Characterization of the Structural–Stratigraphic and Reservoir Controls on the Occurrence of Gas Hydrates in the Eileen Gas Hydrate Trend, Alaska North Slope
Abstract
1. Introduction
2. Background
2.1. Geological Controls on the Occurrence of Gas Hydrates—Marine and Arctic Permafrost Environments
2.2. Geologic Controls on the Occurrence of Gas Hydrates—Alaska Eileen Gas Hydrate Trend
3. Methods and Results
3.1. Reservoir Controls on the Occurrence of Gas Hydrates in the Eileen Gas Hydrate Trend
3.1.1. Reservoir Lithology
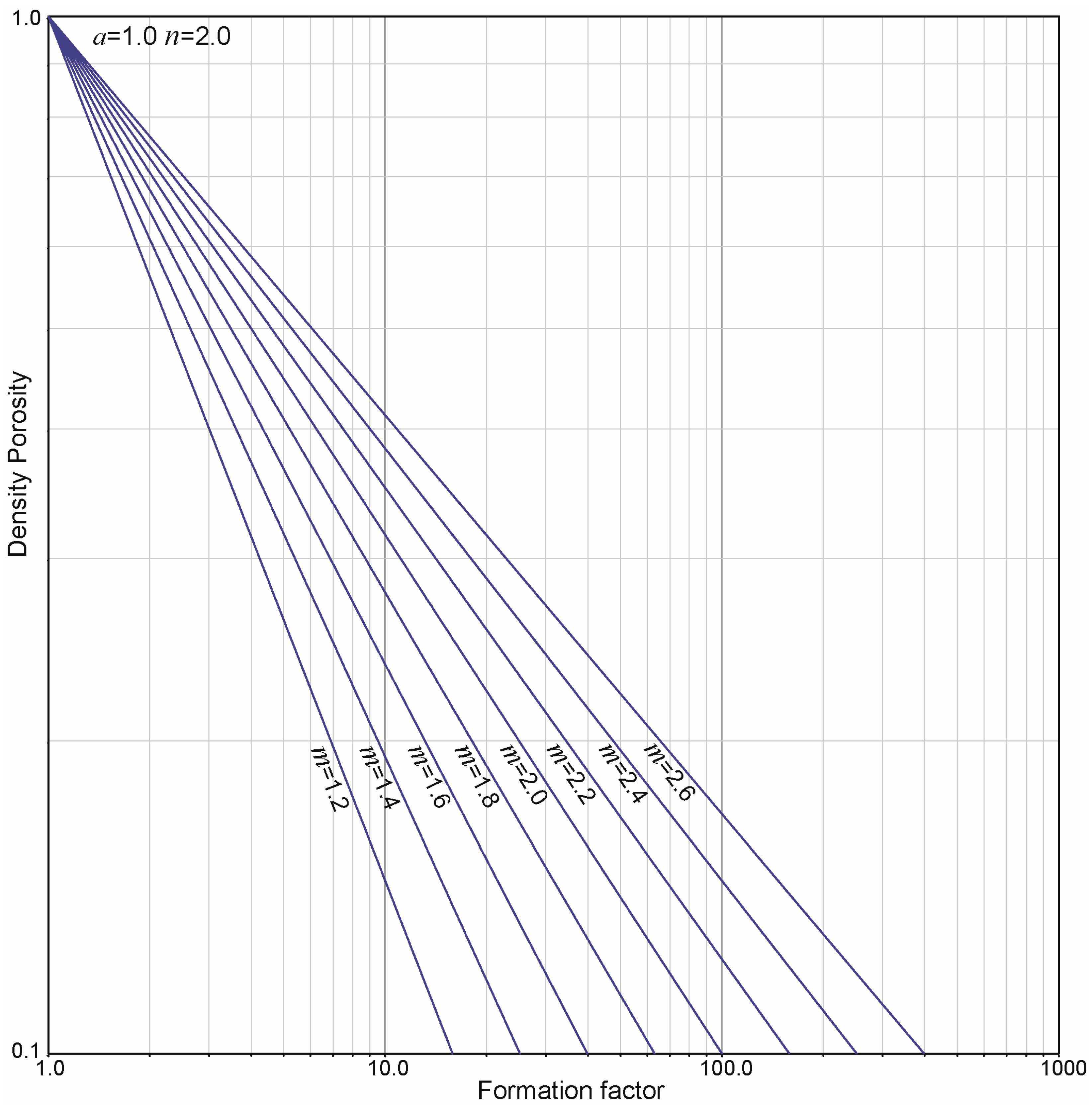
3.1.2. Reservoir Porosity
3.1.3. Reservoir Gas Hydrate Saturations
3.1.4. Reservoir Fluid Content and Permeability
3.2. The Eileen Gas Hydrate Trend—Structural and Stratigraphic Controls on the Occurrence of Gas Hydrates
3.2.1. Pre-Iġnik Sikumi Test Geological Framework Studies
3.2.2. Post-Iġnik Sikumi Test Geological Framework Studies
4. Discussion—The Eileen Gas Hydrate Trend—Controls on the Occurrence of Gas Hydrates
5. Conclusions
Author Contributions
Funding
Institutional Review Board Statement
Informed Consent Statement
Data Availability Statement
Acknowledgments
Conflicts of Interest
References
- Yamamoto, K.; Nagakubo, S. Review of Energy Efficiency of the Gas Production Technologies from Gas Hydrate-Bearing Sediments. Front. Energy Res. 2021, 9, 741715. [Google Scholar] [CrossRef]
- Yamamoto, K.; Boswell, R.; Collett, T.S.; Dallimore, S.R.; Lu, H. Review of past gas production attempts from subsurface gas hydrate deposits and necessity of long-term production testing. Energy Fuels 2022, 36, 5047–5062. [Google Scholar] [CrossRef]
- Khabibullin, T.; Falcone, G.; Teodoriu, C. Drilling through gas-hydrate sediments: Managing wellbore-stability risks. SPE Drill. Complet. 2011, 26, 287–294. [Google Scholar] [CrossRef]
- Nixon, M.F.; Grozic, J.L.H. A simple model for submarine slope stability analysis with gas hydrates. Nor. J. Geol. 2006, 86, 309–316. [Google Scholar]
- Crutchley, G.J.; Gorman, A.R.; Fohrmann, M. Investigation of the role of gas hydrates in continental slope stability west of Fiordland, New Zealand, New Zealand. J. Geol. Geophys. 2010, 50, 357–364. [Google Scholar] [CrossRef]
- Barnes, P.M.; Lamarche, G.; Bialas, J.; Henrys, S.; Pecher, I.; Netzeband, G.L.; Greinert, J.; Mountjoy, J.J.; Pedley, K.; Crutchley, G. Tectonic and geological framework for gas hydrates and cold seeps on the Hikurangi subduction margin, New Zealand. Mar. Geol. 2010, 272, 26–48. [Google Scholar] [CrossRef]
- Bünz, S.; Mienert, J.; Berndt, C. Geological controls on the Storegga gas-hydrate system of the mid-Norwegian continental margin. Earth Planet. Sci. Lett. 2003, 209, 291–307. [Google Scholar] [CrossRef]
- Ruppel, C.D.; Kessler, J.D. The interaction of climate change and methane hydrates. Rev. Geophys. 2017, 55, 126–168. [Google Scholar] [CrossRef]
- Collett, T.S.; Johnson, A.H.; Knapp, C.C.; Boswell, R. Natural gas hydrates: A review. Am. Assoc. Pet. Geol. Mem. 2009, 89, 146–219. [Google Scholar]
- Johnson, A.H. Global Resource Potential of Gas Hydrate—A New Calculation. Fire Ice 2011, 11, 1–4. [Google Scholar]
- Cherskiy, N.V.; Tsarev, V.P.; Nikitin, S.P. Investigation and prediction of conditions of accumulation of gas resources in gas-hydrate pools. Pet. Geol. 1985, 21, 65–89. [Google Scholar]
- Dallimore, S.R.; Wright, J.F.; Yamamoto, K.; Bellefleur, G. Proof of concept for gas hydrate production using the depressurization technique, as established by the JOGMEC/NRCan/Aurora Mallik 2007−2008 Gas Hydrate Production Research Well Program. Geol. Surv. Can. Bull. 2012, 601, 1–15. [Google Scholar]
- Collett, T.; Lee, M.; Agena, W.; Miller, J.; Lewis, K.; Zyrianova, M.; Boswell, R.; Inks, T. Permafrost-associated natural gas hydrate occurrences on the Alaska North Slope. J. Mar. Pet. Geol. 2011, 28, 279–294. [Google Scholar] [CrossRef]
- Collett, T.S.; Lee, M.W. Well log characterization of natural gas hydrates. Petrophysics 2012, 53, 348–367. [Google Scholar]
- Hunter, R.; Collett, T.; Boswell, R.; Anderson, B.; Digert, S.; Pospisil, G.; Baker, R.; Weeks, M. Mount Elbert gas hydrate stratigraphic test well, Alaska North Slope: Overview of scientific and technical program. J. Mar. Pet. Geol. 2011, 28, 295–310. [Google Scholar] [CrossRef]
- Boswell, R.; Collett, T.S.; Anderson, B.; Hunter, R. (Eds.) Thematic Set on Scientific Results of the Mount Elbert Gas Hydrate Stratigraphic Test Well, Alaska North Slope. In Marine and Petroleum Geology; Elsevier: Amsterdam, The Netherlands, 2011; Volume 28, pp. 279–608. [Google Scholar]
- Boswell, R.; Collett, T.S.; Yamamoto, K.; Okinaka, N.; Hunter, R.; Suzuki, K.; Tamaki, M.; Yoneda, J.; Itter, D.; Haines, S.; et al. Scientific results of the Hydrate-01 Stratigraphic Test Well Program, western Prudhoe Bay Unit, Alaska North Slope. Energy Fuels 2022, 36, 5167–5184. Available online: https://pubs.acs.org/doi/10.1021/acs.energyfuels.2c00327?ref=pdf (accessed on 10 February 2024).
- Tamaki, M.; Fujimoto, A.; Boswell, R.; Collett, T.S. Geological reservoir characterization of a gas hydrate prospect associated with the Hydrate-01 Stratigraphic Test Well, Alaska North Slope. Energy Fuels 2022, 36, 8128–8149. [Google Scholar] [CrossRef]
- Moridis, G.J.; Kowalsky, M.B.; Pruess, K. Depressurization induced gas production from class 1 hydrate deposits. SPE Res. Eval. Eng. 2007, 10, 458–481. [Google Scholar] [CrossRef]
- Nakajima, C.; Ouchi, H.; Tamaki, M.; Akamine, K.; Sato, M.; Ohtsuki, S.; Naiki, M. Sensitivity and uncertainty analysis for natural gas hydrate production testing in Alaska. Energy Fuels 2022, 36, 7434–7455. [Google Scholar] [CrossRef]
- McGuire, D.; Runyon, S.; Sigal, R.; Liddel, B.; Williams, T.; Moridis, G. Methane Hydrate Production form Alaskan Permafrost – Hydrate Reservoir Characterization and Modeling; U.S. DOE-NETL Topical Report, DOE Award No. DE-FC26-01NT41331; US DOE/NETL: Washington, DC, USA, 2005; 139p. Available online: https://netl.doe.gov/sites/default/files/netl-file/A013105_hydrate_reservoir_characterization_and_modeling.PDF (accessed on 10 February 2024).
- Burton, Z.; Kroeger, K.F.; Hosford Scheirer, A.; Seol, Y.; Burgreen-Chan, B.; Graham, S.A. Tectonic uplift destabilizes subsea gas hydrate: A model example from Hikurangi margin, New Zealand. Geophys. Res. Lett. 2020, 47, e2020GL087150. [Google Scholar] [CrossRef]
- Burton, Z.F.M.; Dafov, L.N. Salt Diapir-Driven Recycling of Gas Hydrate. Geochem. Geophys. Geosystems 2023, 24, e2022GC010704. [Google Scholar] [CrossRef]
- Burwicz, E.; Reichel, T.; Wallmann, K.; Rottke, W.; Haeckel, M.; Hensen, C. 3-D basin- scale reconstruction of natural gas hydrate system of the Green Canyon, Gulf of Mexico. Geochem. Geophys. Geosystems 2017, 18, 1959–1985. [Google Scholar] [CrossRef]
- Hillman, J.I.; Burwicz, E.; Zander, T.; Bialas, J.; Klaucke, I.; Feldman, H.; Drexler, T.; Awwiller, D. Investigating a gas hydrate system in apparent disequilibrium in the Danube Fan, Black Sea. Earth Planet. Sci. Lett. 2018, 502, 1–11. [Google Scholar] [CrossRef]
- Piñero, E.; Hensen, C.; Haeckel, M.; Rottke, W.; Fuchs, T.; Wallmann, K. 3-D numerical modelling of methane hydrate accumulations using PetroMod. Mar. Pet. Geol. 2016, 71, 288–295. [Google Scholar] [CrossRef]
- Naudts, L.; Khlystov, O.; Granin, N.; Chensky, A.; Poort, J.; De Batist, M. Stratigraphic and structural control on the distribution of gas hydrates and active gas seeps on the Posolsky Bank, Lake Baikal. Geo-Mar. Lett. 2012, 32, 395–406. [Google Scholar] [CrossRef]
- Collett, T.S.; Boswell, R.; Lee, M.W.; Anderson, B.J.; Rose, K.; Lewis, K.A. Evaluation of long-term gas hydrate-production testing locations on the Alaska North Slope. Soc. Pet. Eng. Reserv. Eval. Eng. 2012, 15, 243–264. [Google Scholar] [CrossRef]
- Boswell, R.; Schoderbek, D.; Collett, T.S.; Ohtsuki, S.; White, M.; Anderson, B.J. The Iġnik Sikumi Field Experiment, Alaska North Slope: Design, operations, and implications for CO2−CH4 exchange in gas hydrate reservoirs. Energy Fuels 2017, 31, 140–153. [Google Scholar] [CrossRef]
- Schoderbek, D.; Farrel, H.; Hester, K.; Howard, J.; Raterman, K.; Silpngarmlert, S.; Martin, K.L.; Smith, B.; Klein, P. ConocoPhillips Gas Hydrate Production Test Final Technical Report; National Energy Technology Laboratory, United States Department of Energy: Pittsburgh, PA, USA, 2013; 204p.
- Moridis, J.; Reagan, M.T.; Liu, Y. Numerical Simulations in Support of a Long-Term Test of Gas Production from Hydrate Accumulations on the Alaska North Slope: Reservoir Response to Interruptions of Production (Shut-Ins). Energy Fuels 2022, 36, 3496–3525. [Google Scholar] [CrossRef]
- Schoderbek, D.; Martin, K.; Howard, J.; Silpngarmlert, S.; Hester, K. North Slope hydrate field trial: CO2/CH4 exchange. In Proceedings of the Arctic Technology Conference, Houston, TX, USA, 3–5 December 2012. [Google Scholar]
- Hanor, J.S.; Nunn, J.A.; Lee, Y. Salinity structure of the central north slope foreland basin, Alaska, USA: Implications for pathways of past and present topographically driven regional fluid flow. Geofluids 2004, 4, 152–168. [Google Scholar] [CrossRef]
- Patil, S.L.; Dandekar, A.Y.; Khataniar, S. Alaska Gas Hydrate Research and Field Studies. In Encyclopedia of Sustainability Science and Technology; Meyers, R.A., Ed.; Springer: New York, NY, USA, 2012. [Google Scholar] [CrossRef]
- Uchida, S.; Seol, Y.; Yamamoto, K. Sand migration simulation during gas production from gas hydrate reservoir at Kuparuk State 7-11-12 site in the Prudhoe Bay Unit, Alaska. Energy Fuels 2022, 36, 7382–7390. [Google Scholar] [CrossRef]
- Yoneda, J.; Jin, Y.; Muraoka, M.; Oshima, M.; Suzuki, K.; Walker, M.; Westacott, D.; Otsuki, S.; Kumagai, K.; Collett, T.S. Multiple physical properties of gas hydrate-bearing sediments recovered from Alaska North Slope 2018 Hydrate-01 Stratigraphic Test Well. J. Mar. Pet. Geol. 2021, 123, 1–43. [Google Scholar] [CrossRef]
- Yoneda, J.; Suzuki, K.; Jin, Y.; Ohtsuki, S.; Collett, T.S.; Boswell, R.; Maehara, Y.; Okinaka, N. Permeability measurement and prediction with nuclear magnetic resonance analysis of gas hydrate-bearing sediments recovered from Alaska North Slope 2018 Hydrate-01 Stratigraphic Test Well. Energy Fuels 2022, 36, 2515–2529. [Google Scholar] [CrossRef]
- Yoneda, J.; Jin, Y.; Muraoka, M.; Oshima, M.; Waite, W.; Suzuki, K.; Flemings, P. Comprehensive pressure core analysis for hydrate bearing sediments from Gulf of Mexico Green Canyon Block 955, including assessments of geomechanical viscous behavior and NMR permeability. AAPG Bull. 2022, 106, 1143–1177. [Google Scholar] [CrossRef]
- Archie, G.E. The electrical resistivity log as an aid in determining some reservoir characteristic. J. Pet. Technol. 1942, 5, 54–62. [Google Scholar] [CrossRef]
- U.S. Geological Survey Alaska Gas Hydrate Assessment Team. National Assessment of Oil and Gas Project: Geologic Assessment of Undiscovered Gas Hydrate Resources on the North Slope, Alaska; Data Series 69-CC; U.S. Geological Survey: Reston, VA, USA, 2013; pp. 1–100. [CrossRef]
- Magoon, L.B.; Dow, W.G. The Petroleum System. In The Petroleum System—From Source to Trap; Magoon, L.B., Dow, W.G., Eds.; American Association of Petroleum Geologists: Tulsa, OK, United States, 1994; Volume 60, pp. 3–24. [Google Scholar]
- Burton, Z.F.M.; Dafov, L.N. Testing the sediment organic contents required for biogenic gas hydrate formation: Insights from synthetic 3-D basin and hydrocarbon system modelling. Fuels 2022, 3, 555–562. [Google Scholar] [CrossRef]
- Portnov, A.; Santra, M.; Cook, A.E.; Sawyer, D.E. The Jackalope Gas Hydrate System in the Northeastern Gulf of Mexico. Mar. Pet. Geol. 2020, 111, 261–278. [Google Scholar] [CrossRef]
- Meazell, K.; Flemings, P.; Santra, M.; Johnson, J. Sedimentology and stratigraphy of a deep-water gas hydrate reservoir in the northern Gulf of Mexico. AAPG Bull. 2020, 104, 1945–1970. [Google Scholar] [CrossRef]
- Santra, M.; Flemings, P.; Scott, E.; Meazell, K. Evolution of gas hydrate-bearing deep-water channel-levee system in abyssal Gulf of Mexico: Levee growth and deformation. AAPG Bull. 2020, 104, 1921–1944. [Google Scholar] [CrossRef]
- Yamamoto, K. Overview and introduction: Pressure core-sampling and analysis in the 2012-2013 MH21 offshore test of gas production from methane hydrates in the Nankai Trough. J. Mar. Pet. Geol. 2015, 66, 296–309. [Google Scholar] [CrossRef]
- Konno, Y.; Fujii, T.; Sato, A.; Akamine, K.; Naiki, M.; Masuda, Y.; Yamamoto, K.; Nagao, J. Key findings of the world’s first offshore methane hydrate production test off the coast of Japan. Toward future commercial production. Energy Fuels 2017, 31, 2607–2616. [Google Scholar] [CrossRef]
- Konno, Y.; Yoneda, J.; Egawa, K.; Ito, T.; Jin, Y.; Kida, M.; Suzuki, K.; Fujii, T.; Nagao, J. Permeability of sediment cores from methane hydrate deposit in the Eastern Nankai Trough. J. Mar. Pet. Geol. 2015, 66, 487–495. [Google Scholar] [CrossRef]
- Fujii, T.; Suzuki, K.; Takayama, T.; Tamaki, M.; Komatsu, Y.; Konno, Y.; Yoneda, J.; Yamamoto, K.; Nagao, J. Geological setting and characterization of a methane hydrate reservoir distributed at the first offshore production test site on the Daini-Atsumi knoll in the eastern Nankai Trough, Japan. Mar. Pet. Geol. 2015, 66, 310–312. [Google Scholar] [CrossRef]
- Tamaki, M.; Suzuki, K.; Fujii, T.; Sato, A. Prediction and validation of gas hydrate saturation distribution in the eastern Nankai Trough, Japan: Geostatistical approach integrating well-log and 3D seismic data. Interpretation 2016, 4, SA83–SA94. [Google Scholar] [CrossRef]
- Tamaki, M.; Fujii, T.; Suzuki, K. Characterization and prediction of the gas hydrate reservoir at the second offshore gas production test site in the eastern Nankai Trough. Energies 2017, 10, 1678. [Google Scholar] [CrossRef]
- Yamamoto, K.; Wang, X.-X.; Tamaki, M.; Suzuki, K. The second offshore production of methane hydrate in the Nankai Trough and gas production behavior from a heterogeneous methane hydrate reservoir. R. Soc. Chem. Adv. 2019, 9, 25987–26013. [Google Scholar] [CrossRef] [PubMed]
- Shukla, K.M.; Kumar, P.; Yadav, U.S. Gas Hydrate Reservoir Identification, Delineation, and Characterization in the Krishna-Godavari Basin Using Subsurface Geologic and Geophysical Data from the National Gas Hydrate Program 02 Expedition, offshore India. Mar. Pet. Geol. 2019, 108, 185–205. [Google Scholar] [CrossRef]
- Hsiung, K.H.; Saito, S.; Kanamatsu, T.; Sanada, Y.; Yamada, Y. Regional stratigraphic framework and gas hydrate occurrence offshore eastern India: Core-log-seismic integration of National Gas Hydrate Program Expedition 02 (NGHP-02) Area-B drill sites. Mar. Pet. Geol. 2019, 108, 206–215. [Google Scholar] [CrossRef]
- Yoneda, J.; Oshima, M.; Kida, M.; Kato, A.; Konno, Y.; Jin, Y.; Jang, J.; Waite, W.; Kumar, P.; Tenma, N. Permeability variation and anisotropy of gas hydrate-bearing pressure-core sediments recovered from the Krishna-Godavari Basin, Offshore India. J. Mar. Pet. Geol. 2019, 108, 524–536. [Google Scholar] [CrossRef]
- Li, J.; Ye, J.; Qin, X.; Qiu, H.; Wu, N.; Lu, H.; Xie, W.; Lu, J.; Peng, F.; Xu, Z.; et al. The first offshore natural gas hydrate production test in South China Sea. China Geol. 2018, 1, 5–16. [Google Scholar] [CrossRef]
- Ye, J.; Qin, X.; Xie, W.; Lu, H.; Ma, B.; Qiu, H.; Liang, J.; Lu, J.; Kuang, Z.; Lu, C.; et al. The second natural gas hydrate production test in the South China Sea. China Geol. 2020, 2, 197–209. [Google Scholar] [CrossRef]
- Frye, M. Preliminary Evaluation of In-Place Gas Hydrate Resources: Gulf of Mexico Outer Continental Shelf. OCS Report MMS 2008-004. 2008; 136p. Available online: https://netl.doe.gov/sites/default/files/netl-file/MMS2008-004.pdf (accessed on 10 February 2024).
- Brothers, L.L.; Hart, P.E.; Ruppel, C.D. Minimum distribution of subsea ice-bearing permafrost on the U.S. Beaufort Sea continental shelf. Geophys. Res. Lett. 2012, 39, L15501, 1–6. [Google Scholar] [CrossRef]
- Brothers, L.; Herman, B.; Hart, P.; Ruppel, C. Subsea ice-bearing permafrost on the U.S. Beaufort Margin: (1) Minimum seaward extent defined from multichannel seismic reflection data. J. Geochem. Geophys. Geosystems 2016, 17, 4354–4365. [Google Scholar] [CrossRef]
- Ruppel, C.; Herman, B.; Brothers, L.; Hart, P. Subsea ice-bearing permafrost on the U.S. Beaufort Margin: (2) Borehole constraints. J. Geochem. Geophys. Geosystems 2016, 17, 4333–4353. [Google Scholar] [CrossRef]
- Kvenvolden, K.A. Methane hydrate—A major reservoir of carbon in the shallow geosphere? Chem. Geol. 1988, 71, 41–51. [Google Scholar] [CrossRef]
- Kvenvolden, K.A. A. A Primer in Gas Hydrates. In The Future of Energy Gases; Howell, D.G., Ed.; U.S. Geological Survey Professional Paper 1570; U.S. Geological Survey: Reston, VA, USA, 1993; pp. 279–292. [Google Scholar]
- Ruckel, D.J. Summary of the Cirque-1 Blowout of February 12, 1992. Alaska Oil and Gas Conservation Commission. Public Record Report Well History: Anchorage, AK, USA, 1992; pp. 1–32. Available online: http://aogweb.state.ak.us/DataMiner4/Forms/Home.aspx (accessed on 10 February 2024).
- Chatterton, C.V. Statistical Report; Alaska Oil and Gas Conservation Commission: Anchorage, AK, USA, 1983; pp. 1–208.
- Werner, M.R. Tertiary and Upper Cretaceous Heavy Oil Sands, Kuparuk River Area, Alaskan North Slope. In Alaskan North Slope Geology: Pacific Section; Tailleur, I.L., Weimer, P., Eds.; Society of Economic Paleontologists and Mineralogists: Parkes, Australia; the Alaska Geological Society: Bakersfield, CA, USA, 1987; Volume 50, pp. 109–118. [Google Scholar]
- Mull, C.G.; Houseknecht, D.W.; Bird, K.J. Revised Cretaceous and Tertiary Stratigraphic Nomenclature in the Colville Basin, Northern Alaska; U.S. Geological Survey Professional Paper 1673; U.S. Geological Survey: Reston, VA, USA, 2003; 51p.
- Asquith, G.B.; Krygowski, D. Basic Well Log Analysis; American Association of Petroleum Geologists: Tulsa, Oklahoma, USA, 2004; pp. 1–244. [Google Scholar]
- Serra, O. Fundamentals of Well-Log Interpretation. In Developments in Petroleum Science; Elsevier Publishing: Amsterdam, The Netherlands, 1984; pp. 1–423. [Google Scholar]
- Kleinberg, R.L.; Flaum, C.; Collett, T.S. Magnetic resonance log of JAPEX/JNOC/GSC et al. Mallik 5L-38 gas hydrate production research well: Gas hydrate saturation, growth habit, and relative permeability. Geol. Surv. Can. Bull. 2005, 585, 1–23. [Google Scholar]
- Sloan, E.D.; Koh, C.A. Clathrate Hydrates of Natural Gases, 3rd ed.; CRC Press: New York, NY, USA, 2008; pp. 1–721. [Google Scholar]
- Winsauer, W.O.; Shearin, H.M.; Masson, P.H.; Williams, M. Resistivity of brine-saturated sands in relation to pore geometry. Am. Assoc. Pet. Geol. Bull. 1952, 36, 253–277. [Google Scholar]
- Pearson, C.F.; Halleck, P.M.; McGuire, P.L.; Hermes, R.; Mathews, M. Natural gas hydrate deposits: A review of in situ properties. J. Phys. Chem. 1983, 87, 4180–4185. [Google Scholar] [CrossRef]
- Spangenberg, E. Modeling of the influence of gas hydrate content on the electrical properties of porous sediments. J. Geophys. Res. Solid Earth 2001, 106, 6535–6548. [Google Scholar] [CrossRef]
- Cook, A.E.; Waite, W.F. Archie’s saturation exponent for natural gas hydrate in coarse-grained reservoirs. J. Geophys. Res. Solid Earth 2018, 123, 2069–2089. [Google Scholar] [CrossRef]
- Pickett, G.R. A review of current techniques for determination of water saturation from logs. J. Pet. Technol. 1966, 18, 1425–1433. [Google Scholar] [CrossRef]
- Arp, J.J. The effect of temperature on the density and electrical resistivity of sodium chloride solutions. Trans. Am. Inst. Min. Metall. Pet. Eng 1953, 198, 327–330. [Google Scholar] [CrossRef]
- Schlumberger Log Interpretation Charts; Schlumberger Wireline and Testing: Sugar Land, TX, USA, 1998; SMP-7006.
- Lachenbruch, A.H.; Galanis, S.P.; Moses, T.H. A Thermal Cross Section for the Permafrost and Hydrate Stability Zones in the Kuparuk and Prudhoe Bay Oil Fields. In Geological Studies in Alaska by the U.S. Geological Survey during 1987; Galloway, J.P., Hamilton, T.D., Eds.; USGS Circular; USGS: Reston, VA, USA, 1987; Volume 1017, pp. 1–4. [Google Scholar]
- Hilchie, D.W. Applied Openhole Log Interpretation for Geologists and Engineers; Douglas W. Hilchie Inc.: Flagstaff, AZ, USA; Colorado School of Mines: Golden, CO, USA, 1982; pp. 1–243. [Google Scholar]
- Maute, R.E.; Lyle, W.D.; Sprunt, E.S. Improved data-analysis method determines archie parameters from core data. JPT 1992, 44, 103–107. [Google Scholar] [CrossRef]
- Crain, E.R. The Log Analysis Handbook; PennWell Publishing Company: Tulsa, OK, USA, 1986; pp. 1–684. [Google Scholar]
- Kadhim, F.S.; Samsuria, A.; Kamal, A. A review in correlations between cementation factor and carbonate rocks properties. Life Sci. J. 2013, 10, 2451–2458. [Google Scholar]
- Chaouachi, M.; Falenty, A.; Sell, K.; Enzmann, F.; Kersten, M.; Haberthur, D.; Kuhs, W.F. Microstructural evolution of gas hydrates in sedimentary matrices observed with synchrotron X-ray computed tomographic microscopy. Geochem. Geophys. Geosystems 2015, 16, 1711–1722. [Google Scholar] [CrossRef]
- Collett, T.S.; Lee, M.W. Electrical-resistivity well-log analysis of gas hydrate saturations in the JAPEX/JNOC/GSC et al. Mallik 5L-38 gas hydrate production research well. Geol. Surv. Can. Bull. 2005, 585, 1–10. [Google Scholar]
- Park, K.-P. Gas Hydrate Exploration Activities in Korea. In Proceedings of the 6th International Conference on Gas Hydrates (ICGH6), Vancouver, BC, Canada, 6–10 July 2008. [Google Scholar]
- Yang, S.; Zhang, H.; Wu, N.; Su, X.; Schultheiss, P.; Holland, M.; Zhang, G.; Liang, J.; Lu, J.; Rose, K. High Concentration Hydrate in Disseminated Forms Obtained in Shenhu Area, North Slope of South China Sea. In Proceedings of the 6th International Conference on Gas Hydrates (ICGH6), Vancouver, BC, Canada, 6–10 July 2008. [Google Scholar]
- Clennell, M.B.; Hovland, M.; Booth, J.S.; Henry, P.; Winters, W.J. Formation of natural gas hydrates in marine sediments—Conceptual model of gas hydrate growth conditioned by host sediment properties. J. Geophys. Res. 1999, 104, 22985–23003. [Google Scholar] [CrossRef]
- Timur, A. Pulsed nuclear magnetic resonance studies of porosity, movable fluid, and permeability of sandstones. J. Pet. Technol 1969, 21, 775–786. [Google Scholar] [CrossRef]
- Kenyon, W.E.; Day, P.I.; Straley, C. A three-part study of NMR longitudinal relaxation properties of water-saturated sandstones. SPE Form. Eval. 1988, 3, 622–636. [Google Scholar] [CrossRef]
- Schlumberger, Pressure Express (XPT). Available online: https://www.slb.com/-/media/files/fe/brochure/pressurexpress-br.ashx (accessed on 25 April 2022).
- Schlumberger, Modular Dynamic Tool (MDT). Available online: https://www.slb.com/-/media/files/fe/brochure/mdt-br.ashx (accessed on 25 April 2022).
- Scheihing, M. ConocoPhillips Gas Hydrate Production Test, Appendix 3: Geocellular Model for Evaluation of Gas Hydrate Production Mechanism in Selected Sandstones of the Sagavanirktok Formation; Progress Report, First Half of 2010, DOE Award No.DE-NT0006553; US DOE/NETL: Washington, DC, USA, 2010.
- Alaska Oil and Gas Conservation Commission. Well File Images Database (Web Page): State of Alaska, Alaska Oil and Gas Conservation Commission. Available online: http://aogweb.state.ak.us/WebLink/Browse.aspx (accessed on 13 April 2020).
- Silpngarmlert, S. ConocoPhillips Gas Hydrate Production Test, Appendix 1 and 2: Thermal Effects of Hot Fluid Production/Injection in Existing Wells; Progress Report, First Half of 2010, DOE Award No.DE-NT0006553; US DOE/NETL: Washington, DC, USA, 2010.
























| Parameter | Value (Unit) | Description |
|---|---|---|
| ρma | 2.65 (g/cm3) | Matrix density |
| ρw | 1.02 (g/cm3) | Formation water density |
| ρh | 0.9 (g/cm3) | Gas hydrate density |
| Well | a | m | n |
|---|---|---|---|
| Mount Elbert 1 | 1 | 1.9 | 2 |
| Iġnik Sikumi 1 | 1.6 | 2 | 2 |
| PBU L-106 | 1.6 | 2.1 | 2 |
| PBU L-112 | 1.6 | 2.1 | 2 |
| Northwest Eileen State 2 | 1.6 | 2.1 | 2 |
Disclaimer/Publisher’s Note: The statements, opinions and data contained in all publications are solely those of the individual author(s) and contributor(s) and not of MDPI and/or the editor(s). MDPI and/or the editor(s) disclaim responsibility for any injury to people or property resulting from any ideas, methods, instructions or products referred to in the content. |
© 2024 by the authors. Licensee MDPI, Basel, Switzerland. This article is an open access article distributed under the terms and conditions of the Creative Commons Attribution (CC BY) license (https://creativecommons.org/licenses/by/4.0/).
Share and Cite
Zyrianova, M.; Collett, T.; Boswell, R. Characterization of the Structural–Stratigraphic and Reservoir Controls on the Occurrence of Gas Hydrates in the Eileen Gas Hydrate Trend, Alaska North Slope. J. Mar. Sci. Eng. 2024, 12, 472. https://doi.org/10.3390/jmse12030472
Zyrianova M, Collett T, Boswell R. Characterization of the Structural–Stratigraphic and Reservoir Controls on the Occurrence of Gas Hydrates in the Eileen Gas Hydrate Trend, Alaska North Slope. Journal of Marine Science and Engineering. 2024; 12(3):472. https://doi.org/10.3390/jmse12030472
Chicago/Turabian StyleZyrianova, Margarita, Timothy Collett, and Ray Boswell. 2024. "Characterization of the Structural–Stratigraphic and Reservoir Controls on the Occurrence of Gas Hydrates in the Eileen Gas Hydrate Trend, Alaska North Slope" Journal of Marine Science and Engineering 12, no. 3: 472. https://doi.org/10.3390/jmse12030472
APA StyleZyrianova, M., Collett, T., & Boswell, R. (2024). Characterization of the Structural–Stratigraphic and Reservoir Controls on the Occurrence of Gas Hydrates in the Eileen Gas Hydrate Trend, Alaska North Slope. Journal of Marine Science and Engineering, 12(3), 472. https://doi.org/10.3390/jmse12030472

