Effect of Salinity and Temperature on the Dispersion of Spilled Oil in the Presence of Microplastics
Abstract
1. Introduction
2. Materials and Methods
2.1. Chemicals and Materials
2.2. Experimental Instruments and Equipment
2.3. Experimental Design
2.4. Determination of Oil Concentration
2.5. Analytical Index
3. Results and Discussion
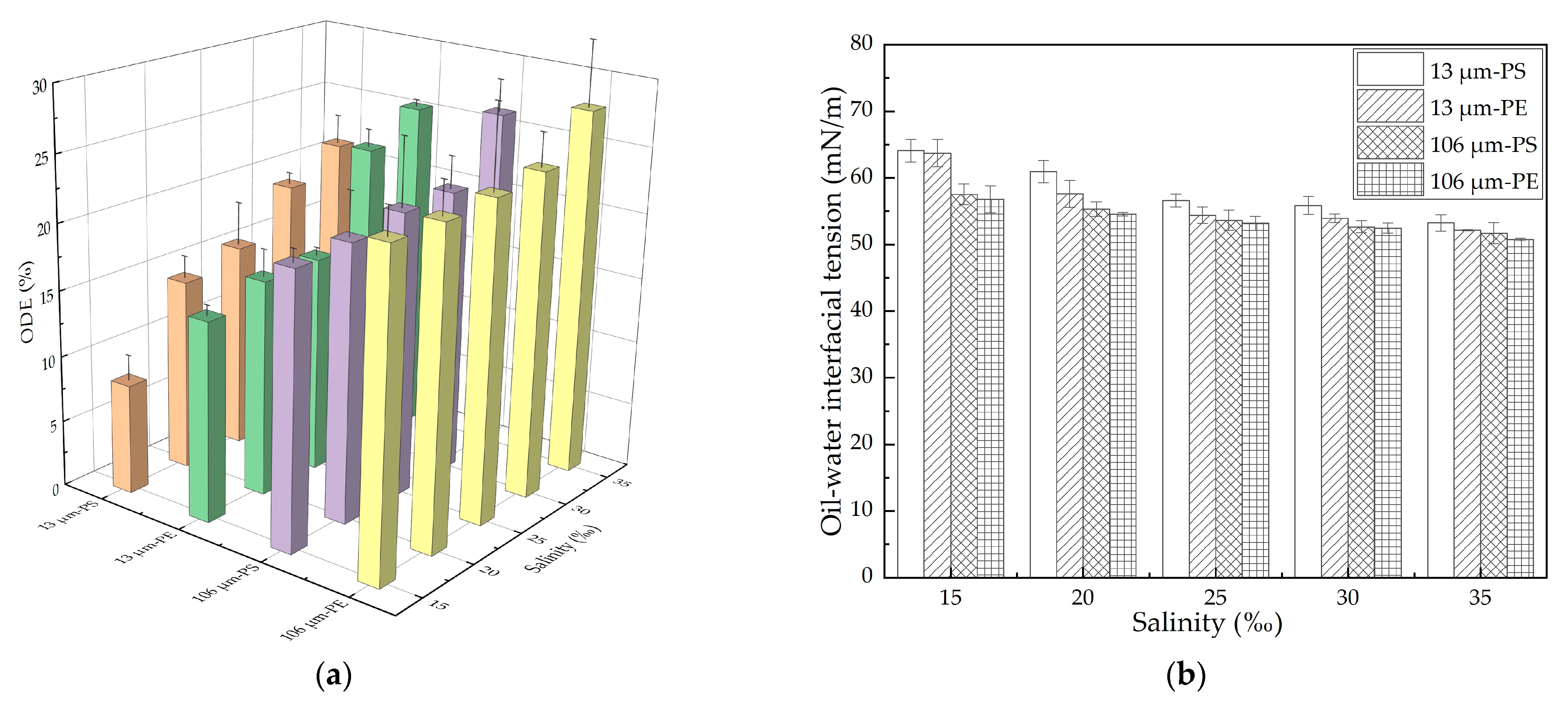
3.1. Effect of Salinity
3.2. Effect of Temperature
4. Conclusions
Author Contributions
Funding
Institutional Review Board Statement
Informed Consent Statement
Data Availability Statement
Conflicts of Interest
References
- Thompson, R.C.; Olsen, Y.; Mitchell, R.P.; Davis, A.; Rowland, S.J.; John, A.W.; McGonigle, D.; Russell, A.E. Lost at sea: Where is all the plastic? Science 2004, 304, 838. [Google Scholar] [CrossRef]
- Lin, W.; Li, X.; Yang, M.; Lee, K.; Chen, B.; Zhang, B. Brominated flame retardants, microplastics, and biocides in the marine environment: Recent updates of occurrence, analysis, and impacts. Adv. Mar. Biol. 2018, 81, 167–211. [Google Scholar]
- Eriksen, M.; Lebreton, L.C.; Carson, H.S.; Thiel, M.; Moore, C.J.; Borerro, J.C.; Galgani, F.; Ryan, P.G.; Resisser, J. Pullution in the World’s Oceans: More than 5 Trillion Plastic Pieces Weighing over 250,000 Tons Afloat at Sea. PLoS ONE 2014, 9, 111913. [Google Scholar] [CrossRef] [PubMed]
- Zhang, D.; Liu, X.; Huang, W.; Li, J.; Wang, C.; Zhang, D.; Zhang, C. Microplastic pollution in deep-sea sediments and organisms of the Western Pacific Ocean. Environ. Pollut. 2020, 259, 113948. [Google Scholar] [CrossRef]
- Amélineau, F.; Bonnet, D.; Heitz, O.; Mortreux, V.; Harding, A.M.; Karnovsky, N.; Walkusz, W.; Fort, J.; Gremillet, D. Microplastic pollution in the Greenland Sea: Background levels and selective contamination of planktivorous diving seabirds. Environ. Pollut. 2016, 219, 1131–1139. [Google Scholar] [CrossRef]
- Pakhomova, S.; Berezina, A.; Lusher, A.L.; Zhdanov, L.; Silvestrova, K.; Zavialov, P.; Bavel, B.V.; Yakushev, E. Microplastic variability in subsurface water from the Arctic to Antarctica. Environ. Pollut. 2022, 298, 118808. [Google Scholar] [CrossRef]
- Gao, Y.; Liu, Y. Removal of microplastics by coagulation treatment in waters and prospect of recycling of separated microplastics: A mini-review. J. Environ. Chem. Eng. 2022, 10, 108197. [Google Scholar] [CrossRef]
- Law, K.L.; Morétferguson, S.E.; Goodwin, D.S.; Zettler, E.R.; Deforce, E.; Kukulka, T.; Proskurowski, G. Distribution of surface plastic debris in the eastern Pacific Ocean from an 11-year data set. Environ. Sci. Technol. 2014, 48, 4732–4738. [Google Scholar] [CrossRef]
- Law, K.L.; Morét-Ferguson, S.; Maximenko, N.A.; Proskurowski, G.; Peacock, E.E.; Hafner, J.; Reddy, C.M. Plastic accumulation in the North Atlantic subtropical gyre. Science 2010, 329, 1185–1188. [Google Scholar] [CrossRef] [PubMed]
- Wang, S.; Chen, H.; Zhou, X.; Tian, Y.; Lin, C.; Wang, W.; Zhou, K.; Zhang, Y.; Lin, H. Microplastic abundance, distribution and composition in the mid-west Pacific Ocean. Environ. Pollut. 2020, 264, 114125. [Google Scholar] [CrossRef] [PubMed]
- Thushari, G.G.N.; Miyazono, K.; Sato, T.; Yamashita, R.; Takasuka, A.; Watai, M.; Yasuda, T.; Kuroda, H.; Takahashi, K. Floating plastic accumulation and distribution around Kuroshio Current, western North Pacific. Mar. Pollut. Bull. 2023, 188, 114604. [Google Scholar] [CrossRef] [PubMed]
- Cole, M.; Lindeque, P.; Halsband, C.; Galloway, T.S. Microplastics as contaminants in the marine environment: A review. Mar. Pollut. Bull. 2011, 62, 2588–2597. [Google Scholar] [CrossRef] [PubMed]
- Wright, S.L.; Thompson, R.C.; Galloway, T.S. The physical impacts of microplastics on marine organisms: A review. Environ. Pollut. 2013, 178, 483–492. [Google Scholar] [CrossRef]
- Rochman, C.M.; Tahir, A.; Williams, S.L.; Baxa, D.V.; Lam, R.; Miller, J.T.; Teh, F.; Werorilangi, S.; Teh, S.J. Anthropogenic debris in seafood: Plastic debris and fibers from textiles in fish and bivalves sold for human consumption. Sci. Rep. 2015, 5, 14340. [Google Scholar] [CrossRef]
- Westerhoff, P.; Zimmerman, J.B.; Field, J.; Lowry, G. Making Waves. Environ. Sci. Technol. 2020, 54, 6449–6450. [Google Scholar] [CrossRef] [PubMed]
- Lim, C.; Kim, N.; Lee, J.; Yoon, Y. Potential of Adsorption of Diverse Environmental Contaminants onto Microplastics. Water 2022, 14, 4086. [Google Scholar] [CrossRef]
- Wang, W.F.; Wang, J. Different partition of polycyclic aromatic hydrocarbon on environmental particulates in freshwater: Microplastics in comparison to natural sediment. Ecotoxicol. Environ. Saf. 2018, 147, 648–655. [Google Scholar] [CrossRef]
- Bao, Z.; Lu, S.; Wang, G.; Cai, Z.; Chen, Z. Adsorption of 2-hydroxynaphthalene, naphthalene, phenanthrene, and pyrene by polyvinyl chloride microplastics in water and their bioaccessibility under in vitro human gastrointestinal system. Sci. Total Environ. 2023, 871, 162157. [Google Scholar] [CrossRef]
- Llorca, M.; Ábalos, M.; Vega-Herrera, A.; Adrados, M.A.; Abad, E.; Farré, M. Adsorption and Desorption Behaviour of Polychlorinated Biphenyls onto Microplastics’ Surfaces in Water/Sediment Systems. Toxics 2020, 8, 59. [Google Scholar] [CrossRef]
- Rochman, C.M.; Hoh, E.; Hentschel, B.T.; Kaye, S. Long-Term field measurement of sorption of organic contaminants to five types of plastic pellets: Implications for plastic marine debris. Environ. Sci. Technol. 2013, 47, 1646–1654. [Google Scholar] [CrossRef]
- Zhang, J.; Zhan, S.; Zhong, L.B.; Wang, X.; Qiu, Z.; Zheng, Y.M. Adsorption of typical natural organic matter on microplastics in aqueous solution: Kinetics, isotherm, influence factors and mechanism. J. Hazard. Mater. 2023, 443, 130130. [Google Scholar] [CrossRef]
- Yap, K.Y.; Tan, M.C. Oil adsorption onto different types of microplastic in synthetic seawater. Environ. Technol. Innov. 2021, 24, 101994. [Google Scholar] [CrossRef]
- Gao, L.; Su, Y.; Yang, L.; Li, J.; Bao, R.; Peng, L. Sorption behaviors of petroleum on micro-sized polyethylene aging for different time in seawater. Sci. Total Environ. 2022, 808, 152070. [Google Scholar] [CrossRef]
- Lee, H.; Shim, W.J.; Kwon, J.H. Sorption capacity of plastic debris for hydrophobic organic chemicals. Sci. Total Environ. 2014, 470, 1545–1552. [Google Scholar] [CrossRef]
- Velzeboer, I.; Kwadijk, C.; Koelmans, A.A. Strong sorption of PCBs to nanoplastics, microplastics, carbon nanotubes, and fullerenes. Environ. Sci. Technol. 2014, 48, 4869–4876. [Google Scholar] [CrossRef]
- Wang, F.; Shin, K.M.; Li, X.Y. The partition behavior of perfluorooctanesulfonate (PFOS) and perfluorooctanesulfonmide (FOSA) on microplastics. Chemophere 2015, 119, 841–847. [Google Scholar] [CrossRef] [PubMed]
- Wu, C.X.; Zhang, K.; Huang, X.L.; Liu, J.T. Sorption of pharmaceuticals and personal care products care products to polyethylene debris. Environ. Sci. Pollut. Res. 2016, 23, 8819–8826. [Google Scholar] [CrossRef] [PubMed]
- Yu, Y.; Qi, Z.; Xiong, D.; Li, W.; Yu, X.; Sun, R. Experimental investigations on the vertical distribution and properties of oil-mineral aggregates (OMAs) formed by different clay minerals. J. Environ. Manag. 2022, 311, 114844. [Google Scholar] [CrossRef] [PubMed]
- Qi, Z.; Yu, Y.; Yu, X.; Li, W.; Fu, S.; Xiong, D. Effect of the concentration and size of suspended particulate matter on oilparticle aggregation. Mar. Pollut. Bull. 2020, 153, 110957. [Google Scholar] [CrossRef]
- Pan, Z.; Zhao, L.; Boufadel, M.C.; King, T.; Robinson, B.; Conmy, R.; Lee, K. Impact of mixing time and energy on the dispersion effectiveness and droplets size of oil. Chemosphere 2017, 166, 246–254. [Google Scholar] [CrossRef]
- Alvarez-Zeferino, J.C.; Ojeda-Benítez, S.; Cruz-Salas, A.A.; Martínez-Salvador, C.; Vázquez-Morillas, A. Microplastics in Mexican beaches. Resour. Conserv. Recy. 2020, 155, 104633. [Google Scholar] [CrossRef]
- Yang, M.; Zhang, B.; Xin, X.; Lee, K.; Chen, B. Microplastic and oil pollution in oceans: Interactions and environmental impacts. Sci. Total Environ. 2022, 838, 156142. [Google Scholar] [CrossRef] [PubMed]
- Yang, M.; Zhang, B.; Chen, Y.; Xin, X.; Lee, K.; Chen, B. Impact of Microplastics on Oil Dispersion Efficiency in the Marine Environment. Sustainability 2021, 13, 13752. [Google Scholar] [CrossRef]
- Yang, M.; Chen, B.; Xin, X.; Song, X.; Liu, J.; Dong, G.; Lee, K.; Zhang, B. Interactions between microplastics and oil dispersion in the marine environment. J. Hazard. Mater. 2021, 403, 123944. [Google Scholar] [CrossRef]
- Yang, M.; Zhang, B.; Xin, X.; Liu, B.; Zhu, Z.; Dong, G.; Zhao, Y.; Lee, K.; Chen, B. Microplastic-oil-dispersant agglomerates in the marine environment: Formation mechanism and impact on oil dispersion. J. Hazard. Mater. 2022, 426, 127825. [Google Scholar] [CrossRef] [PubMed]
- Shan, J.; Wang, J.; Zhan, J.; Liu, L.; Wu, F.; Wang, X. Sorption behaviors of crude oil on polyethylene microplastics in seawater and digestive tract under simulated real-world conditions. Chemosphere 2020, 257, 127225. [Google Scholar] [CrossRef] [PubMed]
- Feng, Q.; An, C.; Chen, Z.; Yin, J.; Zhang, B.; Lee, K.; Wang, Z. Investigation into the impact of aged microplastics on oil behavior in shoreline environments. J. Hazard. Mater. 2022, 421, 126711. [Google Scholar] [CrossRef] [PubMed]
- Xia, W.; Li, J.; Zheng, X.; Zhao, J. Influence of Environmental Factors on Biodegradation of Dispersed Diesel Oil in Seawater. Environ. Forensics 2009, 10, 354–358. [Google Scholar] [CrossRef]
- Gui, X.; Ren, Z.; Xu, X.; Chen, X.; Zhao, L.; Qiu, H.; Gao, X. Oil spills enhanced dispersion and transport of microplastics in sea water and sand at coastal beachheads. J. Hazard. Mater. 2022, 436, 129312. [Google Scholar] [CrossRef]
- Dong, Z.; Hou, Y.; Han, W.; Liu, M.; Wang, J.; Qiu, Y. Protein corona-mediated transport of nanoplastics in sea water-saturated porous media. Water Res. 2020, 182, 115978. [Google Scholar] [CrossRef]
- Hu, J.; Yang, S.Z.; Guo, L.; Xu, X.; Yao, T.; Xie, F. Microscopic investigation on the adsorption of lubrication oil on microplastics. J. Mol. Liq. 2017, 227, 351–355. [Google Scholar] [CrossRef]
- Mehraban, M.F.; Farzaneh, S.A.; Sohrabi, M. Debunking the Impact of Salinity on Crude Oil/Water Interfacial Tension. Energ. Fuel. 2021, 35, 3766–3779. [Google Scholar] [CrossRef]
- Qi, Z.; Sun, R.; Yu, Y.; Xiong, D.; Li, W.; Yu, X.; Fu, S. Performance of dispersed oil and suspended sediment during the oil-sediment aggregation process. Mar. Pollut. Bull. 2021, 168, 112455. [Google Scholar] [CrossRef] [PubMed]
- Yu, Y.; Qi, Z.; Xiong, D.; Sun, R.; Fu, S.; Li, W. Oil dispersion and aggregation with suspended particles in a wave tank. J. Environ. Manage. 2021, 278, 111572. [Google Scholar] [CrossRef]
- Chandrasekar, S.; Sorial, G.A.; Weaver, J.W. Dispersant effectiveness on oil spills—Impact of salinity. ICES J. Mar. Sci. 2006, 63, 1418–1430. [Google Scholar] [CrossRef]
- Gao, Y.; Zhao, X.; Ju, Z.L.; Yu, Y.; Qi, Z.X.; Xiong, D.Q. Effects of the suspended sediment concentration and oil type on the formation of sunken and suspended oils in the Bohai Sea. Environ. Sci.-Proc. Imp. 2018, 20, 1404–1413. [Google Scholar] [CrossRef]
- Yu, Y.; Qi, Z.; Li, W.; Fu, S.; Yu, X.; Xiong, D. Effects of physical parameters and chemical dispersant on the formation of oil-particle aggregates (OPAs) in marine environments. Mar. Pollut. Bull. 2019, 148, 66–74. [Google Scholar] [CrossRef]






| Name of Instruments and Equipment | Purpose |
|---|---|
| Oscillating incubator (ZQTY-90V) | Simulation of mixed energy |
| Microplate spectrophotometer (BioTek Epoch2) | Measurement of oil concentration |
| Laser in situ scattering and transmissometer (LISST-100X) | Measurement of oil droplet size |
| Electronic analytical balance (FA1004) | Weight of MPs and oil |
| Automatic interfacial tension meter (BZY-101) | Measurement of oil–water interfacial tension |
| Experimental Condition | Parameter Setting | |
|---|---|---|
| Experiment 1 | Experiment 2 | |
| Oil type | Merey crude oil | |
| MP type | polyethylene (PE), polystyrene (PS) | |
| MP particle size (μm) | 13, 106 | |
| MP concentration (mg/L) | 50 | |
| Oscillation frequency (rpm) | 160 | |
| Oscillation time (min) | 120 | |
| Salinity (%) | 15, 20, 25, 30, 35 | 30 |
| Temperature (°C) | 20 | 10, 15, 20, 25 |
Disclaimer/Publisher’s Note: The statements, opinions and data contained in all publications are solely those of the individual author(s) and contributor(s) and not of MDPI and/or the editor(s). MDPI and/or the editor(s) disclaim responsibility for any injury to people or property resulting from any ideas, methods, instructions or products referred to in the content. |
© 2023 by the authors. Licensee MDPI, Basel, Switzerland. This article is an open access article distributed under the terms and conditions of the Creative Commons Attribution (CC BY) license (https://creativecommons.org/licenses/by/4.0/).
Share and Cite
Gao, H.; Qi, Z.; Yu, X.; An, Y.; Liu, Z.; Yang, M.; Xiong, D. Effect of Salinity and Temperature on the Dispersion of Spilled Oil in the Presence of Microplastics. J. Mar. Sci. Eng. 2023, 11, 791. https://doi.org/10.3390/jmse11040791
Gao H, Qi Z, Yu X, An Y, Liu Z, Yang M, Xiong D. Effect of Salinity and Temperature on the Dispersion of Spilled Oil in the Presence of Microplastics. Journal of Marine Science and Engineering. 2023; 11(4):791. https://doi.org/10.3390/jmse11040791
Chicago/Turabian StyleGao, Huan, Zhixin Qi, Xinping Yu, Yaya An, Ziyue Liu, Miao Yang, and Deqi Xiong. 2023. "Effect of Salinity and Temperature on the Dispersion of Spilled Oil in the Presence of Microplastics" Journal of Marine Science and Engineering 11, no. 4: 791. https://doi.org/10.3390/jmse11040791
APA StyleGao, H., Qi, Z., Yu, X., An, Y., Liu, Z., Yang, M., & Xiong, D. (2023). Effect of Salinity and Temperature on the Dispersion of Spilled Oil in the Presence of Microplastics. Journal of Marine Science and Engineering, 11(4), 791. https://doi.org/10.3390/jmse11040791
