Optimal SOC Control and Rule-Based Energy Management Strategy for Fuel-Cell-Based Hybrid Vessel including Batteries and Supercapacitors
Abstract
:1. Introduction
2. Vessel Hybrid Power Systems
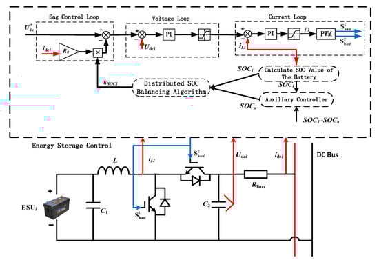
3. Sag Control Strategy Based on SOC Equalization of Vessel ESS
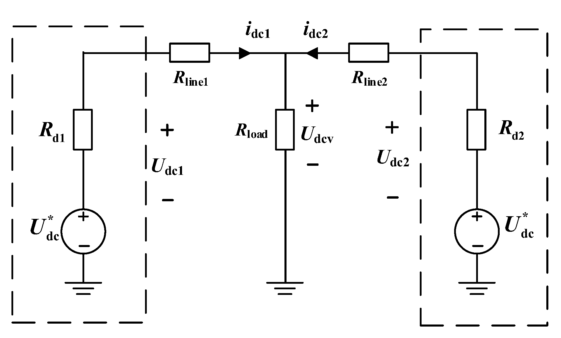
3.1. Traditional Sag Control
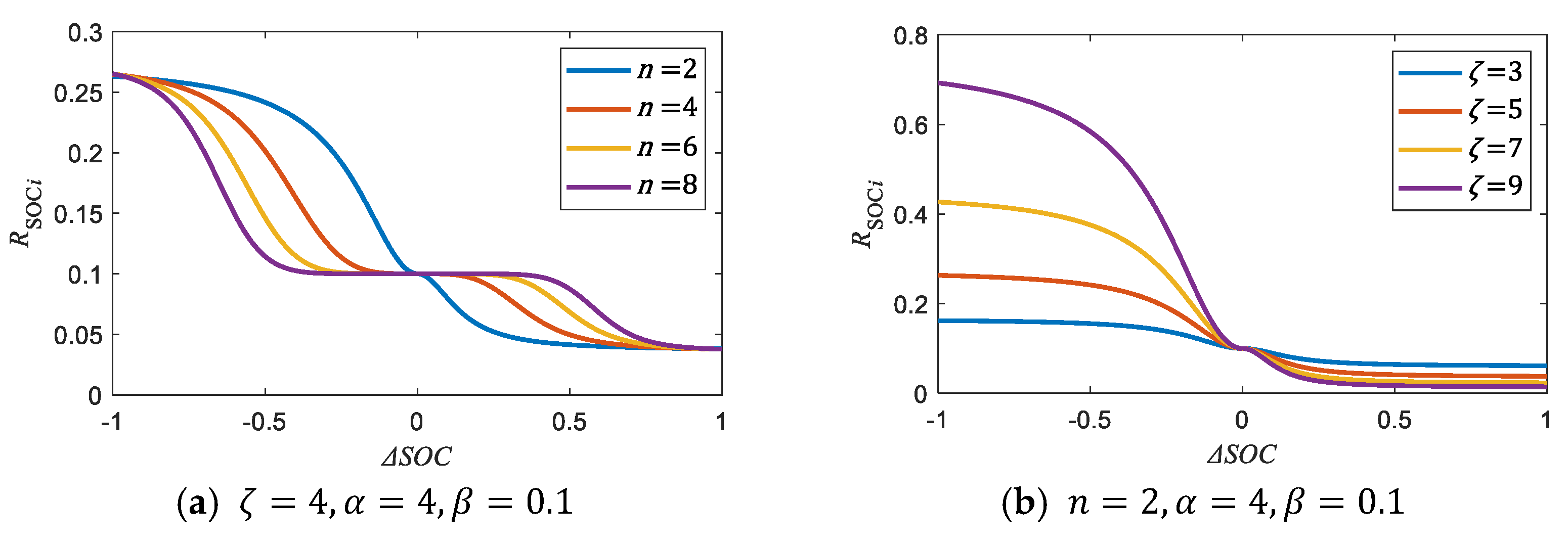
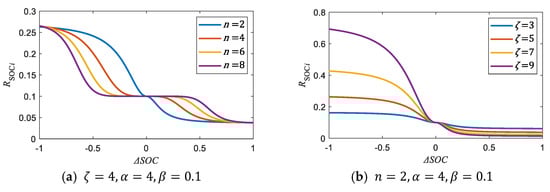
3.2. Distributed Variable Sag Slope Control
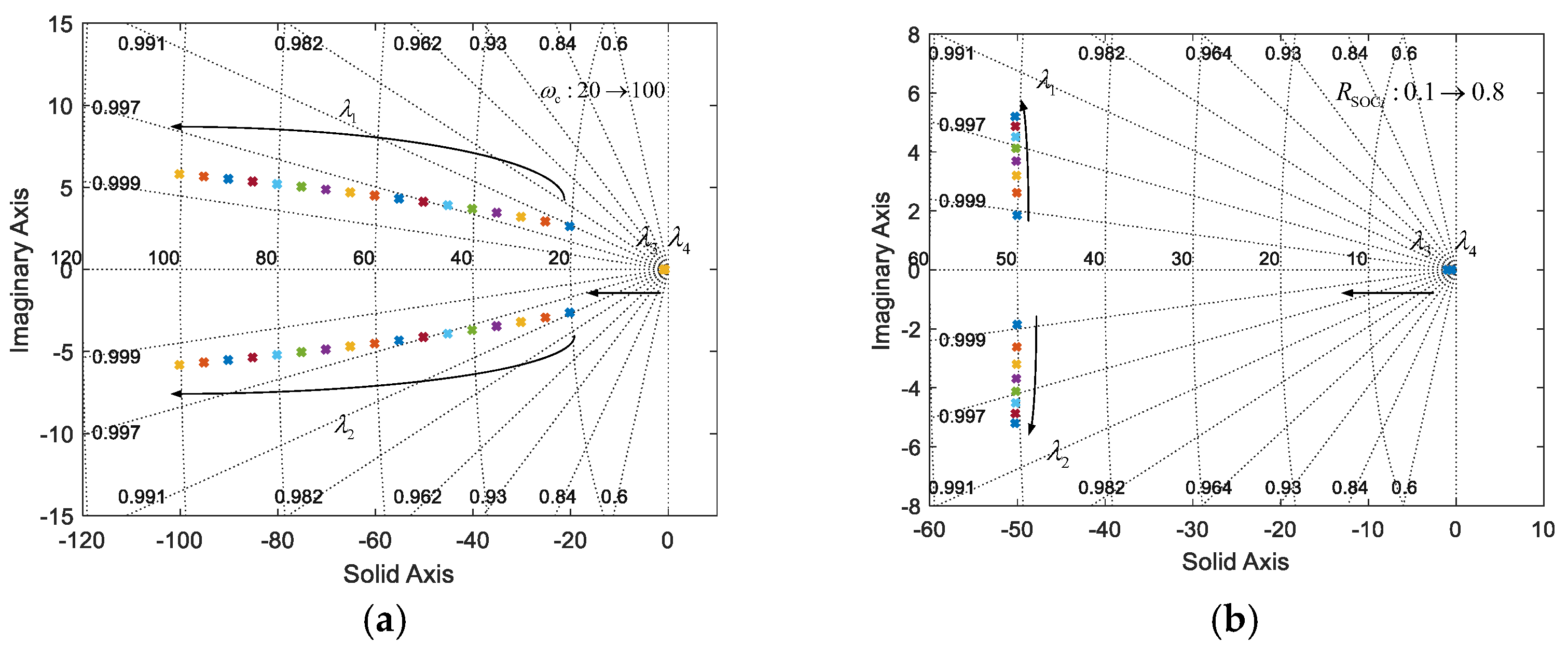
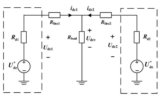
3.3. Stability Analysis
4. Energy Management Strategies for Marine Hybrid Power Systems
4.1. Operating Mode Switching Strategy Based on Supercapacitor SOC
4.2. Hybrid Energy Storage Unit Power Allocation Strategy
4.3. Hybrid FC Vessel Energy Management Strategy
5. Analysis of Simulation Results
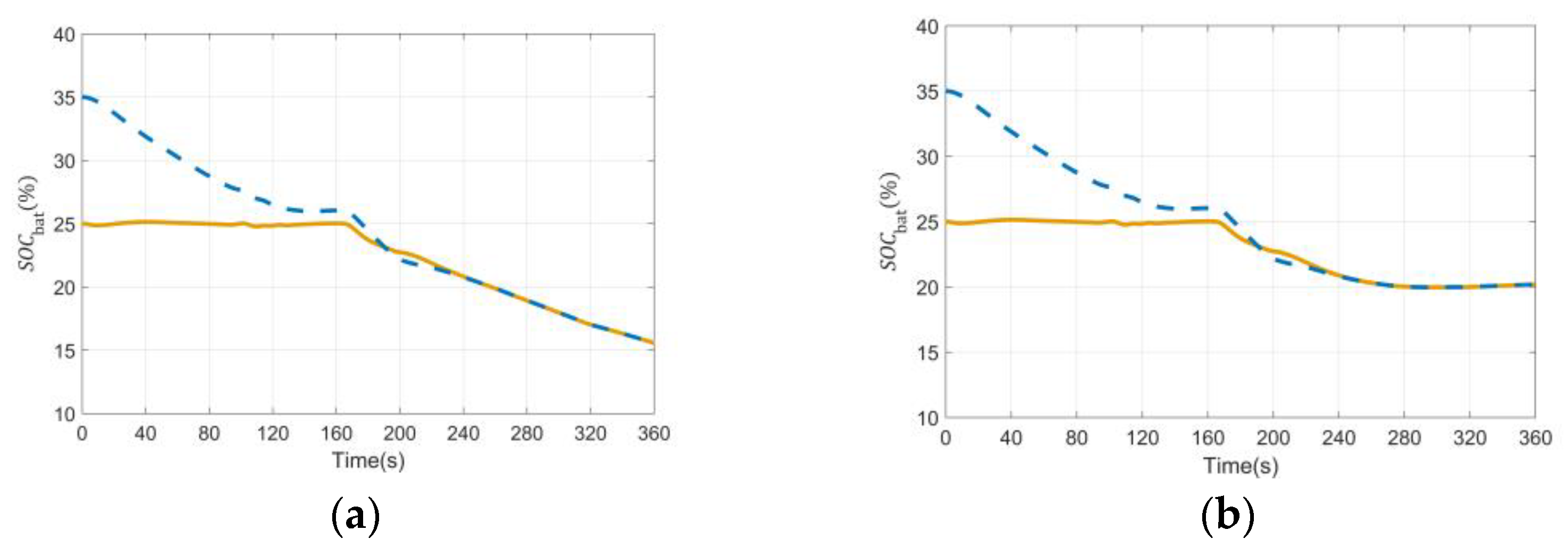
5.1. Analysis of Simulation Results of SOC Equalization Strategy for ESS
5.2. Analysis of Simulation Results of Power Distribution Strategy of Hybrid Energy Storage Unit
5.3. Analysis of Simulation Results of Energy Management Strategy for Hybrid FC Vessels
6. Conclusions
Author Contributions
Funding
Institutional Review Board Statement
Informed Consent Statement
Data Availability Statement
Conflicts of Interest
References
- Zhang, S.; Yuan, H. Overview of the 73rd Session of the Marine Environment Protection Committee of the International Maritime Organization. World Shipp. 2018, 41, 29–31. [Google Scholar]
- Pei, Z. Current situation and development trend of new energy power system for vessels. Pop. Stand. 2021, 11, 18–20. [Google Scholar]
- Sun, Y.; Hu, K.; Yan, X.; Tang, X.; Yuan, C. Review of Key Technical Issues of Hybrid Energy Storage System for New Energy Vessels. Shipbuild. China 2018, 59, 226–236. [Google Scholar]
- Yan, Q.; Mu, J.; Ma, Y.; Wang, Y.; Sun, Y. Overview of Distributed Energy Storage Application Model and Optimal Configuration. Electr. Power Eng. Technol. 2022, 41, 67–74. [Google Scholar]
- Mi, Y.; Cai, H.; Song, X.; Yu, S.; Li, Z. Charge State Equalization Study of Distributed Energy Storage Units Considering Mismatched Wire Resistance. Proc. CSEE 2019, 39, 4441–4451. [Google Scholar]
- Hoang, K.D.; Lee, H. Accurate power sharing with balanced battery state of charge in distributed DC microgrid. IEEE Trans. Ind. Electron. 2019, 66, 1883–1893. [Google Scholar] [CrossRef]
- Huang, X.; Xu, A.; Xu, D.; Yang, C.; Yang, F. Multi-intelligent distributed energy storage two-quadrant SOC consistent adaptive control. China Sci. 2019, 14, 1010–1014. [Google Scholar]
- Wang, X.; He, J.; Du, L. Decentralized control of series-parallel structure of DC microgrid battery energy storage system. J. Power Supply 2019, 17, 91–97. [Google Scholar]
- Lin, J.; Wang, Z.; Zhang, Y. Energy control strategies for distributed energy storage systems considering different capacities in independent DC microgrids. Electr. Power Autom. Equip. 2020, 40, 139–146. [Google Scholar]
- Lin, Y.; Xia, Y.; Wei, S. Plug-in Fuel Cell Electric Vehicle Energy Management Control Strategy Based on Augmented Learning Algorithm. Chin. J. Eng. 2019, 41, 1332–1341. [Google Scholar]
- Bassam, A.M.; Phillips, A.B.; Turnock, S.R.; Wilson, P.A. An improved energy management strategy for a hybrid fuel cell/battery passenger vessel. Int. J. Hydrogen Energy 2016, 41, 22453–22464. [Google Scholar] [CrossRef]
- Zhu, L.; Han, J.; Peng, D.; Wang, T.; Tang, T.; Charpentier, J.-F. Fuzzy logic based energy management strategy for a fuel cell/battery/ultra-capacitor hybrid ship. In Proceedings of the 2014 First International Conference on Green Energy ICGE 2014, Sfax, Tunisia, 25–27 March 2014; pp. 107–112. [Google Scholar]
- Zhang, Z. Study on Sizing and Energy Management Strategy of Hybrid Energy Storage for Hybrid Vessel. Master’s Thesis, Wuhan University of Technology, Wuhan, China, 2019. [Google Scholar]
- Fang, S.; Wang, H.; Zhang, S.; Shang, C. Optimal ship energy storage system scheduling considering battery life loss. Proc. CSEE 2020, 40, 7566–7578. [Google Scholar]
- Zhao, Z. Improved fuzzy logic control-based energy management strategy for hybrid power system of FC/PV/battery/SC on tourist ship. Int. J. Hydrogen Energy 2022, 47, 9719–9734. [Google Scholar] [CrossRef]
- Guerrero, J.M.; Vasquez, J.C.; Matas, J.; de Vicuna, L.G.; Castilla, M. Hierarchical control of droop-controlled AC and DC microgrids—A general approach toward standardization. IEEE Trans. Ind. Electron. 2011, 58, 158–172. [Google Scholar] [CrossRef]
- Anand, S.; Fernandes, B.G.; Guerrero, J. Distributed control to ensure proportional load sharing and improve voltage regulation in low-voltage DC microgrids. IEEE Trans. Power Electron. 2013, 28, 1900–1913. [Google Scholar] [CrossRef]
- Tah, A.; Das, D. An enhanced droop control method for accurate load sharing and voltage improvement of isolated and interconnected DC microgrids. IEEE Trans. Sustain. Energy 2016, 7, 1194–1204. [Google Scholar] [CrossRef]
- Lin, X.; Zamora, R.; Baguley, C. A Fully Filter-Based Decentralized Control With State of Charge Balancing Strategy for Battery Energy Storage Systems in Autonomous DC Microgrid Applications. IEEE Access 2021, 9, 15028–15040. [Google Scholar] [CrossRef]
- Li, P.; Zhang, C.; Yuan, R.; Kan, Z.; Chen, Y. Load Current Distribution Method for Distributed Energy Storage Systems with Improved SOC Sag Control. Proc. CSEE 2017, 37, 3746–3754. [Google Scholar]
- Liu, Z.; Yang, C.; Jiang, W.; Li, P.; Yang, B. Power Allocation Technology for DC Microgrid Energy Storage System Based on Consistency Algorithm. Autom. Electr. Power Syst. 2020, 44, 61–69. [Google Scholar]
- Shen, N.; Gao, J.; He, X. Research on a Scenery Power Smoothing Control Strategy Based on Hybrid Energy Storage System. Electr. Energy Effic. Manag. Technol. 2019, 1, 62–68. [Google Scholar]
- Kannayeram, G.; Prakash, N.B.; Muniraj, R. Intelligent hybrid controller for power flow management of PV/battery/FC/SC system in smart grid applications. Int. J. Hydrogen Energy 2020, 45, 21779–21795. [Google Scholar] [CrossRef]
- Sun, Y.; Xu, Q.; Yuan, Y.; Yang, B. Optimal Energy Management of Fuel Cell Hybrid Electric Vessels Considering Fuel Cell Aging Cost. In Proceedings of the 2020 IEEE/IAS Industrial and Commercial Power System Asia, Weihai, China, 13–16 July 2020; pp. 240–245. [Google Scholar]
- Yang, W.; Liu, X. Multi-objective Genetic Algorithm Based Configuration Optimization of Shipboard Energy Storage System. Electron. Meas. Technol. 2021, 44, 49–53. [Google Scholar]
- Li, X.; Ma, R. Energy Management Method for Energy Storage Systems Considering Battery Pack Health Status. Power Syst. Technol. 2020, 44, 4210–4217. [Google Scholar]
- Banaei, M.; Rafiei, M.; Boudjadar, J.; Khooban, M.H. A Comparative Analysis of Optimal Operation Scenarios in Hybrid Emission-Free Ferry Vessels. IEEE Trans. Transp. Electrif. 2020, 6, 318–333. [Google Scholar] [CrossRef]
- Liu, Q.; Zhan, Y.; Li, R. Multi-objective Optimization of Energy Management Strategy for Fuel Cell Vehicles. Electron. Meas. Technol. 2020, 43, 31–36. [Google Scholar]





























| Parameters | Value |
|---|---|
| 20~100 rad/s |
| SOCess < SOCmin | SOCmin ≤ SOCess ≤ SOCmax | SOCmax ≤ SOCess | |
|---|---|---|---|
| Normal Navigation Phase | |||
| Port Call, Shore, and Offshore Phase |
| Discharge Depth | Cycle Life/Time |
|---|---|
| 0.2 | 50,000 |
| 0.4 | 14,000 |
| 0.6 | 8000 |
| 0.8 | 6000 |
| 1 | 4000 |
| FC Output Power | Lithium Battery Output Power | Ultracapacitor Output Power | |
|---|---|---|---|
| State = 1 | ] | ] | ] |
| State = 2 | ] | ] | ] |
| Parameter Name | Take Value | Parameter Name | Take Value |
|---|---|---|---|
| Lithium Battery Voltage | 240 V | Initial Sag Factor | 0.01 |
| DC Bus Voltage | 560 V | Rated Capacity of Energy Storage Module | 5 Ah |
| Input-Side Capacity | Output-Side Capacity | 4 mF | |
| Inductance | 5 mH | Switching Frequency | 10 kHz |
| Category | Parameter | Numerical Value |
|---|---|---|
| DC Bus | Nominal Voltage | 560 V |
| FC | Nominal Power | 100 kW |
| Current Loop Controller (P/I) | 21.92/6232.88 | |
| Lithium Battery | Nominal Capacity | 2 × 50 Ah |
| Nominal Voltage | 240 V | |
| Voltage Loop Controller (P/I) | 3.5/52.5 | |
| Current Loop Controller (P/I) | 21.92/6232.88 | |
| Initial Value of Sag Coefficient | 0.3 | |
| Supercapacitor | Nominal Capacity | 63 F |
| Nominal Voltage | 250 V | |
| Voltage Loop Controller (P/I) | 3.5/52.5 | |
| Current Loop Controller (P/I) | 21.92/6232.88 | |
| Constant Current Discharge Reference Current | 40 A | |
| Constant Current Charging Reference Current | 40 A | |
| Load | Load Power | 4.45~110 kW |
| Indicator | Conventional Vessel Energy Management Strategy | Improved Vessel Energy Management Strategy |
|---|---|---|
| Hydrogen Consumption/g/day | 3200 | 4032 |
| Life Loss | 2.9 × 10−3 | 1.83 × 10−3 |
Disclaimer/Publisher’s Note: The statements, opinions and data contained in all publications are solely those of the individual author(s) and contributor(s) and not of MDPI and/or the editor(s). MDPI and/or the editor(s) disclaim responsibility for any injury to people or property resulting from any ideas, methods, instructions or products referred to in the content. |
© 2023 by the authors. Licensee MDPI, Basel, Switzerland. This article is an open access article distributed under the terms and conditions of the Creative Commons Attribution (CC BY) license (https://creativecommons.org/licenses/by/4.0/).
Share and Cite
Ma, Z.; Chen, H.; Han, J.; Chen, Y.; Kuang, J.; Charpentier, J.-F.; Aϊt-Ahmed, N.; Benbouzid, M. Optimal SOC Control and Rule-Based Energy Management Strategy for Fuel-Cell-Based Hybrid Vessel including Batteries and Supercapacitors. J. Mar. Sci. Eng. 2023, 11, 398. https://doi.org/10.3390/jmse11020398
Ma Z, Chen H, Han J, Chen Y, Kuang J, Charpentier J-F, Aϊt-Ahmed N, Benbouzid M. Optimal SOC Control and Rule-Based Energy Management Strategy for Fuel-Cell-Based Hybrid Vessel including Batteries and Supercapacitors. Journal of Marine Science and Engineering. 2023; 11(2):398. https://doi.org/10.3390/jmse11020398
Chicago/Turabian StyleMa, Zeyu, Hao Chen, Jingang Han, Yizheng Chen, Jiongchen Kuang, Jean-Frédéric Charpentier, Nadia Aϊt-Ahmed, and Mohamed Benbouzid. 2023. "Optimal SOC Control and Rule-Based Energy Management Strategy for Fuel-Cell-Based Hybrid Vessel including Batteries and Supercapacitors" Journal of Marine Science and Engineering 11, no. 2: 398. https://doi.org/10.3390/jmse11020398
APA StyleMa, Z., Chen, H., Han, J., Chen, Y., Kuang, J., Charpentier, J.-F., Aϊt-Ahmed, N., & Benbouzid, M. (2023). Optimal SOC Control and Rule-Based Energy Management Strategy for Fuel-Cell-Based Hybrid Vessel including Batteries and Supercapacitors. Journal of Marine Science and Engineering, 11(2), 398. https://doi.org/10.3390/jmse11020398

