You are currently viewing a new version of our website. To view the old version click .
Journal of Marine Science and Engineering
  • Article
  • Open Access

1 February 2023

Cooperative Path Tracking for Swarm of MASSs Based on Consensus Theory

,
,
,
,
,
,
and
1
School of Marine Science and Technology, Tianjin University, Tianjin 300072, China
2
School of Informatics, Xiamen University, Xiamen 361005, China
3
Tianjin Port Environmental Monitoring Engineering Center, Tianjin 300072, China
*
Authors to whom correspondence should be addressed.
This article belongs to the Special Issue Application of Advanced Technologies in Maritime Safety

Abstract

At present, marine autonomous surface ships (MASSs) play a huge role in marine shipping, surveying and mapping, safeguarding the rights and interests of marine space, and other maritime tasks. The cooperative operation of a swarm of MASSs can extend the scope of operation of the MASSs, and thus allow them to carry out more complex tasks. Path tracking is an important problem for the control of a swarm of MASSs. In this paper, the control of underactuated MASSs is decoupled, to control the heading and speed, respectively. First of all, in the path tracking, the improved arc LOS guidance law is introduced, and the heading torque controller is designed, so that the MASS can track the reference path efficiently and accurately. Then the single-path guided path tracking without formation of the swarm of MASSs is studied, the reference path of the swarm center tracking is defined, and the heave thrust controller of the swarm of MASSs is designed based on consensus theory, so that the surge velocity of the MASS can tend towards consistentcy, and finally converge to the desired speed. Finally, the effectiveness of the proposed control strategy is verified by two groups of simulation experiments.

1. Introduction

With the in-depth study of maritime autonomous surface ship (MASS) technology and sensor technology, ships will gradually become intelligent and unmanned. In December 2018, the 100th session of the IMO Maritime Safety Committee approved the framework and method for defining the regulatory scope of MASSs [1]. MASSs will become the development trend of marine intelligent technology. Due to the limitation of their range, UAVs have been unable to give full play to their practical value in sea missions, while MASSs have a strong endurance ability, low fuel consumption, can overcome the harsh extreme environment at sea, and have the advantages of autonomous control and convenient deployment. In 2017, the average daily fuel consumption of the cargo ship “Dazhi”, developed by the Chinese, could be reduced by about 4% [2]. In 2022, Zhuhai Cloud, the world’s first intelligent unmanned system mother ship, could carry more than 50 different unmanned systems [3]. MASSs have many advantages at sea. However, the ship motion has the typical characteristics of a large inertia, non-linearity, underdrive, and uncertainty, so it is difficult to control; the marine operation environment is complex [4]. In addition, limited by the complexity of the task, and the ability of a single MASS to perform the mission, a single MASS is very inefficient or may not be able to complete the task. Inspired by the biological swarm, a swarm is carried out by multiple agents, which have the distribution characteristics of time, space, information, and function. The cooperative control of a MASS swarm mainly includes collision avoidance, formation, path planning, tracking, and so on. Path tracking is the core technology of automatic control, including trajectory tracking and path tracking. The main difference between them is that path tracking is a parameterized path, there are no time constraints. Specifically, the path tracking goal of the MASS is to track a given route, without considering the time constraints. One goal is to track the route as much as possible to achieve a smooth tracking effect, and the other is to ensure that the speed of the ship meets the desired requirements.
Since the Fossen research group first began to study it [5], the path tracking problem of MASS swarm systems has been continuously advanced and developed. Aiming at the path tracking problem of MASS model parameter uncertainty and marine environment disturbance, Wang Hao et al. [6,7] proposed a robust adaptive cooperative path tracking algorithm based on a neural network and dynamic surface control technology. Through neural network learning, a high frequency oscillation in the control signal is avoided and a good control effect is obtained. Based on the method of auxiliary variables, Nan Gu et al. [8] designed a distributed director to make the MASS swarm converge to multiple virtual leaders, by designing an extended state device and linear tracking differentiator. Lu Liu et al. [9] proposed a parameter cycle tracking method to ensure the uniform distribution of vehicles on a closed curve and to achieve a symmetrical formation pattern. Yujiao Zhao et al. [10] proposed a path tracking algorithm based on a virtual leader, which can make the MASS swarm form a predetermined formation and can readjust the formation when the formation of the swarm is disturbed, or when a MASS leaves the formation. Mingcong Li [11] proposed a finite-time state observer and a finite-time line-of-sight (LOS) guidance law, designed a heading controller for path tracking in directed topology communication, and developed an auxiliary power controller to make the system stable in finite time. Aiming at the problem of complex unknown and MASS drive saturation, Youqiang Huang [12] proposed an event-triggered system control scheme, combined with a disturbance controller and high-gain observer, to realize path tracking of an underactuated MASS swarm. Y Zheng et al. [12] combined control and decision-making in reinforcement learning, and proposed a linear active disturbance rejection controller based on a soft actor–critic (SAC) algorithm to realize the adaptive control of USV path tracking.
From the above research on MASS cooperative path tracking, it can be seen that the current MASS cooperative path tracking mainly focuses on the uncertain factors caused by MASS model and marine environment disturbances, as well as the speed and sideslip angle during navigation. Some results have been achieved in single ship path tracking, but when controlling a swarm of MASSs, the MASS communication structure coupled with the complexity of swarm control, makes it difficult to achieve effective path tracking. The swarm of MASSs is mainly controlled by the leader follower method, but with the increase of the scale of the swarm, and the complexity of operation tasks, the number of MASSs is increasing, and the leadership follower mode faces great challenges and a heavy burden of communication. At present, the consistency control method is the most widely studied, and it is the most extensive agent distributed control method. The MASS updates the status according to the control strategy, by exchanging information with a neighboring MASS, and finally reaches an agreement on a certain problem. The current research is the agent control considering the ideal situation, while the MASS belongs to the underactuated system, so it is difficult to control. It makes it difficult to apply the existing research results to control of a swarm of MASSs. In view of the problems encountered in the above discussion, we propose a cooperative path tracking method for use with a swarm of MASSs. The framework proposed in this paper is shown in Figure 1.
Figure 1. Cooperative path tracking structure of a swarm of MASSs.
We have mainly done the following work. Firstly, the MASS trunking communication and control model is established. Based on the arc LOS guidance law, a MASS heading controller is proposed for swarm path tracking. Compared with the research of Nan Gu et al. [8], the swarm of MASSs path tracking in this paper uses a single parameter path, which is more practical. Secondly, this paper proposes a swarm of MASSs heave thrust controller based on consensus theory, so that the surge velocity of the MASS can tend towards consistency and finally converge to the desired speed.
The rest of this article is organized as follows. In Section 2, some concepts will be introduced to model the MASS, and then describe the control objectives of this paper. In Section 3, the controller and stability analyses are proposed. In Section 4, an experiment is designed to verify the controller proposed in this paper. Section 5 concludes the paper.

2. Problem Description

2.1. Algebra and Graph Theory

Consider a swarm consisting of n MASSs. A graph is a tool to represent the communication topology, which is represented by the graph G = (V, E). Where V = {v1,v2, ... vn} is the vertex set which represents each MASS. vi is the starting point and vj is the end point. E denotes whether the communication link between MASSs is established or not, which is mainly determined by the distance between MASSs. If there is an edge that reaches vi from a vertex, the set of neighbor j that is called vi is called Ni.
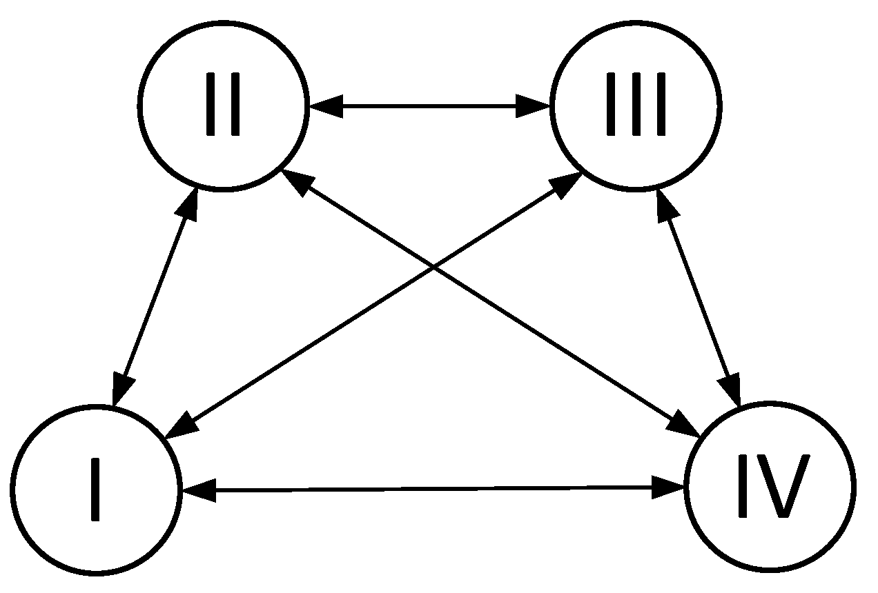
In this paper, the vertex of the graph represents a MASS, and the MASS communicates through AIS or wireless. Figure 2 shows the communication topology of a swarm composed of four MASSs.
Figure 2. Communication topology with four MASS nodes.

2.2. Problem Formulation

The actual motion of the MASS has six degrees of freedom (DOFs), but in practice, except for complex scenes such as berthing, omni-directional control cannot be achieved in the actual maneuvering process. During navigation, the MASS can consider three DOFs of motion on the plane, which can be divided into Surge, Sway, and Yaw motions. The variables of the three DOFs are expressed as η i = [ x i , y i , ψ i ] Τ , which represents the position and heading of the MASS i in the geodetic reference coordinate system, and υ i = [ u i , v i , r i ] Τ represents the surge velocity, sway velocity, and yaw angular velocity, respectively, of the MASS i in the body’s coordinate system.
In this paper, a 3-DOF MASS kinematics model is considered, and its kinematics equation is described in vector form as:
η ˙ i = R ( ψ i ) υ i
where R ( ψ i ) is the rotation transformation matrix from the body coordinate system to the geodetic reference coordinate system, which is in the following form:
R ( ψ i ) = cos ( ψ i ) sin ( ψ i ) 0 sin ( ψ i ) cos ( ψ i ) 0 0 0 1
The simplified MASS is symmetrical in three axis planes, and it is considered that the center of gravity and buoyancy center are in the z-axis direction, without considering the disturbance of the marine environment. The 3-DOF dynamic model of the MASS can be described by the following equations:
M i υ ˙ i + C i ( υ i ) υ i + D i υ i = τ i
Mi represents the inertia force matrix in the geodetic reference coordinate system, which is the inertia force caused by the additional inertia mass, and its form is as follows:
M i = d i a g { m 1 i , m 2 i , m 3 i }
Di represents the hydrodynamic damping matrix, which is the damping force caused by the viscosity of the fluid in the following form:
D i = d i a g { d 1 i , d 2 i , d 3 i }
Ci(vi) represents the Coriolis force matrix. Further, assuming that the MASS is left and right, and front and rear symmetrical, then the inertia force and hydrodynamic damping matrix are diagonal matrices. Then the oblique Ci(vi) is a symmetric matrix in the form of:
C i ( υ i ) = 0 0 m 2 i v i 0 0 m 1 i u i m 2 i v i m 1 i u i 0
τ i = [ τ u i , 0 , τ r i ] Τ represents the thrust and yaw torque generated by the MASS. τ u i and τ r i are bounded.
Consider a group of n MASSs, the central location of the swarm of MASSs P is defined as follows:
p ¯ = ( x ¯ , y ¯ ) ,   x ¯ = 1 n i = 1 n x i ,   y ¯   = 1 n i = 1 n y i
According to the research of Liang et al. [13], considering a swarm of n MASSs, the center position of the calculation can asymptotically converge to the actual swarm center, and the swarm will not diverge gradually. Therefore, this article uses the central location of the swarm to track the desired path. For the path to be tracked, a set of desired path points can be preset in the geodetic coordinate system:
P = [P1,P2, …, Pn]
where Pn = [Pnx, Pny]T represents the position of a specific coordinate point in the geodetic coordinate system, and the point tracked by the center point of the designed swarm of MASSs is P0 = [P0x,P0y]T; P0 is always on the preset path point or arc. The cooperative path tracking of the above swarm of MASSs is shown in Figure 3.
Figure 3. Swarm of MASSs path tracking.
In this paper, the control objectives of cooperative path tracking in a swarm of MASSs are mainly described as follows:
(1)
Heading control target:
lim|ΨiΨd| = 0
(2)
Speed control target:
lim|uiuj| = 0

3. Methodology

First of all, this section discusses the path tracking problem of underactuated ships. On this basis, the single-path guided path tracking for a swarm of MASSs when the global path information is known, is studied. The speed and heading control of the MASS are decoupled. At the kinematic level, the improved LOS method is used to guide the arc LOS. At the dynamic level, the consensus algorithm is used to achieve the stability of the swarm.

3.1. Path Tracking of MASS

3.1.1. Arc LOS Guidance Law

In the MASS path tracking system, the navigation system is a very important part. The LOS guidance law is widely used in path tracking of unmanned systems. The basic principle is to divide the path into many path points, and track the front denomination target points by simulating the helmsman operating a ship, so as to achieve the purpose of path tracking. For underactuated MASSs, only the thrust and steering torque can be provided, and the introduction of the LOS guidance law can achieve good path tracking.
It is assumed that the desired path is a set of path points, and the adjacent path points are connected by a straight line, and the MASS sails to a certain range around a path point. It is considered that the MASS has reached the path point and then tracked the next path point. In this way, in the course of navigation, there are always two adjacent path points that have arrived, and the next path point to be tracked. A schematic diagram of the LOS guidance law is shown in Figure 4.
Figure 4. The LOS method of path tracking for a MASS.
It is set that Pk and Pk+1 are the adjacent track points that the MASS has arrived at and not arrived at. The angle between Pk and Pk+1 and the longitudinal axis of the inertial coordinate system is Ψk, and the vertical intersection with P0 is made from the MASS position P to two points. The distance, e, between the two points represents the transverse error. The position of the straight line P0Pk+1, distance P0, distance Δ is Plos, where Δ represents the forward distance, which is generally 2–4 times that of the length of the ship. Defining the angle ∠ PPlosP0 as Ψr, then there is:
ψ r = arctan e Δ
The angle between the longitudinal axis of the MASS and the longitudinal axis of the inertial coordinate system is called the expected LOS angle Ψlos, and there is the following relationship:
ψ l o s = ψ k + ψ r
By rearranging Equations (10) and (11), the desired heading angle Ψd can be calculated:
ψ d = ψ k + arctan e Δ
Let the distance between P0 and Pk be s, which can be obtained from the geometric relation:
s e = cos ( ψ k ) sin ( ψ k ) sin ( ψ k ) cos ( ψ k ) x x k y y k
When a path point is first tracked, that is, s = 0, then
cos ( ψ k ) ( x x k ) + sin ( ψ k ) ( y y k ) = 0
Because the LOS guidance law is sensitive to marine environmental disturbance, which affects the tracking accuracy, in order to increase the anti-interference of the tracking, the forward distance is designed as a function of the lateral error [14].
Δ ( e ) = ( Δ max Δ min ) e ξ e + Δ min , ψ r [ π 2 , π 2 ]
where S ξ is the convergence rate of the forward distance, because the underactuated ship has the interference of wind, waves, and currents during the voyage, it will produce a lateral velocity v, then the actual motion is satisfied by U.
U = u + v
The angle between the actual direction of motion and the longitudinal direction β is called the drift angle of the MASS, also known as the sideslip angle. Under good control, the side slip angle of the MASS is often small [15], satisfying β ≤ 5.
If the sideslip angle is taken into account, the expected heading angle is:
ψ d = ψ k + arctan e Δ β
Note that when the MASS is navigating, it is impossible to measure or calculate the side slip angle, some research has used the design predictor to predict the lateral speed, or used the integral LOS navigation law to counteract the interference factors of the environment, but the integral term will directly affect the response speed of the MASS, this paper simplifies this part and gives the side slip angle directly.
According to the definition of the LOS guidance law, it is necessary to switch path points when the distance between the MASS and Pk+1 is less than Ilos. The above is effective in straight-line path tracking, and sudden changes will occur in the process of switching path points, which is not conducive to the stability of the control system. In this paper, the arc LOS guidance law is introduced to the straight-line path, switching to track the planned path. The MASS uses the arc LOS guidance method at the distance from the next path point Ilos, as shown in Figure 5.
Figure 5. Arc LOS guidance law diagram.
As shown in Figure 5, the transition is carried out by a smoother arc at the turn, the two path points are connected at the vertical intersection point O at the distance of Ilos, and there is an intersection point between the MASS’s positions P and O and the arc. The tangent of the arc is made through the intersection point, and the position of the distance Δ before the intersection point is Plos. Similarly, the calculation of the above LOS guidance law is also applicable to the circular LOS guidance law. Note that the above angle is clockwise and positive. The arc LOS guidance law effectively avoids a sudden change in the path conversion process, and provides a prerequisite for efficient path tracking. At this point, the design of the LOS guidance law is completed, and the MASS needs to carry out good heading tracking.

3.1.2. Design of Heading Torque Controller

In order to enable the MASS to better track the desired path, this section designs a torque dynamics controller, so that the MASS can track the desired heading well. According to the LOS guidance law in the previous section, the current heading angle error, Ψe, is defined as:
ψ e = ψ ψ d
where Ψ is the current heading angle of the MASS, and Ψd is the expected heading angle calculated by the guidance law, which is given by the LOS system. Here, the desired heading tracking can be realized as long as Ψe is near zero by control. Similarly, the current heading angular velocity error, re, is defined as:
r e = r ψ ˙ d
where r is the current heading angular velocity of the MASS, which is known from the kinematics of the MASS, there is an equation r = ψ ˙ . The heading torque controller is designed as follows:
τ r = ( m 1 m 2 ) u v + d 3 r k 1 m 3 ψ e k 2 m 3 r e + m 3 ψ ¨ d
The terms ψ ˙ d and ψ ¨ d in Equations (19) and (20) are bounded. At this point, the torque controller of the MASS has been designed, and the stability of the controller is analyzed below.

3.1.3. Stability Analysis

The torque controller needs to ensure the stability of the heading angle tracking, and the Lyapunov function is considered as follows.
V 1 = 1 2 k 1 ψ e 2 + 1 2 r e 2
To derive it, we can use:
V ˙ 1 = k 1 ψ e ψ ˙ e + r e r ˙ e = k 1 ψ e r e + r e ( r ˙ r ˙ d )
where r ˙ d = ψ ¨ d , bring the controller into Equation (22) to get:
V ˙ 1 = k 1 ψ e ψ ˙ e + r e ( k 1 ψ e k 2 r e + ψ ¨ d ψ ¨ d )
Further simplifying Equation (23) gives:
V ˙ 1 = k 1 ψ e r e + r e ( k 1 ψ e k 2 r e ) = k 2 r e 2 0
Because V ˙ 1 0 , from the second stability of Lyapunov, the heading torque control is asymptotically stable at last. This also means that the heading of the MASS will steadily track the expected heading angle.
For path tracking, in order to theoretically verify the feasibility of path tracking of the heading torque controller, the following is the analysis of the lateral trajectory tracking error, and the lateral deviation in the expansion of Equation (13) is obtained.
e = sin ( ψ k ) ( x x k ) + cos ( ψ k ) ( y y k )
To derive it, we can use:
e ˙ = sin ( ψ k ) ( x ˙ x ˙ k ) + cos ( ψ k ) ( y ˙ y ˙ k ) cos ( ψ k ) ( x x k ) + sin ( ψ k ) ( y y k ) ψ ˙ k
Because of Equation (14), according to the geometric relationship of the straight line and arc LOS guidance law, there are:
sin ( ψ k ) x ˙ k cos ( ψ k ) y ˙ k = 0
Then Equation (26) can be reduced to:
e ˙ = sin ( ψ k ) x ˙ + cos ( ψ k ) y ˙
By bringing in the kinematics formula of the MASS, we can get:
e ˙ = sin ( ψ k ) ( u cos ψ v sin ψ ) + cos ( ψ k ) ( u sin ψ + v i cos ψ )
The above formula can be rewritten in the following form:
e ˙ = u 2 + v 2 sin ( ψ + β ψ k )
The above is the final form of the transverse error reduction, and then the path tracking stability is proved, considering the following Lyapunov function.
V 2 = 1 2 e 2
To derive it, we can use:
V ˙ 2 = e e ˙ = e ( u 2 + v 2 sin ( ψ + β ψ k ) )
Because the MASS will cause the drift angle between the lateral velocity and the environment when turning, it is considered that the drift angle should be generally less than 5° and is constant [16]. From the stability analysis of the heading angle, it is known that the heading angle, Ψ, can accurately track the desired heading angle. If the heading angle tracking error and velocity tracking error converge to zero, then there is the following equation.
ψ = ψ k + ψ r β
Then Equation (32) has:
V ˙ 2 = e ( u 2 + v 2 sin ( ψ r ) )
Bringing Equation (10) into the above equation, it can be written as:
V ˙ 2 = e ( u 2 + v 2 sin ( atan ( e Δ ) ) )
Further expansion is possible:
V ˙ 2 = u 2 + v 2 e 2 e 2 + Δ 0
Because V ˙ 2 0 , from the second stability of Lyapunov, the lateral trajectory tracking error is asymptotically stable. Therefore, as long as the heading angle and speed can be tracked to the expected value, the MASS will certainly be able to track the desired path.

3.2. Collaborative Path Tracking of MASS Swarm Based on Consensus Theory

In the previous section, in view of the abrupt change of the LOS guidance law at the transition path point in the path tracking control of a single MASS, the circular LOS guidance law was introduced, and a heading torque controller was designed to track the heading angle and analyze the stability.
In this section, based on the research of MASS path tracking, considering the kinematic and dynamic parameters of MASS, the cooperative path tracking research of MASS swarms is carried out based on state consistency. The following is mainly aimed at the position control target and speed control target, carrying out the design of the MASS heave controller.

3.2.1. Design of Heave Thrust Controller

Heave thrust is the main power for a ship to move forward, the purpose of the heave thrust controller is to track a given reference speed. In this paper, the consensus algorithm is used to adjust the speed between nearby MASSs, so that the swarm of MASSs can track the path well.
In the design of the heave thrust controller, it is considered that the longitudinal speed, u, is equivalent to the combined speed, U, because the longitudinal speed of the MASS is much larger than the lateral speed in the actual navigation, even when turning, due to the limitation of the rudder angle of the MASS, it will also make the lateral speed of the MASS within a certain range, that is to say:
U = u 2 + v 2 u
In the path tracking for a swarm of MASSs, the expected speed, ud, of the swarm is set, and the longitudinal speed tracking error is defined as ue, then for the MASS i, the longitudinal speed tracking error is:
uei = uiud
Under the neighbor information exchange, based on the consistency controller, the heave thrust controller of the i MASS is designed as follows.
τ u i = m 2 i v i r i + d 1 i u i k 3 m 1 i u e i k 4 m 1 i j = 1 N a i j ( u i u j )
where k3 and k4 are the control coefficients, which meet the requirements of k3 and k4 > 0. The speed of the swarm converges to the consensus. The stability analysis of the heave controller is carried out below.

3.2.2. Stability Analysis

Consider the Lyapunov function as follows:
V 3 = 1 2 u e i 2
To derive it, we can use:
V ˙ 3 = u e i u ˙ e i
Deriving Equation (38) and bringing it into the above equation, we can get:
V ˙ 3 = u e i ( u ˙ i u ˙ d )
Considering that the expected speed, ud, of the swarm is constant, then the MASS dynamics Formula (3) and the Controller (39) proposed in this paper are substituted into the above equation.
V ˙ 3 = u e i ( k 3 u e i k 4 j = 1 N a i j ( u i u j ) )
Further simplifying Equation (43):
V ˙ 3 = k 3 u e i 2 k 4 j = 1 N a i j ( u i u j )
By transforming some terms of Equation (44) into matrix form, we can obtain:
V ˙ 3 = k 3 u e i 2 k 4 L u
where u = [ u 1 , u 2 , , u n ] is the swarm speed vector and L is the Laplace matrix of the communication topology graph G. Because k3 and k4 > 0, so there is k 3 u e i 2 0 . When the communication topological graph G is undirected and connected, with −k4Lu ≤ 0, it is known from the second stability of Lyapunov that the speed of the MASS is asymptotically stable. According to the comprehensive analysis of heading angle and path tracking stability, the control system of the swarm is stable.

4. Experimental Verification

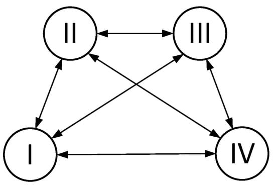
The heading torque controller and heave thrust controller for MASS were designed in Section 3.1 and Section 3.2, respectively. In order to verify the effectiveness of the proposed method, a group of three MASSs is considered in this section. The MASS Cybership of the Norwegian University of Science and Technology is taken as the simulation object [5]. The dynamic parameters are given by m1 = 16.790, m2 = 24.790, m3 = 2.760, d1 = 0.655, d2 = 1.330, d3 = 1.900. The input limits of heave thrust and heading torque are given by τumax = 4, τrmax = 3. The communication topology between the swarm is shown in Figure 6.
Figure 6. Swarm of MASSs communication topology.
It can be seen that the communication topology is undirected and there is no leader. The MASS II can receive the status information of MASS I and III, and there is no direct communication between MASS I and III. This communication topology not only does not make any two MASSs communicate with each other, but also ensures that the graph has a minimum spanning tree. The adjacency matrix and Laplace matrix of the communication topology are as follows.
D = 0 1 0 1 0 1 0 1 0 , L = 1 1 0 1 2 1 0 1 1

4.1. Simulation I (Simulation Path)

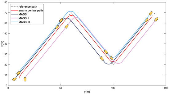
The initial state is (x1,y1,Ψ1) = [6,6,pi/3]T, (x2,y2,Ψ2) = [16,6,0]T, (x3,y3,Ψ3) = [10,12,pi/3]T, the initial speed is v1 = 0.6, v2 = 0.8, v3 = 1 m/s, and the reference path point is P = [[20,20]T, [60,80]T]. In the Arc LOS guidance law, in the controller (20), k1 = 25, k2 = 3, in the controller (39), k3 = 1, k4 = 3. The desired speed of the swarm is ud = 1 m/s. The simulation results are shown in Figure 7, Figure 8, Figure 9 and Figure 10. In addition, for comparison, Figure 11 and Figure 12 show the path tracking effect without using the arc LOS guidance law.
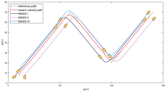
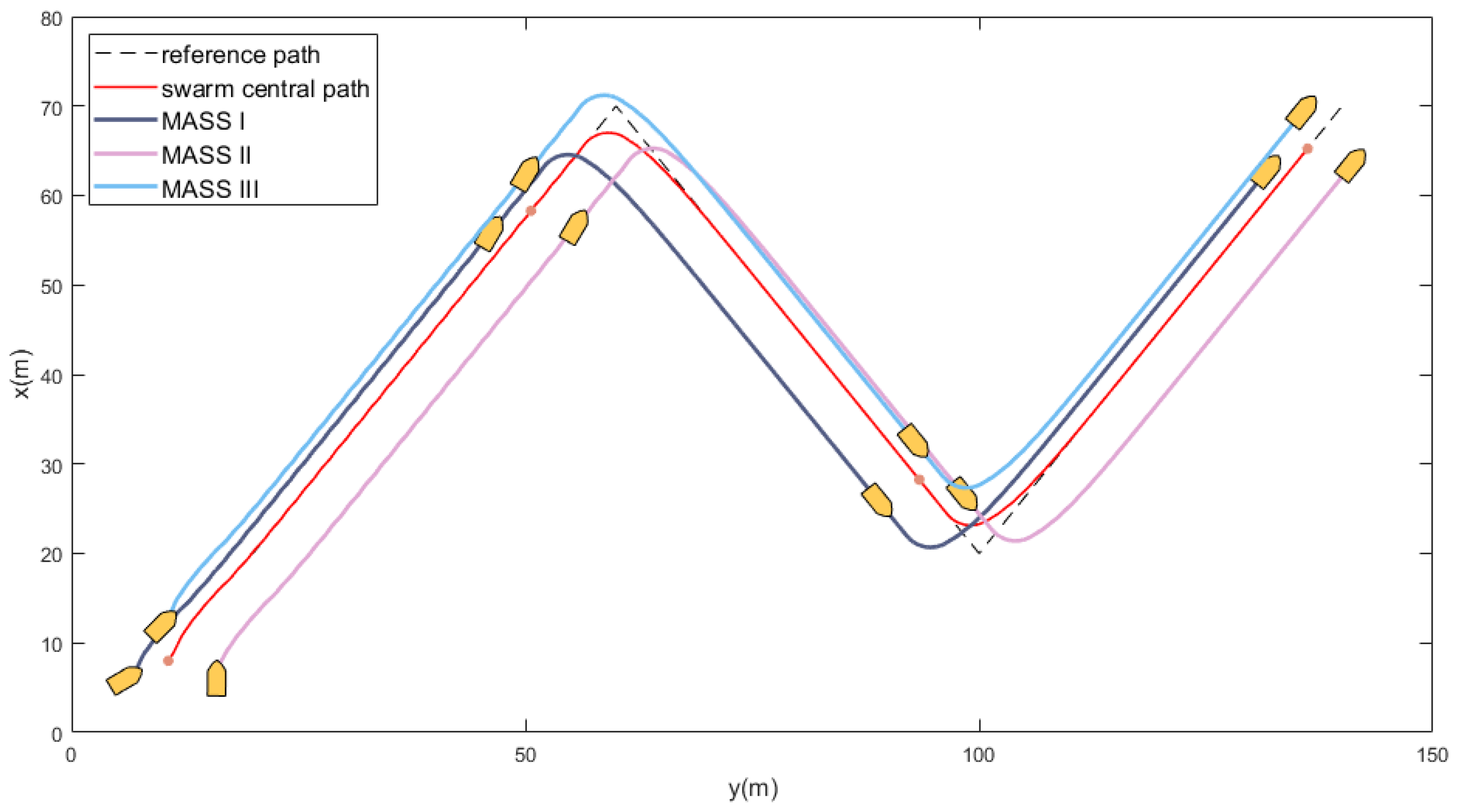
Figure 7. Reference path and path of MASSs.
Figure 8. Surge velocity of MASSs.
Figure 9. Heave thrust of MASSs.
Figure 10. Heading torque of MASSs.
Figure 11. Reference path and path of MASSs (no arc LOS).
Figure 12. Comparison of lateral errors in path tracking between the two methods.
By the proposed control strategy, the swarm of MASSs can track a single-parameter path. Figure 7 shows the effect of path tracking of three MASSs. The discontinuous line is the given referenced single-parameter path, and the thick line is the simulation path of each MASS. It can be seen that, although the initial state of each MASS is different, the swarm of MASSs can track the referenced path well under the designed controller. In addition, because there is no demand for the formation location of the swarm, the computing center position of the MASS will only converge to the swarm center and track the reference path, but does not show a fixed formation shape. Compared with the results without arc LOS in Figure 11, and the lateral errors of the two methods in Figure 12, it can be seen that the ideal tracking effect can be obtained by using the arc LOS guidance law when changing path points, and the overall control effect and path tracking effect have been greatly improved due to the introduction of derivatives to reduce the jitter of MASS motion.
Figure 8 shows the surge velocity of three MASSs. The initial speed of each MASS is different, and the design desired speed is 1 m/s. From the surge velocity of 0–15 s, it can be seen that the speed of MASS III is the highest. Under the control of the consensus term in the heave thrust controller, it will actively slow down to “try” to make the speeds of the separate MASSs in the swarm converge. The speeds of the MASS I and II are lower and will actively accelerate, and the acceleration of the MASS I is larger than that of the II. Finally, the surge velocity of each MASS converges synchronously to the desired speed. At the same time, at the turning point, due to the introduction of the arc LOS guidance law, the speed of the MASS decreases slightly and converges to the desired speed when tracking in a straight line.
Figure 9 and Figure 10 show the heave thrust and the heading torque of the three MASSs, respectively. The heave thrust and the heading torque of each MASS finally tend towards the same value, and the heading torque tends to zero when there is no heading adjustment.
Through two groups of simulation experiments in this section, it can be concluded that through the separation mode of heading and speed control, the heading torque controller and heave thrust controller are designed. The heading torque controller based on the arc LOS guidance law, has a good tracking effect in a single parameter path, and can enable the swarm of MASSs to complete the task of path tracking. The heave thrust controller based on consistency design can make the cluster finally converge to the desired speed of the swarm.

4.2. Simulation II (Real Environment Path)

In order to further verify the algorithm proposed in this paper, we choose the environment of Tianjin Port, based on the research of Xiangyu Chen et al. [17], for the unmanned ship swarm in Tianjin’s mouth narrow channel planning path, the planning results are shown in Figure 13. The three MASSs in this section are used to track the planned path, given the initial state (x1,y1,Ψ1) = [11800,2100,pi/2]T, (x2,y2,Ψ2) = [11845,2040,0]T, (x3,y3,Ψ3) = [11864,12137,-pi/2]T. Figure 14 shows the tracking results of the three MASSs on the planned path.
Figure 13. Results of path planning for narrow waterways.
Figure 14. Path tracking result for swarm of MASSs.
Through the results of Figure 14, we can see that in the real marine environment, the initial state of each MASS is different. Under the control of the controller designed in this paper, the swarm can quickly stabilize and track the given path well.

5. Conclusions

This paper mainly studies the cooperative path tracking of an underactuated MASS swarm guided by a single path. The dynamic control of the underactuated MASSs is decoupled, and the heading torque and heave thrust controllers are designed. Firstly, the tracking path is made smoother by introducing a circular LOS guidance law, a heading torque controller is designed. Through Lyapunov stability analysis, the controller is asymptotically stable in the heading angle and path tracking. Secondly, aiming at the scene for swarm of MASSs path tracking, the swarm center position is defined, and the heave thrust controller based on consensus is designed, which can make the MASS speed tend towards a consistent value. Finally, two groups of simulation experiments of the simulation path and real environment path are carried out to verify the controller proposed in this work. The controller designed in this paper shows great advantages in tracking the path, and MASS swarms are expected to be applied in the real environment. The work of this paper can provide a theoretical basis for the large-scale cooperative operation of MASS swarms in the future, and gradually realize the autonomous navigation of MASS swarms in the whole sea area with the development of ship networking technology.

Author Contributions

Investigation, Conceptualization, Software, Writing—original draft, Writing—review & editing, X.L.; Investigation, Supervision, Visualization, and review, M.G.; methodology, investigation, supervision, and project administration, A.Z.; investigation, Z.K.; formal analysis, X.C.; investigation, S.C.; investigation, X.Z.; investigation and resources, H.S.; All authors have read and agreed to the published version of the manuscript.

Funding

This research is supported by the National Natural Science Foundation of China (52201414), the Guangdong Special Fund for Promoting Economic Development (Guangdong Natural Resources Cooperation) (Grant No. [2022]19).

Institutional Review Board Statement

This study did not require ethical approval.

Data Availability Statement

Not applicable.

Conflicts of Interest

The authors declare no conflict of interest.

References

  1. Schröder-Hinrichs, J.-U.; Song, D.-W.; Fonseca, T.; Lagdami, K.; Loer, K. Transport 2040: Automation, Technology, Employment—The Future of Work. 2019. Available online: https://safety4sea.com/wp-content/uploads/2019/01/World-Maritime-University-Transport-2040-Automation-Technology-Employment-The-future-of-work-2019_01.pdf (accessed on 2 September 2022).
  2. Qing, W.U.; Le, W.; Jialun, L.I.U. Research Status and Prospects of Autonomous Surface Cargo Ships. Available online: http://html.rhhz.net/tis/html/201806028.htm (accessed on 5 December 2022).
  3. Lei, A.; Wu, C. “Zhuhai Cloud” Launched as the World’s First Intelligent Unmanned System Mother Ship. Available online: https://epaper.gmw.cn/gmrb/html/2022-05/19/nw.D110000gmrb_20220519_4-08.htm (accessed on 22 May 2022).
  4. Peng, Z.; Wang, J.; Wang, D.; Han, Q.-L. An Overview of Recent Advances in Coordinated Control of Multiple Autonomous Surface Vehicles. IEEE Trans. Ind. Inform. 2021, 17, 732–745. [Google Scholar] [CrossRef]
  5. Skjetne, R.; Smogeli, O.; Fossen, T. A Nonlinear Ship Manoeuvering Model: Identification and Adaptive Control with Experiments for a Model Ship. Model. Identif. Control 2004, 25, 3–27. [Google Scholar] [CrossRef]
  6. Hao, W.; Dan, W.; Zhouhua, P.; Wei, W. Adaptive Dynamic Surface Control for Cooperative Path Following of Underactuated Marine Surface Vehicles via Fast Learning. IET Control Theory Appl. 2013, 7, 1888–1898. [Google Scholar] [CrossRef]
  7. Wang, H.; Wang, D.; Peng, Z. Neural Network Based Adaptive Dynamic Surface Control for Cooperative Path Following of Marine Surface Vehicles via State and Output Feedback. Neurocomputing 2014, 133, 170–178. [Google Scholar] [CrossRef]
  8. Gu, N.; Wang, D.; Peng, Z.; Liu, L. Distributed Containment Maneuvering of Uncertain Under-Actuated Unmanned Surface Vehicles Guided by Multiple Virtual Leaders with a Formation. Ocean Eng. 2019, 187, 105996. [Google Scholar] [CrossRef]
  9. Liu, L.; Wang, D.; Peng, Z.; Liu, H.H.T. Saturated Coordinated Control of Multiple Underactuated Unmanned Surface Vehicles over a Closed Curve. Sci. China Inf. Sci. 2017, 60, 070203. [Google Scholar] [CrossRef]
  10. Zhao, Y.; Ma, Y.; Hu, S. USV Formation and Path-Following Control via Deep Reinforcement Learning With Random Braking. IEEE Trans. Neural Netw. Learn. Syst. 2021, 32, 5468–5478. [Google Scholar] [CrossRef] [PubMed]
  11. Li, M.; Guo, C.; Yu, H. Global Finite-Time Control for Coordinated Path Following of Multiple Underactuated Unmanned Surface Vehicles along One Curve under Directed Topologies. Ocean Eng. 2021, 237, 109608. [Google Scholar] [CrossRef]
  12. Zheng, Y.; Tao, J.; Sun, Q.; Sun, H.; Chen, Z.; Sun, M.; Xie, G. Soft Actor-Critic Based Active Disturbance Rejection Path Following Control for Unmanned Surface Vessel under Wind and Wave Disturbances. Ocean Eng. 2022, 247, 110631. [Google Scholar] [CrossRef]
  13. Liang, X.; Qu, X.; Hou, Y.; Li, Y.; Zhang, R. Distributed Coordinated Tracking Control of Multiple Unmanned Surface Vehicles under Complex Marine Environments. Ocean Eng. 2020, 205, 107328. [Google Scholar] [CrossRef]
  14. Chen, J. Research on Tracking Control for Underactuated Ships. Master’s Thesis, Wuhan University of Technology, Wuhan, China, 2018. [Google Scholar]
  15. Huang, Y.; Wu, D.; Li, L.; Feng, N. Event-Triggered Cooperative Path Following Control of Multiple Underactuated Unmanned Surface Vehicles with Complex Unknowns and Actuator Saturation. Ocean Eng. 2022, 249, 110740. [Google Scholar] [CrossRef]
  16. Fossen, T.I.; Pettersen, K.Y.; Galeazzi, R. Line-of-Sight Path Following for Dubins Paths With Adaptive Sideslip Compensation of Drift Forces. IEEE Trans. Control Syst. Technol. 2015, 23, 820–827. [Google Scholar] [CrossRef]
  17. Chen, X.; Gao, M.; Kang, Z.; Zhou, J.; Chen, S.; Liao, Z.; Sun, H.; Zhang, A. Formation of MASS Collision Avoidance and Path Following Based on Artificial Potential Field in Constrained Environment. J. Mar. Sci. Eng. 2022, 10, 1791. [Google Scholar] [CrossRef]
Disclaimer/Publisher’s Note: The statements, opinions and data contained in all publications are solely those of the individual author(s) and contributor(s) and not of MDPI and/or the editor(s). MDPI and/or the editor(s) disclaim responsibility for any injury to people or property resulting from any ideas, methods, instructions or products referred to in the content.

Article Metrics

Citations

Article Access Statistics

Multiple requests from the same IP address are counted as one view.