Three-Dimensional Modeling of Tsunami Waves Triggered by Submarine Landslides Based on the Smoothed Particle Hydrodynamics Method
Abstract
:1. Introduction
2. Numerical Approach
2.1. SPH Theory
2.2. Governing Equations
2.3. Material Model
3. Validation of the SPH Model
3.1. Benchmark Problem 1: 2D Submarine Landslide Test
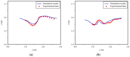
3.2. Benchmark Problem 2: 3D Submarine Landslide Test
4. 3D Modeling of Baiyun Submarine Landslide
4.1. Baiyun Landslide in the South China Sea
4.2. Numerical Simulation of Baiyun Landslide
4.3. Discussion
4.3.1. Effect of Landslide Volume
4.3.2. Effect of Water Depth
4.3.3. Limitations of the Presented SPH Model
5. Conclusions
- (1)
- A 3D numerical model based on the SPH method was established in this work to simulate a submarine landslide’s movement across complex submarine terrain and the near-field characteristics of the resulting tsunami waves.
- (2)
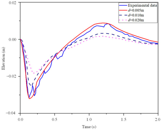
- To validate the SPH model, two physical model experiments, in both 2D and 3D, which have been recorded in the literature were simulated and analyzed. The water pressure distribution and velocity vector of the fluid were obtained. The simulated landslide configurations and surface water profiles were compared to the experimental data. The presented results show that despite some discrepancies, the SPH model established in this paper is capable of simulating the soil–water interaction and predicting landslide-generated tsunami events with satisfactory accuracy. The benchmark problem was simulated using the SPH model with different particle resolutions. The results show that the SPH model with finer particle resolution can obtain more accurate results. Therefore, high particle resolutions are necessary in SPH simulations to ensure sufficient computational accuracy.
- (3)
- The Baiyun submarine landslide in the South China Sea was simulated using the presented SPH model. The entire motion process of the landslide and the generation of tsunami waves were reproduced. The propagation direction of the leading wave basically agreed with the dominant landslide direction. The effects of water depth and slide volume on the landslide-generated tsunami waves were investigated. The simulation results show that landslides with a larger volume generate larger tsunamis with higher amplitudes, longer wavelengths, and lower frequencies. A landslide in a shallower water area can result in a larger tsunami. These relationships can be used for the rapid prediction of a tsunami disaster.
Author Contributions
Funding
Institutional Review Board Statement
Informed Consent Statement
Data Availability Statement
Conflicts of Interest
References
- Cecioni, C.; Bellotti, G. Modeling tsunamis generated by submerged landslides using depth integrated equations. Appl. Ocean Res. 2010, 32, 343–350. [Google Scholar] [CrossRef]
- Heller, V.; Spinneken, J. Improved landslide-tsunami prediction: Effects of block model parameters and slide model. J. Geophys. Res. Ocean. 2013, 118, 1489–1507. [Google Scholar] [CrossRef]
- McAdoo, B.G.; Watts, P. Tsunami hazard from submarine landslides on the Oregon continental slope. Mar. Geol. 2004, 203, 235–245. [Google Scholar] [CrossRef]
- Harahap, I.S.H.; Huan, V.N.P. Generation, propagation, run-up and impact of landslide triggered tsunami: A literature review. Appl. Mech. Mater. 2014, 567, 724–729. [Google Scholar] [CrossRef]
- Bondevik, S.; Lovholt, F.; Harbitz, C.; Mangerud, J.; Dawson, A.; Svendsen, J.I. The Storegga Slide tsunami—Comparing field observations with numerical simulations. Mar. Pet. Geol. 2005, 22, 195–208. [Google Scholar] [CrossRef]
- Fine, I.V.; Rabinovich, A.B.; Bornhold, B.D.; Thomson, R.E.; Kulikov, E.A. The Grand Banks landslide-generated tsunami of November 18, 1929: Preliminary analysis and numerical modeling. Mar. Geol. 2005, 215, 45–57. [Google Scholar] [CrossRef]
- Tanioka, Y. Analysis of the far-field tsunamis generated by the 1998 Papua New Guinea earthquake. Geophys. Res. Lett. 1999, 26, 3393–3396. [Google Scholar] [CrossRef]
- Fornaciai, A.; Favalli, M.; Nannipieri, L. Numerical simulation of the tsunamis generated by the Sciara del Fuoco landslides (Stromboli Island, Italy). Sci. Rep. 2019, 9, 18542. [Google Scholar] [CrossRef]
- Sassa, S.; Takagawa, T. Liquefied gravity flow-induced tsunami: First evidence and comparison from the 2018 Indonesia Sulawesi earthquake and tsunami disasters. Landslides 2019, 16, 195–200. [Google Scholar] [CrossRef]
- Watts, P. Wavemaker curves for tsunamis generated by underwater landslides. J. Waterw. Port Coast. Ocean Eng. 1998, 124, 127–137. [Google Scholar] [CrossRef]
- Watts, P. Tsunami features of solid block underwater landslides. J. Waterw. Port Coast. Ocean Eng. 2000, 126, 144–152. [Google Scholar] [CrossRef]
- Ataie-Ashtiani, B.; Najafi-Jilani, A. Laboratory investigations on impulsive waves caused by underwater landslide. Coast. Eng. 2008, 55, 989–1004. [Google Scholar] [CrossRef]
- Hu, Y.X.; Li, H.B.; Li, C.J.; Zhou, J.W. Quantitative evaluation in classification and amplitude of near-field landslide generated wave induced by granular debris. Ocean Eng. 2022, 261, 112142. [Google Scholar] [CrossRef]
- Bregoli, F.; Bateman, A.; Medina, V. Tsunamis generated by fast granular landslides: 3D experiments and empirical predictors. J. Hydraul. Res. 2017, 55, 743–758. [Google Scholar] [CrossRef]
- Rauter, M.; Hoße, L.; Mulligan, R.P.; Take, W.A.; Løvholt, F. Numerical simulation of impulse wave generation by idealized landslides with OpenFOAM. Coast. Eng. 2020, 165, 103815. [Google Scholar] [CrossRef]
- Deng, X.; He, S.; Cao, Z.; Wu, T. Numerical investigation of the hydrodynamic response of an impermeable sea-wall subjected to artificial submarine landslide-induced tsunamis. Landslides 2021, 18, 3937–3952. [Google Scholar]
- Yavari-Ramshe, S.; Ataie-Ashtiani, B. A rigorous finite volume model to simulate subaerial and submarine landslide-generated waves. Landslides 2015, 14, 203–221. [Google Scholar] [CrossRef]
- Fu, L.; Jin, Y.C. Investigation of non-deformable and deformable landslides using meshfree method. Ocean Eng. 2015, 109, 192–206. [Google Scholar] [CrossRef]
- Zhao, K.L.; Qiu, L.C.; Liu, Y. Two-layer two-phase material point method simulation of granular landslides and generated tsunami waves. Phys. Fluids 2022, 34, 123312. [Google Scholar] [CrossRef]
- Mulligan, R.; Franci, A.; Celigueta, M.; Take, W. Simulations of landslide wave generation and propagation using the particle finite element method. J. Geophys. Res. Ocean. 2020, 125, e2019JC015873. [Google Scholar] [CrossRef]
- Qiu, L.C.; Tian, L.; Liu, X.; Han, Y. A 3D multiple-relaxation-time LBM for modeling landslide-induced tsunami waves. Eng. Anal. Bound. Elem. 2019, 102, 51–59. [Google Scholar] [CrossRef]
- Yavari-Ramshe, S.; Ataie-Ashtiani, B. Numerical modeling of subaerial and submarine landslide-generated tsunami waves—Recent advances and future challenges. Landslides 2016, 13, 1325–1368. [Google Scholar] [CrossRef]
- Altomare, C.; Scandura, P.; Cáceres, I.; Viccione, G. Large-scale wave breaking over a barred beach: SPH numerical simulation and comparison with experiments. Coast. Eng. 2023, 185, 104362. [Google Scholar] [CrossRef]
- De Padova, D.; Ben Meftah, M.; De Serio, F.; Mossa, M.; Sibilla, S. Characteristics of breaking vorticity in spilling and plunging waves investigated numerically by SPH. Environ. Fluid Mech. 2020, 20, 233–260. [Google Scholar] [CrossRef]
- Lowe, R.J.; Buckley, M.L.; Altomare, C.; Rijnsdorp, D.P.; Yao, Y.; Suzuki, T.; Bricker, J.D. Numerical simulations of surf zone wave dynamics using Smoothed Particle Hydrodynamics. Ocean Model. 2019, 144, 101481. [Google Scholar] [CrossRef]
- Lowe, R.J.; Altomare, C.; Buckley, M.L.; da Silva, R.F.; Hansen, J.E.; Rijnsdorp, D.P.; Domínguez, J.M.; Crespo, A.J.C. Smoothed Particle Hydrodynamics simulations of reef surf zone processes driven by plunging irregular waves. Ocean Model. 2022, 171, 101945. [Google Scholar] [CrossRef]
- Makris, C.V.; Memos, C.D.; Krestenitis, Y.N. Numerical modeling of surf zone dynamics under weakly plunging breakers with SPH method. Ocean Model. 2016, 98, 12–35. [Google Scholar] [CrossRef]
- Roselli, R.A.R.; Vernengo, G.; Brizzolara, S.; Guercio, R. SPH simulation of periodic wave breaking in the surf zone-A detailed fluid dynamic validation. Ocean Eng. 2019, 176, 20–30. [Google Scholar] [CrossRef]
- Dai, Z.L.; Xie, J.W.; Jiang, M.T. A coupled peridynamics–smoothed particle hydrodynamics model for fracture analysis of fluid–structure interactions. Ocean Eng. 2023, 279, 114582. [Google Scholar] [CrossRef]
- Capone, T.; Panizzo, A.; Monaghan, J.J. SPH modelling of water waves generated by submarine landslides. J. Hydraul. Res. 2010, 48, 80–84. [Google Scholar] [CrossRef]
- Shi, C.; An, Y.; Wu, Q.; Liu, Q.; Cao, Z. Numerical simulation of landslide-generated waves using a soil-water coupling smoothed particle hydrodynamics model. Adv. Water Resour. 2016, 92, 130–141. [Google Scholar] [CrossRef]
- Farhadi, A. ISPH numerical simulation of tsunami generation by submarine landslides. Arab. J. Geosci. 2018, 11, 330. [Google Scholar] [CrossRef]
- Mahallem, A.; Roudane, M.; Krimi, A.; Gouri, S.A. Smoothed Particle Hydrodynamics for modelling landslide-water interaction problems. Landslides 2022, 19, 1249–1263. [Google Scholar] [CrossRef]
- Bu, S.; Li, D.; Chen, S.; Xiao, C.; Li, Y. Numerical simulation of landslide generated waves using a SPH-DEM coupling model. Ocean Eng. 2022, 258, 111826. [Google Scholar] [CrossRef]
- Tan, H.; Xu, Q.; Chen, S. Subaerial rigid landslide-tsunamis: Insights from a block DEM-SPH model. Eng. Anal. Bound. Elem. 2018, 95, 297–314. [Google Scholar] [CrossRef]
- Hu, Y.X.; Zhu, Y.G.; Li, H.B.; Li, C.J.; Zhou, J.W. Numerical estimation of landslide-generated waves at Kaiding Slopes, Houziyan Reservior, China, using a coupled DEM-SPH method. Landslides 2021, 18, 3435–3448. [Google Scholar] [CrossRef]
- Xu, W.J.; Yao, Z.G.; Luo, Y.T.; Dong, X.Y. Study on landslide-induced wave disasters using a 3D coupled SPH-DEM method. Bull. Eng. Geol. Environ. 2020, 79, 467–483. [Google Scholar] [CrossRef]
- Rzadkiewicz, S.A.; Mariotti, C.; Heinrich, P. Numerical simulation of submarine landslides and their hydraulic effects. J. Waterw. Port Coast. Ocean Eng. 1997, 123, 149–157. [Google Scholar] [CrossRef]
- Lucy, L.B. A numerical approach to the testing of the fission hypothesis. Astron. J. 1977, 82, 1013–1024. [Google Scholar] [CrossRef]
- Liu, M.B.; Liu, G. Smoothed particle hydrodynamics (SPH): An overview and recent developments. Arch. Comput. Methods Eng. 2020, 17, 25–76. [Google Scholar] [CrossRef]
- Swegle, J.W.; Hicks, D.L.; Attaway, S.W. Smoothed particle hydrodynamics stability analysis. J. Comput. Phys. 1995, 116, 123–134. [Google Scholar] [CrossRef]
- Wendland, H. Piecewise polynomial, positive definite and compactly supported radial functions of minimal degree. Adv. Comput. Math. 1995, 4, 389–396. [Google Scholar] [CrossRef]
- Lo, E.Y.M.; Shao, S. Simulation of near-shore solitary wave mechanics by an incompressible SPH method. Appl. Ocean Res. 2002, 24, 275–286. [Google Scholar]
- Dalrymple, R.A.; Rogers, B.D. Numerical modeling of water waves with the SPH method. Coast. Eng. 2006, 53, 141–147. [Google Scholar] [CrossRef]
- Hu, X.Y.; Adams, N.A. An incompressible multi-phase SPH method. J. Comput. Phys. 2007, 227, 264–278. [Google Scholar] [CrossRef]
- Adami, S.; Hu, X.Y.; Adams, N.A. A new surface-tension formulation for multi-phase SPH using a reproducing divergence approximation. J. Comput. Phys. 2010, 229, 5011–5021. [Google Scholar] [CrossRef]
- Dai, Z.L.; Huang, Y.; Cheng, H.L.; Xu, Q. SPH model for fluid–structure interaction and its application to debris flow impact estimation. Landslides 2017, 14, 917–928. [Google Scholar] [CrossRef]
- Dai, Z.L.; Huang, Y.; Cheng, H.L.; Xu, Q. 3D numerical modeling using smoothed particle hydrodynamics of flow-like landslide propagation triggered by the 2008 Wenchuan earthquake. Eng. Geol. 2014, 180, 21–33. [Google Scholar] [CrossRef]
- Dai, Z.; Xie, J.; Qin, S.; Chen, S. Numerical investigation of surge waves generated by submarine debris flows. Water 2021, 13, 2276. [Google Scholar] [CrossRef]
- Ye, Y.C. Marine Hazardous Geology of China; Maritime Press: Beijing, China, 2012. [Google Scholar]
- Megawati, K.; Shaw, F.; Sieh, K.; Huang, Z.H.; Wu, T.R.; Lin, Y.N.; Tan, S.K.; Pan, T.C. Tsunami hazard from the subduction megathrust of the South China Sea: Part I. Source characterization and the resulting tsunami. J. Asian Earth Sci. 2009, 36, 13–20. [Google Scholar] [CrossRef]
- Mardi, N.H.; Malek, M.A.; Liew, M.S. Tsunami simulation due to seaquake at Manila Trench and Sulu Trench. Nat. Hazards 2017, 85, 1723–1741. [Google Scholar] [CrossRef]
- Xu, Z.G.; Liang, S.S.; Rahman, M.N.B.; Li, H.W.; Shi, J.Y. Historical earthquakes, tsunamis and real-time earthquake monitoring for tsunami advisory in the South China Sea region. Nat. Hazards 2021, 107, 771–793. [Google Scholar] [CrossRef]
- Zhu, C.Q.; Cheng, S.; Li, Q.P.; Shan, H.X.; Lu, J.A.; Shen, Z.C.; Liu, X.L.; Jia, Y.G. Giant Submarine Landslide in the South China Sea: Evidence, Causes, and Implications. J. Mar. Sci. Eng. 2019, 7, 152. [Google Scholar] [CrossRef]
- Li, L.L.; Qiu, Q.; Li, Z.G.; Zhang, P.Z. Tsunami hazard assessment in the South China Sea: A review of recent progress and research gaps. Sci. China-Earth Sci. 2022, 65, 783–809. [Google Scholar] [CrossRef]
- Pan, X.Y.; Li, L.L.; Nguyen, H.P.; Wang, D.W.; Switzer, A.D. Submarine Landslides in the West Continental Slope of the South China Sea and Their Tsunamigenic Potential. Front. Earth Sci. 2022, 10, 843173. [Google Scholar] [CrossRef]
- Sun, Q.; Xie, X.; Piper, D.J.W.; Wu, J.; Wu, S. Three dimensional seismic anatomy of multi-stage mass transport deposits in the Pearl River Mouth Basin, northern South China Sea: Their ages and kinematics. Mar. Geol. 2017, 393, 93–108. [Google Scholar] [CrossRef]
- Sun, Q.; Cartwright, J.; Xie, X.; Lu, X.; Yuan, S.; Chen, C. Reconstruction of repeated Quaternary slope failures in the northern South China Sea. Mar. Geol. 2018, 401, 17–35. [Google Scholar] [CrossRef]
- Sun, Y.; Huang, B. A potential tsunami impact assessment of submarine landslide at Baiyun Depression in Northern South China Sea. Geoenviron. Disasters 2014, 1, 7. [Google Scholar]
- Ren, Z.; Zhao, X.; Liu, H. Numerical study of the landslide tsunami in the South China Sea using Herschel-Bulkley rheological theory. Phys. Fluids 2019, 31, 056601. [Google Scholar] [CrossRef]
- Li, L.L.; Shi, F.Y.; Ma, G.F.; Qiu, Q. Tsunamigenic potential of the Baiyun Slide complex in the South China Sea. J. Geophys. Res. Solid Earth 2019, 124, 7680–7698. [Google Scholar] [CrossRef]
- Ren, Z.Y.; Liu, H.; Li, L.L.; Wang, Y.C.; Sun, Q.L. On the effects of rheological behavior on landslide motion and tsunami hazard for the Baiyun Slide in the South China Sea. Landslides 2023, 20, 1599–1616. [Google Scholar] [CrossRef]



















| Density of sediment | ρs (kg/m3) | 1950 |
| Viscosity coefficient of sediment | ηs (Pa·s) | 0.15 |
| Yield stress of sediment | τy (Pa) | 750 |
| Density of water | ρw (kg/m3) | 1000 |
| Viscosity coefficient of water | ηw (Pa·s) | 1.0 × 10−3 |
| Gravity acceleration | g (m/s2) | 9.8 |
Disclaimer/Publisher’s Note: The statements, opinions and data contained in all publications are solely those of the individual author(s) and contributor(s) and not of MDPI and/or the editor(s). MDPI and/or the editor(s) disclaim responsibility for any injury to people or property resulting from any ideas, methods, instructions or products referred to in the content. |
© 2023 by the authors. Licensee MDPI, Basel, Switzerland. This article is an open access article distributed under the terms and conditions of the Creative Commons Attribution (CC BY) license (https://creativecommons.org/licenses/by/4.0/).
Share and Cite
Dai, Z.; Li, X.; Lan, B. Three-Dimensional Modeling of Tsunami Waves Triggered by Submarine Landslides Based on the Smoothed Particle Hydrodynamics Method. J. Mar. Sci. Eng. 2023, 11, 2015. https://doi.org/10.3390/jmse11102015
Dai Z, Li X, Lan B. Three-Dimensional Modeling of Tsunami Waves Triggered by Submarine Landslides Based on the Smoothed Particle Hydrodynamics Method. Journal of Marine Science and Engineering. 2023; 11(10):2015. https://doi.org/10.3390/jmse11102015
Chicago/Turabian StyleDai, Zili, Xiaofeng Li, and Baisen Lan. 2023. "Three-Dimensional Modeling of Tsunami Waves Triggered by Submarine Landslides Based on the Smoothed Particle Hydrodynamics Method" Journal of Marine Science and Engineering 11, no. 10: 2015. https://doi.org/10.3390/jmse11102015
APA StyleDai, Z., Li, X., & Lan, B. (2023). Three-Dimensional Modeling of Tsunami Waves Triggered by Submarine Landslides Based on the Smoothed Particle Hydrodynamics Method. Journal of Marine Science and Engineering, 11(10), 2015. https://doi.org/10.3390/jmse11102015

