [Google Scholar] [CrossRef]
- Hou, X.; Zhou, X. Nonparametric Identification Model of Coupled Heave-Pitch Motion for Ships by Using the Measured Responses at Sea. J. Mar. Sci. Eng. 2023, 11, 676. [Google Scholar] [CrossRef]
- Skulstad, R.; Li, G.; Fossen, T.; Vik, B.; Zhang, H. A Hybrid Approach to Motion Prediction for Ship Docking—Integration of a Neural Network Model into the Ship Dynamic Model. IEEE Trans. Instrum. Meas. 2020, 70, 2501311. [Google Scholar] [CrossRef]
- Bates, M.R.; Bock, D.H.; Powell, F.D. Analog Computer Applications in Predictor Design. IRE Trans. Electron. Comput. 1957, EC-6, 143–153. [Google Scholar] [CrossRef]
- Lainiotis, D.G.; Plataniotis, K.N.; Menon, D.; Charalampous, C.J. Adaptive heave compensation via dynamic neural networks. In Proceedings of the OCEANS ’93, Victoria, BC, Canada, 18–21 October 1993; Volume 241, pp. I243–I248. [Google Scholar]
- Khan, A.; Bil, C.; Marion, K.E. Ship motion prediction for launch and recovery of air vehicles. In Proceedings of the OCEANS, Washington, DC, USA, 17–23 September 2005; Volume 1–3, pp. 2795–2801. [Google Scholar]
- Zhang, J.; Zhao, X.; Jin, S.; Greaves, D. Phase-resolved real-time ocean wave prediction with quantified uncertainty based on variational Bayesian machine learning. Appl. Energy 2022, 324, 119711. [Google Scholar] [CrossRef]
- Hu, L.; Zhang, M.; Yuan, Z.-M.; Zheng, H.; Lv, W. Predictive Control of a Heaving Compensation System Based on Machine Learning Prediction Algorithm. J. Mar. Sci. Eng. 2023, 11, 821. [Google Scholar] [CrossRef]
- Chen, Z.; Che, X.; Wang, L.; Zhang, L. Machine learning for ship heave motion prediction: Online adaptive cycle reservoir with regular jumps. Ocean Eng. 2024, 294, 116767. [Google Scholar] [CrossRef]
- Wei, Y.; Chen, Z.; Zhao, C.; Tu, Y.; Chen, X.; Yang, R. A BiLSTM hybrid model for ship roll multi-step forecasting based on decomposition and hyperparameter optimization. Ocean Eng. 2021, 242, 110138. [Google Scholar] [CrossRef]
- Zhang, T.; Zheng, X.-Q.; Liu, M.-X. Multiscale attention-based LSTM for ship motion prediction. Ocean Eng. 2021, 230, 109066. [Google Scholar] [CrossRef]
- Li, M.-W.; Xu, D.-Y.; Geng, J.; Hong, W.-C. A hybrid approach for forecasting ship motion using CNN-GRU-AM and GCWOA. Appl. Soft Comput. 2022, 114, 108084. [Google Scholar] [CrossRef]
- Sun, Q.; Tang, Z.; Gao, J.; Zhang, G. Short-term ship motion attitude prediction based on LSTM and GPR. Appl. Ocean Res. 2022, 118, 102927. [Google Scholar] [CrossRef]
- Geng, X.; Li, Y.; Sun, Q. A Novel Short-Term Ship Motion Prediction Algorithm Based on EMD and Adaptive PSO-LSTM with the Sliding Window Approach. J. Mar. Sci. Eng. 2023, 11, 466. [Google Scholar] [CrossRef]
- Zhou, T.; Yang, X.; Ren, H.; Li, C.; Han, J. The prediction of ship motion attitude in seaway based on BSO-VMD-GRU combination model. Ocean Eng. 2023, 288, 115977. [Google Scholar] [CrossRef]
- Wei, Y.; Chen, Z.; Zhao, C.; Chen, X. Deterministic ship roll forecasting model based on multi-objective data fusion and multi-layer error correction. Appl. Soft Comput. 2023, 132, 109915. [Google Scholar] [CrossRef]
- Han, C.; Hu, X. A Prediction Method of Ship Motion Based on LSTM Neural Network with Variable Step-Variable Sampling Frequency Characteristics. J. Mar. Sci. Eng. 2023, 11, 919. [Google Scholar] [CrossRef]
- Hu, J.; Shen, L.; Sun, G. Squeeze-and-Excitation Networks. In Proceedings of the 2018 IEEE/CVF Conference on Computer Vision and Pattern Recognition (CVPR), Salt Lake City, UT, USA, 18–22 June 2018; pp. 7132–7141. [Google Scholar]
- Schuster, M.; Paliwal, K.K. Bidirectional recurrent neural networks. IEEE Trans. Signal Process. 1997, 45, 2673–2681. [Google Scholar] [CrossRef]
- Chen, M.; Li, Y.; Zhang, X.; Gao, J.; Sun, Y.; Shi, W.; Wei, S. Multiscale Convolution and Attention based Denoising Autoencoder for Motion Artifact Removal in ECG Signals. In Proceedings of the 2024 7th International Conference on Image and Graphics Processing, Beijing, China, 19–21 January 2024; pp. 442–448. [Google Scholar]
- Chen, M.; Li, Y.; Zhang, L.; Zhang, X.; Gao, J.; Sun, Y.; Shi, W.; Wei, S. Multitask Learning-Based Quality Assessment and Denoising of Electrocardiogram Signals. IEEE Trans. Instrum. Meas. 2024, 73, 2510513. [Google Scholar] [CrossRef]
- GB/T 42176-2022; The Grade of Wave Height. Standards Press of China: Beijing, China, 2022.






| Reference | Model | Sampling Rate | Data Length | Prediction Length |
|---|---|---|---|---|
| [5] | GJO-Bi-LSTM 1 | 100 Hz | 1200 s | 5 s, 10 s, 15 s |
| [15] | Bi-LSTM | 1 Hz | 1200 s | 1 s, 2 s, 3 s |
| [16] | LSTM | 10 Hz | 1 h (dataset I) 40 min (dataset II) | 1 s |
| [17] | CNN-GRU-AM | 20 Hz | 30 s | 0.5 s |
| [18] | LSTM-GPR | 4 Hz | 250 s | 1 s |
| [19] | PSO-LSTM | 4 Hz | 250 s (dataset #1, #2) 1500 s (dataset #3) 300 s (dataset #4, #5) | 0.25~0.75 s |
| [20] | BSO-VMD-GRU | 1 Hz | 500 s | 1 s |
| [21] | Bi-LSTM-CNN | 100 Hz (1 Hz) | 50 min | 1~10 s |
| [22] | LSTM | 2~200 Hz | 400 s | 2 s |
| Wave Level | Name | Significant Wave Height (m) | Corresponding Wind Speed (m/s) | Significant Wave Period Range (s) |
|---|---|---|---|---|
| 0 | Calm | 0 | 0~0.2 | ≤1.2 |
| 1 | Ripples | 0.3~1.5 | 0.4~5.0 | |
| 2 | Small Wave | 1.6~3.3 | 1.0~7.8 | |
| 3 | Light Wave | 3.4~5.4 | 2.0~8.8 | |
| 4 | Moderate Wave | 5.5~7.9 | 2.5~11.0 | |
| 5 | Large Wave | 8.0~13.8 | 3.4~14.5 | |
| 6 | Huge Wave | 13.9~20.7 | 4.5~17.0 |
| Length (m) | Width (m) | Draft (m) | Gross Tonnage * (t) | Maximum Speed (Knots) |
|---|---|---|---|---|
| 130 | 16.4 | 3.2 | 3700 | 21 |
| Maximum Heave Displacement Range (m) | Displacement Measurement Error | Velocity Measurement Accuracy (m/s) | Measurement Period Range (s) |
|---|---|---|---|
| ±50 | 5 cm or 5% | 0.01 | 0–25 |
| Name | Parameter Setting | |
|---|---|---|
| Input | Input size = 128 × 1 | |
| Long-term Encoder | Bi-LSTM | Shape size = 128 × 64, 128 × 128, 128 × 256 |
| SE-Block | Cell number in FC = 8, 128 | |
| Short-term Encoder | Kernel size = 13 × 1, 13 × 1, 13 × 1 Stride = 2; Cell number in FC = 16, 32, 64 | |
| Decoder | Cell number in FC = 128, 64, 16 | |
| Output | Output size = 16 × 1 | |
| Training parameters | Batch size = 32, Base learning rate = 0.001 | |
| Model | RMSE (m) | MAE (m) | MAPE (%) |
|---|---|---|---|
| GRU | 0.0085 | 0.0065 | 10.9894 |
| Bi-GRU | 0.0085 | 0.0070 | 13.2998 |
| LSTM | 0.0078 | 0.0059 | 7.3610 |
| Proposed (ours) | 0.0045 | 0.0035 | 4.6809 |
| Time Step (s) | RMSE (m) | MAE (m) | MAPE (%) |
|---|---|---|---|
| 0.1 | 0.0045 | 0.0035 | 4.6809 |
| 0.2 | 0.0083 | 0.0065 | 4.8291 |
| 0.5 | 0.0089 | 0.0069 | 5.3928 |
| 1.0 | 0.0085 | 0.0066 | 7.6876 |
| δ | RMSE (m) | MAE (m) | MAPE (%) |
|---|---|---|---|
| 0.01 | 0.0069 | 0.0056 | 4.4249 |
| 0.02 | 0.0064 | 0.0052 | 5.3836 |
| 0.05 | 0.0045 | 0.0035 | 4.6809 |
| 0.10 | 0.0060 | 0.0048 | 7.8565 |
| Approach | Step(s) | RMSE (m) | MAE (m) | MAPE (%) |
|---|---|---|---|---|
| Bi-LSTM-direct | 0.1 | 0.0114 | 0.0078 | 7.6272 |
| 0.2 | 0.0276 | 0.0229 | 14.3279 | |
| 0.5 | 0.0582 | 0.0489 | 38.7149 | |
| 1.0 | 0.0926 | 0.0768 | 67.4355 | |
| Bi-LSTM-tune | 0.1 | 0.0049 | 0.0038 | 9.0451 |
| 0.2 | 0.0071 | 0.0052 | 11.3789 | |
| 0.5 | 0.0086 | 0.0077 | 18.0354 | |
| 1.0 | 0.0110 | 0.0090 | 14.7575 |
Disclaimer/Publisher’s Note: The statements, opinions and data contained in all publications are solely those of the individual author(s) and contributor(s) and not of MDPI and/or the editor(s). MDPI and/or the editor(s) disclaim responsibility for any injury to people or property resulting from any ideas, methods, instructions or products referred to in the content. |
© 2024 by the authors. Licensee MDPI, Basel, Switzerland. This article is an open access article distributed under the terms and conditions of the Creative Commons Attribution (CC BY) license (https://creativecommons.org/licenses/by/4.0/).
Share and Cite
Shi, W.; Guo, Z.; Dai, Z.; Li, S.; Chen, M. Attention-Enhanced Bi-LSTM with Gated CNN for Ship Heave Multi-Step Forecasting. J. Mar. Sci. Eng. 2024, 12, 1413. https://doi.org/10.3390/jmse12081413
Shi W, Guo Z, Dai Z, Li S, Chen M. Attention-Enhanced Bi-LSTM with Gated CNN for Ship Heave Multi-Step Forecasting. Journal of Marine Science and Engineering. 2024; 12(8):1413. https://doi.org/10.3390/jmse12081413
Chicago/Turabian StyleShi, Wenzhuo, Zimeng Guo, Zixiang Dai, Shizhen Li, and Meng Chen. 2024. "Attention-Enhanced Bi-LSTM with Gated CNN for Ship Heave Multi-Step Forecasting" Journal of Marine Science and Engineering 12, no. 8: 1413. https://doi.org/10.3390/jmse12081413
APA StyleShi, W., Guo, Z., Dai, Z., Li, S., & Chen, M. (2024). Attention-Enhanced Bi-LSTM with Gated CNN for Ship Heave Multi-Step Forecasting. Journal of Marine Science and Engineering, 12(8), 1413. https://doi.org/10.3390/jmse12081413

